Plasmonic Nanostructuring by Means of Industrial-Friendly Laser Techniques
Abstract
1. Introduction
2. Materials and Methods
3. Results
3.1. UV–Vis Spectra
3.1.1. Ag Ultrathin Films
Fill Spacing Variation
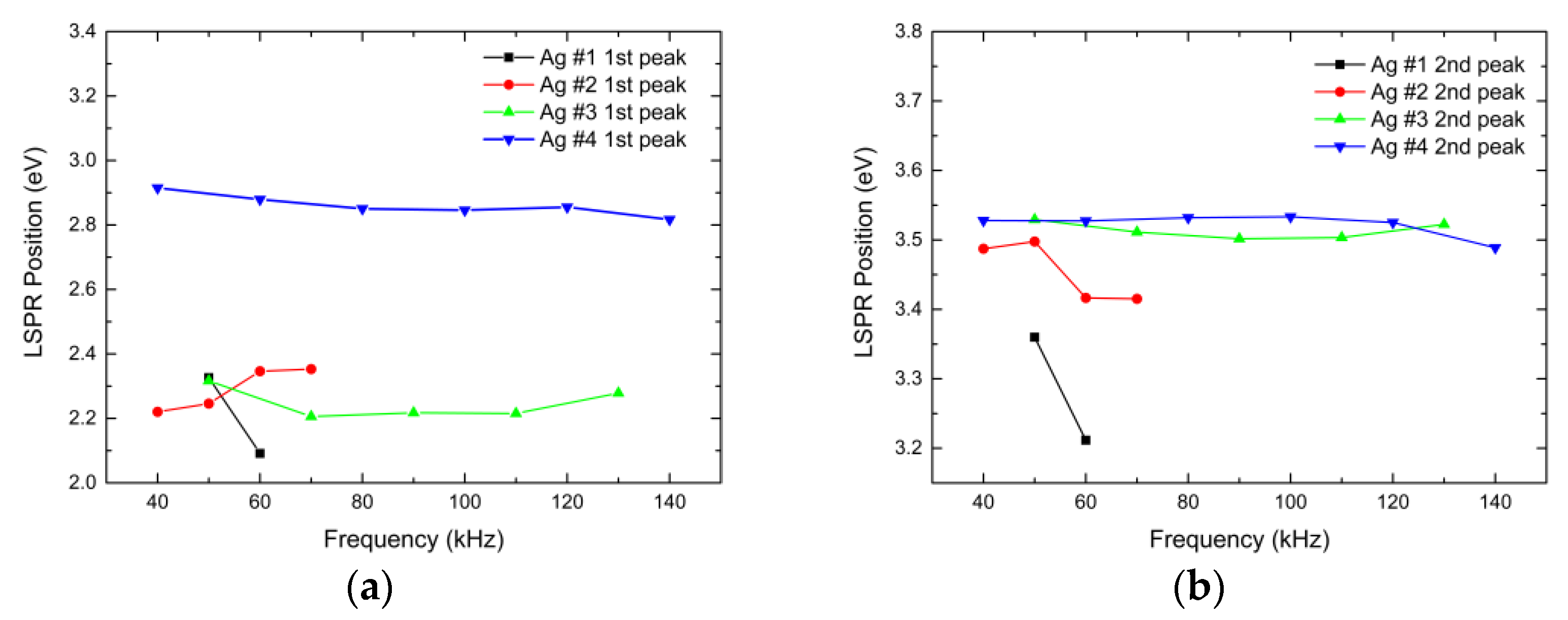
Frequency Variation
3.1.2. AgPd Multilayers
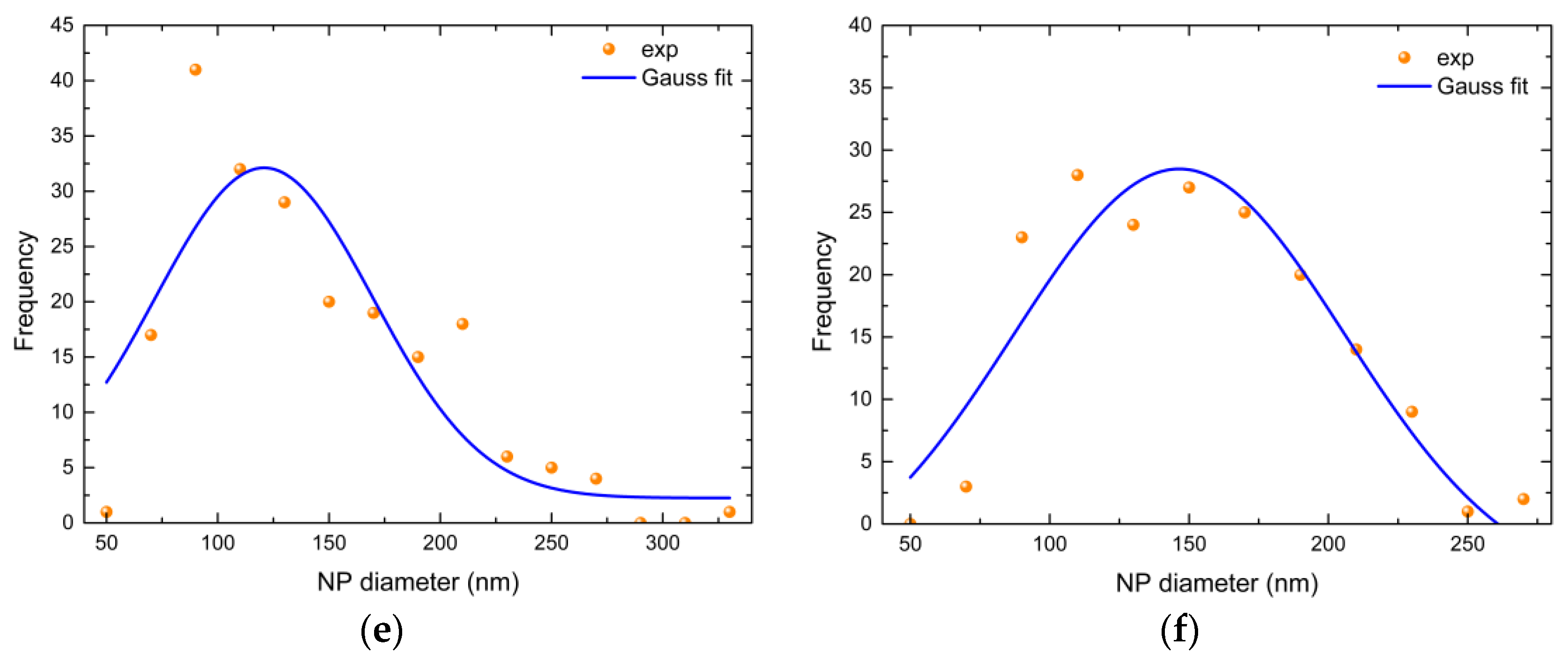
3.2. Microstructure Analysis
3.2.1. Ag Ultrathin Films
3.2.2. AgPd Multilayers
4. Discussion
5. Conclusions
Author Contributions
Funding
Institutional Review Board Statement
Informed Consent Statement
Data Availability Statement
Conflicts of Interest
References
- Hutter, E.; Fendler, J.H. Exploitation of Localized Surface Plasmon Resonance. Adv. Mater. 2004, 16, 1685–1706. [Google Scholar] [CrossRef]
- Homola, J. Surface Plasmon Resonance Sensors for Detection of Chemical and Biological Species. Chem. Rev. 2008, 108, 462–493. [Google Scholar] [CrossRef]
- Haes, A.J.; Hall, W.P.; Chang, L.; Klein, W.L.; Van Duyne, R.P. A Localized Surface Plasmon Resonance Biosensor: First Steps toward an Assay for Alzheimer’s Disease. Nano Lett. 2004, 4, 1029–1034. [Google Scholar] [CrossRef]
- Lagos, N.; Sigalas, M.M.; Lidorikis, E. Theory of Plasmonic Near-Field Enhanced Absorption in Solar Cells. Appl. Phys. Lett. 2011, 99, 063304. [Google Scholar] [CrossRef]
- Fei Guo, C.; Sun, T.; Cao, F.; Liu, Q.; Ren, Z. Metallic Nanostructures for Light Trapping in Energy-Harvesting Devices. Light Sci. Appl. 2014, 3, e161. [Google Scholar] [CrossRef]
- Zeng, S.; Baillargeat, D.; Ho, H.-P.; Yong, K.-T. Nanomaterials Enhanced Surface Plasmon Resonance for Biological and Chemical Sensing Applications. Chem. Soc. Rev. 2014, 43, 3426. [Google Scholar] [CrossRef]
- Austin, L.A.; Mackey, M.A.; Dreaden, E.C.; El-Sayed, M.A. The Optical, Photothermal, and Facile Surface Chemical Properties of Gold and Silver Nanoparticles in Biodiagnostics, Therapy, and Drug Delivery. Arch. Toxicol. 2014, 88, 1391–1417. [Google Scholar] [CrossRef]
- Grammatikopoulos, S.; Pappas, S.; Dracopoulos, V.; Poulopoulos, P.; Fumagalli, P.; Velgakis, M.; Politis, C. Self-Assembled Au Nanoparticles on Heated Corning Glass by Dc Magnetron Sputtering: Size-Dependent Surface Plasmon Resonance Tuning. J. Nanopart. Res. 2013, 15, 1446. [Google Scholar] [CrossRef]
- Kalfagiannis, N.; Koutsogeorgis, D.C.; Lidorikis, E.; Patsalas, P. Laser Annealing as a Platform for Plasmonic Nanostructuring. In Nanoplasmonics-Fundamentals and Applications; Barbillon, G., Ed.; InTech: London, UK, 2017; ISBN 978-953-51-3277-6. [Google Scholar]
- Mayer, K.M.; Hafner, J.H. Localized Surface Plasmon Resonance Sensors. Chem. Rev. 2011, 111, 3828–3857. [Google Scholar] [CrossRef]
- Stamatelatos, A.; Sousanis, A.; Chronis, A.G.; Sigalas, M.M.; Grammatikopoulos, S.; Poulopoulos, P. Analysis of Localized Surface Plasmon Resonances in Gold Nanoparticles Surrounded by Copper Oxides. J. Appl. Phys. 2018, 123, 083103. [Google Scholar] [CrossRef]
- Hirai, M.; Kumar, A. Wavelength Tuning of Surface Plasmon Resonance by Annealing Silver-Copper Nanoparticles. J. Appl. Phys. 2006, 100, 014309. [Google Scholar] [CrossRef]
- Doster, J.; Baraldi, G.; Gonzalo, J.; Solis, J.; Hernandez-Rueda, J.; Siegel, J. Tailoring the Surface Plasmon Resonance of Embedded Silver Nanoparticles by Combining Nano- and Femtosecond Laser Pulses. Appl. Phys. Lett. 2014, 104, 153106. [Google Scholar] [CrossRef]
- Chronis, A.G.; Stamatelatos, A.; Grammatikopoulos, S.; Sigalas, M.M.; Karoutsos, V.; Maratos, D.M.; Lysandrou, S.P.; Trachylis, D.; Politis, C.; Poulopoulos, P. Microstructure and Plasmonic Behavior of Self-Assembled Silver Nanoparticles and Nanorings. J. Appl. Phys. 2019, 125, 023106. [Google Scholar] [CrossRef]
- Ntemogiannis, D.; Tsarmpopoulou, M.; Chronis, A.G.; Anyfantis, D.I.; Barnasas, A.; Grammatikopoulos, S.; Sigalas, M.; Poulopoulos, P. On the Localized Surface Plasmonic Resonances of AgPd Alloy Nanoparticles by Experiment and Theory. Coatings 2021, 11, 893. [Google Scholar] [CrossRef]
- Arnob, M.M.P.; Zhao, F.; Zeng, J.; Santos, G.M.; Li, M.; Shih, W.-C. Laser Rapid Thermal Annealing Enables Tunable Plasmonics in Nanoporous Gold Nanoparticles. Nanoscale 2014, 6, 12470–12475. [Google Scholar] [CrossRef]
- Koleva, M.E.; Nedyalkov, N.N.; Karashanova, D.; Atanasova, G.B.; Stepanov, A.L. Modification of Plasmon Resonance Properties of Noble Metal Nanoparticles inside the Glass Matrices. Appl. Surf. Sci. 2019, 475, 974–981. [Google Scholar] [CrossRef]
- Oh, H.; Pyatenko, A.; Lee, M. A Hybrid Dewetting Approach to Generate Highly Sensitive Plasmonic Silver Nanoparticles with a Narrow Size Distribution. Appl. Surf. Sci. 2021, 542, 148613. [Google Scholar] [CrossRef]
- Bazioti, C.; Dimitrakopulos, G.P.; Kehagias, T.; Komninou, P.; Siozios, A.; Lidorikis, E.; Koutsogeorgis, D.C.; Patsalas, P. Influence of Laser Annealing on the Structural Properties of Sputtered AlN:Ag Plasmonic Nanocomposites. J. Mater. Sci. 2014, 49, 3996–4006. [Google Scholar] [CrossRef]
- Bellas, D.V.; Toliopoulos, D.; Kalfagiannis, N.; Siozios, A.; Nikolaou, P.; Kelires, P.C.; Koutsogeorgis, D.C.; Patsalas, P.; Lidorikis, E. Simulating the Opto-Thermal Processes Involved in Laser Induced Self-Assembly of Surface and Sub-Surface Plasmonic Nano-Structuring. Thin Solid Film. 2017, 630, 7–24. [Google Scholar] [CrossRef]
- Hong, R.; Shao, W.; Sun, W.; Deng, C.; Tao, C.; Zhang, D. Laser Irradiation Induced Tunable Localized Surface Plasmon Resonance of Silver Thin Film. Opt. Mater. 2018, 77, 198–203. [Google Scholar] [CrossRef]
- West, P.R.; Ishii, S.; Naik, G.V.; Emani, N.K.; Shalaev, V.M.; Boltasseva, A. Searching for Better Plasmonic Materials. Laser Photon. Rev. 2010, 4, 795–808. [Google Scholar] [CrossRef]
- Huang, X.; Tang, S.; Mu, X.; Dai, Y.; Chen, G.; Zhou, Z.; Ruan, F.; Yang, Z.; Zheng, N. Freestanding Palladium Nanosheets with Plasmonic and Catalytic Properties. Nat. Nanotech 2011, 6, 28–32. [Google Scholar] [CrossRef]
- Kumar-Krishnan, S.; Estevez-González, M.; Pérez, R.; Esparza, R.; Meyyappan, M. A General Seed-Mediated Approach to the Synthesis of AgM (M = Au, Pt, and Pd) Core–Shell Nanoplates and Their SERS Properties. RSC Adv. 2017, 7, 27170–27176. [Google Scholar] [CrossRef]
- Salem, M.A.; Bakr, E.A.; El-Attar, H.G. Pt@Ag and Pd@Ag Core/Shell Nanoparticles for Catalytic Degradation of Congo Red in Aqueous Solution. Spectrochim. Acta Part A Mol. Biomol. Spectrosc. 2018, 188, 155–163. [Google Scholar] [CrossRef]
- Sui, M.; Kunwar, S.; Pandey, P.; Lee, J. Strongly Confined Localized Surface Plasmon Resonance (LSPR) Bands of Pt, AgPt, AgAuPt Nanoparticles. Sci. Rep. 2019, 9, 16582. [Google Scholar] [CrossRef]
- Nazemi, M.; Soule, L.; Liu, M.; El-Sayed, M.A. Ambient Ammonia Electrosynthesis from Nitrogen and Water by Incorporating Palladium in Bimetallic Gold–Silver Nanocages. J. Electrochem. Soc. 2020, 167, 054511. [Google Scholar] [CrossRef]
- Ooms, M.D.; Jeyaram, Y.; Sinton, D. Disposable Plasmonics: Rapid and Inexpensive Large Area Patterning of Plasmonic Structures with CO2 Laser Annealing. Langmuir 2015, 31, 5252–5258. [Google Scholar] [CrossRef]
- Grammatikopoulos, S.; Stamatelatos, A.; Delimitis, A.; Sousanis, A.; Chrisanthopoulou, A.; Trachylis, D.; Politis, C.; Poulopoulos, P. Growth of Au Nanoparticles in NiO via Short Annealing of Precursor Material Thin Film and Optimization of Plasmonics. Phys. Status Solidi A 2017, 214, 1700303. [Google Scholar] [CrossRef]
- Sousanis, A.; Grammatikopoulos, S.; Delimitis, A.; Dracopoulos, V.; Poulopoulos, P. Localized Surface Plasmon Resonances after Selective Oxidization of AuCu Solid Solution Nanocrystalline Films. Appl. Phys. Lett. 2015, 107, 011903. [Google Scholar] [CrossRef]
- Sousanis, A.; Poulopoulos, P.; Karoutsos, V.; Trachylis, D.; Politis, C. Giant Enhancement of Small Photoluminescent Signals on Glass Surfaces Covered by Self-Assembled Silver Nanorings. J. Nanosci. Nanotechnol. 2017, 17, 1428–1433. [Google Scholar] [CrossRef]
- Henley, S.J.; Carey, J.D.; Silva, S.R.P. Pulsed-Laser-Induced Nanoscale Island Formation in Thin Metal-on-Oxide Films. Phys. Rev. B 2005, 72, 195408. [Google Scholar] [CrossRef]
- Kalfagiannis, N.; Siozios, A.; Bellas, D.V.; Toliopoulos, D.; Bowen, L.; Pliatsikas, N.; Cranton, W.M.; Kosmidis, C.; Koutsogeorgis, D.C.; Lidorikis, E.; et al. Selective Modification of Nanoparticle Arrays by Laser-Induced Self Assembly (MONA-LISA): Putting Control into Bottom-up Plasmonic Nanostructuring. Nanoscale 2016, 8, 8236–8244. [Google Scholar] [CrossRef]
- Thair, S.S.; Rasheed, B.G.; Al-Hamaoy, A.R. Effect of Laser Annealing on Gold Nanofilm. Mater. Today Proc. 2021, 42, 2984–2989. [Google Scholar] [CrossRef]
- Maurya, S.K.; Uto, Y.; Kashihara, K.; Yonekura, N.; Nakajima, T. Rapid Formation of Nanostructures in Au Films Using a CO2 Laser. Appl. Surf. Sci. 2018, 427, 961–965. [Google Scholar] [CrossRef]
- Nikov, R.G.; Nedyalkov, N.N.; Atanasov, P.A.; Hirsch, D.; Rauschenbach, B.; Grochowska, K.; Sliwinski, G. Characterization of Ag Nanostructures Fabricated by Laser-Induced Dewetting of Thin Films. Appl. Surf. Sci. 2016, 374, 36–41. [Google Scholar] [CrossRef]
- Henley, S.J.; Carey, J.D.; Silva, S.R.P. Laser-Nanostructured Ag Films as Substrates for Surface-Enhanced Raman Spectroscopy. Appl. Phys. Lett. 2006, 88, 081904. [Google Scholar] [CrossRef]
- Hong, R.; Sun, W.; Liu, Q.; Li, Z.; Tao, C.; Zhang, D.; Zhang, D. Al-Induced Tunable Surface Plasmon Resonance of Ag Thin Film by Laser Irradiation. Appl. Phys. Express 2019, 12, 085503. [Google Scholar] [CrossRef]
- Kuroiwa, Y.; Tatsuma, T. Laser Printing of Translucent Plasmonic Full-Color Images with Transmission-Scattering Dichroism of Silver Nanoparticles. ACS Appl. Nano Mater. 2020, 3, 2472–2479. [Google Scholar] [CrossRef]
- Favazza, C.; Kalyanaraman, R.; Sureshkumar, R. Robust Nanopatterning by Laser-Induced Dewetting of Metal Nanofilms. Nanotechnology 2006, 17, 4229–4234. [Google Scholar] [CrossRef]
- Trice, J.; Thomas, D.; Favazza, C.; Sureshkumar, R.; Kalyanaraman, R. Pulsed-Laser-Induced Dewetting in Nanoscopic Metal Films: Theory and Experiments. Phys. Rev. B 2007, 75, 235439. [Google Scholar] [CrossRef]
- Krishna, H.; Shirato, N.; Favazza, C.; Kalyanaraman, R. Pulsed Laser Induced Self-Organization by Dewetting of Metallic Films. J. Mater. Res. 2011, 26, 154–169. [Google Scholar] [CrossRef]
- Yadavali, S.; Khenner, M.; Kalyanaraman, R. Pulsed Laser Dewetting of Au Films: Experiments and Modeling of Nanoscale Behavior. J. Mater. Res. 2013, 28, 1715–1723. [Google Scholar] [CrossRef]
- Oh, Y.; Lee, M. Single-Pulse Transformation of Ag Thin Film into Nanoparticles via Laser-Induced Dewetting. Appl. Surf. Sci. 2017, 399, 555–564. [Google Scholar] [CrossRef]
- Oh, H.; Pyatenko, A.; Lee, M. Laser Dewetting Behaviors of Ag and Au Thin Films on Glass and Si Substrates: Experiments and Theoretical Considerations. Appl. Surf. Sci. 2019, 475, 740–747. [Google Scholar] [CrossRef]
- Resta, V.; Siegel, J.; Bonse, J.; Gonzalo, J.; Afonso, C.N.; Piscopiello, E.; Van Tenedeloo, G. Sharpening the Shape Distribution of Gold Nanoparticles by Laser Irradiation. J. Appl. Phys. 2006, 100, 084311. [Google Scholar] [CrossRef]
- Kannatey-Asibu, E. Principles of Laser Materials Processing; John Wiley & Sons, Inc.: Hoboken, NJ, USA, 2009; ISBN 978-0-470-45930-0. [Google Scholar]
- Gabzdyl, J. Fibre Lasers Make Their Mark. Nat. Photon 2008, 2, 21–23. [Google Scholar] [CrossRef]
- Mary, R.; Choudhury, D.; Kar, A.K. Applications of Fiber Lasers for the Development of Compact Photonic Devices. IEEE J. Select. Top. Quantum Electron. 2014, 20, 72–84. [Google Scholar] [CrossRef]
- Poddar, R.; Sahu, A.K.; Jha, S. Experimental Investigation of Nano Second Fiber Laser Micro Grooving on Cylindrical Surface. Mater. Today Proc. 2021, 44, 2005–2012. [Google Scholar] [CrossRef]
- Khorasani, M.; Ghasemi, A.; Leary, M.; Sharabian, E.; Cordova, L.; Gibson, I.; Downing, D.; Bateman, S.; Brandt, M.; Rolfe, B. The Effect of Absorption Ratio on Meltpool Features in Laser-Based Powder Bed Fusion of IN718. Opt. Laser Technol. 2022, 153, 108263. [Google Scholar] [CrossRef]
- Samoylov, A.M.; Ivkov, S.A.; Pelipenko, D.I.; Sharov, M.K.; Tsyganova, V.O.; Agapov, B.L.; Tutov, E.A.; Badica, P. Structural Changes in Palladium Nanofilms during Thermal Oxidation. Inorg. Mater. 2020, 56, 1020–1026. [Google Scholar] [CrossRef]
- Qian, C.; Guo, Q.; Xu, M.; Yuan, Y.; Yao, J. Improving the SERS Detection Sensitivity of Aromatic Molecules by a PDMS-Coated Au Nanoparticle Monolayer Film. RSC Adv. 2015, 5, 53306–53312. [Google Scholar] [CrossRef]
- Lin, L.; Li, J.; Li, W.; Yogeesh, M.N.; Shi, J.; Peng, X.; Liu, Y.; Rajeeva, B.B.; Becker, M.F.; Liu, Y.; et al. Optothermoplasmonic Nanolithography for On-Demand Patterning of 2D Materials. Adv. Funct. Mater. 2018, 28, 1803990. [Google Scholar] [CrossRef]
- Li, J.; Hill, E.H.; Lin, L.; Zheng, Y. Optical Nanoprinting of Colloidal Particles and Functional Structures. ACS Nano 2019, 13, 3783–3795. [Google Scholar] [CrossRef] [PubMed]
- Li, J.; Zheng, Y. Optothermally Assembled Nanostructures. Acc. Mater. Res. 2021, 2, 352–363. [Google Scholar] [CrossRef]
- Peng, X.; Li, J.; Lin, L.; Liu, Y.; Zheng, Y. Opto-Thermophoretic Manipulation and Construction of Colloidal Superstructures in Photocurable Hydrogels. ACS Appl. Nano Mater. 2018, 1, 3998–4004. [Google Scholar] [CrossRef]
- Roberts, A.S.; Novikov, S.M.; Yang, Y.; Chen, Y.; Boroviks, S.; Beermann, J.; Mortensen, N.A.; Bozhevolnyi, S.I. Laser Writing of Bright Colors on Near-Percolation Plasmonic Reflector Arrays. ACS Nano 2019, 13, 71–77. [Google Scholar] [CrossRef]


















| Specimen Thickness | Fill Spacing (mm) | Frequency (kHz) | Laser Passes | Scanning Speed (mm/s) | Pulse Duration (ns) | |
|---|---|---|---|---|---|---|
| Ag #1 13.5 nm | 0.075 | 60 | 25 | 200 | 200 | |
| 0.05 | 50 | 60 | ||||
| 0.025 | 60 | |||||
| 0.0125 | 60 | |||||
| Ag #2 12.5 nm | 0.0125 | 40 | 25 | 200 | 200 | |
| 50 | ||||||
| 60 | ||||||
| 70 | ||||||
| Ag #3 12.5 nm | 0.0125 | 50 | 25 | 200 | 200 | |
| 70 | ||||||
| 90 | ||||||
| 110 | ||||||
| 130 | ||||||
| Ag #4 6 nm | 0.0125 | 40 | 25 | 200 | 200 | |
| 60 | ||||||
| 80 | ||||||
| 100 | ||||||
| 120 | ||||||
| 140 | ||||||
| AgPd #1 7.5 nm | 0.0125 | 70 | 20 | 200 | 200 | |
| 25 | ||||||
| AgPd #2 12.3 nm | 0.0125 | 70 | 20 | 200 | 200 | |
| 25 | ||||||
| Fill Spacing (mm) | LSPR Position (eV) | LSPR Amplitude (a.u.) | FWHM (eV) | LSPR Position (eV) | LSPR Amplitude (a.u.) | FWHM (eV) |
|---|---|---|---|---|---|---|
| 1st Peak | 2nd Peak | |||||
| 0.075 | 2.04638 | 0.40225 | 0.86630 | 3.14680 | 0.16850 | 1.19350 |
| 0.05 | 2.09135 | 0.42440 | 0.91669 | 3.22159 | 0.17858 | 1.03308 |
| 0.025 | 2.09015 | 0.47615 | 1.05890 | 3.33536 | 0.19369 | 0.87419 |
| 0.0125 | 2.14632 | 0.63422 | 0.78141 | 3.39330 | 0.15431 | 0.50410 |
| Specimen Thickness | Frequency (kHz) | LSPR Position (eV) | LSPR Amplitude (a.u.) | FWHM (eV) | LSPR Position (eV) | LSPR Amplitude (a.u.) | FWHM (eV) |
|---|---|---|---|---|---|---|---|
| 1st Peak | 2nd Peak | ||||||
| * Ag #1 | 50 | 2.32630 | 0.40088 | 0.87673 | 3.3598 | 0.19023 | 0.58545 |
| 60 | 2.09135 | 0.42440 | 0.91669 | 3.21159 | 0.17858 | 1.03308 | |
| Ag #2 | 40 | 2.22038 | 0.69719 | 0.69596 | 3.48730 | 0.14850 | 0.31870 |
| 50 | 2.24569 | 0.73350 | 0.67350 | 3.49756 | 0.14386 | 0.29037 | |
| 60 | 2.34623 | 0.70854 | 0.6990 | 3.41647 | 0.12224 | 0.53131 | |
| 70 | 2.35272 | 0.70438 | 0.69302 | 3.41510 | 0.09873 | 0.51593 | |
| Ag #3 | 50 | 2.31641 | 0.66805 | 0.74920 | 3.52922 | 0.12783 | 0.24348 |
| 70 | 2.20590 | 0.75654 | 0.66086 | 3.51134 | 0.10388 | 0.23958 | |
| 90 | 2.21742 | 0.71061 | 0.68385 | 3.50161 | 0.11528 | 0.26154 | |
| 110 | 2.21539 | 0.65417 | 0.69172 | 3.50334 | 0.11180 | 0.26758 | |
| 130 | 2.27832 | 0.55360 | 0.72018 | 3.52241 | 0.10484 | 0.23818 | |
| Ag #4 | 40 | 2.91469 | 0.30225 | 0.56279 | 3.52795 | 0.12044 | 0.26439 |
| 60 | 2.87938 | 0.29699 | 0.54288 | 3.52737 | 0.11265 | 0.25542 | |
| 80 | 2.85029 | 0.29460 | 0.52788 | 3.53200 | 0.10105 | 0.24410 | |
| 100 | 2.84576 | 0.29738 | 0.54263 | 3.53331 | 0.09521 | 0.24517 | |
| 120 | 2.85522 | 0.29335 | 0.59312 | 3.52498 | 0.09096 | 0.24442 | |
| 140 | 2.81706 | 0.28206 | 0.58298 | 3.48879 | 0.12639 | 0.31359 | |
| Specimen Thickness | Laser Passes | LSPR Position (eV) | LSPR Amplitude (a.u.) | FWHM (eV) | Annealing Time at 460 °C | LSPR Position (eV) | LSPR Amplitude (a.u.) | FWHM (eV) |
|---|---|---|---|---|---|---|---|---|
| AgPd #1 | 20 | 2.52936 | 0.31408 | 2.05673 | 5 min | 2.67670 | 0.20536 | 1.36271 |
| 25 | 2.48856 | 0.26738 | 1.81230 | 10 min | 2.84997 | 0.18271 | 1.20058 | |
| AgPd #2 | 20 | 1.94617 | 0.29889 | 0.73643 | 20 min | 2.00885 | 0.17611 | 0.98188 |
| 25 | 1.87977 | 0.26018 | 0.64372 | 40 min | 2.12255 | 0.13747 | 1.35637 |
Disclaimer/Publisher’s Note: The statements, opinions and data contained in all publications are solely those of the individual author(s) and contributor(s) and not of MDPI and/or the editor(s). MDPI and/or the editor(s) disclaim responsibility for any injury to people or property resulting from any ideas, methods, instructions or products referred to in the content. |
© 2023 by the authors. Licensee MDPI, Basel, Switzerland. This article is an open access article distributed under the terms and conditions of the Creative Commons Attribution (CC BY) license (https://creativecommons.org/licenses/by/4.0/).
Share and Cite
Ntemogiannis, D.; Floropoulos, P.; Karoutsos, V.; Grammatikopoulos, S.; Poulopoulos, P.; Alexandropoulos, D. Plasmonic Nanostructuring by Means of Industrial-Friendly Laser Techniques. Photonics 2023, 10, 384. https://doi.org/10.3390/photonics10040384
Ntemogiannis D, Floropoulos P, Karoutsos V, Grammatikopoulos S, Poulopoulos P, Alexandropoulos D. Plasmonic Nanostructuring by Means of Industrial-Friendly Laser Techniques. Photonics. 2023; 10(4):384. https://doi.org/10.3390/photonics10040384
Chicago/Turabian StyleNtemogiannis, Dimitrios, Panagiotis Floropoulos, Vagelis Karoutsos, Spyridon Grammatikopoulos, Panagiotis Poulopoulos, and Dimitris Alexandropoulos. 2023. "Plasmonic Nanostructuring by Means of Industrial-Friendly Laser Techniques" Photonics 10, no. 4: 384. https://doi.org/10.3390/photonics10040384
APA StyleNtemogiannis, D., Floropoulos, P., Karoutsos, V., Grammatikopoulos, S., Poulopoulos, P., & Alexandropoulos, D. (2023). Plasmonic Nanostructuring by Means of Industrial-Friendly Laser Techniques. Photonics, 10(4), 384. https://doi.org/10.3390/photonics10040384

