Influence of a Pulsed Electric Field on Charge Generation in a Flowing Protein Solution
Abstract
:1. Introduction
2. Materials and Methods
2.1. Materials
2.2. Charge Measurements
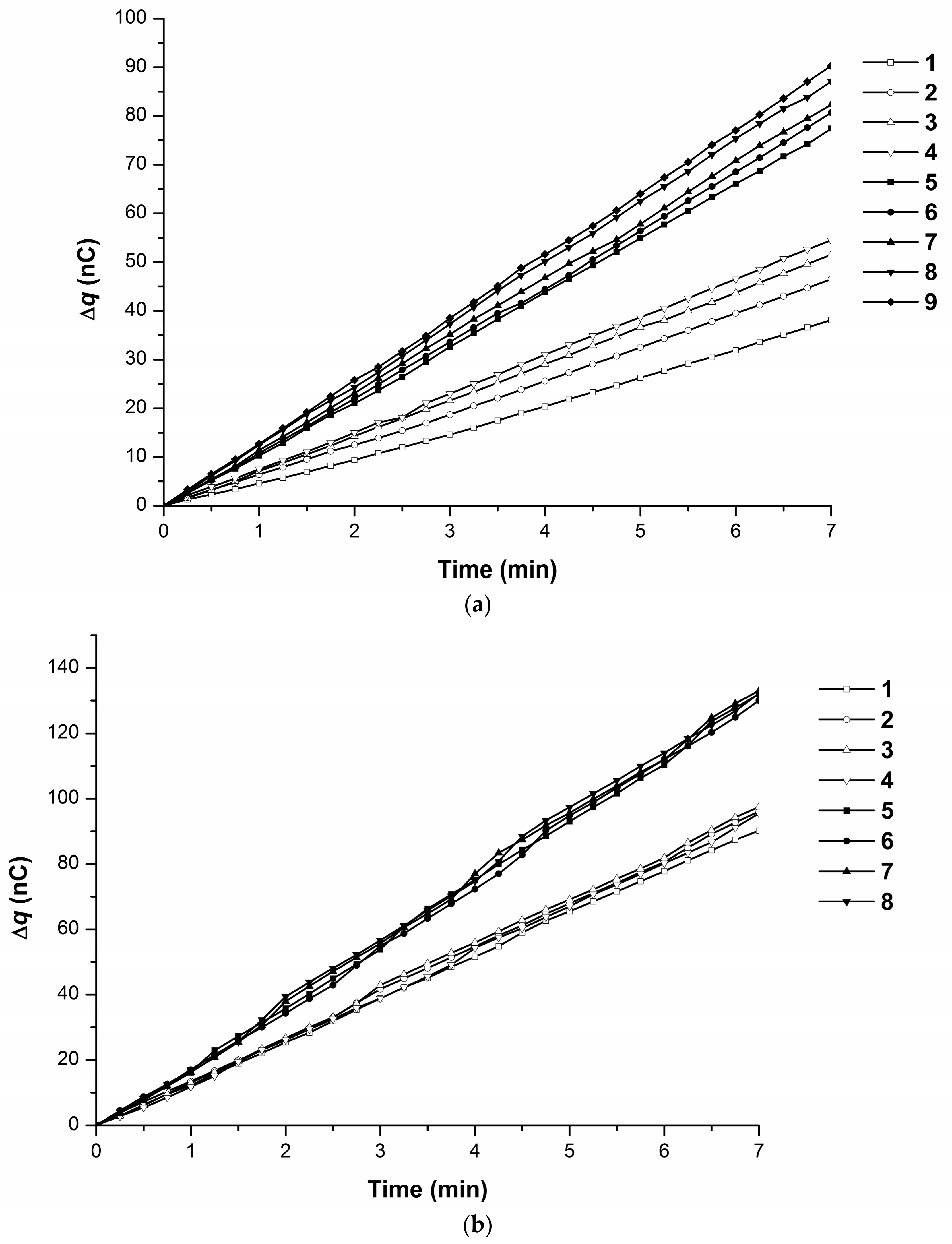
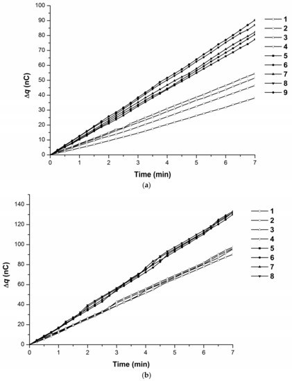
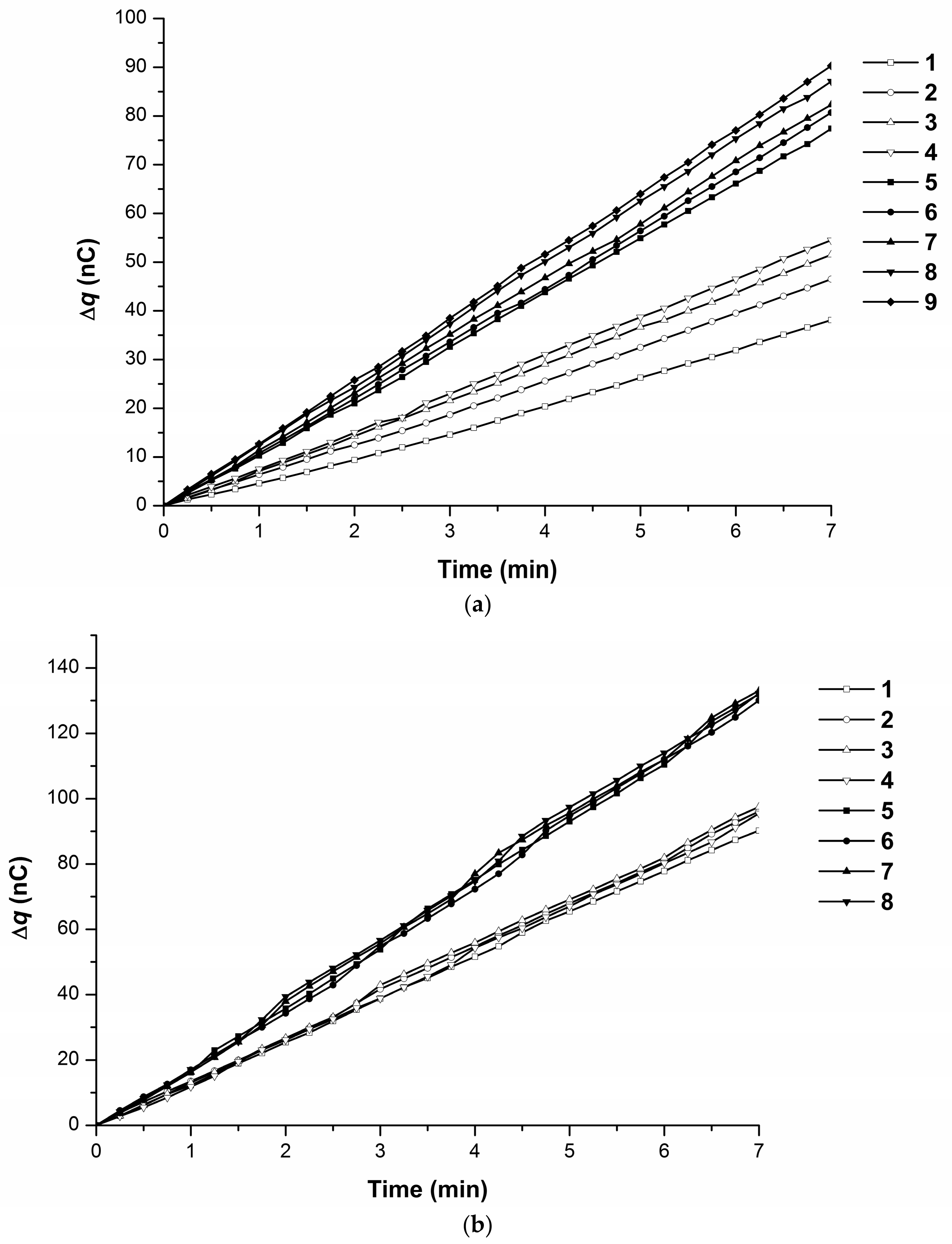
3. Results
3.1. Effect of the Presence of a Low-Abundant Protein on the Charging of Liquid
3.2. Effect of the Pulsed Electric Field on the Charging of Water and Protein Solution
4. Discussion
5. Conclusions
Author Contributions
Funding
Acknowledgments
Conflicts of Interest
References
- Whitesides, G.M.; McCarty, L.S. Electrostatic Charging Due to Separation of Ions at Interfaces: Contact Electrification of Ionic Electrets. Angew. Chem. Int. Ed. 2008, 47, 2188–2207. [Google Scholar]
- Ivanov, Y.D.; Pleshakova, T.; Malsagova, K.; Kozlov, A.; Kaysheva, A.; Kopylov, A.; Izotov, A.; Andreeva, E.; Kanashenko, S.; Usanov, S.; et al. Highly sensitive protein detection by combination of atomic force microscopy fishing with charge generation and mass spectrometry analysis. FEBS J. 2014, 281, 4705–4717. [Google Scholar] [CrossRef] [PubMed]
- Pleshakova, T.O.; Malsagova, K.A.; Kozlov, A.F.; Kanashenko, S.L.; Ivanova, N.D.; Sadovskaya, T.A.; Archakov, A.I.; Ivanov, Y.D. Highly sensitive AFM-fishing of albumin. Pathogenesis 2016, 14, 23–30. (In Russian) [Google Scholar]
- Pleshakova, T.O.; Malsagova, K.A.; Kaysheva, A.L.; Kopylov, A.T.; Tatur, V.Y.; Ziborov, V.S.; Kanashenko, S.L.; Galiullin, R.A.; Ivanov, Y.D. Highly sensitive protein detection by biospecific AFM-based fishing with pulsed electrical stimulation. FEBS Open Bio 2017, 7, 1186–1195. [Google Scholar] [CrossRef] [PubMed]
- Ivanov, Y.D.; Pleshakova, T.O.; Malsagova, K.A.; Kaysheva, A.L.; Kopylov, A.T.; Izotov, A.A.; Tatur, V.Y.; Vesnin, S.G.; Ivanova, N.D.; Ziborov, V.S.; et al. AFM-based protein fishing in the pulsed electric field. Biochem. (Moscow) Suppl. Ser. B Biomed. Chem. 2015, 9, 121–129. [Google Scholar] [CrossRef]
- UniProtKB—P00167 (CYB5_HUMAN). Available online: http://www.uniprot.org/uniprot/P00167 (accessed on 29 March 2018).
- Kiyoshi, A.; Yoshiki, S. Properties of cytochrome b5, and methemoglobin reduction in human erythrocyte. Eur. J. Biochem. 1979, 101, 423–428. [Google Scholar]
- Filipič, B.; Kovacs, K.; Somogyvari, F.; Ihan, A.; Ocsovszky, I.; Koren, S.; Toth, S. The effects of medium-strength electric impulses on human blood. Bioelectrochemistry 2000, 52, 29–36. [Google Scholar] [CrossRef]
- Blank, M.; Findl, E. Mechanistic Approaches to Interactions of Electric and Electromagnetic Fields with Living System; Plenum Press: New York, NY, USA, 1987; Volume 9, pp. 365–387. [Google Scholar]
- Ivanov, Y.D.; Kozlov, A.F.; Malsagova, К.А.; Pleshakova, Т.О.; Vesnin, S.G.; Tatur, V.Y.; Ivanova, N.D.; Ziborov, V.S. Monitoring of microwave emission of HRP system during the enzyme functioning. Biochem. Biophys. Rep. 2016, 7, 20–25. [Google Scholar] [CrossRef] [PubMed]
- Duarte, M.P.; Palma, B.B.; Gilep, A.A.; Laires, A.; Oliveira, J.S.; Usanov, S.A.; Rueff, J.; Kranendonk, M. The stimulatory role of human cytochrome b5 in the bioactivation activities of human CYP1A2, 2A6, and 2E1: A new cell expression system to study cytochrome P450 mediated biotransformation. Mutagenesis 2005, 20, 93–100. [Google Scholar] [CrossRef] [PubMed]
- Burgo, T.A.; Galembeck, F.; Pollack, G.H. Where is water in the triboelectric series? J. Electrostat. 2016, 80, 30–33. [Google Scholar] [CrossRef]
- Bushuev, E.N. The calculation of temperature dependence of water ion production, specific conductance and extremely diluted electrolytic solution. Vestnik IGAU 2007, 2, 49–52. (In Russian) [Google Scholar]
- Pershin, S. Conversion of ortho-para H2O isomers in water and a jump in erythrocyte fluidity through a microcapillary at a temperature of 36.6 ± 0.3 °C. Phys. Wave Phenom. 2009, 17, 241. [Google Scholar] [CrossRef]
- Kholmanskiy, A.S. Two types of anomalous thermodynamics of water. Apriori. Ser. Iestestv. I Tekh. Nauki 2015, 1, 1–17. [Google Scholar]
- Ivanov, Y.D.; Kozlov, A.F.; Galiullin, R.A.; Kanashenko, S.L.; Usanov, S.A.; Ivanova, N.D.; Ziborov, V.S.; Pleshakova, T.O. Spontaneous generation of charge in the flow-based AFM fishing system. J. Electrostat. 2018, 91, 16–20. [Google Scholar] [CrossRef]
- Pershin, S.M. New Conception of Electromagnetic Field Influence on Water and Water Solutions with Considering Quantum Distinct Ortho-/Para-Spin Isomers of H2O. 2013. Available online: www.biophys.ru/archive/sarov2013/proc-p17.pdf (accessed on 29 March 2018).





| Analyzed liquid | 23 °C | 38 °C |
|---|---|---|
| Water | 31 ± 4 | 74 ± 6 |
| Protein solution | 36 ± 2 | 95 ± 3 |
| Analyzed liquid | Temperature | Without Electric Field | With Pulsed Electric Field |
|---|---|---|---|
| Water | 23 °C | 36 ± 2 | 51 ± 3 |
| 38 °C | 48 ± 7 | 84 ± 5 | |
| Protein solution | 23 °C | 36 ± 2 | 50 ± 1 |
| 38 °C | 95 ± 3 | 132 ± 2 |
© 2018 by the authors. Licensee MDPI, Basel, Switzerland. This article is an open access article distributed under the terms and conditions of the Creative Commons Attribution (CC BY) license (http://creativecommons.org/licenses/by/4.0/).
Share and Cite
Ivanov, Y.D.; Kozlov, A.F.; Galiullin, R.A.; Tatur, V.Y.; Ziborov, V.S.; Usanov, S.A.; Pleshakova, T.O. Influence of a Pulsed Electric Field on Charge Generation in a Flowing Protein Solution. Separations 2018, 5, 29. https://doi.org/10.3390/separations5020029
Ivanov YD, Kozlov AF, Galiullin RA, Tatur VY, Ziborov VS, Usanov SA, Pleshakova TO. Influence of a Pulsed Electric Field on Charge Generation in a Flowing Protein Solution. Separations. 2018; 5(2):29. https://doi.org/10.3390/separations5020029
Chicago/Turabian StyleIvanov, Yuri D., Andrey F. Kozlov, Rafael A. Galiullin, Vadim Yu. Tatur, Vadim S. Ziborov, Sergey A. Usanov, and Tatyana O. Pleshakova. 2018. "Influence of a Pulsed Electric Field on Charge Generation in a Flowing Protein Solution" Separations 5, no. 2: 29. https://doi.org/10.3390/separations5020029
APA StyleIvanov, Y. D., Kozlov, A. F., Galiullin, R. A., Tatur, V. Y., Ziborov, V. S., Usanov, S. A., & Pleshakova, T. O. (2018). Influence of a Pulsed Electric Field on Charge Generation in a Flowing Protein Solution. Separations, 5(2), 29. https://doi.org/10.3390/separations5020029

