Conversion and Active Control between Electromagnetic Induced Transparency and Absorber in Terahertz Metasurface
Abstract
1. Introduction
2. Structure Design and Method
3. Coupling Mode Theory for Metasurface
4. Numerical Calculations for EIT and PMA
4.1. Electromagnetically Induced Transparency (EIT) without Phase Changing
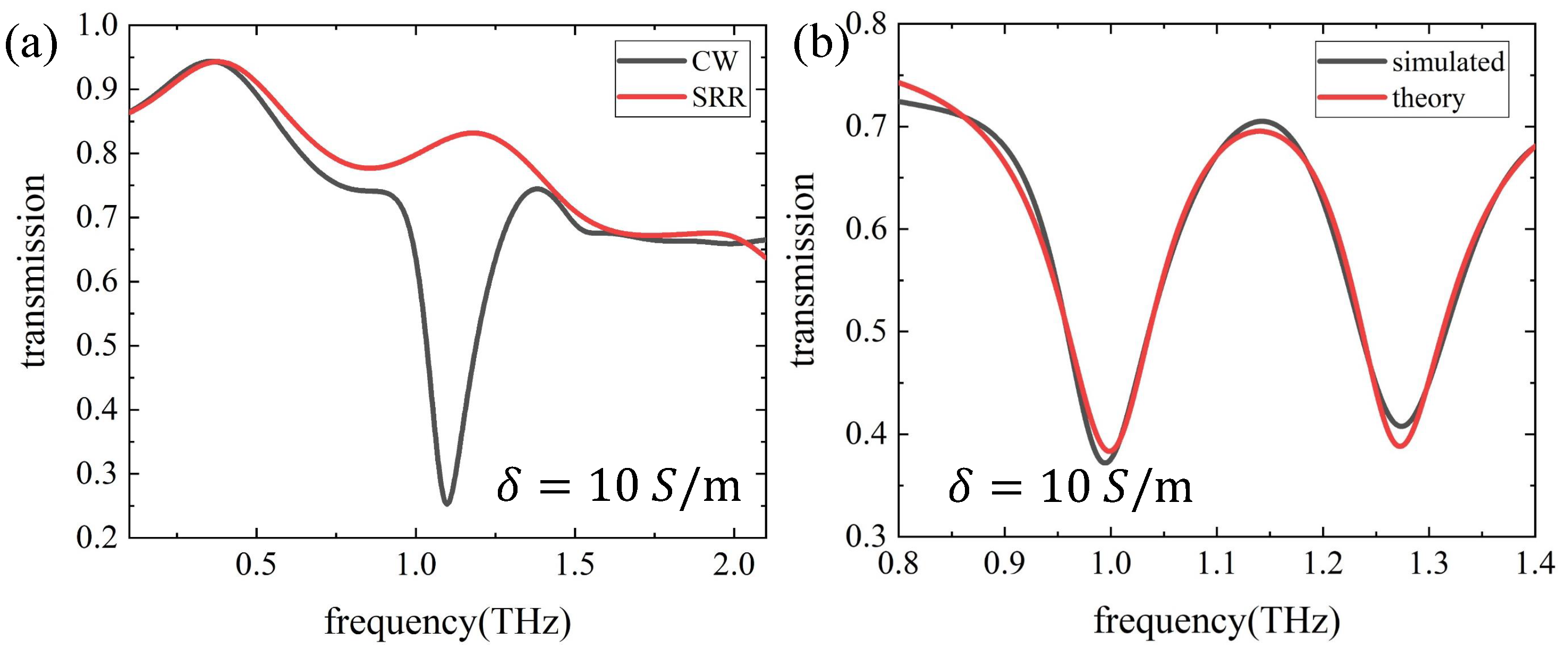
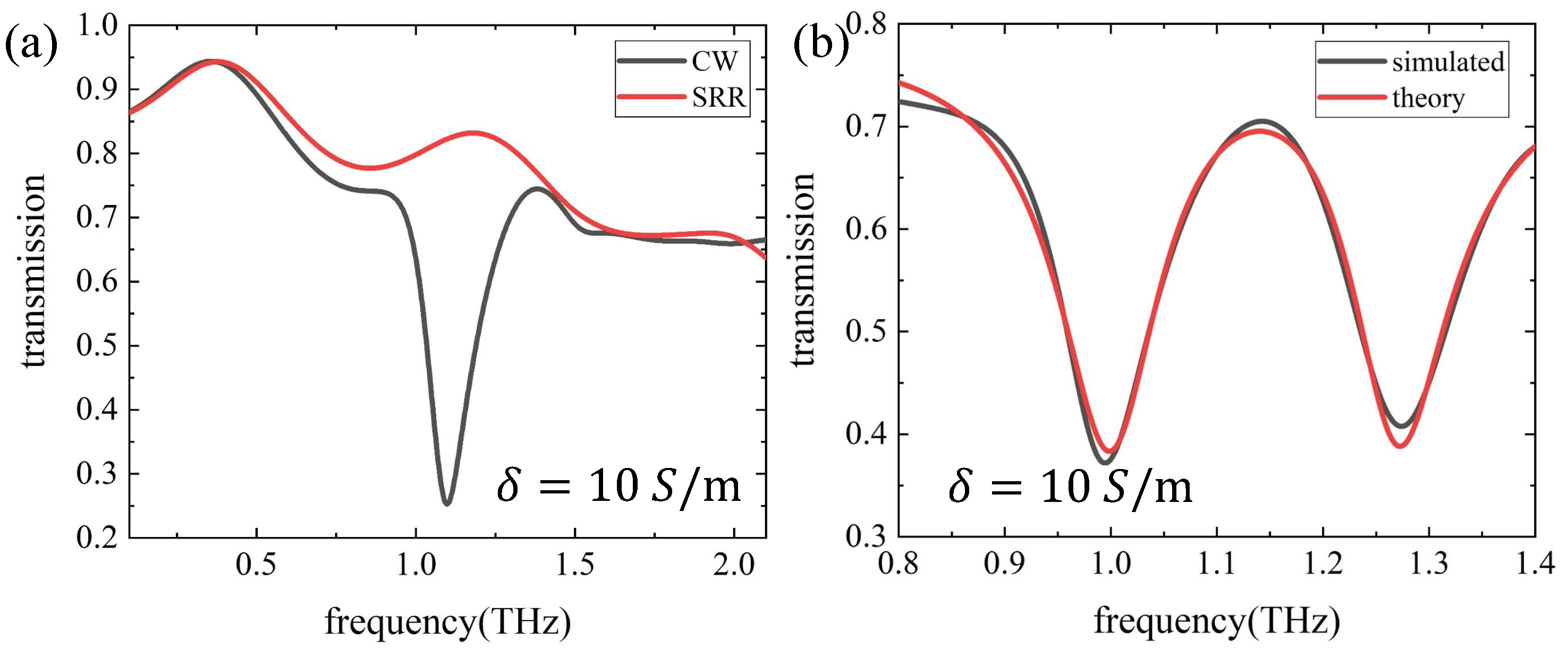
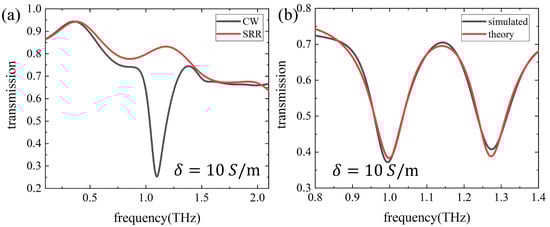
4.2. Perfect Metamaterial Absorber (PMA) with Phase Changing
5. Discussion
6. Conclusions
Author Contributions
Funding
Institutional Review Board Statement
Informed Consent Statement
Data Availability Statement
Conflicts of Interest
References
- Tonouchi, M. Cutting-edge terahertz technology. Nat. Photonics 2007, 1, 97–105. [Google Scholar] [CrossRef]
- Huang, W.; Liu, S.; Cao, S.; Guo, C.; Yin, S.; Du, X.; Zhang, W. Quantum master equation for coupling mechanism of metamaterial. Results Phys. 2022, 34, 105262. [Google Scholar] [CrossRef]
- Feng, H.; An, D.; Tu, H.; Bu, W.; Wang, W.; Zhang, Y.; Wu, S. A passive video-rate terahertz human body imager with real-time calibration for security applications. Appl. Phys. B-Lasers Opt. 2020, 126, 143. [Google Scholar] [CrossRef]
- Sun, Q.; He, Y.; Liu, K.; Fan, S.; Parrott, E.P.; Pickwell-MacPherson, E. Recent advances in terahertz technology for biomedical applications. Quant. Imaging Med. Surg. 2017, 7, 345–355. [Google Scholar] [CrossRef] [PubMed]
- Srivastava, Y.K.; Ako, R.T.; Gupta, M.; Bhaskaran, M.; Sriram, S.; Singh, R. Terahertz sensing of 7 nm dielectric film with bound states in the continuum metasurfaces. Appl. Phys. Lett. 2019, 115, 151105. [Google Scholar] [CrossRef]
- Ferguson, B.; Zhang, X.C. Materials for terahertz science and technology. Nat. Mater. 2002, 1, 26–33. [Google Scholar] [CrossRef] [PubMed]
- Yu, N.; Genevet, P.; Kats, M.A.; Aieta, F.; Tetienne, J.P.; Capasso, F.; Gaburro, Z. Light propagation with phase discontinuities: Generalized laws of reflection and refraction. Science 2011, 334, 333–337. [Google Scholar] [CrossRef] [PubMed]
- Niu, L.; Xu, Q.; Zhang, X.; Zhang, Z.; Li, S.; Chen, X.; Zhang, W. Coupling plasmonic system for efficient wavefront control. ACS Appl. Mater. Interfaces 2021, 13, 5844–5852. [Google Scholar] [CrossRef]
- Huang, W.; Hao, X.; Cheng, Y.; Yin, S.; Han, J.; Zhang, W. Broadband terahertz half-wave plate with multi-layered metamaterials designed via quantum engineering. J. Light. Technol. 2021, 39, 7925–7929. [Google Scholar] [CrossRef]
- Zouhdi, S.; Sihvola, A.; Vinogradov, A.P. Metamaterials and Plasmonics: Fundamentals, Modelling, Applications; Springer Science and Business Media: Berlin, Germany, 2008. [Google Scholar]
- Wang, D.; Yi, Z.; Ma, G.; Dai, B.; Yang, J.; Zhang, J.; Bian, Q. Two-channel photonic crystal fiber based on surface plasmon resonance for magnetic field and temperature dual-parameter sensing. Phys. Chem. Chem. Phys. 2022, 24, 21233–21241. [Google Scholar] [CrossRef]
- Noginov, M.A.; Viktor, A.P. Tutorials in Metamaterials; CRC Press: Boca Raton, FL, USA, 2011. [Google Scholar]
- Landy, N.I.; Sajuyigbe, S.; Mock, J.J.; Smith, D.R.; Padilla, W.J. Perfect metamaterial absorber. Phys. Rev. Lett. 2008, 100, 207402. [Google Scholar] [CrossRef] [PubMed]
- Yang, D.; Zhang, C.; Li, X.; Lan, C. InSb-enhanced thermally tunable terahertz silicon metasurfaces. IEEE Access 2019, 7, 95087–95093. [Google Scholar] [CrossRef]
- Huang, L.; Chen, H.T. A brief review on terahertz metamaterial perfect absorbers. Terahertz Sci. Technol. 2013, 6, 26–39. [Google Scholar]
- Liu, X.; Starr, T.; Starr, A.F.; Padilla, W.J. Infrared spatial and frequency selective metamaterial with near-unity absorbance. Phys. Rev. Lett. 2010, 104, 207403. [Google Scholar] [CrossRef] [PubMed]
- Zhang, Y.; Hao, X.; Huang, W.; Zhang, W.; Wang, J. Active and accurate temperature control of terahertz functional devices using a micro-hotplate system. J. Phys. D Appl. Phys. 2021, 55, 135108. [Google Scholar] [CrossRef]
- Wang, X.; Lin, J.; Yan, Z.; Yi, Z.; Yu, J.; Zhang, W.; Qin, F.; Wu, P. Tunable high-sensitivity sensing detector based on Bulk Dirac semimetal. RSC Adv. 2022, 12, 32583. [Google Scholar] [CrossRef] [PubMed]
- Shangguan, Q.; Chen, Z.; Yang, H.; Cheng, S.; Yang, W.; Yi, Z.; Wu, P. Design of ultra-narrow band graphene refractive index sensor. Sensors 2022, 22, 6483. [Google Scholar] [CrossRef]
- Zheng, Z.; Luo, Y.; Yang, H.; Yi, Z.; Zhang, J.; Song, Q.; Wu, P. Thermal tuning of terahertz metamaterial absorber properties based on VO2. Phys. Chem. Chem. Phys. 2022, 24, 8846–8853. [Google Scholar] [CrossRef]
- Hsu, C.W.; Zhen, B.; Stone, A.D.; Joannopoulos, J.D.; Soljačić, M. Bound states in the continuum. Nat. Rev. Mater. 2016, 1, 16048. [Google Scholar] [CrossRef]
- Marinica, D.C.; Borisov, A.G.; Shabanov, S.V. Bound states in the continuum in photonics. Phys. Rev. Lett. 2008, 100, 183902. [Google Scholar] [CrossRef]
- Plotnik, Y.; Peleg, O.; Dreisow, F.; Heinrich, M.; Nolte, S.; Szameit, A.; Segev, M. Experimental observation of optical bound states in the continuum. Phys. Rev. Lett. 2011, 107, 183901. [Google Scholar] [CrossRef] [PubMed]
- Huang, W.; Liu, S.; Cheng, Y.; Han, J.; Yin, S.; Zhang, W. Universal coupled theory for metamaterial bound states in the continuum. New J. Phys. 2021, 23, 093017. [Google Scholar] [CrossRef]
- Gu, J.; Singh, R.; Liu, X.; Zhang, X.; Ma, Y.; Zhang, S.; Zhang, W. Active control of electromagnetically induced transparency analogue in terahertz metamaterials. Nat. Commun. 2012, 3, 1151. [Google Scholar] [CrossRef] [PubMed]
- Huang, W.; Wei, Z.; Tan, B.; Yin, S.; Zhang, W. Inverse engineering of electromagnetically induced transparency in terahertz metamaterial via deep learning. J. Phys. D Appl. Phys. 2012, 54, 135102. [Google Scholar] [CrossRef]
- Liu, X.; Gu, J.; Singh, R.; Ma, Y.; Zhu, J.; Tian, Z.; Zhang, W. Electromagnetically induced transparency in terahertz plasmonic metamaterials via dual excitation pathways of the dark mode. Appl. Phys. Lett. 2012, 100, 131101. [Google Scholar]
- Chen, H.; Chen, Z.; Yang, H.; Wen, L.; Yi, Z.; Zhou, Z.; Wu, P. Multi-mode surface plasmon resonance absorber based on dart-type single-layer graphene. RSC Adv. 2022, 12, 7821–7829. [Google Scholar] [CrossRef]
- Zhao, F.; Lin, J.; Lei, Z.; Yi, Z.; Qin, F.; Zhang, J.; Wu, P. Realization of 18.97% theoretical efficiency of 0.9 μm thick c-Si/ZnO heterojunction ultrathin-film solar cells via surface plasmon resonance enhancement. Phys. Chem. Chem. Phys. 2022, 24, 4871–4880. [Google Scholar] [CrossRef]
- Zheng, Z.; Zheng, Y.; Luo, Y.; Yi, Z.; Zhang, J.; Liu, Z.; Wu, P. A switchable terahertz device combining ultra-wideband absorption and ultra-wideband complete reflection. Phys. Chem. Chem. Phys. 2022, 24, 2527–2533. [Google Scholar] [CrossRef]
- Wu, X.; Zheng, Y.; Luo, Y.; Zhang, J.; Yi, Z.; Wu, X.; Wu, P. A four-band and polarization-independent BDS-based tunable absorber with high refractive index sensitivity. Phys. Chem. Chem. Phys. 2021, 23, 26864–26873. [Google Scholar] [CrossRef]
- Zhang, Y.; Liu, S.; Huang, W.; Dong, E.; Li, H.; Shi, X.; Luo, Z. Plasmon-induced transparency effect in hybrid terahertz metamaterials with active control and multi-dark modes. Chin. Phys. B 2022, 31, 068702. [Google Scholar] [CrossRef]
- Zhou, F.; Qin, F.; Yi, Z.; Yao, W.; Liu, Z.; Wu, X.; Wu, P. Ultra-wideband and wide-angle perfect solar energy absorber based on Ti nanorings surface plasmon resonance. Phys. Chem. Chem. Phys. 2021, 23, 17041–17048. [Google Scholar] [CrossRef] [PubMed]
- Wang, D.; Sun, S.; Feng, Z.; Tan, W. Enabling switchable and multifunctional terahertz metasurfaces with phase-change material. Opt. Mater. Express 2020, 10, 2054–2065. [Google Scholar] [CrossRef]
- Li, J.S.; Li, Z.W. Dual functional terahertz metasurface based on vanadium dioxide and graphene. Chin. Phys. B 2020, 31, 094201. [Google Scholar] [CrossRef]
- Liu, Z.; Qi, L.; Ahmed Uqaili, J.; Yang, J.; Tao, X.; Sun, D.; Lan, C. A Multi-functional terahertz metamaterial with polarization-controlled EIT and broadband absorption. Mod. Phys. Lett. B 2022, 36, 2250099. [Google Scholar] [CrossRef]
- Tassin, P.; Zhang, L.; Koschny, T.; Economou, E.N.; Soukoulis, C.M. Low-loss metamaterials based on classical electromagnetically induced transparency. Phys. Rev. Lett. 2009, 102, 053901. [Google Scholar] [CrossRef] [PubMed]
- Papasimakis, N.; Fedotov, V.A.; Zheludev, N.I.; Prosvirnin, S.L. Metamaterial analog of electromagnetically induced transparency. Phys. Rev. Lett. 2008, 101, 253903. [Google Scholar] [CrossRef] [PubMed]
- Wen, Q.Y.; Zhang, H.W.; Yang, Q.H.; Xie, Y.S.; Chen, K.; Liu, Y.L. Terahertz metamaterials with VO2 cut-wires for thermal tunability. Appl. Phys. Lett. 2010, 97, 021111. [Google Scholar] [CrossRef]
- Zhu, Y.; Vegesna, S.; Zhao, Y.; Kuryatkov, V.; Holtz, M.; Fan, Z.; Bernussi, A.A. Tunable dual-band terahertz metamaterial bandpass filters. Opt. Lett. 2013, 38, 2382–2384. [Google Scholar] [CrossRef]
- Zhu, Y.; Zhao, Y.; Holtz, M.; Fan, Z.; Bernussi, A.A. Effect of substrate orientation on terahertz optical transmission through VO2 thin films and application to functional antireflection coatings. JOSA B 2012, 29, 2373–2378. [Google Scholar] [CrossRef]
- Verslegers, L.; Yu, Z.; Ruan, Z.; Catrysse, P.B.; Fan, S. From electromagnetically induced transparency to superscattering with a single structure: A coupled-mode theory for doubly resonant structures. Phys. Rev. Lett. 2012, 108, 083902. [Google Scholar] [CrossRef]
- Chen, K.; Adato, R.; Altug, H. Dual-band perfect absorber for multispectral plasmon-enhanced infrared spectroscopy. ACS Nano 2012, 6, 7998–8006. [Google Scholar] [CrossRef] [PubMed]
- Ning, C.Z.; Dou, L.; Yang, P. Bandgap engineering in semiconductor alloy nanomaterials with widely tunable compositions. Nat. Rev. Mater. 2017, 2, 17070. [Google Scholar] [CrossRef]
- Chen, H.T. Interference theory of metamaterial perfect absorbers. Opt. Express 2011, 20, 7165–7172. [Google Scholar] [CrossRef] [PubMed]
- Li, H.; Ji, C.; Ren, Y.; Hu, J.; Qin, M.; Wang, L. Investigation of multiband plasmonic metamaterial perfect absorbers based on graphene ribbons by the phase-coupled method. Carbon 2019, 141, 481–487. [Google Scholar] [CrossRef]







Disclaimer/Publisher’s Note: The statements, opinions and data contained in all publications are solely those of the individual author(s) and contributor(s) and not of MDPI and/or the editor(s). MDPI and/or the editor(s) disclaim responsibility for any injury to people or property resulting from any ideas, methods, instructions or products referred to in the content. |
© 2023 by the authors. Licensee MDPI, Basel, Switzerland. This article is an open access article distributed under the terms and conditions of the Creative Commons Attribution (CC BY) license (https://creativecommons.org/licenses/by/4.0/).
Share and Cite
Zhang, Y.; Jing, B.; Liu, S.; Hao, X.; Luo, Z.; Zou, J.; Yin, S.; Huang, W.; Zhang, W. Conversion and Active Control between Electromagnetic Induced Transparency and Absorber in Terahertz Metasurface. Photonics 2023, 10, 159. https://doi.org/10.3390/photonics10020159
Zhang Y, Jing B, Liu S, Hao X, Luo Z, Zou J, Yin S, Huang W, Zhang W. Conversion and Active Control between Electromagnetic Induced Transparency and Absorber in Terahertz Metasurface. Photonics. 2023; 10(2):159. https://doi.org/10.3390/photonics10020159
Chicago/Turabian StyleZhang, Yuting, Benqin Jing, Songyi Liu, Xiaoyuan Hao, Zhongyue Luo, Jinhua Zou, Shan Yin, Wei Huang, and Wentao Zhang. 2023. "Conversion and Active Control between Electromagnetic Induced Transparency and Absorber in Terahertz Metasurface" Photonics 10, no. 2: 159. https://doi.org/10.3390/photonics10020159
APA StyleZhang, Y., Jing, B., Liu, S., Hao, X., Luo, Z., Zou, J., Yin, S., Huang, W., & Zhang, W. (2023). Conversion and Active Control between Electromagnetic Induced Transparency and Absorber in Terahertz Metasurface. Photonics, 10(2), 159. https://doi.org/10.3390/photonics10020159

