Abstract
Algae are a complex, polyphyletic group of organisms, affordable and naturally rich in nutrients, but also valuable sources of structurally diverse bioactive substances such as natural pigments. The aim of this work was to evaluate the polar and non-polar pigment contents of different commercial dried algae (brown: Himanthalia elongata, Undaria pinnatifida, Laminaria ochroleuca; red: Porphyra spp.; and a blue-green microalga: Spirulina spp.). The pigment extraction was carried out using different solvents (100% methanol, 100% methanol acid free, 100% ethanol, 90% acetone, N,N-dimethylformamide, dimethyl sulfoxide-water (4:1, v/v) and pH 6.8 phosphate buffer), selected according to their affinity for each class of pigments. Acetone proved to be an efficient solvent to extract chlorophylls from brown and red algae, but not from Spirulina spp. Porphyra spp. presented considerably higher levels of all pigments compared to brown algae, although Spirulina spp. presented significantly higher (p < 0.05) levels of chlorophylls, carotenoids and phycobiliproteins, compared to all macroalgae. The content of fucoxanthin extracted from the three brown algae was highly correlated to the carotenoid content. Within this group, Himanthalia elongata presented the highest fucoxanthin/total carotenoids ratio. Although the yield of extraction depended on the solvent used, the algae studied herein are an interesting source of pigments of great value for a wide range of applications.
1. Introduction
The oceans cover more than 70% of the Earth’s surface and contain a wide diversity of species (approximately half of the total global biodiversity), including marine algae [1,2]. Algae are a complex, polyphyletic group of (mostly) photoautotrophic organisms that include prokaryotic and eukaryotic members. With over 40,000 species already identified, algae are currently classified into several taxonomic groups such as Chlorophyceae (green algae), Rhodophyceae (red algae), Phaeophyceae (brown algae), Cyanophyceae (cyanobacteria), Xanthophyceae (yellow-green algae), Bacillariophyceae (diatoms) and Dinophyceae (dinoflagellates) [2,3].
Due to their global distribution, accessibility, diversity and nutritional value, algae have been a traditional food source for thousands of years, especially in Asian countries. However, recently, the interest by Western cultures has been growing since algae started to be seen not only as affordable products and naturally rich in nutrients (such as proteins, dietary fiber, polyunsaturated fatty acids, minerals and vitamins), but also as valuable sources of structurally diverse bioactive substances (e.g., polysaccharides, phenolic compounds, or natural pigments) with potential health benefits [2,4]. In fact, a wide range of bioactivities have been described for these compounds, such as anti-hyperlipidemic [5,6], anti-obesity [7,8], anti-diabetic [9,10], antioxidant [11,12], anti-inflammatory [13,14,15], antiviral [16,17], antibacterial [18,19,20], antitumoral [21,22], antiallergic [23,24], neuroprotective [25,26], cardiovascular protective [27,28], among others.
In the last few years, the interest in the natural pigments has been growing exponentially not only due to their pharmaceutical and biomedical potential [7,13,15,18,21,22,23,25,29], but also because they can be used as substitutes of artificial dyes/colorants [29,30,31]. The basic classes of pigments found in algae are chlorophylls, carotenoids and phycobiliproteins, characteristics that contribute to cluster algae in different phyla since they are, respectively, the most prevalent pigments in Chlorophyceae, Ochrophyta and Rhodophyceae. In Cyanobacteria, phycocyanin is the most common pigment [2,32,33].
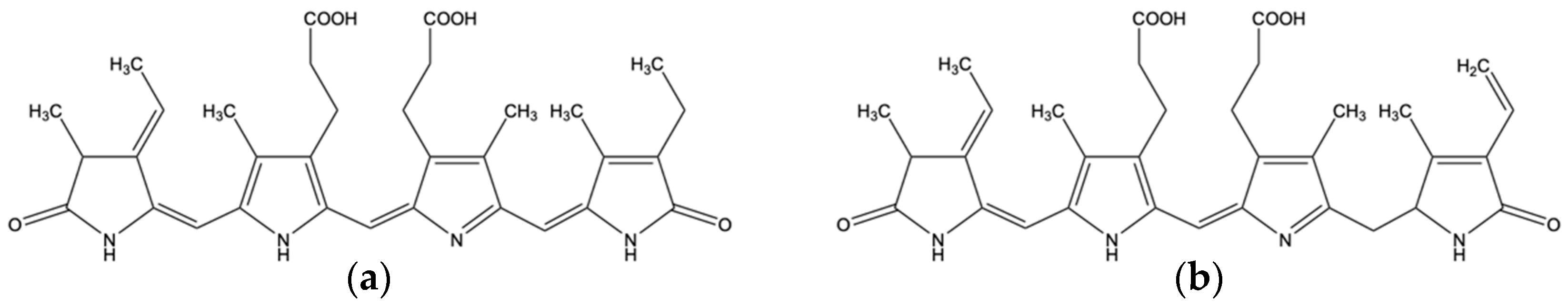
Chlorophylls (chls) are greenish, non-polar pigments which contain a porphyrin or hydroporphyrin rings centrally bound to a magnesium atom found in all autotrophic algae, since they allow the conversion of light into biological energy. Figure 1 shows the four kinds of chls present in marine algae: Chl a, the major and most important chl for photosynthesis, and chls b, c and d [34,35].
Figure 1.
The chemical structure of the chlorophylls present in marine algae: (a) Chlorophyll a; (b) Chlorophyll b; (c) Chlorophyll c1; (d) Chlorophyll c2; (e) Chlorophyll d.
Carotenoids are also non-polar pigments and play a key role in photoprotection by inactivating reactive oxygen species (ROS) formed during light exposure. Structurally, they belong to the terpenoid class of pigments and have highly conjugated polyene chains which give them distinct colors such as purple, red, orange or yellow. They can be classified into two different groups: carotenes, which are unsaturated hydrocarbons (e.g., β-carotene and lycopene); and xanthophylls, which are very similar to carotenes but have, at least, one functional group containing oxygen (e.g., lutein, zeaxanthin, and fucoxanthin) [36]. Fucoxanthin (Figure 2) is one of the most abundant carotenoids (approximately 10% of the estimated total production of carotenoids in nature) and is the pigment that confers the color to brown algae [37].
Figure 2.
Chemical structure of the fucoxanthin.
Phycobiliproteins are a group of water-soluble fluorescent compounds composed of proteins covalently bound to linear tetrapyrroles known as phycobilins and are used as accessory pigments for photosynthetic light collection [38]. In cyanobacteria, such as Spirulina, and red algae, where they can represent up to 40–50% of the total cellular proteins, phycobiliproteins can be divided into four major categories according to their spectral properties: phycoerythrin (purple), phycocyanin (blue), allophycocyanin (bluish green), and phycoerythrocyanin (purple) [39]. Phycocyanin from Spirulina spp. and phycoerythrin from Porphyridium spp. are two of the most commercially produced phycobiliproteins. Figure 3 represents the respective phycobilins: Phycocyanobilin and phycoerythrobilin.
Figure 3.
Chemical structure of the phycobilins present in phycocyanin and phycoerythrin, respectively: (a) Phycocyanobilin; (b) Phycoerythrobilin.
To study the biological potential of these pigments and evaluate the possibility of incorporating them in functional foods or cosmetics, the choice of a good extraction method is of extreme importance. Therefore, one of the keys to maximize the pigments extraction and to achieve fast, reliable, and environmentally and economically friendly extraction processes, is centered on the type of solvent selected. Different algae possess different accessibilities, and different pigments also contain different solubilities [40,41,42,43,44]. As already mentioned, chlorophylls and carotenoids are non-polar pigments, while phycobiliproteins are water-soluble. Hence, the first ones are better extracted with organic solvents and the last with diluted buffers [41,43]. For the extraction of chlorophylls from algae, N,N-dimethylformamide (DMF), methanol, ethanol, and acetone are frequently used (the last three in different proportions) [41]. Of these, DMF has generally demonstrated to be the most efficient, due to its effectiveness to penetrate membranes on intact algal parts and due to the high stability of chlorophylls in it [41,44,45]. However, this solvent is quite toxic and is not normally recommended [41,44,46]. Methanol and ethanol are recognized as efficient extractants even from more resistant samples, and ethanol in particular has the advantage of being a practical, safer, and economical solvent. Though, the acidity of these alcohols promotes the formation of chlorophyll degradation products which, besides decreasing chlorophylls levels in extracts, also interfere in their determinations [41,44,46,47]. These interferences can be detected in acetone extracts and in addition to this disadvantage, acetone can also be a poor extractant of chlorophylls from various plants and algae (namely green and blue-green algae). Despite that, in spectrophotometric assays, acetone provides very sharp peaks and for this reason is quite used for chlorophyll determinations [41,46,47]. Thus, as can be observed, all of these solvents have their advantages and disadvantages and the selection of the best solvent is quite dependent on the seaweed species under study. For carotenoids extraction, the use of 100% methanol is recommended [41]. For the carotenoid fucoxanthin extraction from brown algae, a solvent generally used is dimethyl sulfoxide (DMSO) due to its quick ability to penetrate the tissues of brown algae and hence to extract the pigment [41,48]. Finally, contrary to chlorophylls, the solvent of choice to extract phycobiliproteins (phosphate buffer) is well established and documented in several studies [41,49,50,51,52,53,54].
The aim of this study was to evaluate the content of non-polar pigments (chlorophylls, total carotenoids and fucoxanthin) and polar ones (phycoerythrin and phycocyanin) from three brown edible algae (Himanthalia elongata, Laminaria ochroleuca (Kombu), Undaria pinnatifida (Wakame)), a red one (Porphyra spp. (Nori)), and a microalga (Spirulina spp.), using a spectrophotometric technique. These algae were selected because all of them grow easily in the Atlantic Ocean and represent a source of commercial value, being used not only in food industry, but also in cosmetic and pharmaceutical fields due to their biological properties [6,9,28,32,33,34,40,55,56,57,58,59]. Some of their bioactivities might be attributed to their high pigment contents, which should, therefore, be ascertained for each of these algae. Moreover, this study also aimed to ascertain the best solvent to extract chlorophylls from these different species of seaweeds. The selection of the solvents used for pigments extraction was based on their affinity for each one and taking into account the existence of well-established equations for those solvents that would allow the spectrophotometric determinations of these pigments.
2. Materials and Methods
2.1. Reagents
Methanol, ethanol and acetone were all obtained from Fisher Chemical (Loughborough, England). N,N-dimethylformamide (DMF) was purchased from Fluka (Seelze, Germany). Dimethyl sulfoxide (DMSO) was from Sigma-Aldrich (Saint Louis, MO, USA). Sodium azide (NaN3) was from Honeywell Riedel-de-Haën (Seelze, Germany). Disodium hydrogen phosphate (Na2HPO4) and sodium tetraborate decahydrate (Na2B4O7·10H2O) were from Merck (Darmstadt, Germany). Potassium carbonate was from Panreac (Barcelona, Spain). Acid-free methanol was prepared by adding magnesium carbonate to methanol (kept at 4 °C after preparation). Phosphate buffer (pH 6.8) was prepared with 10 mM Na2HPO4, 10 mM Na2B4O7·10H2O and 5 mM NaN3. Ultrapure water, used to prepare DMSO–water (4:1, v/v), was treated in a Milli-Q water purification system (Millipore, Bedford, MA, USA).
2.2. Samples
Samples of three brown macroalgae (Himanthalia elongata, Undaria pinnatifida and Laminaria ochroleuca), one red seaweed (Porphyra spp.) and the microalgae Spirulina spp. were kindly supplied by a food company (ALGAS ATLÂNTICAS ALGAMAR, Pontevedra, Spain). The edible algae were harvested from the Atlantic North coast, dried and packaged into plastic bags by ALGAMAR. Before analyses, the samples were removed from the bags, crudely cut into pieces of 1 cm or less using scissors, and ground in a Grindomix GM 200 (Retsch, Haan, Germany) to pass through a 1-mm sieve.
2.3. Pigments Extraction
All the extractions were carried out in triplicate using different solvents (10 mL each), selected based on their affinity for each class of pigments, by vortexing for 1 min (VWR International, Darmstadt, Germany) at room temperature and protected from light. Sample mass varied with the type of algae: 100 mg for brown algae, 25 mg for red algae, and 10 mg for the microalgae. Chlorophylls were extracted with 100% methanol, 100% methanol acid free, 100% ethanol, 90% acetone and N,N-dimethylformamide (DMF); total carotenoids with methanol and methanol acid free; and fucoxanthin (in brown algae) with DMSO-water (4:1, v/v). The polar pigments phycoerythrin and phycocyanin from the red seaweed (Porphyra spp.) and from the microalgae (Spirulina spp.) were extracted with phosphate buffer pH 6.8, according to previous published methodologies [49,50,51]. The extracts were then centrifuged at 2500 rpm for 10 min (Heraeus Sepatech Labofuge Ae, Haraeus Instruments, Germany) and the collected supernatant was subjected to another centrifugation (5000 rpm for 5 min). The absorbance of the supernatant was read, in triplicate, in a UV-1800 ultraviolet-visible spectrophotometer (Shimadzu, Japan), with quartz cuvettes, at the wavelengths corresponding to the maximum absorption of the pigments under study, according to the literature [60]. For the the determination of the pigments’ content, the equations described below were used, and the results were expressed in μg/g of algae [41,47].
2.3.1. 100%. Methanol
2.3.2. 100%. Ethanol
2.3.3. 90%. Acetone
2.3.4. 100%. N,N-Dimethylformamide (DMF)
2.3.5. DMSO:-Water (4:1, v/v)
2.3.6. Phosphate Buffer (pH = 6.8)
2.4. Statistical Analysis
Statistical analysis was performed using IBM SPSS v. 25 (IBM Corp., USA). Data are expressed as mean ± standard deviation (n = 9). One-way ANOVA was used to assess significant differences between samples, followed by Tukey’s HSD to make pairwise comparisons between means. The level of significance for all hypothesis tests (p) was 0.05.
3. Results and Discussion
Chlorophylls and carotenoids contents obtained from the different algae using the selected solvents are presented in Table 1. Acetone was the most efficient solvent to extract chlorophylls from the three brown algae. However, for the red one and the microalgae, the highest chlorophylls content was achieved, respectively, with acid-free methanol and methanol. For Spirulina spp., acetone was a less effective solvent for chlorophylls extraction, overcoming ethanol only, which presented the lowest values. On the one hand, it is well established that acetone is normally the solvent of choice for chlorophyll determination due to the very distinct chlorophyll absorption peaks achieved when using this solvent. On the other hand, it has also been described that this solvent might be a poor extractant of chlorophylls from some algae, namely green and blue-green algae [41,46,61], thus explaining the lower results verified for the acetone extracts of Spirulina spp. Interestingly, the total amount of chlorophylls extracted from the red seaweed (Porphyra spp.) does not seem to have been affected by the type of solvent used, since there were no significant differences (p > 0.05) between the extracts obtained by the majority of solvents used (except ethanol, for which significantly lower values were observed). Nevertheless, significant differences (p < 0.05) were found when considering the content of each chlorophyll individually. According to Dasgupta (2015), red algae contain chls a and d, but not chls b and c [62]. Chl c was not detected in any extract from Porphyra spp., but a small amount of chl b (7.2 ± 0.4 μg/g of algae) was detected in the acetonic extract. However, this value cannot be taken into account since the quadrichroic equations used for acetone, although more reliable than the equations used for methanol, can provide low chl b values in samples that do not contain this pigment [41,47]. Indeed, it has been described that chlorophyll values might be affected in acetone and alcohol extracts since these solvents are often highly acidic, leading to the degradation of chlorophyll. The degradation occurs because, at low pH, chlorophyll may loss magnesium ions (Mg2+), resulting in pheophytin, or may uptake oxygen, resulting in allomerization products [63,64]. These degradation products are spectrally different from chlorophylls, thus interfering with all chlorophyll determinations. This leads to an enlarged peak of chl a and, consequently, in lower and wider peaks for the remaining chlorophylls (chls b, c and d) [41,47]. Moreover, although pheophytin and allomerization products might be present in both acetone and alcohol extracts, its presence is severely and negatively notorious in methanol extracts, and, particularly, in chl b determination. However, if these solvents are neutralized, especially methanol, the formation of these products can be avoided [41,47]. For this reason, in this study, the extraction of chlorophylls from the different algae was made using both methanol and neutralized methanol (acid-free methanol) in order to compare the efficiency of both solvents. Hence, it was possible to observe that, in general, the content of chl a was inferior in methanol acid-free extracts, being significantly lower in Laminaria ochroleuca acid-free methanol extracts. Contrariwise, the contents of chls b, c and d, when detected, were higher in the acid-free methanol extracts obtained from all the algae studied, with significant differences between the two solvents found for almost all of the samples. Therefore, these results show that, effectively, the acidity of methanol may have led to the formation of pheophytin and allomerization products, resulting in false higher values of chl a counterbalanced with false lower values of chls b, c and d in methanol extracts. In particular, Laminaria ochroleuca appeared to be the seaweed most affected by the acidity of methanol, since significant differences were found for all chlorophyll pigments (a, b, c and d). N,N-dimethylformamide (DMF) also seems to be a good extraction solvent for all the samples since the extracts presented the second higher contents of chlorophylls. This can be explained by the fact that chlorophyll is quite stable in this solvent [41], thus not occurring the degradation verified with the other solvents. However, the total content of chlorophylls in DMF extracts might be underestimated once only chls a and b were determined. To the best of our knowledge, no equation has been developed for the determination of chls c and d. Therefore, in further studies it would be interesting to ascertain if it is possible to develop equations that allow the simultaneous determination of chls a, b, c and d in DMF extracts. This would allow comparing results obtained using the different solvents in a more accurate manner. In contrast to the higher results observed for DMF extracts, the ethanolic ones presented the lowest content in chlorophylls for all the algae, except for Himanthalia elongata, which had results that were slightly higher (but not significantly different, p > 0.05) than methanol and acid-free methanol extracts. This might be related to the fact that ethanol is a weak inhibitor of chlorophyllase activity [41]. Thus, the hydrolysis of chlorophylls to the corresponding chlorophyllides and the subsequent degradation products might have led to the lowering of chlorophylls content in the sample, and, consequently, to the low results observed for ethanol extracts. However, the acidity of ethanol might have also influenced the results [41]. As already aforementioned, the acidity of alcohols may lead to the formation of pheophytin and allomerization products of chlorophylls which spectrally interfere with chlorophyll determination. Although these interferents are described to be more present in methanolic extracts, they might also have been formed in the ethanolic ones, possibly affecting the results [41]. In future studies, it would be interesting to investigate if any of these factors effectively affect the extraction of chlorophylls by ethanol. For instance, the chlorophyllase activity assay or the removal of chlorophyllase from the extracts through methodologies already described in the literature (e.g., filtration, centrifugation or denaturation at 60 °C) could be performed to explore the influence of this enzyme in the obtained results [41]. Moreover, it would be of interest to evaluate the influence of ethanol acidity on chlorophylls extraction as well, by comparing an ethanolic acid-free extract with an ethanolic extract, as herein performed for methanol.
Table 1.
Content of chlorophylls and carotenoids extracted from three brown edible algae (Himanthalia elongata, Laminaria ochroleuca (Kombu), Undaria pinnatifida (Wakame)), a red one (Porphyra spp. (Nori)), and microalgae (Spirulina spp.) using different solvents. The results are expressed in μg/g of algae.
The ethanolic extracts presented significant differences (p < 0.05) compared to the remaining solvent extracts, especially for Porphyra spp. and Spirulina spp. This may have different explanations, including the above-mentioned presence of chlorophylls degradation products. It may also be related with the high protein content of these two samples, namely the high content of phycobiliproteins. In addition, according to some studies, ethanol may precipitate proteins and, consequently, interfere with chlorophylls determination [65,66]. Another possibility is based on their cellular structure. Both Porphyra spp. and Spirulina spp. cells are much more accessible to solvent penetration than brown algae cells, as the walls of the latter are chemically and physically more complex than the former ones, thus hindering the action of the solvents [67]. Consequently, the higher permeation of the solvent in the red seaweed and microalgae cells may have led to a higher extraction yield of pigments, thus explaining the highest values obtained with all solvents used. However, for the ethanol extracts, the potential protein precipitation may also explain the significant differences observed between the extracts obtained from Porphyra spp. and Spirulina spp. using this solvent compared with the three brown algae. In all cases, a chromatographic analysis would be useful for the identification and quantification of chlorophyll degradation products.
Regarding the total carotenoid content, significant differences (p < 0.05) between methanol and acid-free methanol extracts were found only for Himanthalia elongate (significantly higher (p < 0.05) contents in acid-free methanol extracts). Therefore, globally, the neutralization of methanol does not seem to have influenced the yield of carotenoids extraction from algae.
The extracts presenting the highest contents of total chlorophylls and total carotenoids for each of the algae are shown in Table 2. It can be observed that microalgae (Spirulina spp.) presented the highest contents of both non-polar pigments, with values significantly different from all the studied macroalgae. In fact, it has been described that microalgae present one of the highest chlorophyll contents in nature [62]. Moreover, high contents of carotenoids are also described for microalgae, namely β-carotene, zeaxanthin and myxoxantophyll [68,69]. In fact, if roughly hypothesized, the total carotenoid contents obtained for the brown algae based on microalgae values, it would be expected to find much higher values for brown algae than those obtained, since carotenoids, particularly fucoxanthin, are responsible for their characteristic brown color [37,62,67]. Nevertheless, the comparison of the results obtained between algae from different taxonomic groups has to be cautiously analyzed, due to the variety of internal and external parameters that may influence their composition. Therefore, besides the inherent characteristics of each species, environmental factors to which algae are exposed in their normal ecosystem, such as light, temperature, salinity and seawater chemical composition may also affect their pigment contents [70,71]. For example, it has been reported that the carotenoids content in Macrocystis pyrifera, a brown species, is influenced by temperature, being higher at colder temperatures (12 °C). Besides, while Himanthalia elongata can be found on the lower mediolittoral zone, Laminaria species are present at the bottom of the rocky shore [70]. Thus, although all the samples studied are from the Atlantic North coast, a variety of factors might have influenced their pigment composition, leading to the different results observed.
Table 2.
Total chlorophylls and carotenoids contents and best extraction solvent for the analyzed samples (results expressed in μg/g of algae).
Concerning the content of fucoxanthin extracted from the three brown algae (Table 3), significant differences (p < 0.05) were found between all of them and, as observed for total carotenoids content, Undaria pinnatifida presented the highest content of fucoxanthin, while Himanthalia elongata showed the lowest one. In fact, total carotenoids and fucoxanthin contents are highly correlated (at a significance level of 0.01), thus indicating that fucoxanthin represents an important carotenoid in brown algae, as described in the literature [37]. Within the carotenoids class, fucoxanthin represented 96% of total carotenoids extracted from Himanthalia elongata. Other carotenoids rather than fucoxanthin might be present in Undaria pinnatifida and Laminaria ochroleuca, since this pigment represents only 49% and 52% of the total carotenoids present in these two algae extracts, respectively. These three algae belong to the same class, i.e., Phaeophyceae. Therefore, it could be expected that, based on their characteristics, namely their similar cellular structure, similar carotenoids contents would be obtained. However, the results suggest that the differences found may be related to species-inherent characteristics, or even to the different environmental factors to which they might have been exposed. Previous studies have reported that low-temperature seawater and stress from the environment might up-regulate fucoxanthin contents and be important on its accumulation [12]. Nevertheless, it is indisputable that fucoxanthin represents the main carotenoid pigment in all the brown algae herein studied.
Table 3.
Fucoxanthin content of brown edible algae (Himanthalia elongata, Laminaria ochroleuca (Kombu), Undaria pinnatifida (Wakame)) extracted using DMSO-water (4:1, v/v) as solvent. The results are expressed in μg/g of algae.
Finally, regarding the contents of the two phycobiliproteins extracted from Porphyra spp. and Spirulina spp. (Table 4), the extracts obtained from the latter presented significantly higher values of phycocyanin than the extracts obtained from the former. In contrast, the content of phycoerythrin was slightly higher for Porphyra spp. extracts, although no significant differences (p > 0.05) have been detected between the two algae. These results are consistent with the literature, where phycocyanin is reported as the major pigment found in Spirulina spp. [33,62], while both phycoerythrin and phycocyanin pigments are responsible for the characteristic red color of Rhodophyta phyla, in which Porphyra spp. is included [62,72].
Table 4.
Phycoerythrin and phycocyanin contents of Porphyra spp. and Spirulina spp. extracted using phosphate buffer (Ph = 6.8). The results are expressed in μg/g of algae.
Overall, taking into account the results obtained for each seaweed, it can be concluded that their pigment composition is in line with the literature. First, regarding the brown algae, chl a, chl c, fucoxanthin, and β-carotene are recognized as the main pigments of these algae [62,68,70]. Fucoxanthin represents an important pigment of brown algae since it masks the chlorophylls and other carotenoids contents [62,72]. Thus, although the content of chlorophylls was higher than the carotenoids content and, in particular, higher than fucoxanthin content, the presence of this xanthophyll overlaps the presence of other pigments in a macroscopic point of view. In fact, brown algae have been receiving more and more attention in the scientific community due to their richness in this pigment, which has documented biological properties [12]. Concerning the red algae (Porphyra spp.), besides phycoerythrin and phycocyanin pigments responsible for its red coloration, other pigments are also present in this seaweed—namely chls a and d, and various carotenoids (β-carotene, α-carotene, lutein, zeaxanthin, violaxanthin, and fucoxanthin)—which may explain the high carotenoids content obtained [62,72]. Finally, for Spirulina spp. (the only microalgae studied in this work), high contents of both chl a and phycocyanin were found in our study. The combination of these two pigments is responsible for the characteristic blue-green color, thus explaining the current name of Cyanobacteria [62]. Notwithstanding, as previously mentioned, microalgae also contain an important quantity of carotenoids [68,69], which is in line with the results obtained in this study. All the results obtained in this research demonstrate the wide variety of pigments that can be found in marine algae, both in qualitative and quantitative terms. Therefore, there in an enormous interest in studying these organisms, since several biological properties have been attributed to each of these pigments.
4. Conclusions
Concerning the ability of the different solvents to extract chlorophylls from the samples, acetone proved to be a good extraction solvent for brown algae, but not for Spirulina spp. Moreover, comparing the chlorophyll contents of methanolic and acid-free methanolic extracts, the acidity of methanol negatively influenced the chlorophyll content of different algae and, particularly, the chlorophyll content of Laminaria ochroleuca. However, this item did not influence the carotenoids extraction. Ethanol revealed to be the less effective solvent to extract chlorophylls from all algae, especially from Porphyra spp. and Spirulina spp., which might be associated with some inherent characteristics of these algae. Regarding the content of different pigments in the different algae, the microalgae Spirulina spp. presented the highest levels of chlorophylls, carotenoids and phycobiliproteins, significantly different from all the studied macroalgae. Porphyra spp. also presented good levels of all these pigments, although much lower than Spirulina spp. in the case of chlorophylls and carotenoids contents. Regarding the three brown algae, Undaria pinnatifida presented the highest contents of chlorophylls, total carotenoids and fucoxanthin, followed by Laminaria ochroleuca. Himanthalia elongata presented the lowest results, although it appears to be almost constituted by fucoxanthin in what concerns to the carotenoids class.
Further studies are needed to determine the qualitative and quantitative pigment composition of these algae, using more accurate analytical methods, namely chromatographic techniques. This would allow extending the range of bioassays to evaluate their biological properties, potentially adding value to algae as a source of bioactive pigments.
Author Contributions
Conceptualization, S.B. and R.C.A.; Methodology, S.M., S.B. and R.A; Validation, S.B. and R.C.A.; Formal Analysis, F.B.P. and R.C.A.; Investigation, C.O., S.M. and S.B.; Resources, S.B. and M.B.P.P.O.; Writing—Original Draft Preparation, C.O., J.P. and F.B.P.; Writing—Review & Editing, C.O., J.P., R.C.A., Visualization, J.P.; Supervision, R.C.A. and M.B.P.P.O.; Funding Acquisition, M.B.P.P.O. All authors have read and agreed to the published version of the manuscript.
Funding
The work was supported by UIDB/50006/2020 (FCT/MCTES). FCT is gratefully acknowledged by F. Pimentel for the PhD SFRH/BD/109042/2015 and research UIDB/50006/2020 grants, by S. Bessada for the PhD grant SFRH/BD/122754/2016, and by R.C. Alves for the CEECIND/01120/2017 contract.
Acknowledgments
The authors thank to ALGAS ATLÂNTICAS ALGAMAR (Pontevedra, Spain) for kindly providing the samples.
Conflicts of Interest
The authors declare no conflict of interest.
References
- Barkia, I.; Saari, N.; Manning, S.R. Microalgae for high-value products towards human health and nutrition. Mar. Drugs 2019, 17, 304. [Google Scholar] [CrossRef]
- Pangestuti, R.; Kim, S.-K. Neuroprotective effects of marine algae. Mar. Drugs 2011, 9, 803–818. [Google Scholar] [CrossRef] [PubMed]
- Suganya, T.; Varman, M.; Masjuki, H.H.; Renganathan, S. Macroalgae and microalgae as a potential source for commercial applications along with biofuels production: A biorefinery approach. Renew. Sustain. Energy Rev. 2016, 55, 909–941. [Google Scholar] [CrossRef]
- Mouritsen, O.G.; Rhatigan, P.; Pérez-Lloréns, J. The rise of seaweed gastronomy: Phycogastronomy. Bot. Mar. 2018, 62, 195–209. [Google Scholar] [CrossRef]
- González-Torres, L.; Churruca, I.; Schultz Moreira, A.R.; Bastida, S.; Benedi, J.; Portillo, M.P.; Sanchez-Muniz, F.J. Effects of restructured pork containing Himanthalia elongata on adipose tissue lipogenic and lipolytic enzyme expression of normo- and hypercholesterolemic rats. J. Nutr. Nutr. 2012, 5, 158–167. [Google Scholar] [CrossRef]
- Olivero-David, R.; Schultz-Moreira, A.; Vázquez-Velasco, M.; González-Torres, L.; Bastida, S.; Benedí, J.; Sanchez-Reus, M.I.; González-Munoz, M.J.; Sánchez-Muniz, F.J. Effects of nori-and wakame-enriched meats with or without supplementary cholesterol on arylesterase activity, lipaemia and lipoproteinaemia in growing Wistar rats. Br. J. Nutr. 2011, 106, 1476–1486. [Google Scholar] [CrossRef] [PubMed]
- Gammone, M.A.; Orazio, N. Anti-obesity activity of the marine carotenoid fucoxanthin. Mar. Drugs 2015, 13, 2196–2214. [Google Scholar] [CrossRef]
- Park, M.H.; Jeon, Y.J.; Kim, H.J.; Han, J.S. Effect of diphlorethohydroxycarmalol isolated from Ishige okamurae on apoptosis in 3 T3-L1 preadipocytes. Phytother. Res. 2013, 27, 931–936. [Google Scholar] [CrossRef] [PubMed]
- Garcimartín, A.; Benedí, J.; Bastida, S.; Sánchez-Muniz, F.J. Aqueous extracts and suspensions of restructured pork formulated with Undaria pinnatifida, Himanthalia elongata and Porphyra umbilicalis distinctly affect the in vitro α-glucosidase activity and glucose diffusion. LWT Food Sci. Technol. 2015, 64, 720–726. [Google Scholar] [CrossRef]
- Ali, M.Y.; Kim, D.H.; Seong, S.H.; Kim, H.-R.; Jung, H.A.; Choi, J.S. α-Glucosidase and protein tyrosine phosphatase 1B inhibitory activity of plastoquinones from marine brown alga Sargassum serratifolium. Mar. Drugs 2017, 15, 368. [Google Scholar] [CrossRef]
- Schultz Moreira, A.R.; Olivero-David, R.; Vázquez-Velasco, M.; González-Torres, L.; Benedi, J.; Bastida, S.; Sánchez-Muniz, F.J. Protective effects of sea spaghetti-enriched restructured pork against dietary cholesterol: Effects on arylesterase and lipoprotein profile and composition of growing rats. J. Med. Food 2014, 17, 921–928. [Google Scholar] [CrossRef] [PubMed]
- Maeda, H.; Fukuda, S.; Izumi, H.; Saga, N. Anti-oxidant and fucoxanthin contents of brown alga ishimozuku (Sphaerotrichia divaricata) from the west coast of Aomori, Japan. Mar. Drugs 2018, 16, 255. [Google Scholar] [CrossRef] [PubMed]
- Maeda, H.; Kanno, S.; Kodate, M.; Hosokawa, M.; Miyashita, K. Fucoxanthinol, metabolite of fucoxanthin, improves obesity-induced inflammation in adipocyte cells. Mar. Drugs 2015, 13, 4799–4813. [Google Scholar] [CrossRef] [PubMed]
- Dong, X.; Bai, Y.; Xu, Z.; Shi, Y.; Sun, Y.; Janaswamy, S.; Yu, C.; Qi, H. Phlorotannins from Undaria pinnatifida sporophyll: Extraction, antioxidant, and anti-inflammatory activities. Mar. Drugs 2019, 17, 434. [Google Scholar] [CrossRef] [PubMed]
- Lee, D.; Nishizawa, M.; Shimizu, Y.; Saeki, H. Anti-inflammatory effects of dulse (Palmaria palmata) resulting from the simultaneous water-extraction of phycobiliproteins and chlorophyll a. Food Res. Int. 2017, 100, 514–521. [Google Scholar] [CrossRef] [PubMed]
- Deethae, A.; Peerapornpisal, Y.; Pekkoh, J.; Sangthong, P.; Tragoolpua, Y. Inhibitory effect of Spirogyra spp. algal extracts against herpes simplex virus type 1 and 2 infection. J. Appl. Microbiol. 2018, 124, 1441–1453. [Google Scholar] [CrossRef]
- Dinesh, S.; Menon, T.; Hanna, L.E.; Suresh, V.; Sathuvan, M.; Manikannan, M. In vitro anti-HIV-1 activity of fucoidan from Sargassum swartzii. Int. J Biol. Macromol. 2016, 82, 83–88. [Google Scholar] [CrossRef]
- Karpinski, T.M.; Adamczak, A. Fucoxanthin—An antibacterial carotenoid. Antioxidants 2019, 8, 239. [Google Scholar] [CrossRef]
- Lu, W.-J.; Lin, H.-J.; Hsu, P.-H.; Lai, M.; Chiu, J.-Y.; Lin, H.-T.V. Brown and red seaweeds serve as potential efflux pump inhibitors for drug-resistant Escherichia coli. Evid Based Complement. Altern. Med. 2019, 2019, 1836982. [Google Scholar] [CrossRef]
- Capillo, G.; Savoca, S.; Costa, R.; Sanfilippo, M.; Rizzo, C.; Lo Giudice, A.; Albergamo, A.; Rando, R.; Bartolomeo, G.; Spanò, N.; et al. New insights into the culture method and antibacterial potential of Gracilaria gracilis. Mar. Drugs 2018, 16, 492. [Google Scholar] [CrossRef]
- Martin, L.J. Fucoxanthin and its metabolite fucoxanthinol in cancer prevention and treatment. Mar. Drugs 2015, 13, 4784–4798. [Google Scholar] [CrossRef] [PubMed]
- Wang, J.; Ma, Y.; Yang, J.; Jin, L.; Gao, Z.; Xue, L.; Hou, L.; Sui, L.; Liu, J.; Zou, X. Fucoxanthin inhibits tumour-related lymphangiogenesis and growth of breast cancer. J. Cell. Mol. Med. 2019, 23, 2219–2229. [Google Scholar] [CrossRef] [PubMed]
- Liu, Q.; Wang, Y.; Cao, M.; Pan, T.; Yang, Y.; Mao, H.; Sun, L.; Liu, G. Anti-allergic activity of R-phycocyanin from Porphyra haitanensis in antigen-sensitized mice and mast cells. Int. Immunopharmacol. 2015, 25, 465–473. [Google Scholar] [CrossRef] [PubMed]
- Chen, Y.; Lin, H.; Li, Z.; Mou, Q. The anti-allergic activity of polyphenol extracted from five marine algae. J. Ocean Univ. China 2015, 14, 681–684. [Google Scholar] [CrossRef]
- Lin, J.; Huang, L.; Yu, J.; Xiang, S.; Wang, J.; Zhang, J.; Yan, X.; Cui, W.; He, S.; Wang, Q. Fucoxanthin, a marine carotenoid, reverses scopolamine-induced cognitive impairments in mice and inhibits acetylcholinesterase in vitro. Mar. Drugs 2016, 14, 67. [Google Scholar] [CrossRef]
- Silva, J.; Alves, C.; Pinteus, S.; Mendes, S.; Pedrosa, R. Neuroprotective effects of seaweeds against 6-hydroxidopamine-induced cell death on an in vitro human neuroblastoma model. BMC Complement. Altern. Med. 2018, 18, 58. [Google Scholar] [CrossRef]
- Shimazu, T.; Kuriyama, S.; Hozawa, A.; Ohmori, K.; Sato, Y.; Nakaya, N.; Nishino, Y.; Tsubono, Y.; Tsuji, I. Dietary patterns and cardiovascular disease mortality in Japan: A prospective cohort study. Int. J. Epidemiol. 2007, 36, 600–609. [Google Scholar] [CrossRef]
- Ikeda, K.; Kitamura, A.; Machida, H.; Watanabe, M.; Negishi, H.; Hiraoka, J.; Nakano, T. Effect of Undaria pinnatifida (Wakame) on the development of cerebrovascular diseases in stroke-prone spontaneously hypertensive rats. Clin. Exp. Pharmacol. Physiol. 2003, 30, 44–48. [Google Scholar] [CrossRef]
- Azeem, M.; Iqbal, N.; Mir, R.A.; Adeel, S.; Batool, F.; Khan, A.A.; Gul, S. Harnessing natural colorants from algal species for fabric dyeing: A sustainable eco-friendly approach for textile processing. J. Appl. Phycol. 2019, 31, 3941–3948. [Google Scholar] [CrossRef]
- Palabiyik, I.; Durmaz, Y.; Öner, B.; Toker, O.S.; Coksari, G.; Konar, N.; Tamtürk, F. Using spray-dried microalgae as a natural coloring agent in chewing gum: Effects on color, sensory, and textural properties. J. Appl. Phycol. 2018, 30, 1031–1039. [Google Scholar] [CrossRef]
- El-Khatib, E.; Ali, N.F.; El-Mohamedy, R. Enhancing dyeing of wool fibers with colorant pigment extracted from green algae. J. Chem. Pharm. Res. 2016, 8, 614–619. [Google Scholar]
- Wang, H.D.; Li, X.C.; Lee, D.J.; Chang, J.S. Potential biomedical applications of marine algae. Bioresour. Technol. 2017, 244, 1407–1415. [Google Scholar] [CrossRef] [PubMed]
- Singh, S.; Kate, B.N.; Banerjee, U.C. Bioactive compounds from cyanobacteria and microalgae: An overview. Crit. Rev. Biotechnol. 2005, 25, 73–95. [Google Scholar] [CrossRef] [PubMed]
- Kim, S.K.; Pangestuti, R. Biological activities and potential health benefits of fucoxanthin derived from marine brown algae. Adv. Food Nutr. Res. 2011, 64, 111–128. [Google Scholar] [CrossRef] [PubMed]
- Senge, M.O.; Ryan, A.A.; Letchford, K.A.; MacGowan, S.A.; Mielke, T. Chlorophylls, symmetry, chirality, and photosynthesis. Symmetry 2014, 6, 781–843. [Google Scholar] [CrossRef]
- Poojary, M.M.; Barba, F.J.; Aliakbarian, B.; Donsì, F.; Pataro, G.; Dias, D.A.; Juliano, P. Innovative alternative technologies to extract carotenoids from microalgae and seaweeds. Mar. Drugs 2016, 14, 214. [Google Scholar] [CrossRef]
- Matsuno, T. Aquatic animal carotenoids. Fish. Sci. 2001, 67, 771–783. [Google Scholar] [CrossRef]
- Glazer, A.N. Phycobiliproteins—A family of valuable, widely used fluorophores. J. Appl. Phycol. 1994, 6, 105–112. [Google Scholar] [CrossRef]
- Bryant, D.A.; Guglielmi, G.; Marsac, N.T.D.; Castets, A.-M.; Cohen-Bazire, G. The structure of cyanobacterial phycobilisomes: A model. Arch. Microbiol. 1979, 123, 113–127. [Google Scholar] [CrossRef]
- Pimentel, F.B.; Alves, R.C.; Rodrigues, F.; Oliveira, M.B.P.P. Macroalgae-derived ingredients for cosmetic industry—An update. Cosmetics. 2018, 5, 2. [Google Scholar] [CrossRef]
- Connan, S. Spectrophotometric assays of major compounds extracted from algae. Methods Mol. Biol. 2015, 1308, 75–101. [Google Scholar] [CrossRef] [PubMed]
- Fabrowska, J.; Messyasz, B.; Szyling, J.; Walkowiak, J.; Łęska, B. Isolation of chlorophylls and carotenoids from freshwater algae using different extraction methods. Phycol. Res. 2018, 66, 52–57. [Google Scholar] [CrossRef]
- Alam, T.; Najam, L.; Al Harrasi, A. Extraction of natural pigments from marine algae. J. Agric. Marine Sci. 2018, 23, 81–91. [Google Scholar] [CrossRef]
- Wiltshire, K.H.; Boersma, M.; Möller, A.; Buhtz, H. Extraction of pigments and fatty acids from green alga Scenedesmus obliquus (Chlorophyceae). Aquat. Ecol. 2000, 34, 119–126. [Google Scholar] [CrossRef]
- Inskeep, W.P.; Bloom, P.R. Extinction Coefficients of Chlorophyll a and b in N,N-Dimethylformamide and 80% Acetone. Plant Physiol. 1985, 77, 483–485. [Google Scholar] [CrossRef]
- Ritchie, R.J. Consistent sets of spectrophotometric chlorophyll equations for acetone, methanol and ethanol solvents. Photosynth. Res. 2006, 89, 27–41. [Google Scholar] [CrossRef]
- Ritchie, R.J. Universal chlorophyll equations for estimating chlorophylls a, b, c, and d and total chlorophylls in natural assemblages of photosynthetic organisms using acetone, methanol, or ethanol solvents. Photosynthetica 2008, 46, 115–126. [Google Scholar] [CrossRef]
- Seely, G.R.; Duncan, M.J.; Vidaver, W.E. Preparative and analytical extraction of pigments from brown algae with dimethyl sulfoxide. Marine Biol. 1972, 12, 184–188. [Google Scholar] [CrossRef]
- Beer, S.; Eshel, A. Determining phycoerythrin and phycocyanin concentrations in aqueous crude extracts of red algae. Marine Freshw. Res. 1985, 36, 785–792. [Google Scholar] [CrossRef]
- Lawrenz, E.; Fedewa, E.J.; Richardson, T.L. Extraction protocols for the quantification of phycobilins in aqueous phytoplankton extracts. J. Appl. Phycol. 2011, 23, 865–871. [Google Scholar] [CrossRef]
- Munier, M.; Jubeau, S.; Wijaya, A.; Morancais, M.; Dumay, J.; Marchal, L.; Jaouen, P.; Fleurence, J. Physicochemical factors affecting the stability of two pigments: R-phycoerythrin of Grateloupia turuturu and B-phycoerythrin of Porphyridium cruentum. Food Chem. 2014, 150, 400–407. [Google Scholar] [CrossRef] [PubMed]
- Hussein, M.H.; El-Naggar, N.E.; El-Sawah, A.A. Extraction, Purification and Spectroscopic Characterization of Phycobiliproteins Extracted from Some Nostoc Spp. J. Agric. Chem. Biotechn. 2017, 8, 261–264. [Google Scholar] [CrossRef]
- Thoisen, C.; Hansen, B.W.; Nielsen, S.L. A simple and fast method for extraction and quantification of cryptophyte phycoerythrin. MethodsX 2017, 4, 209–213. [Google Scholar] [CrossRef] [PubMed]
- Pereira, T.; Barroso, S.; Mendes, S.; Amaral, R.A.; Dias, J.R.; Baptista, T.; Saraiva, J.A.; Alves, N.M.; Gil, M.M. Optimization of phycobiliprotein pigments extraction from red algae Gracilaria gracilis for substitution of synthetic food colorants. Food Chem. 2020, 321, 126688. [Google Scholar] [CrossRef] [PubMed]
- Floc’h, J.; Pajot, R.; Mouret, V. Undaria pinnatifida (Laminariales, Phaeophyta) 12 years after its introduction into the Atlantic Ocean. Hydrobiol. 1996, 326, 217–222. [Google Scholar] [CrossRef]
- Veiga, P.; Torres, A.C.; Rubal, M.; Troncoso, J.; Soupa-Pinto, I. The invasive kelp Undaria pinnatifida (Laminariales, Ochrophyta) along the north coast of Portugal: Distribution model versus field observations. Mar. Pollut. Bull. 2014, 84, 363–365. [Google Scholar] [CrossRef]
- Rezzoum, N.; Mouradi, A.; Givernaud, T.; Bennasser, L. Temporal variation of Laminaria ochroleuca Bachelot de la Pylaie (Laminariales, Phaeophyta) biomass on the Moroccan Atlantic coast: Implication for commercial harvesting. Algol. Stud. 2017, 153, 1–15. [Google Scholar] [CrossRef]
- Pimentel, F.; Cermeño, M.; Kleekayai, T.; Harnedy, P.A.; FitzGerald, R.J.; Alves, R.C.; Oliveira, M.B.P.P. Effect of in vitro simulated gastrointestinal digestion on the antioxidant activity of the red seaweed Porphyra dioica. Food Res. Int. 2020, 136, 109309. [Google Scholar] [CrossRef]
- Soni, R.A.; Sudhakar, K.; Rana, R.S. Comparative study on the growth performance of Spirulina platensis on modifying culture media. Energy Rep. 2019, 5, 327–336. [Google Scholar] [CrossRef]
- Syad, A.N.; Pandian, S.; Kasi, P.D. Seaweeds as nutritional supplements: Analysis of nutritional profile, physicochemical properties and proximate composition of G. acerosa and S. wightii. Biomed. Prev. Nutr. 2013, 3, 139–144. [Google Scholar] [CrossRef]
- Sartory, D.P.; Grobbelaar, J.U. Extraction of chlorophyll a from freshwater phytoplankton for spectrophotometric analysis. Hydrobiologia 1984, 114, 177–187. [Google Scholar] [CrossRef]
- Dasgupta, C.N. Algae as a source of phycocyanin and other industrially important pigments. In Algae Biorefinery: An Integrated Approach, 1st ed.; Das, D., Ed.; Springer International Publishing: Cham, Switzerland, 2015; pp. 253–276. [Google Scholar] [CrossRef]
- Pither, R.J. Canning-quality changes during canning. In Encyclopedia of Food Sciences and Nutrition, 2nd ed.; Caballero, B., Finglas, P., Toldra, F., Eds.; Academic Press: London, UK, 2003; pp. 845–851. [Google Scholar] [CrossRef]
- Brereton, R.G.; Rahmani, A.; Liang, Y.; Kvalheim, O.M. Investigation of the allomerization reaction of chlorophyll a: Use of diode array HPLC, mass spectrometry and chemometric factor analysis for the detection of early products. Photochem. Photobiol. 1994, 59, 99–110. [Google Scholar] [CrossRef]
- Yoshikawa, H.; Hirano, A.; Arakawa, T.; Shiraki, K. Mechanistic insights into protein precipitation by alcohol. Int. J. Biol. Macromol. 2012, 50, 865–871. [Google Scholar] [CrossRef]
- Schilder, G.; Schlagenhauf, A.; Schneditz, D.; Scharnagl, H.; Ribitsch, W.; Krause, R.; Rosenkranz, A.R.; Stojakovic, T.; Horina, J.H. Ethanol causes protein precipitation—New safety issues for catheter locking techniques. PLoS ONE 2013, 8, e84869. [Google Scholar] [CrossRef]
- Pereira, L.; Neto, J.M. Marine Algae: Biodiversity, Taxonomy, Environmental Assessment, and Biotechnology, 1st ed.; CRC Press: Boca Raton, FL, USA, 2014; pp. 1–398. [Google Scholar] [CrossRef]
- Takaichi, S. Carotenoid in algae: Distributions, biosynthesis and functions. Mar. Drugs 2011, 9, 1101–1118. [Google Scholar] [CrossRef] [PubMed]
- Guedes, A.C.; Amaro, H.M.; Malcata, F.X. Microalgae as sources of carotenoids. Mar. Drugs 2011, 9, 625–644. [Google Scholar] [CrossRef] [PubMed]
- Lalegerie, F.; Gager, L.; Stiger-Pouvreau, V.; Connan, S. The stressful life of red and brown seaweeds on the temperate intertidal zone: Effect of abiotic and biotic parameters on the physiology of macroalgae and content variability of particular metabolites. In Advances in Botanical Research—Seaweeds around the World: State of Art and Perspectives, 1st ed.; Bourgougnon, N., Ed.; Elsevier Science & Technology: London, UK, 2020; Volume 95, (accepted; in press). [Google Scholar] [CrossRef]
- Lordan, S.; Ross, R.P.; Stanton, C. Marine bioactives as functional food ingredients: Potential to reduce the incidence of chronic diseases. Mar. Drugs 2011, 9, 1056–1100. [Google Scholar] [CrossRef]
- Zerrifi, S.E.A.; Khalloufi, F.E.; Oudra, B.; Vasconcelos, V. Seaweed bioactive compounds against pathogens and microalgae: Potential uses on pharmacology and harmful algae bloom control. Mar. Drugs 2018, 16, 55. [Google Scholar] [CrossRef]
© 2020 by the authors. Licensee MDPI, Basel, Switzerland. This article is an open access article distributed under the terms and conditions of the Creative Commons Attribution (CC BY) license (http://creativecommons.org/licenses/by/4.0/).


