Next Article in Journal
Superluminescent Diodes Based on Chirped InGaAs/GaAs Quantum Well-Dot Layers
Next Article in Special Issue
Two-Step Performance Optimization of CsPbBr3 Perovskite Nanocrystals for Wide Color Gamut Displays
Previous Article in Journal / Special Issue
Controlling Plasmon Resonance of Gold and Silver Nanoparticle Arrays with Help of Liquid Crystal
 
 
Font Type:
Arial Georgia Verdana
Font Size:
Aa Aa Aa
Line Spacing:
Column Width:
Background:
Article

Waveguide Properties of Homogeneously Aligned Liquid Crystal Layers between ITO Electrodes and Thin Alignment Films

by
Serguei P. Palto
* and
Artur R. Geivandov
Shubnikov Institute of Crystallography, Federal Scientific Research Centre “Crystallography and Photonics”, Russian Academy of Sciences, Leninsky Prospect 59, Moscow 119333, Russia
*
Author to whom correspondence should be addressed.
Photonics 2023, 10(10), 1089; https://doi.org/10.3390/photonics10101089
Submission received: 29 August 2023 / Revised: 22 September 2023 / Accepted: 26 September 2023 / Published: 28 September 2023
(This article belongs to the Special Issue Liquid Crystals in Photonics)

Abstract

:
Numerical studies of the waveguide properties of liquid crystal layers bounded by substrates with indium tin oxide (ITO) electrodes using the finite difference time-domain (FDTD) method are carried out. On the basis of the experimental transmittance spectra of ITO-coated glass substrates in the visible and near-infrared ranges, a Lorentz model describing the dielectric properties of the ITO electrodes is created. Then, by numerical modeling, optical systems including a homogeneously aligned LC layer between the thin alignment films and the ITO electrodes on the quartz substrates are studied. It is shown that, in the case of the use of traditional alignment films or their absence, the ITO electrodes lead to significant resonant losses in the waveguide mode for both TE- and TM-polarized light. The losses mechanism based on a phase-synchronized mode coupling occurring in relatively narrow spectral ranges is discussed. We also propose a method to control and exclude the losses using thin alignment films with a proper thickness and low refractive index.

1. Introduction

Along with well-known display applications, liquid crystals (LCs) are of great interest for various photonic devices. These are electrically controlled beam-steering devices and switched gratings [1,2], lenses and arrays of high-aperture lenses [3,4,5,6,7], liquid crystal metasurfaces [8,9,10], as well as liquid crystal light amplifiers and microlasers [11,12,13,14,15,16]. In many cases, the operation of these devices presupposes an effective waveguide mode of light propagation. The waveguide regime in the LC layers has long been investigated in connection with liquid crystal optical switches and nematicons [16,17,18,19]. Recently, the waveguide mode was also proposed for the display applications [20]. However, in recent decades, this regime has also become attractive from the point of view of laser generation in liquid crystal layers [14,15,16]. For example, [16] reports a significant decrease in the generation threshold in the LC lasers when using the in-plane geometry utilizing the waveguide mode. In [14], a relatively low-threshold laser effect in the waveguide mode was obtained using a liquid crystal structure with a deformed lying helix. However, a deformed lying helix structure occurs only in the presence of an electric field, which in turn inevitably implies the existence of electrodes that bound the LC layer and, accordingly, waveguide energy losses in the electrodes. We believe that study of the losses that can appear in LCs for light propagating in the waveguide mode in order to decrease them is of crucial significance for in-plane low-threshold LC lasing.
As a rule, thin transparent indium tin oxide (ITO) coatings are used as electrodes. However, despite numerous studies of liquid crystals in waveguide mode, there is practically no information in the literature on the effect of ITO electrode parameters on light energy losses. This partly can be explained by the complexity of experimenting with the LC layers in the waveguide mode. It is rather difficult and expensive to vary, for example, the geometric parameters of ITO coatings in liquid crystal experiments. In addition, for the alignment of the LCs, additional thin layers are needed that can “shield” the LC layer from ITO electrodes, which makes it difficult to study the effect of ITO layers.
In this work, we try to reveal in detail the mechanisms of light loss associated with the presence of ITO coatings. The effect of ITO electrodes on the propagation of light through the LC layer in the waveguide mode is investigated numerically. The numerical approach makes it easy to both exclude and add thin layers that align LCs, thus allowing the impact of both ITO coatings and alignment layers to be assessed. As a numerical method, we use the finite difference time-domain (FDTD) method to solve Maxwell’s equations in the time domain. At the same time, we build the ITO dielectric model on the basis of experimental optical transmittance spectra obtained in a wide spectral range for industrial ITO-coated glasses used in LC display technologies. The use of the FDTD method, taking into account the spectral dispersion of ITO, makes it possible, in our opinion, to obtain the most realistic picture of the light propagation in the waveguide mode and the associated losses.

2. Specific Features of the Used FDTD Software and Lorentz Model

The FDTD method is currently one of the most popular for numerical modeling of complex optical systems. The method is based on the numerical solution of Maxwell’s equations in the time domain. The latter suggests that the relationship between electric and magnetic displacement and the corresponding field strengths also has a representation in the time domain. In the case of materials with a spectral dispersion of the dielectric permittivity, this relationship is not simple, and an appropriate model with time-domain equations is required. One of the most popular and versatile models that allows simulation of both dielectrics and metals taking into account the spectral dispersion is the Lorentz model [21,22]. This model, extended to describe optically anisotropic materials, is used in our FDTD software created by one of the authors (SPP) of this work. Below we provide information that makes it easier to understand the approach we use and the results of the simulation.
In the frequency domain, the components of the polarization vector P of the material are expressed as a superposition of contributions from individual oscillators with an oscillator force fm,j:
P j ω = ε 0 E j m ω p 2 f m , j ω 0 , m 2 ω 2 + i ω Γ m ,
where Γm is the damping factor characterizing the width of the m-th oscillator absorption band, ω0,m is the resonant frequency of the m-th oscillator, ωp is the plasmonic frequency, j a , b , c is the oscillator index corresponding to one of the principal axes of an anisotropic material, Ej is the j-component of the electric field vector, ε0 is the free space dielectric permittivity.
Note that, since in our case the LC materials are optically anisotropic and can be characterized by an inhomogeneous director distribution, the oscillators parameters are set independently for the three principal directions corresponding to the main axes of the local dielectric tensor. Since the main axes generally do not coincide with the xyz axes of the laboratory coordinate system, a coordinate transformation is required to find the corresponding components of the polarization vector and the components of the permittivity tensor in the laboratory coordinate system. Below, to simplify the presentation, the equations are written only for one of the spatial components of the polarization vector and the electric field under the assumption of the coincidence of the main axes and axes of the laboratory system, omitting the index j.
For each contribution in the frequency-domain expression (1) there is the following equation in the time domain:
2 P m ( t ) t 2 + t Γ m P m ( t ) + ω 0 , m 2 P m t f m ω p 2 E t = 0 .
In our software, Equation (2) is solved in the representation of displacement currents Jm(t) = dPm(t)/dt as:
J m ( t ) t + Γ m J m t + ω 0 , m 2 P m t f m ω p 2 E t = 0 ,
where the electric field E(t) is related to the electric displacement D(t) as:
D t = ε 0 ε E t + P ( t ) ,
where P(t) is time dependent polarization defined by contributions from all the oscillators, ε is the dielectric permittivity at a conditionally infinite frequency.
The power of the Lorentz model is that, for any material with a spectral dispersion defined in the frequency domain, we have ready-to-use equations in the time domain for updating the field vectors D and E in accordance with the FDTD algorithm.
The relative dielectric permittivity in the frequency-domain representation is
ε ω = ε + m f m ω p 2 ω 0 , m 2 ω 2 + i Γ m ω ,
and for the real and imaginary parts of the permittivity one can obtain:
R e ε ( ω ) = ε + m A m ω 0 , m 2 ω 2 ω 0 , m 2 ω 2 2 + Γ m ω 2 ,
I m ε ω = m A m Γ m ω ω 0 , m 2 ω 2 2 + Γ m ω 2 ,
where Amfmωp2.
The features of our software interface are such that, instead of optical frequency values, damping factor, and Am, we use free space wavelengths (λ), real part (n) of the complex refractive index, and absorption coefficients (k) connected to the imaginary part (κ) of the complex refractive index as k = 4πκ/λ, which is more familiar to those who are engaged in optical spectroscopy in the visible spectral range. In this case, the relationship of these quantities with the complex dielectric constant is as follows:
ε = n + i k λ 4 π 2
and the parameters of the Lorentz bands in (6) and (7) are given by the values km, λ0,m, Δλm, n, based on the following definitions:
A m = I m ε | ω = ω 0 , m Γ m ω 0 , m = n k m c Γ m ,
where c is the free space light speed, km is the value of the absorption coefficient for the m-th oscillator at a resonant wavelength λ0,m = 2πc/ω0,m, and n is real part of the refractive index at a conditionally infinite frequency, since the contribution to the real part of the dielectric constant from the oscillator at the resonant frequency according to (6) is zero.
Since the Γm characterizes the width of the absorption band, in our software it is accordingly defined in terms of an effective width Δλ absorption band as follows:
Γ m = 2 π c Δ λ m λ 0 , m 2 .
Thus, the individual oscillators in the software interface are defined by three parameters: (i) resonant absorption coefficient km, (ii) resonant wavelength λ0,m, (iii) effective absorption bandwidth Δλm.
To account for optical anisotropy, the three independent quantities km and n are defined for the three main axes of the dielectric tensor. The main axes in the general case may not coincide with the axes of the laboratory coordinate system, and their orientation may vary in space. Therefore, to find the corresponding components of polarization, currents, electric field, and electric displacement in the laboratory system, an appropriate coordinate transformation is used. This allows us to simulate the LC systems with an inhomogeneous director distribution, although in this paper we restrict ourselves to considering homogeneously aligned LC layers in which the principal axes coincide with the axes of the laboratory xyz coordinate system, and ITO is considered as an optically isotropic material.

3. ITO Experimental Transmittance Spectra and Lorentz Model

Figure 1 (curve 1) shows the experimental spectrum of the ITO film on the glass substrate. Industrial ITO-coated soda-lime glass for display technology is used as the sample. In this case, the ITO film has a fairly low electrical resistance and, accordingly, a relatively high thickness of 170 ± 15 nm, measured by us both using an electron microscope and Linnik interferometer.
The transmittance spectrum of the ITO-coated glass substrate is measured using a Fourier-transform spectrometer of local design in a range of 450–2000 nm, as well as using an fiber optic spectrometer (Avaspec ULS2048 by Avantes, Netherlands) in a range of 360–1000 nm. The obtained data (Figure 1) are in good agreement with literature [23]. The spectra show pronounced Fabry–Perot oscillations with positions of spectral maxima depending on the ITO refractive index and thickness. In our case, these positions are well correlated with the data in [23].
To determine the spectral dependence of the complex permittivity, we built the Lorentz model, which also is used in the FDTD simulations. The creation of the model is based on calculations of the transmittance spectrum of the ITO film on the glass substrate, taking into account the spectral dispersion of the glass [24] when varying the set and parameters of the Lorentz oscillators until the difference between the calculated and experimental spectra comes within the measurement error of the latter, Figure 1. The parameters of our model according to expressions (6)–(10) are presented in Table 1.
The above set of oscillators does not necessarily correctly describe the absorption outside the spectral interval of our interest (360–2000 nm). This set is also not the only possible one for the correct description of the measured spectra of the transmittance. This, however, is not a problem affecting the reliability of numerical calculations, because the transmittance and reflectance are uniquely defined by the integral spectral dependence of the complex permittivity in the desired spectral range. It is natural that, in a restricted spectral range, the complex permittivity can be approximated within a given error by a superposition of form (5) with different sets of oscillators.
It should also be mentioned that, due to the Lorentzians peculiarity associated with the weak attenuation of the absorption on their “wings” (far from the maximum), in order to achieve the low absorption coefficients observed in the visible spectral range, we introduced a wide-band Lorentzian with a negative absorption coefficient (oscillator 3 in Table 1). The spectral range of 360–2000 nm we are interested in is far from the maximum absorption of ITO in the ultraviolet (UV) region. Therefore, UV absorption is modeled by only a few narrow Lorentzians, providing the required normal spectral dispersion of the real part of the complex refractive index.
The model dependences of the spectra of the real and imaginary dielectric permittivity of ITO are shown in Figure 2. The corresponding spectra of the real and imaginary parts of the complex refractive index are shown in Figure 3. We will need these spectral dependences below when discussing the features associated with losses in the waveguide regime. It should be noted that, using these spectral dependences, the method of complex 4 × 4 matrices, known as the Berreman method [25], can also be used to calculate the transmittance spectra of ITO films on glass substrates. These calculations were also performed, fully confirming the result in Figure 1, obtained by the FDTD method.
In the spectral range of 360–1000 nm, the refractive index dependence n(λ) in Figure 3 is close to that for ITO in the same spectral range presented in [26] (see data shown by square-shaped symbols). However, the values of the refractive index from [26] are systematically higher compared to our data over the whole spectral range except for the short wavelengths range near 400 nm. The last can be associated not only with measurements errors (the most significant source of inaccuracy ~10% in our model is related to the measurements of the ITO-film thickness), but with the dependence of the ITO permittivity on the technological conditions of the ITO-film deposition.
Quite important is that, in the infrared (IR) region (at wavelengths greater than 1300 nm), the real part of the dielectric permittivity becomes negative (Figure 2), and the refractive index n (Figure 3) is less than unit. This is due to the fact that in this spectral range, the contribution from long-wavelength oscillators 4–6 (Table 1), due to anomalous dispersion, prevails over the contribution from the UV oscillators that provide normal spectral dispersion of the refractive index. Thus, in the IR region, the spectral behavior of ITO is similar to that of metals with the possibility of excitation of TM-polarized plasmonic states [27].

4. FDTD Model of the Liquid Crystal Cell

Figure 4 shows the FDTD model of the optical system we studied. The model includes the LC layer placed between two ITO electrodes (ITO-1, ITO-2). The thickness of the LC layer ranged from 2 to 3 μm. The thickness of the ITO electrodes also varied from 0.1 to 0.2 μm. To study the influence of the alignment layers, additional layers are placed onto the ITO surface (see Section 5.3), which exist in the experimental samples and serve to align the LC. To facilitate the interpretation of the data, we neglected the spectral dispersion of the principal values of the refractive indices of the LC, and we used the following values: n|| = 1.7, n = 1.52. These values are shown by straight horizontal lines in Figure 3 for comparison with the corresponding values of the ITO refractive index (n). We also neglected the absorption coefficient of the LC, which in the experimental samples is too small to make a meaningful contribution to the losses through the simulated length L of the LC layer along the x direction. The simulated waveguide length L varied in the range from 5 to 20 μm and is limited to a maximal value of 20 μm, taking into account significant computing resources required for the simulations with a spatial resolution up to 10 nm.
Numerical studies are carried out for two fundamentally important LC alignments: (i) homeotropic (vertical), when the long axes of the LC molecules (director) are perpendicular to the ITO surface (z-axis); and (ii) planar, wherein the LC director is in the y-direction.
Due to the homogeneity of the optical system in the y-direction, the FDTD simulations are restricted by solving the two-dimensional problem.
A pulsed unidirectional light source is used, Figure 4. The duration of the light pulse is 2 fs, which provides a sufficiently wide spectrum for virtual registration of the electromagnetic field in the spectral range from 360 to 2000 nm, corresponding to the spectral range of our ITO model. The light pulse is injected directly at the left boundary of the LC layer and, after passing the length L along the x direction, is registered by the virtual light sensor. The transmittance spectrum is calculated as the ratio of the average values of the Poynting vector on the sensor z-line at the output of the layer to the corresponding values of the light source found as a result of the Fourier transform of the time dependences of the electromagnetic field. The time dependences of the electromagnetic field are recorded on a time interval that provides, according to the properties of the Fourier transform, a spectral resolution of about 2 nm in the visible range.
Thick quartz substrates, onto which the ITO electrodes are coated, are taken into account by a transparent medium with a refractive index n0 of 1.46, which is the external medium with respect to the ITO-LC-ITO system (spectral dispersion is not taken into account to facilitate the interpretation of the data). To eliminate the reflections from the boundaries of the computational domain, the “uniaxial perfectly matched layers” (UPML) are used [21,22,28].

5. Discussion

5.1. FDTD Simulation Results

Figure 5 shows the simulated transmittance spectra of the ITO-LC-ITO optical system in the waveguide mode. In this example, the liquid crystal is in direct contact with the ITO electrodes, i.e., there are no additional polymer films used in the experimental LC cells for the alignment. Such an idealized system is, of course, simplistic. However, this, as shown below, facilitates the interpretation of losses for transverse magnetic (TM) and transverse electric (TE) polarized light modes.
The spectra for the homeotropic (a) and planar (b) alignment of the LC have common properties, except for the spectral position of the loss bands characterized by a drop in the transmittance. Therefore, let us dwell in detail on the spectra for the homeotropic-alignment layer (the director of the LC is along the z-axis), Figure 5a, Figure 6 and Figure 7.
In the case of TM-polarized light (the electric vector is in the xz plane), two pronounced loss bands exist in the visible range with transmittance minima at wavelengths of 400 and 560 nm for the ITO films with a thickness of 0.2 μm, Figure 5a. As follows from the data in Figure 6, the position of the spectral minima in the visible region of the spectrum does not depend on the thickness of the LC layer (Figure 6a). However, there is a pronounced dependence of the spectral position on the thickness of the ITO layers, Figure 6b.
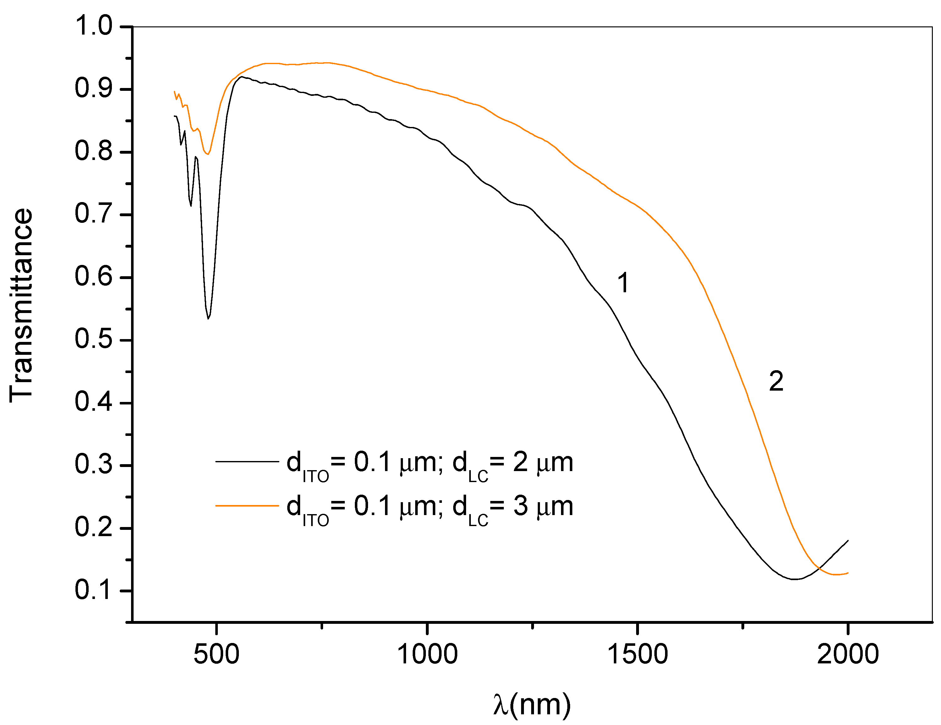
Figure 6a shows that a decrease in the thickness of the LC layer leads to an increase in resonance losses in the visible spectral range at the fixed spectral position of the loss bands. In the IR range (Figure 7), the losses also increase, but this is due to the spectral shift of the loss maximum to the shorter wavelengths, which is clearly seen from a comparison of curves 1 and 2. The explanation can be given within the framework of the model discussed below in Section 5.2. In the visible range, where nLC < nITO, the increase in the thickness of the LC layer results in the smaller fraction of the light energy distributed over the whole LC thickness penetrating into the ITO layer. This is because in the visible range we deal with the quasi-planar wave in the LC (see the model in Section 5.2). Thus, only the light energy localized in the LC at about of the wavelength distance from the LC-ITO interface participates in the formation of the oblique wave inside the ITO layer in accordance with the phase-matching condition. The model presented below also explains the preservation of the spectral positions of loss maxima in the visible range at variable LC layer thickness and dependence of these positions on the ITO layer thickness. In the IR range, where nLC > nITO, the role of the layers is inverted according to the model. The spectral position of the loss maximum becomes dependent on the thickness of the LC layer and shifted to the shorter wavelengths in case of lowering the LC layer thickness.
Unlike for the TE-polarized light, for the TM polarization there are significant losses in the IR region of the spectrum, which manifest themselves by decreased transmittance in a very wide spectral range 1000–2000 nm. It is significant that, in contrast to the visible spectral range, where, at a fixed thickness of ITO layers, the position of the transmittance minimum does not depend on the thickness of the LC layer (Figure 6a), in the infrared region, an increase in the thickness LC layer shifts the transmittance minimum to the short-wave region of the spectrum, Figure 7. It is also essential that losses in the IR region occur only for the TM-polarized light, Figure 5a. For the TE-polarization in the wide spectral range 1000–2000 nm, only a slight increase in losses is observed with increasing the wavelength.

5.2. Phase-Synchronized Mode Coupling Model

To understand the FDTD simulated features of the spectral behavior of the losses, let us consider the following model, Figure 8.
Within the framework of the model, the entire spectral range is divided into two subranges. In the first subrange (UV and visible spectral range), one of the principal refractive indices n2 (n2 is either n|| or n depending on light polarization and alignment) of the LC is less than the refractive index n1nITO, Figure 3. In the second subrange (near IR wavelengths), the situation is just opposite (n2 > nITO).
In the case when the principal refractive index of the LC (n2) is less than the ITO refractive index (n1), a wave in the LC layer with a wavevector k2, which is almost parallel to the x-axis (such a wave will be called as quasi-planar), is capable of exciting an oblique wave in the ITO layer. In the ITO layer, the wavevector k1 will be at an angle θ1, which is close to an angle of the total internal reflection (sin(θ1) ≅ n2/n1). When reflected from the boundaries, this wave will experience an additional phase shift, and there is a condition of phase synchronism between the quasi-planar wave in the LC layer and the inclined wave in the ITO layer. It is in the case of this condition that we can expect the constructive interference and, accordingly, the pumping of energy from the LC layer to the ITO layer. The phase synchronism condition between the quasi-planar wave with the wave vector k2 in the LC layer and the corresponding mode in the ITO layer with the wave vector k1 experiencing multiple reflection is as follows:
k 1 2 d I T O c o s ( θ 1 ) k 2 δ x + δ φ = 2 π m ,
where m is an integer, k1 = |k1|, k2 = |k2|, δx = 2dITO tan(θ1) is the semi-open interval between points A and C, in which there is a twofold reflection of the polarized wave at points B and C (Figure 8a), δφ is an additional phase shift that occurs due to the double reflection at points B and C on the interval δx.
Given that the wavenumber (k) is related to the refractive index (n) and the wavelength in free space (λ) as k = 2πn/λ, from condition (11) it is easy to obtain an expression for wavelengths corresponding to the phase synchronism:
λ c = 2 d I T O n 2 m δ φ 2 π n 1 n 2 2 1 ,
where the phase shift δφ can be determined as the sum of phase changes at point B (δφB) and C (δφC) using the known Fresnel’s equations as follows:
  • for TM-polarized light
δ φ = δ φ B + δ φ C = 2 π 2 a t a n sin θ 1 2 n 0 n 1 2 n 0 n 1 2 cos θ 1 + a t a n sin θ 1 2 n 2 n 1 2 n 2 n 1 2 cos θ 1 ,
  • and for TE-polarized light
δ φ = δ φ B + δ φ C = 2 a t a n sin θ 1 2 n 0 n 1 2 cos θ 1 + a t a n sin θ 1 2 n 2 n 1 2 cos θ 1
Figure 9 shows the wavelength dependences according to (12) for the TM-polarized light as a function of the refractive index n1. The bold blue curve also shows the dispersion of the ITO refractive index (Figure 3) in terms of the inverse function λ(n1) ≡ λ(nITO). The intersection of this curve with the dependencies of the form (12) for different integers m determines the wavelengths at which the phase synchronism condition is realized in the ITO layer.
In the case of the homeotropic-alignment LC layer (Figure 9a), there are two solutions (S1, S2) that correspond to wavelengths of 569 and 391 nm. They are in good agreement with the loss bands determined by the minimum transmittance wavelengths of 560 and 400 nm in Figure 5a (curve 1), showing only about 10 nm wavelength discrepancy.
For the planar-alignment LC layer (Figure 9b), there is also a good agreement for both the S1 and S2 solution (720, 440 nm) with numerical modeling (705, 455 nm), Figure 5b (curve 1). A more detailed analysis shows that this discrepancy can be explained by the approximate nature of our analytical model. In particular, in the calculations in Figure 9, we assumed that the angle θ1 is equal to the angle of total internal reflection. In fact, in the FDTD modeling, the propagating modes in the LC layer are not strictly planar.
Thus, the condition (11) of the phase synchronism makes it possible to explain both the appearance and spectral position of the loss maxima obtained by the FDTD modeling. Expression (12) also explains the absence of a change in the spectral position of the loss maximum from the thickness of the LC layer and the short-wave shift in the spectral position of the maximum loss with a decrease in the thickness of the ITO film, Figure 6.
If the refractive index of ITO turns out to be less than the refractive index of the LC (Figure 8b), then the condition of phase synchronism takes place for the quasi-planar mode in the ITO film and the oblique modes in the LC layer. In this case, to describe the phase synchronism with expressions (11)–(13), it is only necessary to make a substitution: k1k2; n1n2; dITOdLC. That is, the spectral position of the maximum loss will now depend on the thickness of the LC layer, as illustrated by the FDTD data in Figure 7 in the IR spectral range. As we have already mentioned, in the IR range, the real part of the complex permittivity takes negative values (Figure 2), which is a necessary condition for the excitation of plasmonic states. These plasmonic states can occur exclusively for TM-polarized light propagating along the ITO surface, which allows us to explain the most significant losses in the IR range for TM-polarized light compared to the TE modes, Figure 5.

5.3. Losses in Case of Alignment Layers

Figure 10 shows the simulation results in the case of the presence of thin alignment layers on the surface of the ITO electrodes. If we compare these spectra with the results in Figure 5, it can be seen that the use of materials with a low refractive index (na = 1.42) for the alignment films can significantly suppress the waveguide losses. In the case of homeotropic-alignment layers, almost complete suppression of resonant losses takes place for TM-polarized light in the spectral range up to 900 nm, Figure 10a (curve 3). However, in the IR region, intense losses remain. The latter appears to be related to the plasmonic loss mechanism for TM-polarized light mentioned above. For TE-polarized light, this loss mechanism is absent, and in the case of the planar-alignment layers, the losses are suppressed over the entire spectral range, Figure 10b (curve 4). For the homeotropic LC alignment, the maximal suppression of the losses takes place in case of TM-polarized light, while for the planar alignment it is for the TE-polarized mode. The last is explained by the fact that, in both cases, the polarized light interacts with the highest principal refractive index (n||) of the LC, when the difference (n||na) is maximal. Note that highly fluorinated polymers and copolymers, such as polyvinylidene fluoride with trifluoroethylene, have such low refractive indices. These copolymer films can be used for the LC alignment [29,30].
The use of alignment materials with a refractive index characteristic of polyimides (na = 1.6) and lying in the range between the principal refractive indices of the LC also leads to partial suppression of resonant losses (curve 1 in Figure 10a and curve 2 in Figure 10b). However, for the corresponding orthogonal polarizations, the resonant loss bands remain intense.
In our simulation, the thickness of the fluorinated film, when the losses are significantly suppressed, is 200 nm. An increase in this thickness leads to further reduction in the losses, since the refractive index of the fluorinated polymer is less than the lowest refractive index of the LC, and the degree of light penetration into the alignment film is defined by the evanescent wave. Unfortunately, lowering the thickness of the fluorinated film is also accompanied by an increase in resonance losses due to the enhanced influence of the evanescent wave in the film.
To compare the performance of the LC cells aligned by the fluorinated and polyimide films, the simulation of the latter is also made at a film thickness of 200 nm, despite the fact that the thickness of the polyimide films in experimental cells is usually significantly less. For the polyimide film, even at a thickness of 200 nm, the resonance losses remain significant. The reason for this is that the refractive index of polyimide is in the interval between the main refractive indices of the LC. The resonance losses, of course, will only increase with a decrease in the thickness, in limit, reaching the values obtained for the uncoated ITO.

6. Conclusions

Thus, using experimental spectral data, we created the Lorentz model and obtained the dispersion curves for the dielectric permittivity and the complex refractive index of the ITO films in a wide spectral range of 400–2000 nm. This Lorentz model was used to numerically study by the FDTD method the waveguide transmission in the LC layers bounded by ITO electrodes and thin alignment layers. We have shown that the presence of the ITO electrodes leads to resonant losses with characteristic spectral bands both in visible and infrared spectral range. In the visible spectral range, when the ITO refractive index is higher than the refractive index of the LC, the resonant losses are explained by the phase-synchronized pumping of energy from the quasi-planar modes propagating in the LC layer to the oblique modes in ITO layers. In case of the infrared spectral region, the losses for TM-polarized light can be associated with the quasi-planar modes near the ITO surfaces, which can also be connected to the excitation of plasmonic states because the real part of the ITO complex dielectric permittivity is negative. The use of alignment films of a thickness above 200 nm and with a low refractive index, characteristic, for example, of highly fluorinated materials, results in substantial suppression of the resonant losses.

Author Contributions

Conceptualization, methodology, numerical simulations, S.P.P.; validation, formal analysis, A.R.G.; investigation, S.P.P. and A.R.G.; writing—original draft preparation, S.P.P.; writing—review and editing, S.P.P. and A.R.G. All authors have read and agreed to the published version of the manuscript.

Funding

This work was performed within the State assignment of Federal Scientific Research Center “Crystallography and Photonics” of Russian Academy of Sciences.

Informed Consent Statement

Not applicable.

Data Availability Statement

Data sets generated during the current study are available from the corresponding author upon reasonable request.

Acknowledgments

We are grateful to our colleagues from Liquid Crystal Laboratory and Theoretical Department for many useful discussions.

Conflicts of Interest

The authors declare no conflict of interest.

References

  1. Rowan, M.; Cliff, J.; Mamatha, N. Liquid Crystal Devices for Beam Steering Applications. Micromachines 2021, 12, 247. [Google Scholar]
  2. Liang, W.; Chen, G.; Li, Z. Electrically controlled beam steering with wide deflection angles in liquid crystal photonic crystals. J. Opt. 2018, 20, 075106. [Google Scholar] [CrossRef]
  3. Nys, I.; Berteloot, B.; Neyts, K. Photoaligned Chiral Liquid Crystal Grating with Hysteresis Switching. Adv. Opt. Mater. 2022, 10, 2201289. [Google Scholar] [CrossRef]
  4. Nys, I.; Ropac, P.; Berteloot, B.; Ravnik, M.; Neyts, K. Highly dispersive liquid crystal diffraction gratings with continuously varying periodicity. J. Mol. Liq. 2023, 383, 122062. [Google Scholar] [CrossRef]
  5. Kexu, C.; Yang, H.; Shuking, C.; Dong, Y.; Huapeng, Y.; Guofu, Z. Design, Fabrication, and Applications of Liquid Crystal Microlenses. Adv. Opt. Mater. 2021, 9, 2101436. [Google Scholar]
  6. Bosh, M.; Shcherbakov, M.R.; Won, K.; Lee, H.-S.; Kim, Y.; Shvets, G. Electrically Actuated Varifocal Lens Based on Liquid-Crystal-Embedded Dielectric Metasurfaces. Nano Lett. 2021, 21, 3849–3856. [Google Scholar] [CrossRef]
  7. Palto, S.P.; Geivandov, A.R.; Kasyanova, I.V.; Simdyankin, I.V.; Artemov, V.V.; Gorkunov, M.V. Liquid crystal microlenses based on binary surface alignment controlled by focused ion beam treatment. Opt. Lett. 2021, 46, 3376–3379. [Google Scholar] [CrossRef]
  8. Abdelraouf, O.A.M.; Wang, Z.; Liu, H.; Dong, Z.; Wang, Q.; Ye, M.; Wang, X.R.; Wang, Q.J.; Liu, H. Recent Advances in Tunable Metasurfaces: Materials, Design, and Applications. ACS Nano 2022, 16, 13339–13369. [Google Scholar] [CrossRef]
  9. Badloe, T.; Lee, J.; Seong, J.; Rho, J. Tunable Metasurfaces: The Path to Fully Active Nanophotonics. Adv. Photonics Res. 2021, 2, 2000205. [Google Scholar] [CrossRef]
  10. Wang, J.; Li, K.; He, H.; Cai, W.; Liu, J.; Yin, Z.; Mu, Q.; Hisao, V.K.S.; Gérard, D.; Luo, D.; et al. Metasurface-Enabled High-Resolution Liquid-Crystal Alignment for Display and Modulator Applications. Laser Photonics Rev. 2022, 16, 2100396. [Google Scholar] [CrossRef]
  11. Coles, H.; Morris, S. Liquid-Crystal lasers. Nat. Photonics 2010, 4, 676–685. [Google Scholar] [CrossRef]
  12. Ortega, J.; Folcia, C.L.; Etxebarria, J. Liquid-crystal-based resonant cavities as a strategy to design low-threshold electrically-tunable lasers. Liq. Cryst. 2022, 49, 427–435. [Google Scholar] [CrossRef]
  13. Brown, C.M.; Dickinson, D.K.E.; Hands, P.J.W. Diode pumping of liquid crystal lasers. Opt. Laser Technol. 2021, 140, 107080. [Google Scholar] [CrossRef]
  14. Shtykov, N.M.; Palto, S.P.; Geivandov, A.R.; Umanskii, B.A.; Symdyankin, I.V.; Rybakov, D.O.; Artemov, V.V.; Gorkunov, M.V. Lasing in liquid crystal systems with a deformed lying helix. Opt. Lett. 2020, 45, 4328–4331. [Google Scholar] [CrossRef] [PubMed]
  15. Palto, S.P. The field-induced stop-bands and lasing modes in CLC layers with Deformed Lying Helix. Crystals 2019, 9, 469. [Google Scholar] [CrossRef]
  16. Inoue, Y.; Yoshida, H.; Inoue, K.; Fujii, A.; Ozaki, M. Improved Lasing Threshold of Cholesteric Liquid Crystal Lasers with In-Plane Helix Alignment. Appl. Phys. Express 2010, 3, 102702. [Google Scholar] [CrossRef]
  17. Anderson, M.; Rommel, S.; Davis, S. Liquid Crystal Waveguide for Dynamically Controlling Polarized Light. U.S. Patent 8,989,523B2, 24 March 2005. [Google Scholar]
  18. Davis, S.R.; Farca, G.; Rommel, S.D.; Johnson, S.; Anderson, M.H. Liquid Crystal Waveguides: New Devices Enabled by >1000 Waves of Optical Phase Control. Proc. SPIE 2010, 7618, 76180E-1–76180E-16. [Google Scholar]
  19. Assanto, G. Nematicons: Reorientational solitons from optics to photonics. Liq. Cryst. Rev. 2018, 6, 170–194. [Google Scholar] [CrossRef]
  20. Shin, Y.; Jiang, Y.; Wang, Q.; Zhou, Z.; Qin, G.; Yang, D.-K. Flexoelectric-effect-based light waveguide liquid crystal display for transparent display. Photonics Res. J. 2022, 10, 407–414. [Google Scholar] [CrossRef]
  21. Electromagnetic Analysis Using Finite-Difference Time Domain. Available online: https://empossible.net/academics/emp5304/ (accessed on 21 September 2023).
  22. Sullivan, D.M. Electromagnetic Simulation Using the FDTD Method; Pollard, R.D., Richard Booton, R., Eds.; IEEE Press Series on RF and Microwave Technology; Institute of Electrical and Electronics Engineers Inc.: New York, NY, USA, 2000. [Google Scholar]
  23. Kim, J.-H.; Seong, T.-Y.; Ahn, K.-J.; Chung, K.-B.; Seok, H.-J.; Seo, H.-J.; Kim, H.-K. The effects of film thickness on the electrical, optical, and structural properties of cylindrical, rotating, magnetron-sputtered ITO films. Appl. Surf. Sci. 2018, 440, 1211–1218. [Google Scholar] [CrossRef]
  24. Refractive Index of Soda-Lime Glass. Available online: https://refractiveindex.info/?shelf=3d&book=glass&page=soda-lime-clear (accessed on 21 September 2023).
  25. Berreman, D.W. Optics in Stratified and Anisotropic Media: 4x4-Matrix Formulation. J. Opt. Soc. Am. 1972, 62, 502–510. [Google Scholar] [CrossRef]
  26. Refractive Index of In2O3-SnO2 (Indium Tin Oxide, ITO). Available online: https://refractiveindex.info/?shelf=other&book=In2O3-SnO2&page=Moerland (accessed on 21 September 2023).
  27. Lazarev, V.V.; Blinov, L.M.; Simdyankin, I.V.; Yudin, S.G.; Artemov, V.V.; Gorkunov, M.V.; Palto, S.P. Plasmonic Enhancement of Photocurrent in a Hybrid Structure with a Subwavelength Aluminum Grating. JETP Lett. 2018, 107, 464–469. [Google Scholar] [CrossRef]
  28. Berenger, J.P. A perfectly matched layer for the absorption of electromagnetic waves. J. Comput. Phys. 1994, 114, 185–200. [Google Scholar] [CrossRef]
  29. Geivandov, A.R.; Palto, S.P. The influence of ferroelectric polymer alignment layer on electrooptical properties of nematic LC cell. Mol. Cryst. Liq. Cryst. 2005, 433, 155–164. [Google Scholar] [CrossRef]
  30. Kumar, T.A.; Takezoe, H.; Dhara, S. Perfluoropolymer as Planar Alignment Layer for Liquid Crystal Mixtures. Jpn. J. Appl. Phys. 2011, 50, 040203. [Google Scholar] [CrossRef]
Figure 1. Experimental (1) and model (2) transmittance spectra of ITO film on the glass substrate. Film thickness dITO = 175 nm. The spectral dispersion of the refractive index of the glass is taken into account in the model.
Figure 1. Experimental (1) and model (2) transmittance spectra of ITO film on the glass substrate. Film thickness dITO = 175 nm. The spectral dispersion of the refractive index of the glass is taken into account in the model.
Photonics 10 01089 g001
Figure 2. Spectral dependences of the real (Re(ε)) and imaginary (Im(ε)) parts of the complex dielectric permittivity ε.
Figure 2. Spectral dependences of the real (Re(ε)) and imaginary (Im(ε)) parts of the complex dielectric permittivity ε.
Photonics 10 01089 g002
Figure 3. Spectra of the real (n) and imaginary (κ) parts of the ITO complex refractive index. In this graph, horizontal curves n|| and n show the spectral-independent principal indices used in our FDTD model. The reference data according to [26] are shown by square-shaped symbols.
Figure 3. Spectra of the real (n) and imaginary (κ) parts of the ITO complex refractive index. In this graph, horizontal curves n|| and n show the spectral-independent principal indices used in our FDTD model. The reference data according to [26] are shown by square-shaped symbols.
Photonics 10 01089 g003
Figure 4. FDTD model of the LC layer between ITO electrodes.
Figure 4. FDTD model of the LC layer between ITO electrodes.
Photonics 10 01089 g004
Figure 5. Model transmittance spectra in the waveguide mode (L = 20 μm) for the LC layer between ITO electrodes with a thickness of dITO = 0.2 μm for homeotropic (V-alignment, (a)) and planar (P-alignment, (b)) LC alignment. Curves 1 and 2 are for TM- and TE-polarized light, respectively. The LC layer thickness is dLC = 2 μm.
Figure 5. Model transmittance spectra in the waveguide mode (L = 20 μm) for the LC layer between ITO electrodes with a thickness of dITO = 0.2 μm for homeotropic (V-alignment, (a)) and planar (P-alignment, (b)) LC alignment. Curves 1 and 2 are for TM- and TE-polarized light, respectively. The LC layer thickness is dLC = 2 μm.
Photonics 10 01089 g005
Figure 6. Transmittance spectra in the waveguide mode (L = 10 μm) for TM-polarized light for various LC layer thickness (a) and ITO layers thickness (b) in case of the homeotropic LC alignment.
Figure 6. Transmittance spectra in the waveguide mode (L = 10 μm) for TM-polarized light for various LC layer thickness (a) and ITO layers thickness (b) in case of the homeotropic LC alignment.
Photonics 10 01089 g006
Figure 7. Transmittance spectra in the waveguide mode for TM-polarized light for different thicknesses of the LC layer with homeotropic alignment at a fixed ITO layer thickness of 0.1 μm: 1—dLC = 2 μm; 2—dLC = 3 μm.
Figure 7. Transmittance spectra in the waveguide mode for TM-polarized light for different thicknesses of the LC layer with homeotropic alignment at a fixed ITO layer thickness of 0.1 μm: 1—dLC = 2 μm; 2—dLC = 3 μm.
Photonics 10 01089 g007
Figure 8. Illustration for the “mode coupling” model when two modes with wave vectors k1 and k2 are propagating, respectively, in the ITO and LC layers for cases n1 > n2 (a) and n1 < n2 (b).
Figure 8. Illustration for the “mode coupling” model when two modes with wave vectors k1 and k2 are propagating, respectively, in the ITO and LC layers for cases n1 > n2 (a) and n1 < n2 (b).
Photonics 10 01089 g008
Figure 9. Dependences according to Equation (12) for m = 1 and m = 2 in the ITO layer in the case of homeotropic- (a) and planar-alignment (b), provided that the angle θ1 is equal to the angle of total internal reflection. The points of intersection S1, S2 with the curve λ(nITO), which is the inverse function of the ITO refractive index wavelength dispersion, correspond to the solutions of the phase synchronism.
Figure 9. Dependences according to Equation (12) for m = 1 and m = 2 in the ITO layer in the case of homeotropic- (a) and planar-alignment (b), provided that the angle θ1 is equal to the angle of total internal reflection. The points of intersection S1, S2 with the curve λ(nITO), which is the inverse function of the ITO refractive index wavelength dispersion, correspond to the solutions of the phase synchronism.
Photonics 10 01089 g009
Figure 10. Model transmittance spectra in the waveguide mode (L = 20 μm) for the LC layer between ITO electrodes with a thickness of dITO = 0.2 μm and alignment layers of thickness 0.2 μm for homeotropic- (a) and planar-alignment (b) LC layer. Curves 1 and 3 are for TM-polarized light and curves 2, 4—for the TE-polarized light. The thickness of the LC layer is dLC = 2 μm. Solid curves 3 and 4 are for low refractive index (na = 1.42) alignment layers; the thin-line curves 1, 2 are for na = 1.6.
Figure 10. Model transmittance spectra in the waveguide mode (L = 20 μm) for the LC layer between ITO electrodes with a thickness of dITO = 0.2 μm and alignment layers of thickness 0.2 μm for homeotropic- (a) and planar-alignment (b) LC layer. Curves 1 and 3 are for TM-polarized light and curves 2, 4—for the TE-polarized light. The thickness of the LC layer is dLC = 2 μm. Solid curves 3 and 4 are for low refractive index (na = 1.42) alignment layers; the thin-line curves 1, 2 are for na = 1.6.
Photonics 10 01089 g010
Table 1. ITO Lorentz model parameters (n = 1).
Table 1. ITO Lorentz model parameters (n = 1).
Oscillator mλ0 (nm)Δλ (nm)k (μm−1)
124551800
225031800
3450500−0.6
4230038002.5
54800300250
650002001000
Disclaimer/Publisher’s Note: The statements, opinions and data contained in all publications are solely those of the individual author(s) and contributor(s) and not of MDPI and/or the editor(s). MDPI and/or the editor(s) disclaim responsibility for any injury to people or property resulting from any ideas, methods, instructions or products referred to in the content.

Share and Cite

MDPI and ACS Style

Palto, S.P.; Geivandov, A.R. Waveguide Properties of Homogeneously Aligned Liquid Crystal Layers between ITO Electrodes and Thin Alignment Films. Photonics 2023, 10, 1089. https://doi.org/10.3390/photonics10101089

AMA Style

Palto SP, Geivandov AR. Waveguide Properties of Homogeneously Aligned Liquid Crystal Layers between ITO Electrodes and Thin Alignment Films. Photonics. 2023; 10(10):1089. https://doi.org/10.3390/photonics10101089

Chicago/Turabian Style

Palto, Serguei P., and Artur R. Geivandov. 2023. "Waveguide Properties of Homogeneously Aligned Liquid Crystal Layers between ITO Electrodes and Thin Alignment Films" Photonics 10, no. 10: 1089. https://doi.org/10.3390/photonics10101089

APA Style

Palto, S. P., & Geivandov, A. R. (2023). Waveguide Properties of Homogeneously Aligned Liquid Crystal Layers between ITO Electrodes and Thin Alignment Films. Photonics, 10(10), 1089. https://doi.org/10.3390/photonics10101089

Note that from the first issue of 2016, this journal uses article numbers instead of page numbers. See further details here.

Article Metrics

Back to TopTop