Abstract
Phenolic compounds are plant secondary metabolites, one of the most common and widespread groups of substances in plants, as well as a major group of phytochemicals present in medicinal and aromatic plants. The phytochemical composition of the hydroalcoholic extracts from S. raeseri, S. scardica and S. syriaca was determined by LC-MS/MS-QTOF analysis. A total amount of 23 secondary metabolites were identified, including 17 flavonoids (Fs), 4 phenylethanoid glycosides (PEGs), 1 phenolic acid (PA) and 1 fatty acid (FA). Among the three species, the constituents that have been detected in all of nine samples were: verbascocide/isoverbascoside (PEG), apigenin 7-O- glucoside (F), isoscutellarein 7-O-[6″-O-acetyl]-allosyl(1→2)-glucoside (F) and apigenin 7-(4″-p-coumaroylglucoside) (F). This study contributes to the phytochemical characterization of the Sideritis spp. by providing a comparative study of bioactive compounds present in three different Sideritis species, S. raeseri, S. scardica and S. syriaca, which are widely used as a herbal medicine in Mediterranean region and Balkan Peninsula.
1. Introduction
There are approximately 300,000 species of higher plants on earth, which synthesize a vast number of chemicals with diverse structures and classifications, classified as primary and secondary metabolites [1]. Phenolic compounds are plant secondary metabolites that are one of the most common and widespread groups of substances in plants [2,3,4,5] as well as a major group of phytochemicals present in medicinal and aromatic plants [2,3]. More than 8000 phenolic compounds have been identified from medicinal and aromatic plants, with a wide range of structures [2,4,6,7]. The main subgroups of phenolic compounds are as follows: phenols, phenolic acids, phenylpropanoids, flavonoids, flavones, flavonones, isoflavones, xanthones, aurones, quinines and tannins [2,6,7].
Lamiaceae is a cosmopolitan family comprising approximately 6900–7200 species in 236 genera [6,8,9]. Lamiaceae plants are rich in phytochemicals, especially phenolic compounds [8,10,11,12], and their high biological activity is widely recognized [8,11,12]. The importance of Lamiaceae for medicinal, aromatic, environmental and culinary uses has been known for centuries [13]. Phenolic compounds such as rosmarinic acid, carvacrol and thymol are found in many genera of Lamiaceae and are known for their antioxidant properties [14].
The genus Sideritis belongs to the Lamiaceae Lindl., one of the most common and diverse angiosperm families in the world [15]. The genus name, consisting of over 150 species and several subspecies, is derived from the Greek word “sideros” (iron), referring to the healing properties of the plant [16]. The plants grow in the Mediterranean region and the Balkans on rocky slopes at an altitude of more than 1000 m; they are hardy flowering perennials [15,16,17,18,19].
The Empedoclia section of the genus Sideritis has long been part of the Greek flora [20]. Many chemical constituents have been identified in the genus Sideritis, including terpenes, flavonoids, essential oils, iridoids, coumarins, lignans and sterols [15,21,22,23,24]. Sideritis species are used in folk medicine in the Mediterranean and Balkans for their anti-inflammatory, anti-ulcer, anti-bacterial, anti-rheumatic, anti-seizure, anti-spasmodic, antioxidant and analgesic properties [16,22,23,24,25,26,27]. Numerous secondary metabolites isolated from various extracts of Sideritis species, including diterpenes, flavonoids and phenolic acids, are responsible for the pharmacological activity observed in vivo and in vitro [22] and for the strong antioxidant capacity [23,24] (Figure 1).
Figure 1.
Pharmacological activities of Sideritis spp.
Seventeen species of the genus Sideritis are native to Greece [17], of which S. raeseri, S. scardica and S. syriaca are found both wild and cultivated [18,19]. Also, according to the European Union’s herbal monograph (EMA/HMPC/39455/2015), S.scardica, S. raeseri and S. syriaca are used as a traditional herbal medicine to treat inflammation, gastrointestinal disorders and coughs associated with colds [28]. The aim of this research work, as a continuation of the previous one [16], is to determine the phytochemical composition of these important Sideritis species that are part of the Mediterranean diet. It will also provide new knowledge about the chemical composition of this valuable medicinal plant for future use. The main focus of our study is to use LC-MS/MS-QTOF to identify bioactive compounds that can be extracted from S.scardica, S. raeseri and S. syriaca from nine different regions of Greece and are widely recognized for their high biological activity.
2. Materials and Methods
2.1. Chemicals and Reagents
Methanol (HPLC grade), methanol (LC-MS grade), and acetonitrile were purchased from Sigma-Aldrich (St. Louis, MO, USA). Glacial acetic acid was purchased from Fisher Scientific Company (Ottawa, ON, Canada). Water (liquid chromatography–mass spectrometry (LC-MS grade) was purified using a Ultra-pure water (MilliQ purification system) (RephiLe Biosciences Ltd., Acton, MA, USA).
2.2. Plant Material
Aerial parts (stems, leaves, flowers) of Sideritis spp. were harvested from different regions of Greece: the first sample of S. raeseri (SR1) was harvested in the foothills of Mount Othrys, central Greece; the second sample of S. raeseri (SR2) was harvested in the Kastoria region, northern Greece; the third sample of S. raeseri (SR3) was harvested in the area of Elassona, Larissa, in central Greece; the first sample of S. scardica (SSC1) was harvested around Mount Olympus in central Greece (Olympus tea); the second sample (SSC2) was harvested around Mount Mainalo, in Peloponnesos; the third sample (SSC3) was harvested in the Kastoria region, northern Greece; the first sample of S. syriaca (SS1) was harvested in the southern part of Crete, White Mountain (Lefka ori); the second sample (SS2) was harvested, in Crete, in the Anopoli Sfakion area, near the White Mountains (Lefka ori); the third sample (SS3) was harvested in Crete, in the Omalos Chanion area.
Voucher specimens have been deposited (No. 012276: SSC1, No. 012279: SSC2, No. 012293: SSC3, No. 012277: SR1, No. 012294: SR2, No. 012295: SR3, No. 012278: SS1, No. 012291: SS2, No. 012292: SS3) and are managed by the Herbarium of the Agricultural University of Athens.
2.3. Preparation of Extracts
Five grams of plant material was added to an ultrasonic bath (Ultrasonic bath, Grant) along with 500 mL of a 70:30 MeOH/H2O mixture. Extraction was performed at room temperature (≈25 °C) for 15 min. The hydromethanolic extracts were concentrated using a Heidolph Laborota 4000 efficient rotary evaporator (Sigma Labor-zentrifugen GmbH, Osterode am Harz, Germany) until the solvent was removed. The samples were then weighed, placed in lyophilized flasks, and stored in a −18 °C freezer for 24 h. All samples were lyophilized in a Virtis 25 EL Freemobile laboratory lyophilizer (New York, NY, USA) for 48 h. For LC-MS/MS-QTOF analysis, 1 mg of lyophilized samples were redissolved in 70:30 ACN/H2O in a total volume of 1 mL.
2.4. LC-MS/MS-QTOF
Extracts were analyzed on an Agilent 1260 LC system connected to an Agilent 6530 Q-TOF mass spectrometer (Agilent Technologies, Santa Clara, CA, USA). The column used was a reverse-phase Macherey Nagel type with a length of 100 mm, diameter of 4.6 mm, and pore size of 2.7 μm (MACHEREY-NAGEL GmbH & Co. KG, Dueren, Germany). The column temperature was 30 °C. The elution solvents were highly purified water acidified with 0.1% acetic acid (solvent A) and highly purified acetonitrile also acidified with 0.1% acetic acid (solvent B). The elution program was stepwise as follows: 0 min 10%B, 0–8 min 30%B, 8–12 min 40%B, 12–16 min 50%B and 16–18 min 10%B. Chromatograms were recorded at 280, 320, 330, 360 and 560 nm. The elution flow rate was adjusted to 1 mL/min and the injection volume was 10 µL. The mass spectrometer was set to negative ionization and an ESI ionization source was used, and the analytical parameters were as follows: ionization source temperature 350 °C, dry gas flow (N2) 11 L/min, nebulizer pressure 50 psig, Vcap 4000 v and ion record (m/z) 50–1700 m/z. MS/MS spectra were recorded on the auto MS/MS mode. The m/z range was set to 50–800 and the collision energy at 25 V. The fragmentor voltage was set to 150 V.
2.5. Identification of Phenolic Compounds and Statistical Analysis of LC-MS/MS-QTOF Data
The phytochemical composition of hydroalcoholic extracts of S. raeseri, S. scardica and S. syriaca was determined by LC-MS/MS-QTOF analysis in negative ion mode. The Agilent Mass Hunter Data Acquisition software (version B.06.00, Santa Clara, CA, USA) was used for data acquisition, whereas the raw data were handled with the Agilent Mass Hunter Workstation Software Data Acquisition for 6530 series Q-TOF (version B.07.00). Identification of main phenolic compounds was based on the m/z value of the observed molecular ions. Additional, the “Find compounds by molecular feature” option of the MassHunter software was used to generate molecular formulas for the detected compounds. The presence or absence of phenolic compounds was determined for each of the individual Sideritis species to separate them into different taxonomic groups. The binary table (species-phenolic compounds) thus created was used as input for Statgraphics (Centurion XVI) software to produce the associated dendrogram.
3. Results and Discussion
In total, from nine samples of Sideritis species from different areas of Greece, 23 secondary metabolites were identified: 17 flavonoids (Fs), 4 phenylethanoid glycosides (PEGs), 1 phenolic acid (PA) and 1 fatty acid (FA) (Figure 2).
Figure 2.
Phenolic compounds in Sideritis extracts.
The phytochemical composition of the hydroalcoholic extracts of S. raeseri, S. scardica and S. syriaca are summarized in Table 1.
Table 1.
Phytochemical composition of Sideritis extracts.
Major peaks were tentatively attributed by exact mass, mass error, characteristic fragmentation pattern and retention time in comparison to the literature data on the Sideritis genus (see Figure 3 and Figure 4).
Figure 3.
Base peak chromatogram (BPC) in negative mode of S. syriaca (SS2) hydroalcoholic extract (For compound numbering see Table 1; ? unidentified compounds).
Figure 4.
MS spectrum of identified compounds in S. syriaca (SS2) hydroalcoholic extract: 1: chlorogenic acid; 2: verbascocide/isoverbascoside; 3: apigenin 7-O- glucoside; 4: isoscutellarein 7-O-[6″-O-acetyl]-allosyl(1→2)-glucoside;5:isoscutellarein 7-O-[6″-O-acetyl]-allosyl(1→2)-glucoside;6:3′-O-methylhypolaetin 7-O-[6‴-O-acetyl]-allosyl(1→2)glucoside; 7: proanthocyanidin dimer; 8: apigenin; 9: apigenin-7-O-(6″-O-4-coumaroyl)-beta-glucoside.
In S. raeseri hydromethanolic ectracts (SR1, SR2, SR3), flavonoids were the main group components (Figure 5) followed by phenylethanoid glycosides and phenolic acid (SR1: chlorogenic acid). In the three samples of S. raeseri, only 10 phenolic compounds were common (Figure 6).
Figure 5.
Group components of S. raeseri extracts.
Figure 6.
Common phenolic compounds in S. raeseri extracts.
Also, one compound was identified: 4′-O-methylhypolaetin 7-O-[6‴-O-acetyl]-allosyl-(1→2)[6″-O-acetyl]-glucoside (compound 16). It was not detected in other species. And in the SR2 sample, four compounds were detected: forsythoside B/lavandulifolioside (PEG) (compound 2), allynoside (PEG) (compound 4), hypolaetin 7-O-[6‴-O-acetyl]-allosyl(1→2)-glucoside(F) (compound 5), hypolaetin 7-O-[2‴,6″-di-O-acetyl]-allosyl(1→2)glucoside (F) (compound 13). They were not detected in the remaining eight samples.
In S. syriaca hydromethanolic ectracts (SS1, SS2, SS3), flavonoids were the main group components (Figure 7) followed by phenylethanoid glycosides and phenolic acids. In the three samples of S. syriaca, only eight phenolic compounds were common (Figure 8).
Figure 7.
Group components of S. syriaca extracts.
Figure 8.
Common phenolic compounds in S. syriaca extracts.
In S. scardica hydromethanolic ectracts (SSC1,SSC2,SSC3), flavonoids were the main group components (Figure 9) followed by phenylethanoid glycosides, phenolic acid (SSC3: chlorogenic acid) and fatty acid (SSC1: trihydroxy octadecenoic acid). In the three samples of S. scardica, only seven phenolic compounds were common (Figure 10). Also, only in the SSC1 sample, were detected martynoside (PEG) (compound 11) and trihydroxy octadecenoic acid (FA) (compound 19).
Figure 9.
Group components of S. scardica extracts.
Figure 10.
Common phenolic compounds in S. scardica extracts.
Phytochemical studies of the genus Sideritis have revealed the presence of many phytochemicals, including flavonoids, phenylethanoid glycosides and phenolic acids [22,25].
Flavonoids and derivatives (F)
Flavonoids and their derivatives are the major phytochemicals of Sideritis species [29,30]. In this study, 17 of the 23 identified compounds were classified as flavonoids. Most of these compounds were glycosides and acetyl glycosides of flavonoids and their methylated forms, which are characteristic of the genus Sideritis [22,30,32,33]. The main flavonoid aglycons found in the plants studied were isoscutellarein and hypolaetin, as well as their methylated derivatives, and apigenin (Figure 11). The antioxidant and anti-inflammatory effects of these constituents have been reported previously [22,33].
Figure 11.
Structures of isoscutellarein, hypolaetin and apigenin.
Compounds 5 and 13 with [M−H]− at m/z 667.1507 and 709.1619 have been characterized as hypolaetin 7-O-[6‴-O-acetyl]-allosyl(1→2)-glucoside (hypolaetin acetyl allosyl glucoside) and hypolaetin 7-O-[2‴,6″-di-O-acetyl]-allosyl(1→2)glucoside (hypolaetin diacetyl allosyl glucoside). The common fragment ion of m/z 301 represented deprotonated hypolaetin [30].
Methylhypolaetin glycosides shared the characteristic 315 fragment, which was observed in compound 16 (4′-O-methylhypolaetin 7-O-[6‴-O-acetyl]-allosyl-(1→2)[6″-O-acetyl]-glucoside) ([M−H]− at m/z 723.1772), as well as, in two isomers of methylhypolaetin acetyl glucoside, compounds 8 (4′-O-methylhypolaetin 7-O-[6‴-O-acetyl]-allosyl(1→2)glucoside) and 10 (3′-O-methylhypolaetin7-O-[6‴-O-acetyl]-allosyl(1→2)glucoside)([M−H]− at m/z 681.1660 and 681.1667, respectively).
Compounds 7 (isoscutellarein 7-O-[6″-O-acetyl]-allosyl(1→2)-glucoside) with [M−H]− at m/z 651.1556, 9 (isoscutellarein 7-O-[6″-O-acetyl]-allosyl(1→2)-glucoside) with [M−H]− at m/z 651.1555 and 15 (isoscutellarein 7-O-[6‴-O-acetyl]-allosyl(1→2)-[6″-O-acetyl]-glucoside) with [M−H]− at m/z 693.1659 gave a fragment ion of m/z 285 that correspond to isoscutellarein (Figure 10). Compounds 12 (4′-O-methylisoscutellarein 7-O-allosyl(1→2)glucoside), 14 (4′-O-methylisoscutellarein 7-O-[6″-O-acetyl]-allosyl(1→2)-glucoside) and 21 (4′-O-Methylisoscutellarein7-O-[6‴-O-acetyl]-allosyl(1→2)-[6″-O-acetyl]-glucoside) showed [M−H]− at m/z 623.1608, 665.1718 and 707.1821, respectively. They all gave a fragment ion of m/z 299 which could be attributed to the methylated form of isoscutellarein.
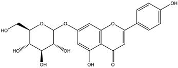
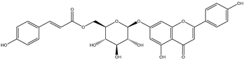
Also, compounds 6 (apigenin 7-O- glucoside) and 20 (apigenin-7-O-(6″-O-4-coumaroyl)-beta-glucoside) with [M−H]− at m/z 431.971 and 577.1338 gave fragments of m/z 269, which correspond to deprotonated apigenin.
Phenylethanoid glycosides (PEGs)
Phenylethanoid glycosides are phenolic derivatives that characterize the genus Sideritis. Numerous pharmacological effects have been reported, including antioxidant, anti-inflammatory and anti-hypertensive effects [34].
Among all detected compounds, 4 was classified as phenylethanoid glycosides, which is a common class of compounds in Sideritis genus [29,30]. Compound 3 with [M−H]− at m/z 623.1970, which was identified as verbascoside (Figure 12), showed the fragmentation pattern of m/z 161 due to the loss of hexose units. Also, compound 4, which was identified as allysonoside (Figure 12), showed a precursor ion at m/z 769.2544 and the fragment ion observed at m/z 175.0392.
Figure 12.
Structures of verbascoside/isoverbascocide and allysonoside.
Compound 2 with [M−H]− at m/z 755.2390 was identified as forsythoside B/lavandulifolioside (Figure 13). Compound 11 which yielded the base peak at m/z 651.1971 was identified as martynoside (Figure 13) and showed a fragment ion m/z 175 by the loss of a feruloyl unit.
Figure 13.
Structures of forsythoside B/lavandulifolioside and martynoside.
Phenolic acids and fatty acids (PAs, FAs)
Phenolic acids are widely known for their important biological activities. Chlorogenic acid is one of the most abundant phenolic acids in Sideritis species and has been previously studied for its antioxidant, anti-inflammatory, anti-diabetic, anti-obesity and anti-hypertensive effects [35].
From the class of phenolic acids, in the nine samples, the only one was chlorogenic acid (compound 1) (Figure 14), whose main characteristic ion was derived from the quinic acid fragment (191 Da). Also, trihydroxy octadecenoic acid(Trihydroxy-C18:1) (compound 19) was the only fatty acid detected at m/z 329.2327 [M−H].
Figure 14.
Structure of chlorogenic acid.
Among the three species that were analyzed by LC-MS/MS-QTOF, the constituents that have been detected in all were verbascocide/isoverbascoside (PEG), apigenin 7-O-glucoside (F), isoscutellarein 7-O-[6″-O-acetyl]-allosyl(1→2)-glucoside (F) and apigenin-7-O-(6″-O-4-coumaroyl)-beta-glucoside (F), which were studied, in previous studies, for a number of pharmacological activities (Table 2).
Table 2.
Structures and activities of phenolic compounds identified in 9 samples of Sideritis extracts.
The relationship between the chemical composition and the Sideritis species is shown in the dendrogram (Figure 15). Thus, based on the chemical composition, the nine samples are divided into two groups. The first group includes sample SR2, and the second group includes all other samples (SR1, SR3, SSC1, SSC2, SSC3, SS1, SS2, SS3). The samples in the second group are then divided into subgroups: the first subgroup has only one sample (SR2); the second subgroup contains the other samples (SR1, SR3, SS1, SS2, SS3, SSC2, SSC3). In this second subgroup, the samples are divided into smaller subgroups: one subgroup (the third subgroup) consists of the samples SS1, SS2, SSC2, SSC3 and SR1, SR3, SS3 (the fourth subgroup). The third subgroup is further divided into smaller subgroups: the fifth subgroup with SS1 and SS2, and the sixth subgroup with SSC2 and SSC3, and samples of the fourth subgroup comprise the seventh subgroup with SS3 and the eighth subgroup with SR1 and SR3. According to these results, the SR2 extract is distinguished from the other eight extracts by its chemical composition; the same applies to the SSC1 extract; the other two extracts of the S. raeseri sample are both quite different from the others: the S. syriaca (SS1, SS2) and S. scardica (SSC2, SSC3) extracts showed more similar chemical compositions.
Figure 15.
Dendrogram of the chemical variations and relationships between the Sideritis species (statistical analysis was conducted through the package Statgraphics, which was performed using Word’s method).
4. Conclusions
Plants of the genus Sideritis have been recognized for their health benefits in folk medicine in the Mediterranean and Balkans, and the European Medicines Agency (EMA)’s approval of their use as traditional herbal medicines has further strengthened their efficacy. Three species of the genus Sideritis (S. raeseri, S. scardica, and S. syriaca) cultivated in different regions of Greece were examined by LC-MS/MS-QTOF analysis, and 23 secondary metabolites were identified, including 17 flavonoids, 4 phenylethanoid glycosides, 1 phenolic acid, and 1 fatty acid. Of these 17 flavonoids, those common to 9 samples were only 4: verbascoside/isoverbascoside (PEG), apigenin 7-O-glucoside (F), isoscutellarein 7-O-[6′’-O-acetyl]-allosyl(1→2)-glucoside (F) and apigenin-7-O-(6″-O-4-coumaroyl)-beta-glucoside, which were studied for their pharmacological activities.
This study contributes to the phytochemical characterization of the Sideritis spp. by providing a comparative study of bioactive compounds present in three different Sideritis species, S. raeseri, S. scardica and S. syriaca, which are widely used as herbal medicine in the Mediterranean region and Balkan Peninsula.
The genus Sideritis offers a wide range of research opportunities. Based on the results of this study and considering the value that mountain tea has for the Greeks, future research should focus on the pharmacological activity of Sideritis species who cultivated or growing wild in Greece.
Author Contributions
Conceptualization, E.H.K. and P.A.T.; Data curation, E.H.K. and P.A.T.; Formal analysis, E.H.K.; Investigation, E.H.K.; Methodology, E.H.K.; Project administration, E.H.K. and P.A.T.; Resources, E.H.K., C.D.K., M.G.K., G.P.and P.A.T.; Software, E.H.K. and P.A.T.; Supervision, E.H.K. and P.A.T.; Validation, E.H.K., C.D.K., M.G.K., G.P.and P.A.T.; Visualization, E.H.K. and P.A.T.; Writing—original draft, E.H.K. and P.A.T.; Writing—review and editing, E.H.K., C.D.K., M.G.K., G.P.and P.A.T. All authors have read and agreed to the published version of the manuscript.
Funding
This research received no external funding.
Data Availability Statement
The data presented in this study are available upon request from the corresponding author.
Conflicts of Interest
The authors declare no conflicts of interest.
References
- Lattanzio, V. Natural Products. Phenolic Compounds: Introduction; Springer: Berlin/Heidelberg, Germany, 2013; pp. 1543–1580. [Google Scholar] [CrossRef]
- Manousi, N.; Sarakatsianos, I.; Samanidou, V. 10—Extraction techniques of phenolic compounds and other bioactive compounds from medicinal and aromatic plants. In Engineering Tools in the Beverage Industry; Grumezescu, A.M., Holban, A.M., Eds.; Woodhead Publishing: Sawston, UK, 2019; pp. 283–314. [Google Scholar] [CrossRef]
- Kisiriko, M.; Anastasiadi, M.; Terry, L.A.; Yasri, A.; Beale, M.H.; Ward, J.L. Phenolics from Medicinal and Aromatic Plants: Characterisation and Potential as Biostimulants and Bioprotectants. Molecules 2021, 26, 6343. [Google Scholar] [CrossRef] [PubMed]
- Lattanzio, V.; Lattanzio, V.M.T.; Cardinali, A. Role of phenolics in the resistance mechanisms of plants against fungal pathogens and insects. In Phytochemistry: Advances in Research; Imperato, F., Ed.; Research Signpost: Kerala, India, 2006; Volume 661, pp. 23–67. [Google Scholar]
- Tsimogiannis, D.; Oreopoulou, V. Classification of phenolic compounds in Plants. In Polyphenols in Plants Isolation Purification and Extract Preparation, 2nd ed.; Watson, R.R., Ed.; Elsevier Inc.: London, UK, 2019; pp. 263–284. [Google Scholar]
- Costa, D.; Costa, H.; Albuquuerque, T.; Ramos, F.; Castilho, M.; Sanches-Silva, A. Advances in phenolic compounds analysis of aromatic plants and their potential applications. Trends Food Sci. Technol. 2015, 45, 336–354. [Google Scholar] [CrossRef]
- Tungmunnithum, D.; Thongboonyou, A.; Pholboon, A.; Yangsabai, A. Flavonoids and Other Phenolic Compounds from Medicinal Plants for Pharmaceutical and Medical Aspects: An Overview. Medicine 2018, 5, 93. [Google Scholar] [CrossRef] [PubMed]
- Trivellini, A.; Lucchesini, M.; Maggini, R.; Mosadegh, H.; Villamarin, T.S.S.; Vernieri, P.; Mensuali-Sodi, A.; Pardossi, A. Lamiaceae phenols as multifacetedcompounds: Bioactivity, industrial prospects and role of positive-stress. Ind. Crops Prod. 2016, 83, 241–254. [Google Scholar] [CrossRef]
- Aghakhani, F.; Kharazian, N.; Gooini, Z.L. Flavonoid Constituents of Phlomis (Lamiaceae) Species Using Liquid Chromatography Mass Spectrometry. Phytochem. Anal. 2017, 29, 180–195. [Google Scholar] [CrossRef] [PubMed]
- Milevskaya, V.V.; Temerdashev, Z.A.; Butyl’Skaya, T.S.; Kiseleva, N.V. Determination of phenolic compounds in medicinal plants from the Lamiaceae family. J. Anal. Chem. 2017, 72, 342–348. [Google Scholar] [CrossRef]
- Hossain, M.B.; Rai, D.K.; Brunton, N.P.; Martin-Diana, A.B.; Barry-Ryan, C. Characterization of phenolic composition in lamiaceae spices by lc-esi-ms/ms. J. Agric. Food Chem. 2010, 58, 10576–10581. [Google Scholar] [CrossRef] [PubMed]
- Vladimir-Knežević, S.; Blažeković, B.; Kindl, M.; Vladić, J.; Lower-Nedza, A.D.; Brantner, A.H. Acetylcholinesterase Inhibitory, Antioxidant and Phytochemical Properties of Selected Medicinal Plants of the Lamiaceae Family. Molecules 2014, 19, 767–782. [Google Scholar] [CrossRef] [PubMed]
- Panda, S.K.; Van Puyvelde, L.; Mukazayire, M.J.; Gazim, Z.C. Editorial: Ethnopharmacology of the lamiaceae: Opportunities and challenges for developing new medicines. Front. Pharmacol. 2022, 13, 961486. [Google Scholar] [CrossRef] [PubMed]
- Skendi, A.; Irakli, M.; Chatzopoulou, P. Analysis of phenolic compounds in Greek plants of Lamiaceae family by HPLC. J. Appl. Res. Med. Aromat. Plants. 2017, 6, 62–69. [Google Scholar] [CrossRef]
- Stanoeva, J.P.; Stefova, M.; Stefkov, G.; Kulevanova, S.; Alipieva, K.; Bankova, V.; Ina Aneva, I.; Evstatieva, L.N. Chemotaxonomic contribution to the Sideritis species dilemma on the Balkans. Biochem. Syst. Ecol. 2015, 61, 477–487. [Google Scholar] [CrossRef]
- Kaparakou, E.H.; Daferera, D.; Kanakis, C.D.; Skotti, E.; Kokotou, M.G.; Tarantilis, P.A. Chemical composition of the essential oils of three popular Sideritis species cultivated in Greece using GC-MS analysis. Biomolecules 2023, 13, 1157. [Google Scholar] [CrossRef] [PubMed]
- Panossian, A. Herba Sideritis: A putative adaptogen for reducing the risk of age-related cognitive decline and neurodegenerative disorders. Phytomedicine Plus 2024, 4, 100519. [Google Scholar] [CrossRef]
- Bojovic, D.; Jankovic, S.; Potpara, Z.; Tadic, V. Summary of the phytochemical research performed to date on Sideritis species. Ser. J. Exp. Clin. Res. 2011, 12, 109–122. [Google Scholar] [CrossRef]
- Heywood, V.H. Flora Europaea: Notulae Systematicae ad Floram Europaeam spectantes: No. 12. Bot. J. Linn. Soc. 1972, 65, 223–269. [Google Scholar] [CrossRef]
- Hayek, A.V. Prodromus Florae peninsulae Balcanicae2, 192–197. Feddes Repert. Sp. Nov. Beih. 1929, 30. [Google Scholar]
- Fraga, B.M. Phytochemistry and chemotaxonomy of Sideritis species from the Mediterranean region. Phytochemistry 2012, 76, 7–24. [Google Scholar] [CrossRef] [PubMed]
- González-Burgos, E.; Carretero, M.E.; Gòmez-Serranillos, M.P. Sideritis spp.: Uses, chemical composition and pharmacological activities—A review. J. Ethnopharmacol. 2011, 135, 209–225. [Google Scholar] [CrossRef]
- Axiotis, E.; Petrakis, E.A.; Halabalaki, M.; Mitakou, S. Phytochemical Profile and Biological Activity of Endemic Sideritis sipylea Boiss. in North Aegean Greek Islands. Molecules 2020, 25, 2022. [Google Scholar] [CrossRef]
- Di Giacomo, S.; Di Sotto, A.; Angelis, A.; Percaccio, E.; Vitalone, A.; Gullì, M.; Macone, A.; Axiotis, E.; Skaltsounis, A.L. Phytochemical Composition and Cytoprotective Properties of the Endemic Sideritis sipylea Boiss Greek Species: A Valorization Study. Pharmaceuticals 2022, 15, 987. [Google Scholar] [CrossRef]
- Żyżelewicz, D.; Kulbat-Warycha, K.; Oracz, J.; Żyżelewicz, K. Polyphenols and other bioactive compound s of Sideritis plants and their potential biological activity. Molecules 2020, 25, 3763. [Google Scholar] [CrossRef] [PubMed]
- Tadić, V.; Oliva, A.; Božović, M.; Cipolla, A.; De Angelis, M.; Vullo, V.; Garzoli, S.; Ragno, R. Chemical and Antimicrobial Analyses of Sideritis romana L. subsp. purpurea (Tal. ex Benth.) Heywood, an Endemic of the Western Balkan. Molecules 2017, 22, 1395. [Google Scholar] [PubMed]
- Aligiannis, N.; Kalpoutzakis, E.; Chinou, I.; Mitakou, S.; Gikas, E.; Tsarbopoulos, A. Composition and antimicrobial activity of the essential oils of five taxa of Sideritis from Greece. J. Agric. Food Chem. 2001, 49, 811–815. [Google Scholar] [CrossRef] [PubMed]
- EMA/HMPC/39455/2015. Assessment report on Sideritis scardica Griseb.; Sideritis clandestina (Bory & Chaub.) Hayek; Sideritis raeseri Boiss. & Heldr.; Sideritis syriaca L., herba. (2016). Committee on Herbal Medicinal Products (HMPC). Available online: https://www.ema.europa.eu/en/documents/herbal-report/final-assessment-report-sideritis-scardica-griseb-sideritis-clandestina-bory-chaub-hayek-sideritis_en.pdf (accessed on 12 July 2023).
- Dimaki, V.D.; Zeliou, K.; Nakka, F.; Stavreli, M.; Bakratsas, I.; Papaioannou, L.; Iatrou, G.; Lamari, F.N. Characterization of Sideritis clandestina subsp. peloponnesiaca Polar Glycosides and Phytochemical Comparison to Other Mountain Tea Populations. Molecules 2022, 27, 7613. [Google Scholar] [CrossRef]
- Mróz, M.; Malinowska-Pańczyk, E.; Bartoszek, A.; Kusznierewicz, B. Comparative Study on Assisted Solvent Extraction Techniques for the Extraction of Biologically Active Compounds from Sideritis raeseri and Sideritis scardica. Molecules 2023, 28, 4207. [Google Scholar] [CrossRef]
- Zheleva-Dimitrova, D.; Voynikov, Y.; Gevrenova, R.; Balabanova, V. A Comprehensive Phytochemical Analysis of Sideritis scardica Infusion Using Orbitrap UHPLC-HRMS. Molecules 2024, 29, 204. [Google Scholar] [CrossRef] [PubMed]
- Petreska, J.; Stefkov, G.; Kulevanova, S.; Alipieva, K.; Bankova, V.; Stefova, M. Phenolic Compounds of Mountain Tea from the Balkans: LC/DAD/ESI/MSn Profile and Content. Nat. Prod. Commun. 2011, 6, 21–30. [Google Scholar] [CrossRef] [PubMed]
- Guvenc, A.; Okada, Y.; Akkol, E.K.; Duman, H.; Okuyama, T.; Calış, İ. Investigations of anti-inflammatory, antinociceptive, antioxidant and aldose reductase inhibitory activities of phenolic compounds from Sideritis brevibracteata. Food Chem. 2010, 118, 686–692. [Google Scholar] [CrossRef]
- Tian, X.Y.; Li, M.; Lin, T.; Qiu, Y.; Zhu, Y.T.; Li, X.L.; Tao, W.D.; Wang, P.; Ren, X.X.; Chen, L.P. A Review on the Structure and Pharmacological Activity of Phenylethanoid Glycosides. Eur. J. Med. Chem. 2021, 209, 112563. [Google Scholar] [CrossRef]
- Naveed, M.; Hejazi, V.; Abbas, M.; Kamboh, A.A.; Khan, G.J.; Shumzaid, M.; Ahmad, F.; Babazadeh, D.; Xia, F.; Modarresi-Ghazani, F. Chlorogenic acid (CGA): A pharmacological review and call for further research. Biomed. Pharmacother. 2018, 97, 67–74. [Google Scholar] [CrossRef]
Disclaimer/Publisher’s Note: The statements, opinions and data contained in all publications are solely those of the individual author(s) and contributor(s) and not of MDPI and/or the editor(s). MDPI and/or the editor(s) disclaim responsibility for any injury to people or property resulting from any ideas, methods, instructions or products referred to in the content. |
© 2024 by the authors. Licensee MDPI, Basel, Switzerland. This article is an open access article distributed under the terms and conditions of the Creative Commons Attribution (CC BY) license (https://creativecommons.org/licenses/by/4.0/).


















