Influence of Micron Roughness on Droplet Adhesion and Detachment Behavior with Coal Surfaces
Abstract
1. Introduction
2. Materials and Methods
2.1. Preparation of Coal Samples with Different Roughness
2.2. XRD and FTIR
2.3. Roughness Measurement
2.4. Contact Angle Measurement
2.5. Adhesion Force Measurement of Water Droplets to Coal Surfaces
3. Results and Discussion
3.1. XRD and FTIR Analysis
3.2. Roughness Analysis
3.3. Contact Angle Measurement Result
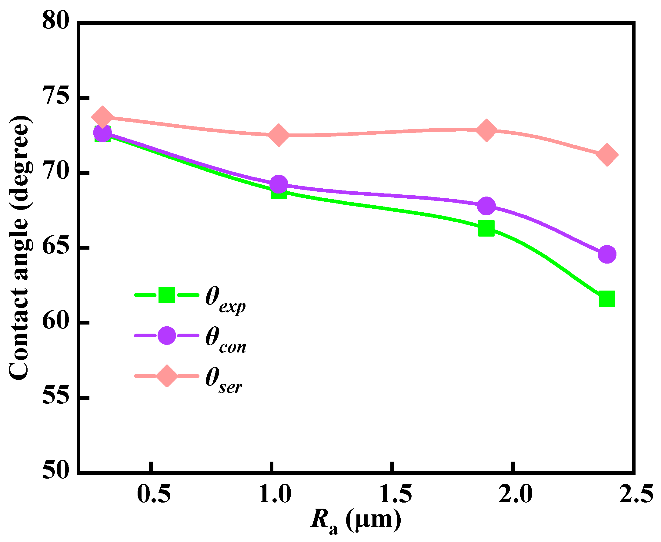
3.3.1. Effect of Surface Roughness on Contact Angle
3.3.2. Prediction of Contact Angle on Rough Coal Surfaces
3.4. Interaction Between Droplets and Rough Coal Surfaces
3.4.1. Effect of Roughness on Interaction Force, Contact Angle, and Contact Diameter
3.4.2. Relationship Between Force and Dynamic Contact Angle, Contact Diameter
3.5. Theoretical Calculation of Interaction Force Between Droplets and Coal Surfaces
4. Conclusions
- (1)
- As the roughness increases, the spreading force, maximum adhesion force, and detachment force of the droplets gradually increase. When the coal surface roughness increases from 0.30 µm to 1.03, 1.82, and 2.39 µm, the spreading force increases from 159.00 µN to 177.82, 200.99, and 209.60 µN, the maximum adhesion force increases from 406.76 µN to 416.08, 419.48, and 441.08 µN, and the detachment force increases from 95.37 µN to 96.63, 98.32, and 102.39 µN.
- (2)
- At the points of droplet spreading, maximum adhesion, and critical detachment, the contact angle, contact diameter, and corresponding forces exhibit fundamental consistency. As surface roughness increases, the contact angle decreases, the contact diameter expands, and the interaction force intensifies.
- (3)
- The interaction forces between droplets and coal surfaces were subjected to theoretical calculations and analyses. The computed values for the spreading force, maximum adhesion force, and detachment force were found to increase in tandem with the rise in surface roughness. These calculated forces align closely with experimental forces, exhibiting a discrepancy of no more than 8%. This level of accuracy validates their utility in forecasting the magnitude of interaction forces between water droplets and coal surfaces.
Supplementary Materials
Author Contributions
Funding
Data Availability Statement
Conflicts of Interest
References
- Krasowska, M.; Zawala, J.; Bradshaw-Hajek, B.H. Interfacial characterisation for flotation: 1. Solid-liquid interface. Curr. Opin. Colloid. Interface Sci. 2018, 37, 61–73. [Google Scholar] [CrossRef]
- Sun, Y.; Bu, X.; Ulusoy, U.; Guven, O.; Hassas, B.V.; Dong, X. Effect of surface roughness on particle-bubble interaction: A critical review. Miner. Eng. 2023, 201, 108223. [Google Scholar] [CrossRef]
- Yang, X.J. Flotation experiment of poor-floatability slime with B-H collector. Coal Eng. 2023, 55, 165–169. [Google Scholar]
- Qu, J.Z.; Luo, C.; Li, P.Y. Advances in flotation collectors of low-rank coal and its interaction mechanism. Metal. Mine 2023, 8, 28–35. [Google Scholar]
- Yang, C.H.; Hou, Y.; Tong, M. Study on the influence of different types of surfactant—Emulsified coal oil on the flotation of low-rank coal. Coal Eng. 2023, 55, 158–164. [Google Scholar]
- Krasowska, M.; Terpilowski, K.; Chibowski, E. Apparent contact angles and time of the three-phase contact formation by the bubble colliding with Teflon surfaces of different roughness. Physicochem. Probl. Miner. Process. 2006, 40, 293–306. [Google Scholar]
- Bu, X.; Tong, Z.; Sun, Y.; Xie, G.; Dong, X. Research progress on the impact of mineral surface roughness on particle-bubble interaction. J. China Coal Soc. 2023, 48, 4171–4182. [Google Scholar]
- Busscher, H.J.; van Pelt, A.W.J.; de Boer, P. The Effect of Surface Roughening of Polymers on Measured Contact Angles of Liquids. Colloids Surf. 1984, 9, 319–331. [Google Scholar] [CrossRef]
- Szczerkowska, S.; Wiertel-Pochopien, A.; Zawala, J. Kinetics of Froth Flotation of Naturally Hydrophobic Solids with Different Shapes. Miner. Eng. 2018, 121, 90–99. [Google Scholar] [CrossRef]
- Shibuichi, S.; Onda, T.; Satoh, N. Super water-repellent surfaces resulting from fractal structure. J. Phys. Chem. 1996, 100, 19512–19517. [Google Scholar] [CrossRef]
- Wang, D.H.; Zhu, Z.L.; Yang, B. Nano-scaled roughness effect on air bubble-hydrophilic surface adhesive strength. Colloids Surf. A 2020, 603, 125228. [Google Scholar] [CrossRef]
- Extrand, C.W. Contact angles and hysteresis on surfaces with chemically heterogeneous islands. Langmuir 2003, 19, 3793–3796. [Google Scholar] [CrossRef]
- Drelich, J.; Miller, J.D.; Good, R.J. The effect of drop (bubble) size on advancing and receding contact angles for heterogeneous and rough solid surfaces as observed with sessile-drop and captive-bubble techniques. J. Colloid. Interface Sci. 1996, 179, 37–50. [Google Scholar] [CrossRef]
- Xing, Y.W.; Zhang, Y.F.; Ding, S.H. Effect of surface roughness on the detachment between bubble and glass beads with different contact angles. Powder Technol. 2020, 361, 812–816. [Google Scholar] [CrossRef]
- Xia, W.C. Role of surface roughness in the attachment time between air bubble and flat ultra-low-ash coal surface. Int. J. Miner. Process. 2017, 168, 19–24. [Google Scholar] [CrossRef]
- Liu, A.; Han, F.; Li, Z.H. Research progress of nano-bubble in micro-fine mineral flotation. Res. Prog. Nanobubble Micro-Fine Miner. Flotat. 2018, 3, 81–86. [Google Scholar]
- Liu, M.; Zhang, Y.F.; Guo, F.Y. Effect of surface roughness on floatability of coal slime. Coal Sci. Technol. 2019, 47, 253–258. [Google Scholar]
- Chen, Y.R.; Xia, W.C.; Xie, G.Y. Contact angle and induction time of air bubble on flat coal surface of different roughness. Fuel 2018, 222, 35–41. [Google Scholar] [CrossRef]
- Niu, C.K.; Xia, W.C.; Xie, G.Y. Effect of low-temperature pyrolysis on surface properties of sub-bituminous coal sample and its relationship to flotation response. Fuel 2017, 208, 469–475. [Google Scholar] [CrossRef]
- Xia, W.C.; Li, Y.F. Role of roughness change on wettability of taixi anthracite coal surface before and after the heating process. Energy Fuels 2016, 30, 281–284. [Google Scholar] [CrossRef]
- Wang, S.W.; Guo, J.F.; Tang, L.F. Effect of surface roughness of Chinese sub-bituminous coal on the kinetics of three-phase contact formation. Fuel 2018, 216, 531–537. [Google Scholar] [CrossRef]
- Tao, D. Role of bubble size in flotation of coarse and fine particles—A review. Separ. Sci. Technol. 2005, 39, 741–760. [Google Scholar] [CrossRef]
- Sun, Y.; Li, Y.; Dong, X.; Bu, X.; Drelich, J.W. Spreading and adhesion forces for water droplets on methylated glass surfaces. Colloids Surf. A 2020, 591, 124562. [Google Scholar] [CrossRef]
- Samuel, B.; Zhao, H.; Law, K.Y. Study of wetting and adhesion interactions between water and various polymer and superhydrophobic surfaces. J. Phys. Chem. C 2011, 115, 14852–14861. [Google Scholar] [CrossRef]
- Sun, Y.J.; Jiang, Y.H.; Choi, C.H. The most stable state of a droplet on anisotropic patterns: Support for a missing link. Surf. Innov. 2018, 6, 133–140. [Google Scholar] [CrossRef]
- Sun, Y.J.; Jiang, Y.H.; Choi, C.H. Direct measurements of adhesion forces of water droplets on smooth and patterned polymers. Surface Innov. 2017, 6, 93–105. [Google Scholar] [CrossRef]
- Marmur, A.; Della Volpe, C.; Siboni, S. Contact angles and wettability: Towards common and accurate terminology. Surf. Innov. 2017, 5, 3–8. [Google Scholar] [CrossRef]
- Guo, Z.M.; Yang, J.G.; Wang, Y.L. Mineral Processing; Studies from China University of Mining and Technology in the Area of Mineral Processing Described (An Investigation of Continuous Interaction Process Between Air Bubble and Various Roughness Coal Surfaces Using Microbalance). Min. Miner. 2020, 56, 12–22. [Google Scholar]
- Zhang, J.; Xu, B.; Wei, J.P. Numerical simulation of coal surface contact angle based on roughness. Coal Sci. Technol. 2023, 51, 96–104. [Google Scholar]
- Young, T. An essay on the cohesion of fluids. Philos. Trans. R. Soc. Lond. 1805, 95, 65–87. [Google Scholar]
- Wenzel, R.N. Surface roughness and contact angle. J. Phys. Chem. 1949, 53, 1466–1467. [Google Scholar] [CrossRef]
- Cassie, A.B.D.; Baxter, S.J. Wettability of porous surfaces. Trans. Faraday Soc. 1944, 40, 546–551. [Google Scholar] [CrossRef]
- Krasowska, M.; Malysa, K. Wetting films in attachment of the colliding bubble. Adv. Colloid. Interface Sci. 2007, 134, 138–150. [Google Scholar] [CrossRef]
- Chen, H.; Tang, T.; Zhao, H. How pinning and contact angle hysteresis govern quasi-static liquid drop transfer. Soft Matter 2016, 12, 1998–2008. [Google Scholar] [CrossRef]
- Ding, S.H.; Xing, Y.W.; Zheng, X. New Insights into the Role of Surface Nanobubbles in Bubble-Particle Detachment. Langmuir 2020, 36, 4339–4346. [Google Scholar] [CrossRef]
- Zhu, C.Y.; Li, G.S.; Xing, Y.W. Adhesion forces for water/oil droplet and bubble on coking coal surfaces with different roughness. Int. J. Min. Sci. Technol. 2021, 31, 681–687. [Google Scholar] [CrossRef]
















| Sample | Mad % | Aad % | Vad % | FCad % |
|---|---|---|---|---|
| Lean | 0.54 | 5.20 | 11.15 | 83.11 |
| Sample | (μm) | Spreading Point C (μN) | Maximum Adhesion Force Point E (μN) | Pull Off Point F (μN) |
|---|---|---|---|---|
| R320 | 2.39 ± 0.05 | 209.60 ± 11.50 | 441.08 ± 19.98 | 102.39 ± 2.01 |
| R600 | 1.89 ± 0.08 | 200.99 ± 10.06 | 419.48 ± 15.67 | 98.32 ± 0.28 |
| R1000 | 1.03 ± 0.01 | 177.82 ± 6.69 | 416.08 ± 12.59 | 96.63 ± 0.91 |
| R2000 | 0.30 ± 0.02 | 159.00 ± 8.46 | 406.76 ± 6.00 | 95.37 ± 0.71 |
| Sample | Roughness (µm) | Static Contact Angle (°) | Contact Angle of Residual Droplet (°) | Δθ (°) |
|---|---|---|---|---|
| R2000 | 0.30 | 72.6 | 70.3 | 2.3 |
| R1000 | 1.03 | 68.8 | 67.1 | 1.7 |
| R600 | 1.89 | 66.3 | 60.3 | 6.0 |
| R320 | 2.39 | 61.6 | 52.6 | 9.0 |
Disclaimer/Publisher’s Note: The statements, opinions and data contained in all publications are solely those of the individual author(s) and contributor(s) and not of MDPI and/or the editor(s). MDPI and/or the editor(s) disclaim responsibility for any injury to people or property resulting from any ideas, methods, instructions or products referred to in the content. |
© 2025 by the authors. Licensee MDPI, Basel, Switzerland. This article is an open access article distributed under the terms and conditions of the Creative Commons Attribution (CC BY) license (https://creativecommons.org/licenses/by/4.0/).
Share and Cite
Hou, S.; Xiong, P.; Dong, X.; Chen, H.; Li, S.; Sun, Y. Influence of Micron Roughness on Droplet Adhesion and Detachment Behavior with Coal Surfaces. Separations 2025, 12, 137. https://doi.org/10.3390/separations12060137
Hou S, Xiong P, Dong X, Chen H, Li S, Sun Y. Influence of Micron Roughness on Droplet Adhesion and Detachment Behavior with Coal Surfaces. Separations. 2025; 12(6):137. https://doi.org/10.3390/separations12060137
Chicago/Turabian StyleHou, Siheng, Peng Xiong, Xianshu Dong, Hengfei Chen, Shuhuan Li, and Yujin Sun. 2025. "Influence of Micron Roughness on Droplet Adhesion and Detachment Behavior with Coal Surfaces" Separations 12, no. 6: 137. https://doi.org/10.3390/separations12060137
APA StyleHou, S., Xiong, P., Dong, X., Chen, H., Li, S., & Sun, Y. (2025). Influence of Micron Roughness on Droplet Adhesion and Detachment Behavior with Coal Surfaces. Separations, 12(6), 137. https://doi.org/10.3390/separations12060137

