Dehydration Characteristics of Viscous Fine Coal in Compound Force-Field with Vibration and Airflow
Abstract
1. Introduction
2. Experimental System and Materials
2.1. Experimental System
2.2. Test Materials
2.3. Evaluation Indicators
2.4. Measurement of Interparticle Forces
3. Experimental Results and Analysis
3.1. Variation Patterns of Coal External Moisture Content Under Temperature Fields
3.2. Variation in Interparticle Adhesion Forces at Different External Water Contents
3.3. Variation in Interparticle Collision Forces Under Different Operating Parameters
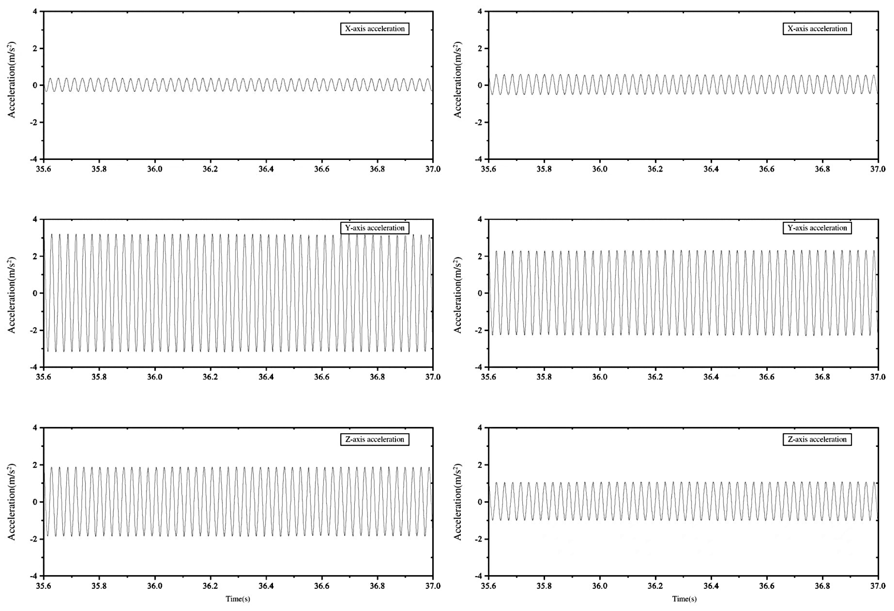
3.4. Vibration Characteristics at Different Locations in the Bed Layer
3.5. Dehydration Characteristics of Particles at Different Positions in the Bed Layer
3.6. Ash Separation Characteristics of Coal Particles
4. Discussion
5. Conclusions
Author Contributions
Funding
Data Availability Statement
Conflicts of Interest
Abbreviations
| S | Ash separation efficiency index. A higher value indicates better separation performance |
| Ai | Ash content of the coal sample from the i-th layer in the bed (%) |
| A0 | Ash content of the feed coal sample (%) |
| n | Number of sampling layers |
| EP | Probable error (g/cm3). A measure of separation sharpness; a lower value indicates higher precision |
| δ25 | Density (g/cm3) at which 25% of the material reports to the heavy product |
| δ75 | Density (g/cm3) at which 75% of the material reports to the heavy product |
| FAdmax | Maximum capillary adhesion force between particles (nN) |
| Dpeak | Particle separation distance at which FAdmax is achieved |
| v | Airflow velocity (m/s) |
| f | Vibration frequency (Hz) |
| Re | Reynolds number, Re = ρgvdp/μg (dimensionless) |
| dp | Particle diameter |
References
- National Energy Administration. Guiding Opinions on Energy Work in 2022; National Energy Administration: Beijing, China, 2022.
- Zhao, J.Y.; Wang, X.X.; Qi, L.; Zhao, Z.Q.; Wang, F.W.; Wen, J.L.; Dai, H.X. Progress in the Theory and Technology of High-Gradient Magnetic Separation. Conserv. Util. Miner. Resour. 2024, 44, 117–126. [Google Scholar]
- National Development and Reform Commission; National Energy Administration. Modern Energy System Planning for the 14th Five-Year Plan; National Development and Reform Commission, National Energy Administration: Beijing, China, 2022.
- Xia, Y.K.; Li, G.M. Current situation and prospects of power coal dry separation technology in China. Clean Coal Technol. 2017, 23, 21–29. [Google Scholar]
- Zhao, Y.; Zhang, Y.; Zhou, E.; Zhou, C.; Dong, L.; Zhang, B.; Duan, C. Research progress and prospect of clean and efficient dry coal separation. J. China Univ. Min. Technol. 2022, 51, 607–616. [Google Scholar]
- Zhang, B.; Zhou, C.; Chen, Z.; Zhao, Y. Effect of coal particle swarm properties on the fluidization characteristics and coal beneficiation in a dense-phase gas-solid fluidized bed. Particuology 2017, 35, 108–118. [Google Scholar] [CrossRef]
- Zhu, R.; Zhao, Y.M.; Zhao, P.F.; Luo, Y.F.; Wang, H.K.; He, L.H.; Tan, M.B.; Wang, H.; Yhang, Z.F. Bed fluidization characteristics and separating effect of fine coal in an air-dense medium fluidized bed. J. China Coal Soc. 2016, 41, 203–210. [Google Scholar]
- Zhao, Y.M.; Li, G.M.; Jia, Z.F.; Zhang, B.; Dong, L. Theory of modularized dry coal beneficiation and its application based on an air dense medium fluidized bed. J. China Coal Soc. 2014, 39, 1566–1571. [Google Scholar]
- Wei, Z.K. Study on dry coal preparation technology of air dense medium fluidized bed. Clean Coal Technol. 2010, 16, 41–44. [Google Scholar]
- Sahu, A.K.; Tripathy, A.; Biswal, S.K.; Parida, A. A study on the dynamic stability of medium in an air-dense medium fluidised bed separator. Fuel 2005, 58, 103–107. [Google Scholar]
- Zhang, Y.D.; Wang, X.Y.; Dong, H.X.; Yang, Y.; Zhao, Y.; Jiang, Y.; Zhu, R.; Yang, X. Study on key factors affecting the separation of fine coal in a vibrated fluidized bed. J. China Coal Soc. 2016, 41, 3128–3135. [Google Scholar]
- Dong, L.; Zhang, B.; Zhang, Y.; Zhao, Y.; Zhou, E.; Lv, P.; Duan, C. Kinetic characteristics of the particles in a dense-phase pulsed fluidized bed for dry beneficiation. Can. J. Chem. Eng. 2017, 95, 1133–1140. [Google Scholar] [CrossRef]
- Yu, X.; Luo, Z.; Li, H.; Gan, D. Effect of vibration on the separation efficiency of oil shale in a compound dry separator. Fuel 2020, 214, 242–253. [Google Scholar] [CrossRef]
- Wei, L.B.; Liang, S.H.; Wei, R.H.; Wang, X.H.; Zeng, M. Characteristics of separation with a new style airdense medium fluidized bed. J. China Univ. Min. Technol. 2011, 40, 733–736. [Google Scholar]
- Lv, B.; Fu, Y.; Luo, Z.; Zhang, B.; Qin, X.; Zhu, X. Moisture transfer of wet coal and its effect on fluidization behavior in a gas–solid separation bed. Powder Technol. 2019, 352, 126–135. [Google Scholar] [CrossRef]
- Zhao, Y.M.; Liu, X.J.; Liu, K.L.; Luo, Z.F.; Wu, W.C.; Song, S.L.; Tang, L.G. Fluidization Characteristics of a Gas-Paigeite-Powder Bed to be Utilized for Dry Coal Beneficiation. Int. J. Coal Prep. Util. 2013, 31, 149–160. [Google Scholar] [CrossRef]
- Van Ommena, J.R.; Sasic, S.; Van der Schaaf, J.; Gheorghiu, S.; Johnsson, F.; Coppens, M.O. Time-series analysis of pressure fluctuations in gas–solid fluidized beds—A review. Int. J. Multiph. Flow 2011, 37, 403–428. [Google Scholar] [CrossRef]
- Yang, X.; Zhao, Y.; Luo, Z.; Song, S.; Duan, C.; Dong, L. Fine coal dry cleaning using a vibrated gas-fluidized bed. Fuel Process. Technol. 2013, 106, 338–343. [Google Scholar] [CrossRef]













Disclaimer/Publisher’s Note: The statements, opinions and data contained in all publications are solely those of the individual author(s) and contributor(s) and not of MDPI and/or the editor(s). MDPI and/or the editor(s) disclaim responsibility for any injury to people or property resulting from any ideas, methods, instructions or products referred to in the content. |
© 2026 by the authors. Licensee MDPI, Basel, Switzerland. This article is an open access article distributed under the terms and conditions of the Creative Commons Attribution (CC BY) license.
Share and Cite
Zhang, J.; Shao, M.; Zhou, M.; Zhang, L.; Zuo, Y.; Wang, L.; Zhang, Y. Dehydration Characteristics of Viscous Fine Coal in Compound Force-Field with Vibration and Airflow. Separations 2026, 13, 117. https://doi.org/10.3390/separations13040117
Zhang J, Shao M, Zhou M, Zhang L, Zuo Y, Wang L, Zhang Y. Dehydration Characteristics of Viscous Fine Coal in Compound Force-Field with Vibration and Airflow. Separations. 2026; 13(4):117. https://doi.org/10.3390/separations13040117
Chicago/Turabian StyleZhang, Jun, Ming Shao, Minghan Zhou, Lin Zhang, Yingguang Zuo, Lijun Wang, and Yadong Zhang. 2026. "Dehydration Characteristics of Viscous Fine Coal in Compound Force-Field with Vibration and Airflow" Separations 13, no. 4: 117. https://doi.org/10.3390/separations13040117
APA StyleZhang, J., Shao, M., Zhou, M., Zhang, L., Zuo, Y., Wang, L., & Zhang, Y. (2026). Dehydration Characteristics of Viscous Fine Coal in Compound Force-Field with Vibration and Airflow. Separations, 13(4), 117. https://doi.org/10.3390/separations13040117
