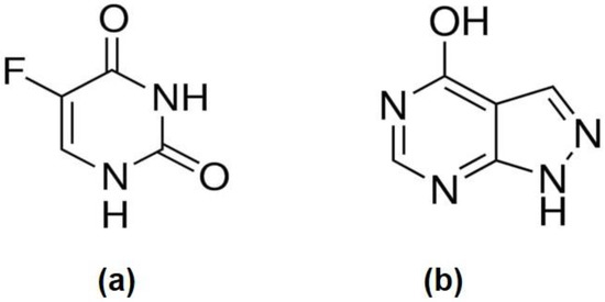
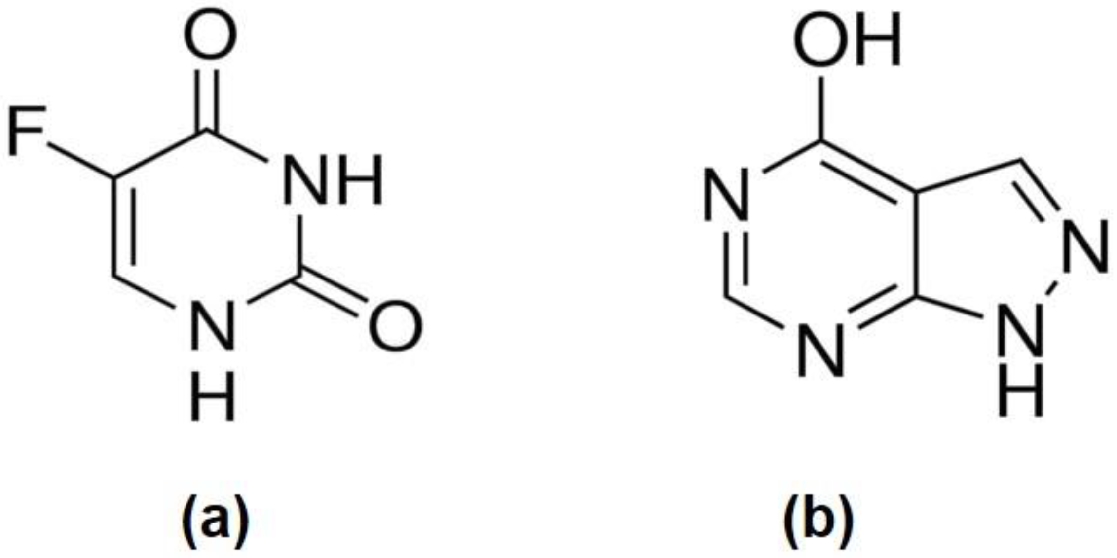
Development and Validation of UPLC–MS/MS Method for Quantitative Analysis of 5-Fluorouracil in Aqueous Humor of Rabbits
Abstract
1. Introduction
2. Experimental Section
2.1. Chemicals and Animals
2.2. Mass Spectrometric and Chromatographic Conditions
2.3. Making Stock Solutions, Calibration Standards, and Quality Control Samples
2.4. Aqueous Humor (AqH) Sample Preparations
2.5. Development and Validation of Method
2.5.1. Calibration Curve and Limits of Detection (LOD) and Quantitation (LOQ)
2.5.2. Selectivity
2.5.3. Precision, Accuracy and Robustness
2.5.4. Recovery
2.5.5. Matrix Effect
2.5.6. Stability
2.6. Application of the UPLC–MS/MS Method
2.7. Statistical Analysis of Data
3. Results and Discussion
3.1. Method Development
3.2. Optimization of the Conditions of Chromatography and Mass Spectrometry
3.3. Sample Preparation Optimization
3.4. Method Validation
3.4.1. Calibration Curve, Linearity, and Limits of Detection and Quantification
3.4.2. Selectivity
3.4.3. Precision, Accuracy and Robustness
3.4.4. Recovery and Matrix Effect
3.4.5. Stability
3.5. Application of the Method
4. Conclusions
Supplementary Materials
Author Contributions
Funding
Institutional Review Board Statement
Informed Consent Statement
Data Availability Statement
Acknowledgments
Conflicts of Interest
References
- Hartmann, J.T.; Kohne, C.H.; Schmoll, H.J.; Daikeler, T.; Kanz, L.; Bokemeyer, C. Is continuous 24-hour infusion of 5-fluorouracil plus high-dose folinic acid effective in patients with progressive or recurrent colorectal cancer? A phase II study. Oncology 1998, 55, 320–325. [Google Scholar] [CrossRef] [PubMed]
- Noordhuis, P.; Holwerda, U.; Van der Wilt, C.; Van Groeningen, C.; Smid, K.; Meijer, S.; Pinedo, H.; Peters, G. 5-Fluorouracil incorporation into RNA and DNA in relation to thymidylate synthase inhibition of human colorectal cancers. Ann. Oncol. 2004, 15, 1025–1032. [Google Scholar] [CrossRef] [PubMed]
- Zhang, N.; Yin, Y.; Xu, S.-J.; Chen, W.-S. 5-Fluorouracil: Mechanisms of resistance and reversal strategies. Molecules 2008, 13, 1551–1569. [Google Scholar] [CrossRef] [PubMed]
- Longley, D.B.; Harkin, D.P.; Johnston, P.G. 5-fluorouracil: Mechanisms of action and clinical strategies. Nat. Rev. Cancer 2003, 3, 330–338. [Google Scholar] [CrossRef] [PubMed]
- Al-Barrag, A.; Al-Shaer, M.; Al-Matary, N.; Al-Hamdani, M. 5-Fluorouracil for the treatment of intraepithelial neoplasia and squamous cell carcinoma of the conjunctiva, and cornea. Clin. Ophthalmol. 2010, 4, 801–808. [Google Scholar] [CrossRef] [PubMed]
- Yeatts, R.P.; Engelbrecht, N.E.; Curry, C.D.; Ford, J.G.; Walter, K.A. 5-Fluorouracil for the treatment of intraepithelial neoplasia of the conjunctiva and cornea. Ophthalmology 2000, 107, 2190–2195. [Google Scholar] [CrossRef]
- Venkateswaran, N.; Mercado, C.; Galor, A.; Karp, C.L. Comparison of topical 5-fluorouracil and interferon alfa-2b as primary treatment modalities for ocular surface squamous neoplasia. Am. J. Ophthalmol. 2019, 199, 216–222. [Google Scholar] [CrossRef]
- Patel, U.; Karp, C.L.; Dubovy, S.R. Update on the management of ocular surface squamous neoplasia. Curr. Ophthalmol. Rep. 2021, 9, 7–15. [Google Scholar] [CrossRef]
- Fuhrman, L.C.; Godwin, D.A.; Davis, R.A. Stability of 5-Fluorouracil in an extemporaneously compounded ophthalmic solution. Int. J. Pharm. Compd. 2000, 4, 320–323. [Google Scholar]
- Alhowyan, A.A.; Kalam, M.A.; Iqbal, M.; Raish, M.; El-Toni, A.M.; Alkholief, M.; Almomen, A.A.; Alshamsan, A. Mesoporous silica nanoparticles coated with carboxymethyl chitosan for 5-fluorouracil ocular delivery: Characterization, in vitro and in vivo studies. Molecules 2023, 28, 1260. [Google Scholar] [CrossRef]
- Alanazi, F.K.; Eldeen Yassin, A.; El-Badry, M.; Mowafy, H.A.; Alsarra, I.A. Validated high-performance liquid chromatographic technique for determination of 5-fluorouracil: Applications to stability studies and simulated colonic media. J. Chromatogr. Sci. 2009, 47, 558–563. [Google Scholar] [CrossRef]
- Pi, C.; Wei, Y.; Yang, H.; Zhou, Y.; Fu, J.; Yang, S.; Ye, Y.; Zhao, L. Development of a HPLC method to determine 5-fluorouracil in plasma: Application in pharmacokinetics and steady-state concentration monitoring. Int. J. Clin. Pharmacol. Ther. 2014, 52, 1093–1101. [Google Scholar] [CrossRef]
- Alsarra, I.A.; Alarifi, M.N. Validated liquid chromatographic determination of 5-fluorouracil in human plasma. J. Chromatogr. B 2004, 804, 435–439. [Google Scholar] [CrossRef]
- Nassim, M.A.; Shirazi, F.H.; Cripps, C.M.; Veerasinghan, S.; Molepo, M.J.; Obrocea, M.; Redmond, D.; Bates, S.; Fry, D.; Stewart, D.J. An HPLC method for the measurement of 5-fluorouracil in human plasma with a low detection limit and a high extraction yield. Int. J. Mol. Med. 2002, 10, 513–516. [Google Scholar] [CrossRef]
- Cui, L.-j.; Sun, N.-x.; Li, X.-h.; Huang, J.; Yang, J.-g. Subconjunctival sustained release 5-fluorouracil for glaucoma filtration surgery. Acta Pharmacol. Sin. 2008, 29, 1021–1028. [Google Scholar] [CrossRef]
- Bernatchez, S.a.F.; Tabatabay, C.; Gurny, R. Sodium hyaluronate as a vehicle for an improved tolerance of 5-fluorouracil administered subconjunctivally to rabbits. Int. J. Pharm. 1994, 106, 161–166. [Google Scholar] [CrossRef]
- Jeronimo, M.; Colombo, M.; Astrakianakis, G.; Hon, C.-Y. A surface wipe sampling and LC–MS/MS method for the simultaneous detection of six antineoplastic drugs commonly handled by healthcare workers. Anal. Bioanal. Chem. 2015, 407, 7083–7092. [Google Scholar] [CrossRef]
- Iqbal, M.; Ezzeldin, E.; Herqash, R.N.; Alam, O. Ultra-performance hydrophilic interaction liquid chromatography coupled with tandem mass spectrometry for simultaneous determination of allopurinol, oxypurinol and lesinurad in rat plasma: Application to pharmacokinetic study in rats. PLoS ONE 2019, 14, e0213786. [Google Scholar] [CrossRef]
- Guideline, ICH Harmonised. Bioanalytical Method Validation and Study Sample Analysis M10; ICH Harmonised Guideline: Geneva, Switzerland, 2022. [Google Scholar]
- Hartmann, C.; Smeyers-Verbeke, J.; Massart, D.; McDowall, R. Validation of bioanalytical chromatographic methods. J. Pharm. Biomed. Anal. 1998, 17, 193–218. [Google Scholar] [CrossRef]
- Tang, Z.; Wang, L.; Xia, Z.; Shi, M.; Wang, Q.; Zhan, Z. HPLC–MS/MS-based analysis of everolimus in rabbit aqueous humor: Pharmacokinetics of in situ gel eye drops of suspension. Bioanalysis 2019, 11, 267–278. [Google Scholar] [CrossRef]
- Kalam, M.A.; Iqbal, M.; Alshememry, A.; Alkholief, M.; Alshamsan, A. UPLC-MS/MS assay of Tedizolid in rabbit aqueous humor: Application to ocular pharmacokinetic study. J. Chromatogr. B 2021, 1171, 122621. [Google Scholar] [CrossRef] [PubMed]
- Kalam, M.A. The potential application of hyaluronic acid coated chitosan nanoparticles in ocular delivery of dexamethasone. Int. J. Biol. Macromol. 2016, 89, 559–568. [Google Scholar] [CrossRef] [PubMed]
- Furrer, P.; Plazonnet, B.; Mayer, J.; Gurny, R. Application of in vivo confocal microscopy to the objective evaluation of ocular irritation induced by surfactants. Int. J. Pharm. 2000, 207, 89–98. [Google Scholar] [CrossRef] [PubMed]
- Zhang, Y.; Huo, M.; Zhou, J.; Xie, S. PKSolver: An add-in program for pharmacokinetic and pharmacodynamic data analysis in Microsoft Excel. Comput. Methods Programs Biomed. 2010, 99, 306–314. [Google Scholar] [CrossRef]
- Ji, Q.C.; Reimer, M.T.; El-Shourbagy, T.A. 96-Well liquid–liquid extraction liquid chromatography-tandem mass spectrometry method for the quantitative determination of ABT-578 in human blood samples. J. Chromatogr. B 2004, 805, 67–75. [Google Scholar] [CrossRef]
- Rousu, T.; Hokkanen, J.; Pelkonen, O.R.; Tolonen, A. Applicability of generic assays based on liquid chromatography–electrospray mass spectrometry to study in vitro metabolism of 55 structurally diverse compounds. Front. Pharmacol. 2010, 1, 10. [Google Scholar] [CrossRef]
- Sanli, N.; Sanli, S.; Alsancak, G.l. Determination of dissociation constants of folinic acid (leucovorin), 5-fluorouracil, and irinotecan in hydro-organic media by a spectrophotometric method. J. Chem. Eng. Data 2010, 55, 2695–2699. [Google Scholar] [CrossRef]
- Wielinska, J.; Nowacki, A.; Liberek, B. 5-Fluorouracil-Complete Insight into Its Neutral and Ionised Forms. Molecules 2019, 24, 3683. [Google Scholar] [CrossRef]
- Privat, E.J.; Sowers, L.C. A proposed mechanism for the mutagenicity of 5-formyluracil. Mutat. Res. 1996, 354, 151–156. [Google Scholar] [CrossRef]
- Matuszewski, B.K.; Constanzer, M.; Chavez-Eng, C. Strategies for the assessment of matrix effect in quantitative bioanalytical methods based on HPLC−MS/MS. Anal. Chem. 2003, 75, 3019–3030. [Google Scholar] [CrossRef]
- Volmer, D.; Jessome, L.L. Ion suppression: A major concern in mass spectrometry. LCGC N. Am. 2006, 24, 498–510. [Google Scholar]





| Calibration Parameters | Values (Mean ± SEM, n = 3) |
|---|---|
| Linearity | |
| Concentration range | 10.5–2000 ng/mL |
| Slope (mean ± SEM) with % RSD | (1.667 ± 0.121) × 10−3 with 12.49% |
| Intercept (mean ± SEM) with % RSD | (3.096 ± 0.104) × 10−2 with 5.80% |
| Coefficient of correlation, R2 (mean ± SEM) with % RSD | 0.9946 ± 0.0023, with 0.40% |
| Calibration equation | Y = 0.001667x + 0.030967 |
| LOD | 3.55 ng/mL |
| LOQ | 10.77 ng/mL |
| Spiked Concentration of 5-FU in AqH (ng/mL) | Measured Concentration, Mean ± SD, n = 3 (ng/mL) | SEM | % RSD | Recovery (%) | Accuracy (% RE) * |
|---|---|---|---|---|---|
| Intraday precision | |||||
| 10.5 (LLOQ) | 9.77 ± 0.31 | 0.17 | 3.02 | 93.07 | −6.93 |
| 30 (LQC) | 29.03 ± 2.52 | 1.45 | 8.68 | 96.75 | −3.25 |
| 350 (MQC) | 353.99 ± 5.76 | 3.33 | 1.63 | 101.14 | 1.14 |
| 1400 (HQC) | 1417.47 ± 6.82 | 3.94 | 0.48 | 101.24 | 1.25 |
| Interday precision | |||||
| 10.5 (LLOQ) | 9.54 ± 0.11 | 0.063 | 1.14 | 90.88 | −9.12 |
| 30 (LQC) | 27.99 ± 1.86 | 1.072 | 6.63 | 93.32 | −6.67 |
| 350 (MQC) | 344.74 ± 2.98 | 1.720 | 0.86 | 98.50 | −1.50 |
| 1400 (HQC) | 1379.30 ± 9.56 | 5.522 | 0.69 | 98.52 | −1.48 |
| Mobile Phase (Acetonitrile: 10 mM Ammonium Acetate) | Peak Area of MQC Sample (AU) | Concentration of MQC Sample (ng/mL) | Retention Time (Rt) (min) | ||||||
|---|---|---|---|---|---|---|---|---|---|
| Mean ± SD | SEM | % RSD | Mean ± SD | SEM | % RSD | Mean ± SD | SEM | % RSD | |
| Composition of the mobile phase | |||||||||
| 93:7 (v/v) | 26,767.0 ± 843.9 | 487.27 | 3.15 | 347.24 ± 5.77 | 3.33 | 1.66 | 1.14 ± 0.03 | 0.01 | 2.21 |
| 95:5 (v/v) | 29,302.7 ± 1009.5 | 582.86 | 3.44 | 350.14 ± 3.81 | 2.20 | 1.08 | 1.13 ± 0.02 | 0.02 | 2.23 |
| 97:3 (v/v) | 28,546.6 ± 518.8 | 299.56 | 1.82 | 348.71 ± 1.21 | 0.69 | 0.34 | 1.12 ± 0.02 | 0.01 | 1.35 |
| Rate of flow of the mobile phase | |||||||||
| 0.28 mL/min | 27,313.0 ± 715.4 | 413.04 | 2.61 | 350.31 ± 4.47 | 2.58 | 1.28 | 1.14 ± 0.03 | 0.02 | 2.69 |
| 0.30 mL/min | 28,605.3 ± 1651.8 | 953.72 | 5.77 | 349.74 ± 5.81 | 3.35 | 1.66 | 1.13 ± 0.01 | 0.01 | 1.02 |
| 0.32 mL/min | 28,951.3 ± 916.3 | 529.01 | 3.16 | 350.31 ± 3.23 | 1.86 | 0.92 | 1.15 ± 0.02 | 0.01 | 1.33 |
| Samples | Theoretical Concentration (ng/mL) | Matrix Effect (%) | Extraction Recovery (%) | ||
|---|---|---|---|---|---|
| Mean ± SD | % RSD | Mean ± SD | % RSD | ||
| LQC of 5-FU | 30 | 90.45 ± 4.29 | 4.74 | 77.06 ± 4.49 | 5.83 |
| MQC of 5-FU | 350 | 93.04 ± 3.87 | 4.16 | 83.09 ± 5.67 | 6.82 |
| HQC of 5-FU | 1400 | 94.52 ± 3.09 | 3.27 | 89.01 ± 4.72 | 5.31 |
| Overall | 92.67 ± 2.06 | 2.22 | 83.05 ± 5.97 | 7.19 | |
| Allopurinol (as the IS) | 250 | 95.67 ± 2.78 | 2.91 | 78.73 ± 1.61 | 2.04 |
| Theoretical Concentration (ng/mL) | Measured Concentration (ng/mL), Mean ± SD | SEM | % RSD | Recovery (%) | Accuracy (% RE) |
|---|---|---|---|---|---|
| Short-term (for 8 h at 25 ± 1 °C) | |||||
| 10.5 (LLQC) | 9.73 ± 1.12 | 0.64 | 11.55 | 92.68 | −7.32 |
| 1400 (HQC) | 1365.51 ± 37.57 | 21.69 | 2.75 | 97.54 | −2.46 |
| Freeze–thaw (−80 °C to 25 °C) | |||||
| 10.5 (LLQC) | 9.98 ± 1.42 | 0.82 | 14.21 | 95.01 | −4.99 |
| 1400 (HQC) | 1373.36 ± 43.24 | 24.96 | 3.15 | 98.09 | −1.90 |
| Autosampler (for 48 h at 10 °C) | |||||
| 10.5 (LLQC) | 9.74 ± 1.35 | 0.78 | 13.91 | 92.76 | 7.24 |
| 1400 (HQC) | 1372.98 ± 17.91 | 10.33 | 1.30 | 98.07 | −1.93 |
| Long-term (for 3 months at −80 °C) | |||||
| 10.5 (LLQC) | 9.53 ± 1.17 | 0.68 | 12.28 | 90.74 | −9.26 |
| 1400 (HQC) | 1370.59 ± 18.41 | 10.62 | 1.34 | 97.90 | −2.10 |
Disclaimer/Publisher’s Note: The statements, opinions and data contained in all publications are solely those of the individual author(s) and contributor(s) and not of MDPI and/or the editor(s). MDPI and/or the editor(s) disclaim responsibility for any injury to people or property resulting from any ideas, methods, instructions or products referred to in the content. |
© 2023 by the authors. Licensee MDPI, Basel, Switzerland. This article is an open access article distributed under the terms and conditions of the Creative Commons Attribution (CC BY) license (https://creativecommons.org/licenses/by/4.0/).
Share and Cite
Kalam, M.A.; Alhudaithi, S.S.; Alhowyan, A.A.; Iqbal, M.; Raish, M.; Alshememry, A.K.; Alkholief, M.; Almomen, A.A.; Alshamsan, A. Development and Validation of UPLC–MS/MS Method for Quantitative Analysis of 5-Fluorouracil in Aqueous Humor of Rabbits. Separations 2023, 10, 343. https://doi.org/10.3390/separations10060343
Kalam MA, Alhudaithi SS, Alhowyan AA, Iqbal M, Raish M, Alshememry AK, Alkholief M, Almomen AA, Alshamsan A. Development and Validation of UPLC–MS/MS Method for Quantitative Analysis of 5-Fluorouracil in Aqueous Humor of Rabbits. Separations. 2023; 10(6):343. https://doi.org/10.3390/separations10060343
Chicago/Turabian StyleKalam, Mohd Abul, Sulaiman S. Alhudaithi, Adel Ali Alhowyan, Muzaffar Iqbal, Mohammad Raish, Abdullah K. Alshememry, Musaed Alkholief, Aliyah A. Almomen, and Aws Alshamsan. 2023. "Development and Validation of UPLC–MS/MS Method for Quantitative Analysis of 5-Fluorouracil in Aqueous Humor of Rabbits" Separations 10, no. 6: 343. https://doi.org/10.3390/separations10060343
APA StyleKalam, M. A., Alhudaithi, S. S., Alhowyan, A. A., Iqbal, M., Raish, M., Alshememry, A. K., Alkholief, M., Almomen, A. A., & Alshamsan, A. (2023). Development and Validation of UPLC–MS/MS Method for Quantitative Analysis of 5-Fluorouracil in Aqueous Humor of Rabbits. Separations, 10(6), 343. https://doi.org/10.3390/separations10060343

