Benchmarking Regridding Libraries Used in Earth System Modelling
Abstract
:1. Introduction
2. The Regridding Benchmark
2.1. The Benchmark Characteristics
2.1.1. Grids
- torc: the ocean model NEMO (Nucleus for European Modelling of the Ocean) [17], rotated-stretched logically-rectangular grid with 182 × 149 points horizontally;
- nogt: the ocean model NEMO, rotated-stretched logically-rectangular grid with 362 × 294 points horizontally;
- bggd: the atmosphere model LMDz (Laboratoire de Météorologie Dynamique zoom), [18] regular latitude–longitude grid with 144 × 143 points horizontally;
- sse7: the atmosphere model ARPEGE (Action de Recherche Petite Echelle Grande Echelle) [19], Gaussian reduced T127 with 24,572 points horizontally (unstructured, described with up to 7 vertices per cell);
- icos: the atmosphere model Dynamico [20], low-resolution unstructured icosahedral grid with 15,222 points horizontally;
- icoh: the atmosphere model Dynamico, high-resolution unstructured icosahedral grid with 2,016,012 points horizontally.
2.1.2. Analytical Functions
- (a)
- sinusoid: a slowly varying standard sinusoid over the globe;
- (b)
- harmonic: a more rapidly varying function with 16 maximums and 16 minimums in northern and southern bands;
- (c)
- vortex: a slowly varying function with two added vortices, one in the Atlantic and one over Indonesia;
- (d)
- gulfstream: the slowly varying standard sinusoid with a mimicked Gulf Stream.
2.1.3. Regridding Algorithms
- 1.
- Nearest neighbour
- 2.
- First order non-conservative
- 3.
- Second order non-conservative
- 4.
- First order conservative with FRACAREA and DESTAREA normalisations
- 5.
- Second order conservative with FRACAREA normalisation
2.1.4. Benchmark Metrics
- Ψs: the analytical function on the source grid;
- Ψt: the analytical function on the target grid;
- RΨs: the source analytical function regridded on the target grid;
- Is: the integral on the source grid;
- It: the integral on the target grid;
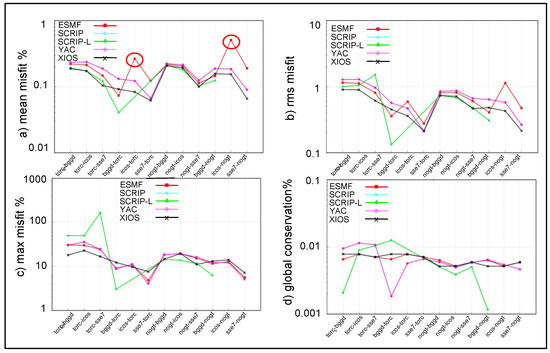
- mean misfit: mean (|RΨs − Ψt|/|Ψt|);
- maximum misfit: max (|RΨs − Ψt|/|Ψt|);
- RMS (root mean square) misfit: RMS (|RΨs − Ψt|/|Ψt|);
- Lmin: (min Ψt − min RΨs)/max (|Ψt|) (A positive Lmin detects an overestimate of the function minimum (i.e., it reinforces the minimum) while a negative Lmin detects some smoothing of the function minimum);
- Lmax: (max RΨs − max Ψt)/max (|Ψt|) (A positive Lmax detects an overestimate of the function maximum (i.e., it reinforces the maximum) while a negative Lmax detects some smoothing of the function maximum);
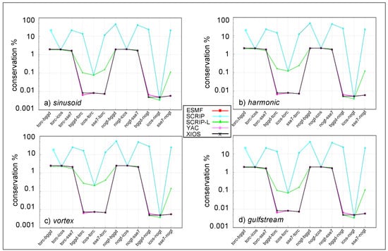
- Source global conservation: |It (RΨs) − Is (Ψs)|/Is (Ψs);
- Target global conservation: |It (RΨs) − It (Ψt)|/It (Ψt).
2.2. Implementation of the Regridding Benchmark for SCRIP, YAC, ESMF and XIOS
- SCRIP
- ESMF
- YAC
- XIOS
3. Benchmark Results
- the four analytical functions: sinusoid, harmonic, vortex, gulfstream (see Section 2.1.2);
- the six pairs of relatively low-resolution grids matching an ocean grid with an atmospheric grid: torc-bggd, torc-icos, torc-sse7, nogt-bggd, nogt-icos, nogt-sse7 in both directions (see Section 2.1.1); for the conservative remapping, we also analyse the regridding of the vortex function for icos-icoh and nogt-icoh in order to test the impact of that regridding on cases with large resolution difference (see Section 3.6);
- for the four regridding libraries: SCRIP (+SCRIP-L, i.e., with Lambert projection for conservative regridding), YAC, ESMF and XIOS;
- for all algorithms: nearest neighbour, 1st and 2nd order non-conservative, 1st and 2nd order conservative, except when the regridding library does not support the algorithm, such as, e.g., nearest neighbour for XIOS (see Section 2.1.3).
3.1. Nearest Neighbour Regridding
3.2. 1st Order Non-Conservative Regridding
3.3. Second-Order Non-Conservative Regridding
3.4. First-Order Conservative Remapping with DESTAREA Normalisation
3.5. 1st Order Conservative Remapping with FRACAREA Normalisation
3.6. Second-Order Conservative Remapping with FRACAREA Normalisation
3.7. Comparison of Regridding Algorithms
4. Discussion
- their sensitivity, as we perform the metric calculation for six pairs of grids in both directions and, in addition, for the icos-icoh and nogt-icoh pairs for the vortex function for second-order conservative FRACAREA remapping;
- their global conservation, as we provide the source and target global conservation metrics.
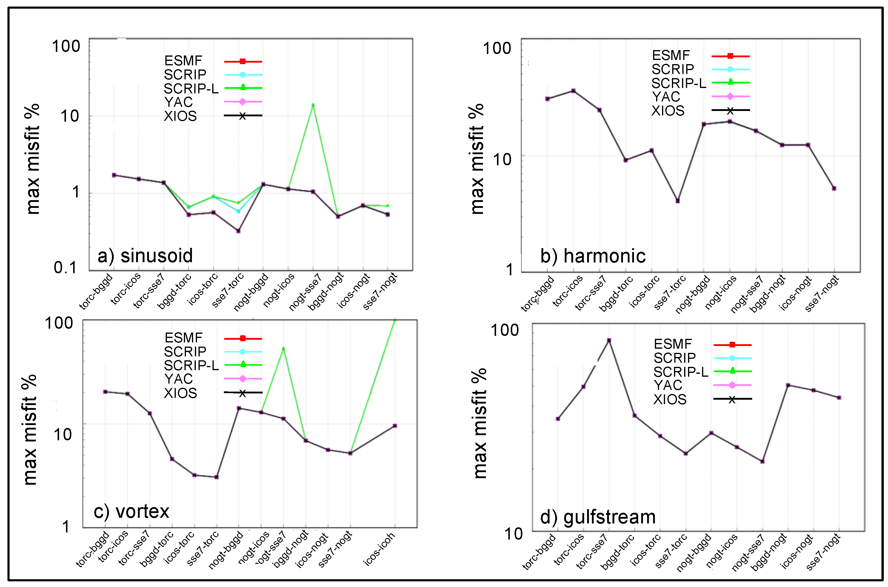
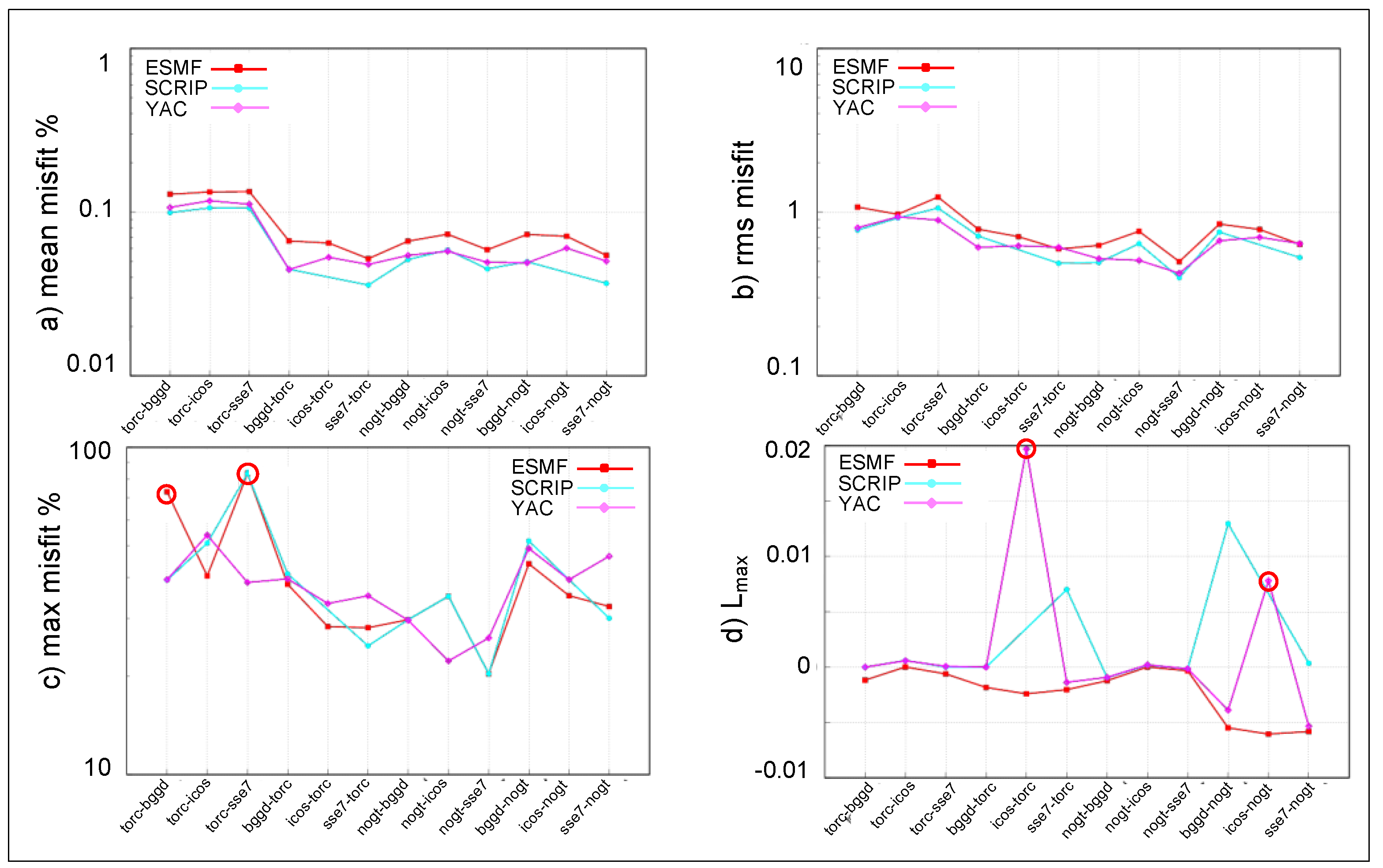
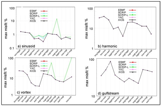
- For first-order non-conservative regridding, YAC, using an inverse distance weighting of the vertex values of the source polygon enclosing the target point, is less accurate on average than the SCRIP or ESMF bilinear schemes (Figure 5). For second-order non-conservative regridding, the ESMF patch algorithm gives slightly less accurate results than the SCRIP bicubic or the YAC spherical Bernstein–Bézier polynomial algorithms (Figure 6). For first- and second-order non-conservative regridding, all results for ESMF and YAC are reasonable, except for ESMF in the case of the gulfstream function for torc-bggd and torc-sse7 grid pairs, which show one anomalous value near the coast (Figure 7). For second-order non-conservative regridding in the case of icos-torc and icos-nogt for the gulfstream function, YAC also shows some higher, but a priori non-anomalous values, in the centre of the gulf stream (Figure 8).
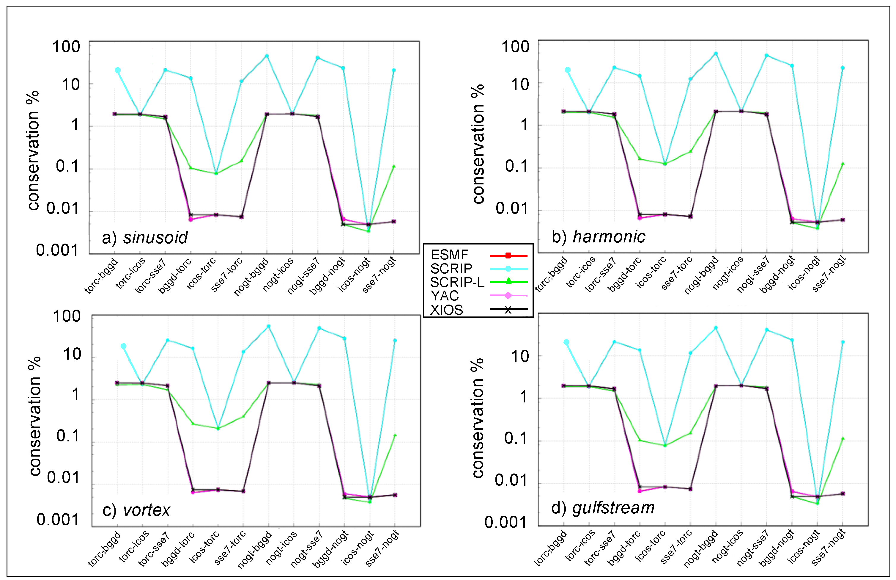
- First-order conservative remapping with DESTAREA normalisation in YAC, ESMF, and XIOS show very similar and good results (Figure 9 and Figure 10), except for ESMF when nogt is the source grid if this grid is described with the SCRIP (structured) format (Figure 11 and Figure 12). For first-order conservative remapping with FRACAREA normalisation, YAC, ESMF, and XIOS show very similar and good results for all functions (Figure 13); this regridding raises no specific issues for any regridding library.
- YAC, ESMF, and XIOS show approximately the same behaviour with good global conservation for second-order conservative remapping with FRACAREA normalisation, implemented following [21] in the 3 libraries (Figure 14). One issue, however, is in ESMF when the source grid is the icosahedral one, icos, which shows a relatively high mean misfit for all functions, with an alternating positive and negative pattern (Figure 15). Another issue is present for XIOS, which shows a strong undershoot for the gulfstream function for torc-icos, with one clearly outstanding point near the coast.
- Unexpectedly, conservative algorithms do not always offer better global conservation than non-conservative ones (Figure 19b,d).
Author Contributions
Funding
Data Availability Statement
Acknowledgments
Conflicts of Interest
Appendix A. Analytical Functions
- (A)
- sinusoid

- (B)
- harmonic

- (C)
- vortex

- (D)
- gulfstream

Appendix B. List of CSV Files Containing Metrics Values
- “DISTWGT_1” for nearest neighbour
- “BILINEAR” for first-order non conservative
- “BICUBIC” for second-order non-conservative
- “CONSERV” for first-order conservative
- “CONS2ND” for second-order conservative
| ESMF-820bs08-U_CONS2ND_FRACAREA_classic.csv | SCRIP_CONS2ND_FRACAREA_harmonic.csv |
| ESMF-820bs08-U_CONS2ND_FRACAREA_gulfstream.csv | SCRIP_CONS2ND_FRACAREA_vortex.csv |
| ESMF-820bs08-U_CONS2ND_FRACAREA_harmonic.csv | SCRIP_CONSERV_DESTAREA_classic.csv |
| ESMF-820bs08-U_CONS2ND_FRACAREA_vortex.csv | SCRIP_CONSERV_DESTAREA_gulfstream.csv |
| ESMF-820bs08-U_CONSERV_DESTAREA_classic.csv | SCRIP_CONSERV_DESTAREA_harmonic.csv |
| ESMF-820bs08-U_CONSERV_DESTAREA_gulfstream.csv | SCRIP_CONSERV_DESTAREA_vortex.csv |
| ESMF-820bs08-U_CONSERV_DESTAREA_harmonic.csv | SCRIP_CONSERV_FRACAREA_classic.csv |
| ESMF-820bs08-U_CONSERV_DESTAREA_vortex.csv | SCRIP_CONSERV_FRACAREA_gulfstream.csv |
| ESMF-820bs08-U_CONSERV_FRACAREA_classic.csv | SCRIP_CONSERV_FRACAREA_harmonic.csv |
| ESMF-820bs08-U_CONSERV_FRACAREA_gulfstream.csv | SCRIP_CONSERV_FRACAREA_vortex.csv |
| ESMF-820bs08-U_CONSERV_FRACAREA_harmonic.csv | SCRIP_DISTWGT_1_classic.csv |
| ESMF-820bs08-U_CONSERV_FRACAREA_vortex.csv | SCRIP_DISTWGT_1_gulfstream.csv |
| ESMF-820bs08_BICUBIC_classic.csv | SCRIP_DISTWGT_1_harmonic.csv |
| ESMF-820bs08_BICUBIC_gulfstream.csv | SCRIP_DISTWGT_1_vortex.csv |
| ESMF-820bs08_BICUBIC_harmonic.csv | XIOS_CONS2ND_FRACAREA_classic.csv |
| ESMF-820bs08_BICUBIC_vortex.csv | XIOS_CONS2ND_FRACAREA_gulfstream.csv |
| ESMF-820bs08_BILINEAR_classic.csv | XIOS_CONS2ND_FRACAREA_harmonic.csv |
| ESMF-820bs08_BILINEAR_gulfstream.csv | XIOS_CONS2ND_FRACAREA_vortex.csv |
| ESMF-820bs08_BILINEAR_harmonic.csv | XIOS_CONSERV_DESTAREA_classic.csv |
| ESMF-820bs08_BILINEAR_vortex.csv | XIOS_CONSERV_DESTAREA_gulfstream.csv |
| ESMF-820bs08_CONSERV_DESTAREA_classic.csv | XIOS_CONSERV_DESTAREA_harmonic.csv |
| ESMF-820bs08_CONSERV_DESTAREA_gulfstream.csv | XIOS_CONSERV_DESTAREA_vortex.csv |
| ESMF-820bs08_CONSERV_DESTAREA_harmonic.csv | XIOS_CONSERV_FRACAREA_classic.csv |
| ESMF-820bs08_CONSERV_DESTAREA_vortex.csv | XIOS_CONSERV_FRACAREA_gulfstream.csv |
| ESMF-820bs08_DISTWGT_1_classic.csv | XIOS_CONSERV_FRACAREA_harmonic.csv |
| ESMF-820bs08_DISTWGT_1_gulfstream.csv | XIOS_CONSERV_FRACAREA_vortex.csv |
| ESMF-820bs08_DISTWGT_1_harmonic.csv | YAC_BICUBIC_classic.csv |
| ESMF-820bs08_DISTWGT_1_vortex.csv | YAC_BICUBIC_gulfstream.csv |
| SCRIP-L_CONS2ND_FRACAREA_classic.csv | YAC_BICUBIC_harmonic.csv |
| SCRIP-L_CONS2ND_FRACAREA_gulfstream.csv | YAC_BICUBIC_vortex.csv |
| SCRIP-L_CONS2ND_FRACAREA_harmonic.csv | YAC_BILINEAR_classic.csv |
| SCRIP-L_CONS2ND_FRACAREA_vortex.csv | YAC_BILINEAR_gulfstream.csv |
| SCRIP-L_CONSERV_DESTAREA_classic.csv | YAC_BILINEAR_harmonic.csv |
| SCRIP-L_CONSERV_DESTAREA_gulfstream.csv | YAC_BILINEAR_vortex.csv |
| SCRIP-L_CONSERV_DESTAREA_harmonic.csv | YAC_CONS2ND_FRACAREA_classic.csv |
| SCRIP-L_CONSERV_DESTAREA_vortex.csv | YAC_CONS2ND_FRACAREA_gulfstream.csv |
| SCRIP-L_CONSERV_FRACAREA_classic.csv | YAC_CONS2ND_FRACAREA_harmonic.csv |
| SCRIP-L_CONSERV_FRACAREA_gulfstream.csv | YAC_CONS2ND_FRACAREA_vortex.csv |
| SCRIP-L_CONSERV_FRACAREA_harmonic.csv | YAC_CONSERV_DESTAREA_classic.csv |
| SCRIP-L_CONSERV_FRACAREA_vortex.csv | YAC_CONSERV_DESTAREA_gulfstream.csv |
| SCRIP_BICUBIC_classic.csv | YAC_CONSERV_DESTAREA_harmonic.csv |
| SCRIP_BICUBIC_gulfstream.csv | YAC_CONSERV_DESTAREA_vortex.csv |
| SCRIP_BICUBIC_harmonic.csv | YAC_CONSERV_FRACAREA_classic.csv |
| SCRIP_BICUBIC_vortex.csv | YAC_CONSERV_FRACAREA_gulfstream.csv |
| SCRIP_BILINEAR_classic.csv | YAC_CONSERV_FRACAREA_harmonic.csv |
| SCRIP_BILINEAR_gulfstream.csv | YAC_CONSERV_FRACAREA_vortex.csv |
| SCRIP_BILINEAR_harmonic.csv | YAC_DISTWGT_1_classic.csv |
| SCRIP_BILINEAR_vortex.csv | YAC_DISTWGT_1_gulfstream.csv |
| SCRIP_CONS2ND_FRACAREA_classic.csv | YAC_DISTWGT_1_harmonic.csv |
| SCRIP_CONS2ND_FRACAREA_gulfstream.csv | YAC_DISTWGT_1_vortex.csv |
Appendix C. List of Metric Plots
| plot_remap_metrics_BICUBIC_classic.pdf |
| plot_remap_metrics_BICUBIC_gulfstream.pdf |
| plot_remap_metrics_BICUBIC_harmonic.pdf |
| plot_remap_metrics_BICUBIC_vortex.pdf |
| plot_remap_metrics_BILINEAR_classic.pdf |
| plot_remap_metrics_BILINEAR_gulfstream.pdf |
| plot_remap_metrics_BILINEAR_harmonic.pdf |
| plot_remap_metrics_BILINEAR_vortex.pdf |
| plot_remap_metrics_CONS2ND_FRACAREA_classic.pdf |
| plot_remap_metrics_CONS2ND_FRACAREA_gulfstream.pdf |
| plot_remap_metrics_CONS2ND_FRACAREA_harmonic.pdf |
| plot_remap_metrics_CONS2ND_FRACAREA_vortex.pdf |
| plot_remap_metrics_CONSERV_DESTAREA_classic.pdf |
| plot_remap_metrics_CONSERV_DESTAREA_gulfstream.pdf |
| plot_remap_metrics_CONSERV_DESTAREA_harmonic.pdf |
| plot_remap_metrics_CONSERV_DESTAREA_vortex.pdf |
| plot_remap_metrics_CONSERV_FRACAREA_classic.pdf |
| plot_remap_metrics_CONSERV_FRACAREA_classic_sansconservationMTR.pdf |
| plot_remap_metrics_CONSERV_FRACAREA_gulfstream.pdf |
| plot_remap_metrics_CONSERV_FRACAREA_harmonic.pdf |
| plot_remap_metrics_CONSERV_FRACAREA_vortex.pdf |
| plot_remap_metrics_DISTWGT_1_classic.pdf |
| plot_remap_metrics_DISTWGT_1_gulfstream.pdf |
| plot_remap_metrics_DISTWGT_1_harmonic.pdf |
| plot_remap_metrics_DISTWGT_1_vortex.pdf |
References
- Craig, A.; Valcke, S.; Coquart, L. Development and performance of a new version of the OASIS coupler, OASIS3-MCT_3.0. Geosci. Model Dev. 2017, 10, 3297–3308. [Google Scholar] [CrossRef] [Green Version]
- Jones, P. Conservative remapping: First-and second-order conservative remapping. Mon. Weather Rev. 1999, 127, 2204–2210. [Google Scholar] [CrossRef]
- Valcke, S.; Piacentini, A. Analysis of SCRIP Conservative Remapping in OASIS3-MCT—Part A, Technical Report TR/CMGC/19-129, CERFACS, France. 2019. Available online: https://oasis.cerfacs.fr/wp-content/uploads/sites/114/2021/08/GLOBC_TR_Valcke-SCRIP_CONSERV_TRNORM_partA_2019.pdf (accessed on 18 January 2022).
- Jonville, G.; Valcke, S. Analysis of SCRIP Conservative Remapping in OASIS3-MCT—Part B, Technical Report TR/CMGC/19-155, CERFACS, France. 2019. Available online: https://oasis.cerfacs.fr/wp-content/uploads/sites/114/2021/08/GLOBC_TR_Jonville-SCRIP_CONSERV_TRNORM_partB_2019.pdf (accessed on 18 January 2022).
- Valcke, S.; Piacentini, A.; Jonville, G. Benchmarking of Regridding Libraries Used in Earth System Modelling: SCRIP, YAC, ESMF and XIOS, Technical Report TR/CMGC/21-145, CERFACS, France. 2021. Available online: https://oasis.cerfacs.fr/wp-content/uploads/sites/114/2021/11/GLOBC-TR_Valcke_Report_regridding_analysis_final_2021.pdf (accessed on 18 January 2022).
- Deconinck, W.; Bauer, P.; Diamantakis, M.; Hamrud, M.; Kühnlein, C.; Maciel, P.; Mengaldo, G.; Quintino, T.; Raoult, B.; Smolarkiewicz, P.K.; et al. Atlas: A library for numerical weather prediction and climate modelling. Comput. Phys. Commun. 2017, 220, 188–204. [Google Scholar] [CrossRef]
- Mahadevan, V.S.; Grindeanu, I.; Jacob, R.; Sarich, J. Improving climate model coupling through a complete mesh representation: A case study with E3SM (v1) and MOAB (v5.x). Geosci. Model Dev. 2020, 13, 2355–2377. [Google Scholar] [CrossRef]
- Energy Exascale Earth System Model. Available online: https://e3sm.org (accessed on 18 January 2022).
- Hanke, M.; Redler, R.; Holfeld, T.; Yastremsky, M. YAC 1.2.0: New aspects for coupling software in Earth system modelling. Geosci. Model Dev. 2016, 9, 2755–2769. [Google Scholar] [CrossRef] [Green Version]
- Hanke, M.; Redler, R. New Features with YAC 1.5.0; DWD Report 2019; DWD: Hamburg, Germany, 2019. [Google Scholar] [CrossRef]
- Alfeld, P.; Neamtu, M.; Schumaker, L.L. Bernstein-Bezier polynomials on spheres and sphere-like surfaces. Comput. Aided Geom. Des. 1996, 13, 333–349. [Google Scholar] [CrossRef]
- Collins, N.; Theurich, G.; DeLuca, C.; Suarez, M.; Trayanov, A.; Balaji, V.; Li, P.; Yang, W.; Hill, C.; da Silva, A. Design and Implementation of Components in the Earth System Modeling Framework. Int. J. High Perfor. Comput. Apps. 2005, 19, 341–350. [Google Scholar] [CrossRef] [Green Version]
- Earth System Modelling Framework. Available online: https://earthsystemmodeling.org (accessed on 18 January 2022).
- The XML-IO-Server. Available online: http://forge.ipsl.jussieu.fr/ioserver (accessed on 18 January 2022).
- Piacentini, A. Evaluation of Atlas 0.21 Interpolation Capability, Technical Report TR/CMGC/20-105, CERFACS, France. 2020. Available online: https://oasis.cerfacs.fr/wp-content/uploads/sites/114/2021/11/GLOBC-TR-Piacentini-atlas-0.21-analysis_2020.pdf (accessed on 18 January 2022).
- CANGA/MIRA. Available online: https://github.com/CANGA/Remapping-Intercomparison (accessed on 18 January 2022).
- NEMO Community Ocean Model. Available online: https://www.nemo-ocean.eu (accessed on 18 January 2022).
- The LMDZ model. Available online: https://forge.ipsl.jussieu.fr/igcmg_doc/wiki/Doc/Models/LMDZ (accessed on 18 January 2022).
- ARPEGE-Climate. Available online: https://www.umr-cnrm.fr/spip.php?article124 (accessed on 18 January 2022).
- DYNAMICO. Available online: https://www.lmd.polytechnique.fr/~dubos/DYNAMICO/ (accessed on 18 January 2022).
- Kritsikis, E.; Aechtner, M.; Meurdesoif, Y.; Dubos, T. Conservative interpolation between general spherical meshes. Geosci. Model Dev. 2017, 10, 425–431. [Google Scholar] [CrossRef] [Green Version]



















Publisher’s Note: MDPI stays neutral with regard to jurisdictional claims in published maps and institutional affiliations. |
© 2022 by the authors. Licensee MDPI, Basel, Switzerland. This article is an open access article distributed under the terms and conditions of the Creative Commons Attribution (CC BY) license (https://creativecommons.org/licenses/by/4.0/).
Share and Cite
Valcke, S.; Piacentini, A.; Jonville, G. Benchmarking Regridding Libraries Used in Earth System Modelling. Math. Comput. Appl. 2022, 27, 31. https://doi.org/10.3390/mca27020031
Valcke S, Piacentini A, Jonville G. Benchmarking Regridding Libraries Used in Earth System Modelling. Mathematical and Computational Applications. 2022; 27(2):31. https://doi.org/10.3390/mca27020031
Chicago/Turabian StyleValcke, Sophie, Andrea Piacentini, and Gabriel Jonville. 2022. "Benchmarking Regridding Libraries Used in Earth System Modelling" Mathematical and Computational Applications 27, no. 2: 31. https://doi.org/10.3390/mca27020031
APA StyleValcke, S., Piacentini, A., & Jonville, G. (2022). Benchmarking Regridding Libraries Used in Earth System Modelling. Mathematical and Computational Applications, 27(2), 31. https://doi.org/10.3390/mca27020031

