Recovery of Rare Metals from Superalloy Scraps by an Ultrasonic Leaching Method with a Two-Stage Separation Process
Abstract
:1. Introduction
2. Materials and Methods
2.1. Experimental Materials
2.2. Experimental Method
2.3. Analytical Methods
3. Results and Discussion
3.1. Eh-pH Diagram of Rare Metals from Superalloy Scrap
3.2. Ultrasonic Leaching Process of Rare Metals from Superalloy Scraps
3.2.1. Effect of Ultrasonic Power
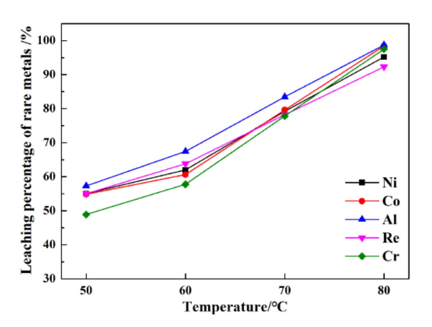
3.2.2. Effect of Temperature
3.2.3. Effect of Time
3.2.4. Effect of Liquid-Solid Ratio
3.2.5. Effect of HCl and H2O2 Dosages
3.2.6. Leaching Mechanism of Superalloy Scraps in Different Leaching Processes
3.3. Gradient Precipitate Separation of Rare Metals from the Leaching Solution
3.3.1. Precipitate Separation of Rare Metals from the Leaching Solution
3.3.2. Two-Stage Precipitates Separation of Rare Metals from the Leaching Solution
3.3.3. Morphology Analysis of Two-Stage Precipitates Separation Products
4. Conclusions
Author Contributions
Funding
Conflicts of Interest
References
- Xu, H.; Zhang, Y.H.; Fu, H.D.; Xue, F.; Zhou, X.Z.; Xie, J.X. Effects of boron or carbon on solidification behavior of Co-Ni-Al-W-based superalloys. J. Alloys Compd. 2022, 891, 161965. [Google Scholar] [CrossRef]
- Liu, J.D.; Li, B.; Sun, Y.; Jin, T.; Sun, X.F.; Hu, Z.Q. Transient liquid-phase bonding of superalloy K465 using a Ni–Cr–Fe–B–Si amorphous interlayer alloy. Rare Met. 2020, 9, 3408–3412. [Google Scholar] [CrossRef]
- Liu, E.; Guan, X.; Zheng, Z. Effect of rhenium on solidification and segregation of nickel-based superalloy. Rare Met. 2011, 30, 320–322. [Google Scholar] [CrossRef]
- Lu, X.; Tian, S.; Yu, X.; Wang, C.X. Oxidation behavior of a single-crystal Ni-base superalloy in the air at 900 and 1050 °C. Rare Met. 2011, 30, 439–442. [Google Scholar] [CrossRef]
- Chen, Z.H.; Chen, Z.B.; Sun, Y.; Tang, J.J.; Hou, G.C.; Zhang, H.Y.; Liu, W.Q. Research progress and future development direction of recycling and reuse of superalloy scraps. Mater. Rev. 2019, 33, 3654–3661. (In Chinese) [Google Scholar]
- Kim, M.S.; Lee, J.C.; Park, H.S.; Jun, M.J. A multistep leaching of nickel-based superalloy scraps for selective dissolution of its constituent metals in hydrochloric acid solutions. Hydrometallurgy 2018, 176, 235–242. [Google Scholar] [CrossRef]
- Sunder, G.; Adhikari, S.; Rohanifar, A.; Kirchhoff, J.R. Evolution of environmentally friendly strategies for metal extraction. Separations 2020, 7, 4. [Google Scholar] [CrossRef] [Green Version]
- Debarbadillo, J.J. Nickel-base superalloys, physical metallurgy of recycling. Metall. Trans. A 1983, 14, 329–341. [Google Scholar] [CrossRef]
- Tian, Q.H.; Gan, X.D.; Yu, D.W.; Cui, F.H.; Guo, X.Y. One-step and selective extraction of nickel from nickel-based superalloy by molten zinc. Trans. Nonferrous Met. Soc. China 2021, 31, 1828–1841. [Google Scholar] [CrossRef]
- Cui, F.H.; Wang, G.; Yu, D.W.; Gan, X.D.; Tian, Q.H.; Guo, X.Y. Towards “zero waste” extraction of nickel from scrap nickel-based superalloy using magnesium. J. Clean. Prod. 2020, 262, 121275. [Google Scholar] [CrossRef]
- Srivastava, R.R.; Kim, M.S.; Lee, J.C.; Jha, M.K.; Kin, B.S. Resource recycling of superalloys and hydrometallurgical challenges. J. Mater. Sci. 2014, 49, 4671–4686. [Google Scholar] [CrossRef]
- Srivastava, R.R.; Kim, M.S.; Lee, J.C. A novel aqueous processing of the reverted turbine-blade superalloy for rhenium recovery. Ind. Eng. Chem. Res. 2016, 55, 8191–8199. [Google Scholar] [CrossRef]
- Olbrich, A.; Meece-marktscheffek, J.; Jahn, M.; Zertani, R.; Stoller, V.; Erb, M.; Heine, K.H.; Kutzler, U. Recycling of Superalloys with the Aid of an Alkali Metal Salt Bath. U.S. Patent 20090255372A1, 15 October 2009. [Google Scholar]
- Guevel, Y.; Gregoire, B.; Cristobal, M.J.; Feaugas, X.A.; Oudriss, A.; Pedraza, F. Dissolution and passivation of aluminide coatings on the model and Ni-based superalloy. Surf. Coat. Technol. 2019, 357, 1037–1047. [Google Scholar] [CrossRef]
- Wang, L.; Wang, S.Y.; Song, Z.Y.; Sun, Y.; Zhou, Y.Z.; Pei, X.P.; Zhang, H.Y. Electrochemical dissolution behaviors of scrap superalloys in different electrolytes. JOM 2021, 73, 1978–1986. [Google Scholar] [CrossRef]
- Simchen, F.N.; Masoud-Nia, N.; Mehner, T.; Lampke, T. Corrigendum. formation of corundum-rich alumina coatings on low-carbon steel by plasma electrolytic oxidation. IOP Conf. Ser. Mater. Sci. Eng. 2021, 651, 32039–32045. [Google Scholar]
- Feng, R.S.; Xu, S.M.; Liu, J.; Wang, C.Y. The influence of Cl on the electrochemical dissolution of cobalt white alloy containing high silicon in a sulfuric acid solution. Hydrometallurgy 2014, 142, 12–22. [Google Scholar] [CrossRef]
- Palant, A.A.; Levchuk, O.M.; Bryukvin, V.A.; Levin, A.M. Complex electrochemical processing of the metallic wastes from a rhenium-containing nickel superalloy in the sulfuric acid electrolyte. Russ. Metall. 2011, 6, 589–593. [Google Scholar] [CrossRef]
- Soledad, C.; Rafael, L. Recent advances in extraction and stirring integrated techniques. Separations 2017, 4, 6. [Google Scholar]
- Ueda, Y.; Morisada, S.; Kawakita, H.; Ohto, K. Selective Extraction of platinum(IV) from the simulated secondary resources using simple secondary amide and urea extractants. Separations 2021, 8, 139. [Google Scholar] [CrossRef]
- Torrescartas, S.; Meseguerlloret, S. Recent advances in molecularly imprinted membranes for sample treatment and separation. Separations 2020, 7, 69. [Google Scholar] [CrossRef]
- Zhou, H.; Chen, Y. Effect of acidic surface functional groups on Cr(VI) removal by activated carbon from aqueous solution. Rare Met. 2010, 29, 333–338. [Google Scholar] [CrossRef]
- Mamo, S.K.; Elle, M.; Baron, M.G.; Simons, A.M.; Gonzalez, J.R. Leaching kinetics, separation, and recovery of rhenium and component metals from CMSX-4 superalloys using hydrometallurgical processes. Sep. Purif. Technol. 2018, 212, 150–160. [Google Scholar] [CrossRef]
- Yang, J.H.; He, L.H.; Liu, X.H.; Ding, W.T.; Song, Y.F.; Zhao, Z.W. Comparative kinetic analysis of conventional and ultrasound-assisted leaching of scheelite by sodium carbonate. Trans. Nonferrous Met. Soc. China 2018, 28, 775–782. [Google Scholar] [CrossRef]
- Li, L.; Zhai, L.Y.; Zhang, X.X.; Lu, J.; Chen, R.J.; Wu, F.; Amine, K. Recovery of valuable metals from spent lithium-ion batteries by ultrasonic-assisted leaching process. J. Power Sources 2014, 262, 380–385. [Google Scholar] [CrossRef]
- Diehi, O.L.; Gatiboni, T.L.; Mello, P.A.; Muller, E.I.; Duarte, F.A.; Lores, E.M.M. Ultrasound-assisted extraction of rare and precious-earth elements from carbonatite rocks. Ultrason. Sonochem. 2018, 40, 24–29. [Google Scholar]
- Zhang, D.L.; Li, M.; Gao, K.; Li, J.F.; Yan, Y.J.; Liu, X.Y. The physical and chemical mechanism underlying ultrasonically enhanced hydrochloric acid leaching of non-oxidative roasting of bastnaesite. Ultrason. Sonochem. 2017, 39, 744–781. [Google Scholar] [CrossRef] [PubMed]
- Kong, J.; Xing, P.F.; Wei, D.H.; Jin, X.; Zhuang, Y.X. Ultrasound-assisted leaching of iron from silicon diamond-wire saw cutting waste. JOM 2021, 73, 791–800. [Google Scholar] [CrossRef]
- Santos, E.V.D.; Saez, C.; Caizares, P.; Martinez-huitle, C.A.; Rodrigo, M.A. Treating soil-washing fluids polluted with oxyfluorfen by sono-electrolysis with diamond anodes. Ultrason. Sonochem. 2017, 34, 115–122. [Google Scholar] [CrossRef] [Green Version]
- Hua, I.; Hoffmann, M.R. Optimization of ultrasonic irradiation as an advanced oxidation technology. Environ. Sci. Technol. 1997, 31, 2237–2243. [Google Scholar] [CrossRef]










| Elements | No. | Reactions | No. | Reactions |
|---|---|---|---|---|
| Ni | 1 | Ni2+ + 2e = Ni | 2 | Ni2+ + 3H2O = Ni(OH)3 + 3H+ + e |
| 3 | Ni2+ + 2H2O = Ni(OH)2 + 2H+ | 4 | Ni + 2H2O = Ni(OH)2 + 2H+ + 2e | |
| 5 | Ni(OH)2 + H2O = Ni(OH)3 + H+ + e | |||
| Co | 6 | Co2+ + 2e = Co | 7 | 3Co2+ + 4H2O = Co3O4 + 8H+ + 2e |
| 8 | Co2+ + 2H2O = Co(OH)2 + 2H+ | 9 | Co + 2H2O = Co(OH)2 + 2H+ + 2e | |
| 10 | 3Co(OH)2 + H2O = Co3O4 + 8H+ + 8e | 11 | Co3O4 + 5H2O = 3Co(OH)3 + H+ + e | |
| Al | 12 | Al3+ + 3e = Al | 13 | Al3+ + 3H2O = Al(OH)3 + 3H+ |
| 14 | Al + 3H2O = Al(OH)3 + 3H+ + 3e | 15 | Al(OH)3 + H2O = Al(OH)4− + H+ | |
| Cr | 16 | Cr2+ + 2e = Cr | 17 | Cr3+ + e = Cr2+ |
| 18 | Cr3+ + H2O = CrOH2+ + H+ | 19 | 2Cr3+ + 7H2O = Cr2O72− + 14H+ + 6e | |
| 20 | CrOH2+ + 2H2O = Cr(OH)3 + 2H+ | 21 | Cr2+ + 3H2O = Cr(OH)3 + 3H+ + e | |
| 22 | Cr2+ + 2H2O = Cr(OH)2 + 2H+ | 23 | Cr(OH)2 + H2O = Cr(OH)3 + H+ + e | |
| 24 | Cr + 2H2O = Cr(OH)2 + 2H+ + 2e | 25 | Cr(OH)2 + 2H2O = Cr(OH)4− + 2H+ + e | |
| 26 | Cr(OH)3 + H2O = Cr(OH)4− + H+ | 27 | 2Cr(OH)3 + H2O = Cr2O72− + 8H+ + 6e | |
| 28 | 2Cr(OH)4− = Cr2O72− + H2O + 6H+ + 6e | 29 | Cr2O72− + H2O = 2CrO42− + 2H+ | |
| 30 | Cr(OH)4− = CrO42− + 4H+ + 3e | 31 | Cr + 4H2O = Cr(OH)4− + 4H+ + 3e | |
| Re | 32 | Re + e = Re− | 33 | Re− + 2H2O = ReO2 + 4H+ + 5e |
| 34 | ReO2 + 2H2O = ReO4− + 4H+ + 3e | 35 | ReO4 + e = ReO4− | |
| 36 | Re− + 4H2O = ReO4− + 8H+ + 8e | 37 | Re− + 2H2O = ReO2 + 4H+ + 5e | |
| W | 37 | W + 2H2O = WO2 + 4H+ + 4e | 38 | WO2 + 2H2O = H2WOH4 + 2H+ + 2e |
| 39 | WO42− + 2H+ = H2WOH4 | 40 | WO2 + 2H2O = WO42− + 4H+ + 2e | |
| 41 | W + 4H2O = WO42− + 8H+ + 6e | |||
| Ta | 42 | 2Ta + 5H2O = Ta2O5 + 10H+ + 10e | ||
| Elements | Ni | Co | Al | Cr | Re | |
|---|---|---|---|---|---|---|
| pH | ||||||
| 0.5 | 15.59 | 3.29 | 1.87 | 1.40 | 1.78 | |
| 4.5 | 9.74 | 2.12 | 0.10 | 0.25 | 1.24 | |
| 7.5 | 0.05 | 0.04 | 0.01 | 0.15 | 1.18 | |
Publisher’s Note: MDPI stays neutral with regard to jurisdictional claims in published maps and institutional affiliations. |
© 2022 by the authors. Licensee MDPI, Basel, Switzerland. This article is an open access article distributed under the terms and conditions of the Creative Commons Attribution (CC BY) license (https://creativecommons.org/licenses/by/4.0/).
Share and Cite
Wang, L.; Lu, S.; Fan, J.; Ma, Y.; Zhang, J.; Wang, S.; Pei, X.; Sun, Y.; Lv, G.; Zhang, T. Recovery of Rare Metals from Superalloy Scraps by an Ultrasonic Leaching Method with a Two-Stage Separation Process. Separations 2022, 9, 184. https://doi.org/10.3390/separations9070184
Wang L, Lu S, Fan J, Ma Y, Zhang J, Wang S, Pei X, Sun Y, Lv G, Zhang T. Recovery of Rare Metals from Superalloy Scraps by an Ultrasonic Leaching Method with a Two-Stage Separation Process. Separations. 2022; 9(7):184. https://doi.org/10.3390/separations9070184
Chicago/Turabian StyleWang, Long, Sujun Lu, Jiayuan Fan, Yutian Ma, Juan Zhang, Shiyang Wang, Xiaoyao Pei, Yuan Sun, Guozhi Lv, and Tingan Zhang. 2022. "Recovery of Rare Metals from Superalloy Scraps by an Ultrasonic Leaching Method with a Two-Stage Separation Process" Separations 9, no. 7: 184. https://doi.org/10.3390/separations9070184
APA StyleWang, L., Lu, S., Fan, J., Ma, Y., Zhang, J., Wang, S., Pei, X., Sun, Y., Lv, G., & Zhang, T. (2022). Recovery of Rare Metals from Superalloy Scraps by an Ultrasonic Leaching Method with a Two-Stage Separation Process. Separations, 9(7), 184. https://doi.org/10.3390/separations9070184
