Study on Temperature and Water Turbulence Impact on Saline Water-Based Wireless Optical Communication
Abstract
1. Introduction
2. Experimental Scheme
3. Measurement Results
3.1. The UWOC System in Different Water Conditions
3.2. Seawater Salinity and Temperature Combination
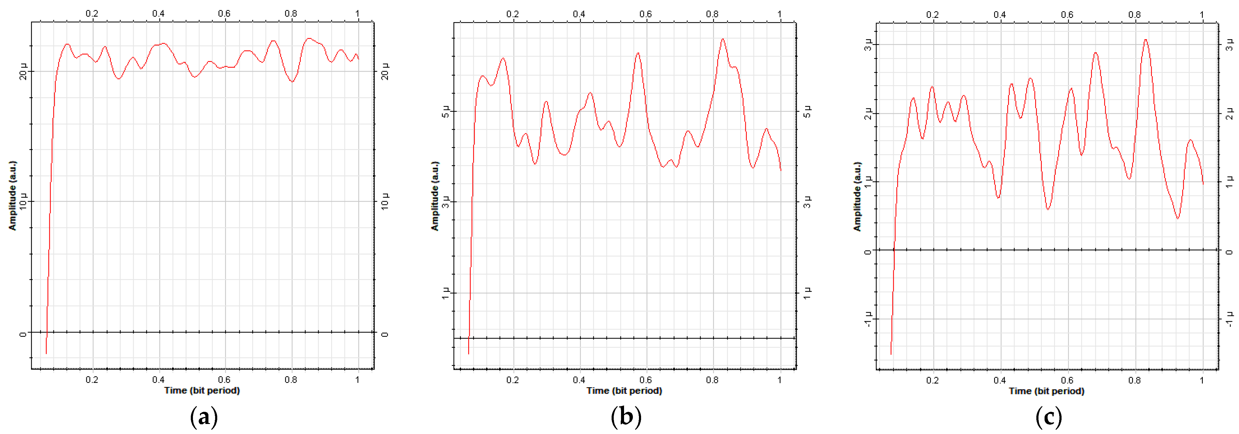
3.3. Seawater Salinity and Water Turbulence Combination
4. Conclusions
Author Contributions
Funding
Institutional Review Board Statement
Informed Consent Statement
Data Availability Statement
Acknowledgments
Conflicts of Interest
References
- Hsu, H.; Lu, W.C.; Minh, H.L.; Ghassemlooy, Z.; Yu, Y.L.; Liaw, S.K. 2 × 80 Gbit/s DWDM bidirectional wavelength reuse optical wireless transmission. IEEE Photon. J. 2013, 5, 7901708. [Google Scholar]
- Li, D.C.; Chen, C.C.; Liaw, S.K.; Afifah, S.; Sung, J.Y.; Yeh, C.H. Performance evaluation of underwater wireless optical communication system by varying the environmental parameters. Photonics 2021, 8, 74. [Google Scholar] [CrossRef]
- Yu, Y.L.; Liaw, S.K.; Chou, H.H.; Hoa, L.M.; Ghassemlooy, Z. A hybrid optical fiber and FSO system for bidirectional communications used in bridges. IEEE Photon. J. 2015, 7, 6. [Google Scholar] [CrossRef]
- Lv, Z.; He, G.; Yang, H.; Chen, R.; Li, Y.; Zhang, W.; Qiu, C.; Liu, Z. The Investigation of Underwater Wireless Optical Communication Links Using the Total Reflection at the Air-Water Interface in the Presence of Waves. Photonics 2022, 9, 525. [Google Scholar] [CrossRef]
- Ryecroft, S.; Shaw, A.; Fergus, P.; Kot, P.; Hashim, K.; Moody, A.; Conway, L. A first implementation of underwater communications in raw water using the 433 MHz frequency combined with a bowtie antenna. Sensors 2019, 19, 1813. [Google Scholar] [CrossRef]
- Sait, M.; Trichili, A.; Alkhazragi, O.; Alshaibaini, S.; Ng, T.K.; Alouini, M.S.; Ooi, B.S. Dual-wavelength luminescent fibers receiver for wide field-of-view, Gb/s underwater optical wireless communication. Opt. Express 2021, 29, 38014–38026. [Google Scholar] [CrossRef]
- Huang, Y.F.; Tsai, C.T.; Chi, Y.C.; Huang, D.W.; Lin, G.R. Filtered Multicarrier OFDM Encoding on Blue Laser Diode for 14.8-Gbps Seawater Transmission. J. Light. Technol. 2018, 36, 1739–1745. [Google Scholar] [CrossRef]
- Wei, D.; Qi, C.; Huang, C.; Chen, J.; Song, A.; Song, G.; Pan, M. Riding stress wave: Underwater communications through pipeline networks. IEEE J. Ocean. Eng. 2021, 46, 1450–1462. [Google Scholar] [CrossRef]
- Liu, X.; Yi, S.; Zhou, X.; Fang, Z.; Qiu, Z.-J.; Hu, L.; Cong, C.; Zheng, L.; Liu, R.; Tian, P. 34.5 m underwater optical wireless communication with 2.70 Gbps data rate based on a green laser diode with NRZ-OOK modulation. Opt. Express 2017, 25, 27937–27947. [Google Scholar] [CrossRef]
- Tang, X.; Chen, Z.; Zhao, Z.; Kumar, R.; Dong, Y. Experimental study on underwater continuous-variable quantum key distribution with discrete modulation. Opt. Express 2022, 30, 32428–32437. [Google Scholar] [CrossRef]
- Oubei, H.-M.; Zedini, E.; ElAfandy, R.-T.; Kammoun, A.; Abdallah, M.; Ng, T.-K.; Hamdi, M.; Alouini, M.-S.; Ooi, B.S. Simple statistical channel model for weak temperature-induced turbulence in underwater wireless optical communication systems. Opt. Lett. 2017, 42, 2455–2458. [Google Scholar] [CrossRef] [PubMed]
- Yang, H.; Yan, Q.; Wang, P.; Hu, L.; Zhang, Y. Bit-error rate and average capacity of an absorbent and turbulent underwater wireless communication link with perfect Laguerre-Gauss beam. Opt. Express 2022, 30, 9053–9064. [Google Scholar] [CrossRef] [PubMed]
- Ata, Y.; Yao, J.; Korotkova, O. BER variation of an optical wireless communication system in underwater turbulent medium with any temperature and salinity concentration. Opt. Commun. 2021, 485, 126751. [Google Scholar] [CrossRef]
- Ji, X.; Yin, H.; Jing, L.; Liang, Y.; Wang, J. Modeling and performance analysis of oblique underwater optical communication links considering turbulence effects based on seawater depth layering. Opt. Express 2022, 30, 18874–18888. [Google Scholar] [CrossRef]
- Li, C.; Liu, Z.; Chen, D.; Deng, X.; Yan, F.; Li, S.; Hu, Z. Experimental demonstration of high-sensitivity underwater optical wireless communication based on photocounting receiver. Photonics 2021, 8, 467. [Google Scholar] [CrossRef]
- Tian, P.; Chen, H.; Wang, P.; Liu, X.; Chen, X.; Zhou, G.; Zhang, S.; Lu, J.; Qiu, P.; Qian, Z.; et al. Absorption and scattering effects of Maalox, chlorophyll, and sea salt on a micro-LED-based underwater wireless optical communication. Chin. Opt. Lett. 2019, 17, 100010. [Google Scholar] [CrossRef]
- Service, J.H. Measurement of Salinity of Seawater; United States Government Printing Office: Washington, DC, USA, 1928.
- El Banna, A.; Wu, K.; El Halawany, B.M. Opportunistic cooperative transmission for underwater communication based on the water’s key physical variables. IEEE Sens. J. 2020, 20, 2792–2802. [Google Scholar] [CrossRef]
- Windows to the Universe. Temperature of Ocean Water; National Earth Science Teachers Association: Dexter, MI, USA, 2021. [Google Scholar]
- Jamali, M.V.; Mirani, A.; Parsay, A.; Abolhassani, B.; Nabavi, P.; Chizari, A.; Khorramshahi, P.; Abdollahramezani, S.; Salehi, J.A. Statistical studies of fading in underwater wireless optical channels in the presence of air bubble, temperature, and salinity random variations. IEEE Trans. Commun. 2018, 66, 4706–4723. [Google Scholar] [CrossRef]
- Jin, Y.; Hu, M.J.; Luo, M.; Luo, Y.; Mi, X.W.; Zou, C.; Zhou, L.W.; Shu, C.F.; Zhu, X.X.; He, J.X.; et al. Beam wander of a partially coherent Airy beam in oceanic turbulence. J. Opt. Soc. Am. A 2018, 35, 1457–1464. [Google Scholar] [CrossRef]
- Guo, Y.; Kong, M.; Sait, M.; Marie, S.; Alkhazragi, O.; Ng, T.K.; Ooi, B.S. Compact scintillating-fiber/450-nm-laser transceiver for full-duplex underwater wireless optical communication system under turbulence. Opt. Express 2022, 30, 53–69. [Google Scholar] [CrossRef]
- Oubei, H.M.; El Afandy, R.T.; Park, K.H.; Ng, T.K.; Alouini, M.S.; Ooi, B.S. Performance evaluation of underwater wireless optical communications links in the presence of different air bubble populations. IEEE Photon. J. 2017, 9, 7903009. [Google Scholar] [CrossRef]











| Hydrometer Scale | Salinity (g/L) | Salt Added (g) | Volume (L) | 
|---|---|---|---|
| 1.01 | 22.78 | 1230 | 54 | 
| 1.02 | 37.96 | 2050 | 54 | 
| 1.03 | 45.56 | 2460 | 54 | 
| Disclaimer/Publisher’s Note: The statements, opinions and data contained in all publications are solely those of the individual author(s) and contributor(s) and not of MDPI and/or the editor(s). MDPI and/or the editor(s) disclaim responsibility for any injury to people or property resulting from any ideas, methods, instructions or products referred to in the content. | 
© 2023 by the authors. Licensee MDPI, Basel, Switzerland. This article is an open access article distributed under the terms and conditions of the Creative Commons Attribution (CC BY) license (https://creativecommons.org/licenses/by/4.0/).
Share and Cite
Afifah, S.; Wijayanto, A.; Liu, Y.-L.; Liaw, S.-K.; Lee, P.-J.; Yeh, C.-H.; Hiroshi, O. Study on Temperature and Water Turbulence Impact on Saline Water-Based Wireless Optical Communication. Photonics 2023, 10, 383. https://doi.org/10.3390/photonics10040383
Afifah S, Wijayanto A, Liu Y-L, Liaw S-K, Lee P-J, Yeh C-H, Hiroshi O. Study on Temperature and Water Turbulence Impact on Saline Water-Based Wireless Optical Communication. Photonics. 2023; 10(4):383. https://doi.org/10.3390/photonics10040383
Chicago/Turabian StyleAfifah, Shofuro, Amirullah Wijayanto, Ya-Ling Liu, Shien-Kuei Liaw, Pei-Jun Lee, Chien-Hung Yeh, and Ochi Hiroshi. 2023. "Study on Temperature and Water Turbulence Impact on Saline Water-Based Wireless Optical Communication" Photonics 10, no. 4: 383. https://doi.org/10.3390/photonics10040383
APA StyleAfifah, S., Wijayanto, A., Liu, Y.-L., Liaw, S.-K., Lee, P.-J., Yeh, C.-H., & Hiroshi, O. (2023). Study on Temperature and Water Turbulence Impact on Saline Water-Based Wireless Optical Communication. Photonics, 10(4), 383. https://doi.org/10.3390/photonics10040383
 
        



 
       