Accurate Modeling of Distributed Bragg Reflector Laser Power and Wavelength Using Gaussian Process Regression
Abstract
:1. Introduction
2. Principle and Method
2.1. Theory of DBR Laser Output Performance
2.2. Gaussian Process Regression
2.3. Establishment of GPR Models
3. Experiments and Result Analysis
3.1. Experimental Set-Up
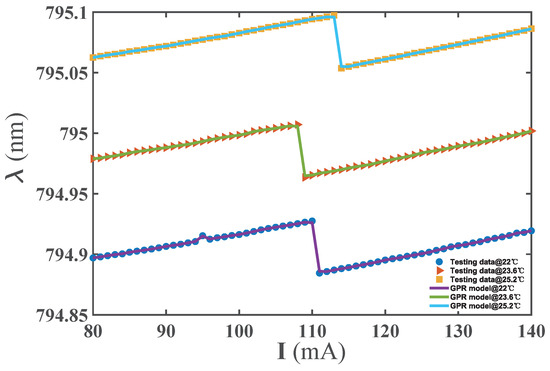
3.2. Model Validation
3.3. Discussion of the GPR Model’s Performance
4. Conclusions
Author Contributions
Funding
Institutional Review Board Statement
Informed Consent Statement
Data Availability Statement
Conflicts of Interest
References
- Wang, S. Principles of distributed feedback and distributed Bragg-reflector lasers. IEEE J. Quantum Electron. 1974, 10, 413. Available online: https://ieeexplore.ieee.org/abstract/document/1068152 (accessed on 2 February 2023).
- Alexandrov, E.B.; Balabas, M.V.; Pasgalev, A.S.; Vershovskii, A.K.; Yakobson, N.N. Double-resonance atomic magnetometers: From gas discharge to laser pumping. Laser Phys. 1996, 6, 244. Available online: https://www.researchgate.net/publication/272183751_Double-resonance_atomic_magnetometers_From_gas_discharge_to_laser_pumping (accessed on 2 February 2023).
- Tang, J.J.; Zhai, Y.Y.; Cao, L.; Zhang, Y.H.; Li, L.; Zhao, B.B.; Zhou, B.Q.; Han, B.C.; Liu, G. High-sensitivity operation of a single-beam atomic magnetometer for three-axis magnetic field measurement. Opt. Express 2021, 29, 15641. Available online: https://opg.optica.org/oe/fulltext.cfm?uri=oe-29-10-15641&id=450810 (accessed on 2 February 2023). [CrossRef] [PubMed]
- Fang, J.C.; Qin, J. Advances in Atomic Gyroscopes: A View from Inertial Navigation Applications. Sensors 2012, 12, 6331. Available online: https://www.mdpi.com/1424-8220/12/5/6331 (accessed on 2 February 2023). [CrossRef]
- Wang, Z.; Liu, S.X.; Wang, R.G.; Yuan, L.L.; Huang, J.; Zhai, Y.Y.; Zou, S. Atomic Spin Polarization Controllability Analysis: A Novel Controllability Determination Method for Spin-Exchange Relaxation-Free Co-Magnetometers. IEEE/CAA J. Autom. Sinica 2021, 9, 699. Available online: https://ieeexplore.ieee.org/abstract/document/9645928 (accessed on 2 February 2023). [CrossRef]
- Zhai, Y.Y.; Yue, X.G.; Wu, Y.J.; Chen, X.Z.; Zhang, P.; Zhou, X.J. Effective preparation and collisional decay of atomic condensates in excited bands of an optical lattice. Phys. Rev. A 2013, 87, 063638. Available online: https://journals.aps.org/pra/abstract/10.1103/PhysRevA.87.063638 (accessed on 2 February 2023). [CrossRef]
- Chen, X.; Yang, G.Q.; Wang, J.; Zhan, M.S. Coherent Population Trapping-Ramsey Interference in Cold Atoms. Chin. Phys. Lett. 2010, 27, 113201. Available online: https://iopscience.iop.org/article/10.1088/0256-307X/27/11/113201/meta (accessed on 2 February 2023).
- Munoz, C. Dark matter detection in the light of recent experimental results. Int. J. Mod. Phys. A 2004, 19, 3093. Available online: https://www.worldscientific.com/doi/abs/10.1142/S0217751X04018154 (accessed on 2 February 2023). [CrossRef]
- Stadnik, Y.V.; Flambaum, V.V. Enhanced effects of variation of the fundamental constants in laser interferometers and application to dark-matter detection. Phys. Rev. A 2016, 93, 063630. Available online: https://journals.aps.org/pra/abstract/10.1103/PhysRevA.93.063630 (accessed on 2 February 2023). [CrossRef]
- Li, X.F.; Wang, Z.; Yu, L.; Ning, X.L.; Quan, W.; Zhai, Y.Y. Intelligent Modeling for Transfer Function Control of DBR Semiconductor Laser at Near-Working Point. IEEE Access 2020, 8, 24514. Available online: https://ieeexplore.ieee.org/abstract/document/8976149 (accessed on 2 February 2023). [CrossRef]
- Kominis, K.I.; Kornack, T.W.; Allred, J.C.; Romalis, M.V. A subfemtotesla multichannel atomic magnetometer. New Test of Local Lorentz Invariance Using a Ne 21-Rb-K Comagnetometer. Nature 2003, 422, 596. Available online: https://www.nature.com/articles/nature01484 (accessed on 2 February 2023). [CrossRef] [PubMed]
- Smiciklas, M.; Brown, J.M.; Cheuk, L.W.; Smullin, S.J.; Romalis, M.V. New Test of Local Lorentz Invariance Using a Ne21-Rb-K Comagnetometer. Phys. Rev. Lett. 2011, 107, 171604. Available online: https://journals.aps.org/prl/abstract/10.1103/PhysRevLett.107.171604 (accessed on 2 February 2023). [CrossRef] [PubMed]
- Tang, J.J.; Yin, Y.; Zhai, Y.Y.; Zhou, B.Q.; Han, B.C.; Yang, H.Y.; Liu, G. Transient dynamics of atomic spin in the spin-exchange-relaxation-free regime. Opt. Express 2021, 29, 8333. Available online: https://opg.optica.org/oe/fulltext.cfm?uri=oe-29-6-8333&id=448763 (accessed on 2 February 2023). [CrossRef] [PubMed]
- Yan, M.; Rickey, E.G.; Zhu, Y.F. Nonlinear absorption by quantum interference in cold atoms. Opt. Lett. 2001, 26, 548. Available online: https://opg.optica.org/ol/abstract.cfm?uri=ol-26-8-548 (accessed on 2 February 2023). [CrossRef]
- Zhai, Y.Y.; Carson, C.H.; Henderson, V.A.; Griffin, P.F.; Riis, E.; Arnold, A.S. Talbot-enhanced, maximum-visibility imaging of condensate interference. Optica 2018, 5, 80. Available online: https://opg.optica.org/optica/fulltext.cfm?uri=optica-5-1-80&id=380874 (accessed on 2 February 2023). [CrossRef]
- Kwee, P.; Willke, B.; Danzmann, K. Shot-noise-limited laser power stabilization with a high-power photodiode array. Opt. Lett. 2009, 34, 2912. Available online: https://opg.optica.org/ol/abstract.cfm?uri=ol-34-19-2912 (accessed on 2 February 2023). [CrossRef]
- Shindo, Y. Application of polarized modulation technique in polymer science. Opt. Eng. 1995, 34, 3369. Available online: https://www.spiedigitallibrary.org/journals/optical-engineering/volume-34/issue-12/0000/Application-of-polarized-modulation-technique-in-polymer-science/10.1117/12.213252.short?SSO=1 (accessed on 2 February 2023). [CrossRef]
- Budzyń, G.; Podżorny, T.; Tkaczyk, J. Method of improving the frequency repeatability of the intensity stabilized HeNe laser. Laser Phys. 2015, 25, 065002. Available online: https://iopscience.iop.org/article/10.1088/1054-660X/25/6/065002/meta (accessed on 2 February 2023).
- Quan, W.; Li, Y.; Li, R.J.; Shang, H.N.; Fang, Z.S.; Qin, J.; Wan, S.A. Far off-resonance laser frequency stabilization using multipass cells in Faraday rotation spectroscopy. Appl. Opt. 2016, 55, 2503. Available online: https://opg.optica.org/ao/abstract.cfm?uri=ao-55-10-2503 (accessed on 2 February 2023). [CrossRef]
- Liu, H.F.; Arahira, S.; Kunii, T.; Ogawa, Y. Tuning characteristics of monolithic passively mode-locked distributed Bragg reflector semiconductor lasers. IEEE J. Quantum Electron. 1996, 32, 1965. Available online: https://ieeexplore.ieee.org/abstract/document/541683 (accessed on 2 February 2023).
- Demtröder, W. Laser Spectroscopy; Springer: Berlin/Heidelberg, Germany, 1982; p. 168. Available online: https://link.springer.com/book/10.1007/978-3-662-05155-9 (accessed on 2 February 2023).
- Mahmood, A.; Irfan, A.; Wang, J.L. Machine learning for organic photovoltaic polymers: A minireview. Chin. J. Polym. Sci. 2022, 40, 870. Available online: https://link.springer.com/article/10.1007/s10118-022-2782-5 (accessed on 2 February 2023). [CrossRef]
- Janjua, M.R.S.A.; Irfan, A.; Hussien, M.; Ali, M.; Saqib, M.; Sulaman, M. Machine-Learning Analysis of Small-Molecule Donors for Fullerene Based Organic Solar Cells. Energy Technol. 2022, 10, 2200019. Available online: https://onlinelibrary.wiley.com/doi/abs/10.1002/ente.202200019 (accessed on 2 February 2023). [CrossRef]
- Mahmood, A.; Wang, J.L. A time and resource efficient machine learning assisted design of non-fullerene small molecule acceptors for P3HT-based organic solar cells and green solvent selection. J. Mater. Chem. A 2021, 9, 15684. Available online: https://pubs.rsc.org/en/content/articlelanding/2021/ta/d1ta04742f/unauth (accessed on 2 February 2023). [CrossRef]
- Mebed, A.M.; Jafri, H.M.; Hakamy, A.; Abd-Elnaiem, A.M.; Sulaman, M.; Elshahat, S. Multidimensional modeling assisted mining of GDB17 chemical database: A search for polymer donors for organic solar cells and machine learning assisted performance prediction. Int. J. Quantum Chem. 2022, 122, 26991. Available online: https://onlinelibrary.wiley.com/doi/abs/10.1002/qua.26991 (accessed on 2 February 2023). [CrossRef]
- Mahmood, A.; Irfan, A.; Wang, J.L. Developing efficient small molecule acceptors with sp2-hybridized nitrogen at different positions by density functional theory calculations, molecular dynamics simulations and machine learning. Chem.-Eur. J. 2022, 28, 202103712. Available online: https://chemistry-europe.onlinelibrary.wiley.com/doi/abs/10.1002/chem.202103712 (accessed on 2 February 2023). [CrossRef] [PubMed]
- Mahmood, A.; Irfan, A.; Wang, J.L. Machine learning and molecular dynamics simulation-assisted evolutionary design and discovery pipeline to screen efficient small molecule acceptors for PTB7-Th-based organic solar cells with over 15% efficiency. J. Mater. Chem. A 2022, 10, 4170. Available online: https://pubs.rsc.org/en/content/articlehtml/2022/ta/d1ta09762h (accessed on 2 February 2023). [CrossRef]
- Jordan, M.I.; Mitchell, T.M. Machine learning: Trends, perspectives, and prospects. Science 2015, 349, 255. Available online: https://www.science.org/doi/abs/10.1126/science.aaa8415 (accessed on 2 February 2023). [CrossRef]
- Murata, N.; Yoshizawa, S.; Amari, S. Network information criterion-determining the number of hidden units for an artificial neural network model. IEEE Trans. Neural Netw. 1994, 5, 865. Available online: https://ieeexplore.ieee.org/abstract/document/329683 (accessed on 2 February 2023). [CrossRef]
- Noble, W.S. What is a support vector machine? Nat. Biotechnol. 2006, 24, 1565. Available online: https://www.nature.com/articles/nbt1206-1565 (accessed on 2 February 2023). [CrossRef]
- Schulz, E.; Speekenbrink, M.; Krause, A.A. tutorial on Gaussian process regression: Modelling, exploring, and exploiting functions. J. Math. Psychol. 2018, 85, 1. Available online: https://www.sciencedirect.com/science/article/abs/pii/S0022249617302158 (accessed on 2 February 2023). [CrossRef]
- Nguyen-Tuong, D.; Seeger, M.; Peters, J. Model Learning with Local Gaussian Process Regression. Adv. Robotics 2009, 23, 2015. Available online: https://www.tandfonline.com/doi/abs/10.1163/016918609X12529286896877 (accessed on 2 February 2023). [CrossRef]
- Quinonero-Candela, J.; Rasmussen, C.E. A Unifying View of Sparse Approximate Gaussian Process Regression. The J. Mach. Learn. Res. 2005, 6, 1939. Available online: https://www.jmlr.org/papers/volume6/quinonero-candela05a/quinonero-candela05a.pdf (accessed on 2 February 2023).
- Zybin, A.; Koch, J.; Wizemann, H.D.; Franzke, J.; Niemax, K. Diode laser atomic absorption spectrometry. Spectrochimica Acta Part B At. Spectrosc. 2005, 60, 1. Available online: https://www.sciencedirect.com/science/article/abs/pii/S0584854704002794 (accessed on 2 February 2023). [CrossRef]
- Pankove, J. Temperature dependence of emission efficiency and lasing threshold in laser diodes. IEEE J. Quantum Electron. 1968, 4, 119. Available online: https://ieeexplore.ieee.org/abstract/document/1075062 (accessed on 2 February 2023). [CrossRef]
- O’donnell, K.P.; Chen, X. Temperature dependence of semiconductor band gaps. Appl. Phys. Lett. 1991, 58, 2924. Available online: https://aip.scitation.org/doi/abs/10.1063/1.104723 (accessed on 2 February 2023). [CrossRef]
- Rasmussen, C.E.; Nickisch, H. Gaussian Processes for Machine Learning (GPML) Toolbox. The J. Mach. Learn. Res. 2010, 11, 3011. Available online: https://www.jmlr.org/papers/volume11/rasmussen10a/rasmussen10a.pdf?_hstc=200028081.1bb630f9cde2cb5f07430159d50a3c91.1524182400081.1524182400082.1524182400083.1_hssc=200028081.1.1524182400084_hsfp=1773666937 (accessed on 2 February 2023).
- Yang, D.; Zhang, X.; Pan, R.; Wang, Y.J.; Chen, Z.H. A novel Gaussian process regression model for state-of-health estimation of lithium-ion battery using charging curve. J. Power Sources 2018, 384, 387. Available online: https://www.sciencedirect.com/science/article/abs/pii/S0378775318302398 (accessed on 2 February 2023). [CrossRef]
- Seeger, M. Gaussian processes for machine learning. Int. J. Neural Syst. 2004, 14, 69. Available online: https://www.worldscientific.com/doi/abs/10.1142/S0129065704001899 (accessed on 2 February 2023). [CrossRef]








| Disclaimer/Publisher’s Note: The statements, opinions and data contained in all publications are solely those of the individual author(s) and contributor(s) and not of MDPI and/or the editor(s). MDPI and/or the editor(s) disclaim responsibility for any injury to people or property resulting from any ideas, methods, instructions or products referred to in the content. | 
© 2023 by the authors. Licensee MDPI, Basel, Switzerland. This article is an open access article distributed under the terms and conditions of the Creative Commons Attribution (CC BY) license (https://creativecommons.org/licenses/by/4.0/).
Share and Cite
Yue, Z.; Cao, L.; Wang, D.; Yuan, Z.; Li, J.; Chen, B.; Zhai, Y. Accurate Modeling of Distributed Bragg Reflector Laser Power and Wavelength Using Gaussian Process Regression. Photonics 2023, 10, 193. https://doi.org/10.3390/photonics10020193
Yue Z, Cao L, Wang D, Yuan Z, Li J, Chen B, Zhai Y. Accurate Modeling of Distributed Bragg Reflector Laser Power and Wavelength Using Gaussian Process Regression. Photonics. 2023; 10(2):193. https://doi.org/10.3390/photonics10020193
Chicago/Turabian StyleYue, Ziqian, Li Cao, Dawei Wang, Ziqi Yuan, Jiajie Li, Baodong Chen, and Yueyang Zhai. 2023. "Accurate Modeling of Distributed Bragg Reflector Laser Power and Wavelength Using Gaussian Process Regression" Photonics 10, no. 2: 193. https://doi.org/10.3390/photonics10020193
APA StyleYue, Z., Cao, L., Wang, D., Yuan, Z., Li, J., Chen, B., & Zhai, Y. (2023). Accurate Modeling of Distributed Bragg Reflector Laser Power and Wavelength Using Gaussian Process Regression. Photonics, 10(2), 193. https://doi.org/10.3390/photonics10020193
 
        

