Separation and Isolation of a New Hydroxylated Resveratrol Trimer Together with Other Stilbenoid Compounds from the Lianas of Gnetum microcarpum Blume and Their Inhibitory Effects of Prostaglandin E2
Abstract
1. Introduction
2. Materials and Methods
2.1. Plant Material
2.2. Chemicals
2.3. Instrumentation
2.4. Extraction and Isolation
2.5. PGE2 Inhibition Assay
3. Results and Discussion
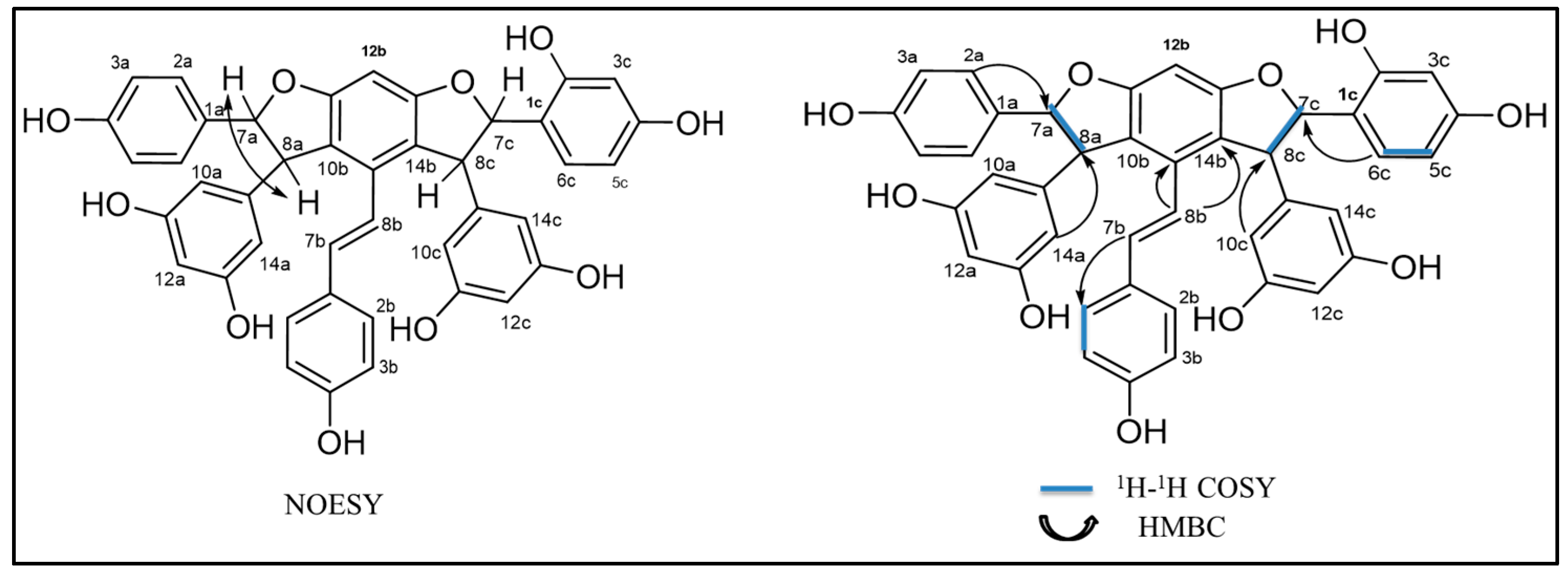
3.1. Phytochemicals from Lianas G. microcarpum
3.2. PGE2 Inhibitory Activities
3.3. Structure–Activity Relationship Study
4. Conclusions
Supplementary Materials
Author Contributions
Funding
Acknowledgments
Conflicts of Interest
References
- Ali, M.I.; Shabir, S.; Soni, L.K.; Dobhal, M.P.; Moin, S. The Phytochemical Potential of Gnetaceae with Peculiar Reference to Gnetum ula and Traditional Uses of Gnetaceae Species. Plant Arch. 2020, 20, 2979–2986. [Google Scholar]
- Hou, C.; Humphreys, A.M.; Thureborn, O.; Rydin, C. New insights into the evolutionary history of Gnetum (Gnetales). Taxon. 2015, 64, 239–253. [Google Scholar] [CrossRef]
- Reddy, S.M.; Chary, S.J. University Botany II: (Gymnosperms, Plant Anatomy, Genetics, Ecology); New Age International: Delhi, India, 2003; Volume 2. [Google Scholar]
- Bhatnagar, S.P.; Moitra, A. Gymnosperms; New Age International: Delhi, India, 1996. [Google Scholar]
- Eisai, P.T. Medicinal Herb Index in Indonesia; PT Eisai Indonesia: Jakarta, Indonesia, 1995; Volume 91. [Google Scholar]
- Sotheeswaran, S.; Pasupathy, V. Distribution of resveratrol oligomers in plants. Phytochemistry 1993, 32, 1083–1092. [Google Scholar] [CrossRef]
- Xue, Y.Q.; Di, J.M.; Luo, Y.; Cheng, K.J.; Wei, X.; Shi, Z. Resveratrol oligomers for the prevention and treatment of cancers. Oxidative Med. Cell. Longev. 2014, 2014, 765832. [Google Scholar] [CrossRef]
- Govaerts, R. World Checklist of Seed Plants; MIM: Antwerp Belgium, 1995. [Google Scholar]
- Baloch, E. Gnetum Microcarpum; The IUCN Red List of Threatened Species: London, UK, 2013. [Google Scholar]
- Wibowo, A.; Ahmat, N.; Hamzah, A.S.; Latif, F.A.; Norrizah, J.S.; Khong, H.Y.; Takayama, H. Identification and biological activity of secondary metabolites from Dryobalanops beccarii. Phytochem. Lett. 2014, 9, 117–122. [Google Scholar] [CrossRef]
- Patrignani, P.; Panara, M.R.; Greco, A.; Fusco, O.; Natoli, C.; Iacobelli, S.; Cipollone, F.; Ganci, A.; Créminon, C.; Maclouf, J.; et al. Biochemical and pharmacological characterization of the cyclooxygenase activity of human blood prostaglandin endoperoxide synthases. J. Pharmacol. Exp. Ther. 1994, 271, 1705–1712. [Google Scholar]
- Azmin, N.F.N.; Ahmat, N.; Syah, Y.M.; Zawawi, N.K.N.; Yusof, M.I.M. A new stilbenoid compound from the lianas of Gnetum microcarpum. Nat. Prod. Commun. 2014, 9, 1743–1744. [Google Scholar] [CrossRef]
- Oshima, Y.; Kamijou, A.; Ohizumi, Y.; Niwa, M.; Ito, J.; Hisamichi, K.; Takeshita, M. Novel oligostilbenes from Vitis coignetiae. Tetrahedron 1995, 51, 11979–11986. [Google Scholar] [CrossRef]
- Zaman, A.; Prakash, S.; Wizarat, K.; Joshi, B.S.; Gawad, O.H.; Likhate, K. Isolation and structure of gnetol, a novel stilbene from Gnetum ula. Indian J. Chem. 1983, 23B, 101–104. [Google Scholar]
- Mattivi, F.; Reneiro, F.; Korhammer, S. Isolation, characterization, and evolution in red wine vinification of resveratrol monomers. J. Agric. Food Chem. 2005, 43, 1820–1823. [Google Scholar] [CrossRef]
- Yao, C.S.; Lin, M.; Liu, X.; Wang, Y. Stilbenes from Gnetum cleistostachyum. Huaxue Xuebao 2003, 61, 1331–1334. [Google Scholar]
- Fernández-Marín, M.I.; Guerrero, R.F.; García-Parrilla, M.C.; Puertas, B.; Richard, T.; Rodriguez-Werner, M.A.; Winterhalter, P.; Monti, J.P.; Cantos-Villar, E. Isorhapontigenin: A novel bioactive stilbene from wine grapes. Food Chem. 2012, 135, 1353–1359. [Google Scholar] [CrossRef] [PubMed]
- Shimokawa, Y.; Hirasawa, Y.; Kaneda, T.; Hadi, A.H.A.; Morita, H. Cuspidans A and B, Two New Stilbenoids from the Bark of Gnetum cuspidatum. Chem. Pharm. Bull. 2012, 60, 790–792. [Google Scholar] [CrossRef] [PubMed][Green Version]
- Xiang, W.; Jiang, B.; Li, X.; Zhang, H. Constituents of Gnetum montanum. Fitoterapia 2002, 73, 40–42. [Google Scholar] [CrossRef]
- Tanaka, T.; Iliya, I.; Ito, T.; Furusawa, M.; Nakaya, K.; Iinuma, M.; Shirataki, Y.; Matsuura, N.; Ubukata, M.; Murata, J.; et al. Stilbenoids in Lianas of Gnetum parvifolium. Chem. Pharm. Bull. 2001, 49, 858–862. [Google Scholar] [CrossRef]
- Sirerol, J.A.; Rodríguez, M.L.; Mena, S.; Asensi, M.A.; Estrela, J.M.; Ortega, A.L. Role of natural stilbenes in the prevention of cancer. Oxidative Med. Cell. Longev. 2016, 2016, 3128951. [Google Scholar] [CrossRef]
- Sale, S.; Tunstall, R.G.; Ruparelia, K.C.; Potter, G.A.; Steward, W.P.; Gescher, A.J. Comparison of the effects of the chemopreventive agent resveratrol and its synthetic analog trans 3, 4, 5, 4′-tetramethoxystilbene (DMU-212) on adenoma development in the ApcMin+ mouse and cyclooxygenase-2 in human-derived colon cancer cells. Int. J. Cancer 2005, 115, 194–201. [Google Scholar] [CrossRef]
- Park, E.; Min, H.; Ahn, Y.; Bae, C.; Pyee, J.; Lee, S. Synthesis and inhibitory effects of pinosylvin derivatives on prostaglandin E2 production in lipopolysaccharide-induced mouse macrophage cells. Bioorg. Med. Chem. Lett. 2004, 14, 5895–5898. [Google Scholar] [CrossRef]
- Likhitwitayawuid, K.; Sawasdee, K.; Kirtikara, K. Flavonoids and Stilbenoids with COX-1 and COX-2 Inhibitory Activity from Dracaena loureiri. Planta Med. 2002, 68, 841–843. [Google Scholar] [CrossRef]
- Murias, M.; Handler, N.; Erker, T.; Pleban, K.; Ecker, G.; Saiko, P.; Ja, W. Resveratrol analogues as selective cyclooxygenase-2 inhibitors: Synthesis and structure—Activity relationship. Bioorg. Med. Chem. 2004, 12, 5571–5578. [Google Scholar] [CrossRef]
- Shi, Y.W.; Wang, C.P.; Liu, L.; Liu, Y.L.; Wang, X.; Hong, Y.; Kong, L.D. Antihyperuricemic and nephroprotective effects of resveratrol and its analogues in hyperuricemic mice. Mol. Nutr. Food Res. 2012, 56, 1433–1444. [Google Scholar] [CrossRef] [PubMed]
- Bohn, T. Dietary factors affecting polyphenol bioavailability. Nutr. Rev. 2014, 72, 429–452. [Google Scholar] [CrossRef] [PubMed]



| Sample | PGE2 Inhibition | |
|---|---|---|
| % Inhibition | IC50 | |
| 2 4 5 6 8 Indomethacin | 43.05 52.70 62.88 72.68 74.86 85.29 | Nd Nd 6.57 1.84 3.68 1.29 |
Disclaimer/Publisher’s Note: The statements, opinions and data contained in all publications are solely those of the individual author(s) and contributor(s) and not of MDPI and/or the editor(s). MDPI and/or the editor(s) disclaim responsibility for any injury to people or property resulting from any ideas, methods, instructions or products referred to in the content. |
© 2023 by the authors. Licensee MDPI, Basel, Switzerland. This article is an open access article distributed under the terms and conditions of the Creative Commons Attribution (CC BY) license (https://creativecommons.org/licenses/by/4.0/).
Share and Cite
Azmin, N.F.N.; Ahmat, N.; Jalil, J.; Sabandar, C.W.; Zawawi, N.K.N.A.; Sazali, S.N.M.; Yusof, M.I.M.; Kamarozaman, A.S.; Tanjung, M. Separation and Isolation of a New Hydroxylated Resveratrol Trimer Together with Other Stilbenoid Compounds from the Lianas of Gnetum microcarpum Blume and Their Inhibitory Effects of Prostaglandin E2. Separations 2023, 10, 496. https://doi.org/10.3390/separations10090496
Azmin NFN, Ahmat N, Jalil J, Sabandar CW, Zawawi NKNA, Sazali SNM, Yusof MIM, Kamarozaman AS, Tanjung M. Separation and Isolation of a New Hydroxylated Resveratrol Trimer Together with Other Stilbenoid Compounds from the Lianas of Gnetum microcarpum Blume and Their Inhibitory Effects of Prostaglandin E2. Separations. 2023; 10(9):496. https://doi.org/10.3390/separations10090496
Chicago/Turabian StyleAzmin, Nik Fatini Nik, Norizan Ahmat, Juriyati Jalil, Carla Wulandari Sabandar, Nik Khairunissa’ Nik Abdullah Zawawi, Siti Norafiqah Mohd Sazali, Mohd Izwan Mohamad Yusof, Aisyah Salihah Kamarozaman, and Mulyadi Tanjung. 2023. "Separation and Isolation of a New Hydroxylated Resveratrol Trimer Together with Other Stilbenoid Compounds from the Lianas of Gnetum microcarpum Blume and Their Inhibitory Effects of Prostaglandin E2" Separations 10, no. 9: 496. https://doi.org/10.3390/separations10090496
APA StyleAzmin, N. F. N., Ahmat, N., Jalil, J., Sabandar, C. W., Zawawi, N. K. N. A., Sazali, S. N. M., Yusof, M. I. M., Kamarozaman, A. S., & Tanjung, M. (2023). Separation and Isolation of a New Hydroxylated Resveratrol Trimer Together with Other Stilbenoid Compounds from the Lianas of Gnetum microcarpum Blume and Their Inhibitory Effects of Prostaglandin E2. Separations, 10(9), 496. https://doi.org/10.3390/separations10090496

