Abstract
Glucocorticoids (GCs) are a group of the most important and commonly used anti-inflammatory, antiallergenic, and immunosuppressive drugs. Like narcotics, they can be addictive if taken at increasing doses to achieve greater analgesic effects. The purpose of the study was to develop initial and confirmation testing analytical methods that would allow for the identification of glucocorticoid class substances in human urine to be used for routine analyses for the purposes of prosecution in the case of abuse, for clinical toxicology, medical jurisprudence, as well as for routine testing of athletes for the presence of prohibited substances in sports by means of ultra-high-performance liquid chromatography-tandem mass spectrometry (UHPLC-MS/MS) using a new generation ionization source UniSprayTM (U.S). This new method allows for the simultaneous detection of 27 glucocorticoids in human urine using LC-MS/MS. The tests conducted yielded relatively low LOD and LOQ values, ranging from 0.06 ng/mL to 0.14 ng/mL and 0.75 ng/mL for LOD and LOQ, respectively.
1. Introduction
Glucocorticoids (GCs) are a group of the most important and commonly used anti-inflammatory, antiallergenic, and immunosuppressive drugs [1]. They may cause addiction if taken at increasing doses to achieve greater analgesic effects. GCs occur both naturally and synthetically [2]. They are produced from cholesterol by the zona fasciculate of the adrenal glands [3]. With production and secretion regulated by the hypothalamic–pituitary–adrenal axis, they help the body cope with physical and emotional stress. GCs are important regulators of carbohydrate, protein, and lipid metabolism. They also affect the immune response, water–electrolyte homeostasis, blood pressure regulation, and bone metabolism. Other aspects of GC activity include effects on food intake, body temperature, pain perception, and neuroendocrine function. In clinical practice, they are typically used to treat inflammatory responses, such as joint and skin inflammation, and as adjuvant treatment in autoimmune diseases [4].
The main glucocorticoids are cortisol (hydrocortisone) and corticosterone (cortisone). Most mammals produce both steroids in different proportions depending on the species. Cortisol is the dominant glucocorticoid in humans [5]. The pharmacological activity of various synthetic glucocorticoids is calculated using a pharmacological scale that compares them to hydrocortisone [2]. In anti-doping analysis, cortisol and cortisone are used as biomarkers.
All synthetic glucocorticoids have strong anti-inflammatory activity compared to hydrocortisone and regulate a number of processes. They are widely used in various conditions due to their antiallergenic, anti-inflammatory, antipruritic, anti-swelling, and immunosuppressive effects, as well as enhancing the maturation of pulmonary alveoli and decreasing intracranial pressure [6]. However, their uses are not limited to topical applications. Due to their systemic effects, medical application of GCs is often associated with many adverse effects, such as osteoporosis, stunted growth in children, linear atrophy, bruising, acne, muscle atrophy, hypertension, secondary diabetes, and stomach ulcers, as well as mental problems, including aggression, psychosis or depression [7]. This is why these drugs should always be taken under a physician’s supervision due to the risk of overdose [8].
Glucocorticoids are derivatives of cholesterol, with their chemical structure based on 1,2-cyclopentanoperhydrophenanthrene (sterane) (Figure 1). In the C-17 sterane skeleton, A, B, and C mark cyclohexane rings, while the D indicates the cyclopentane ring [9,10].
Figure 1.
Chemical structure of sterane ((*—stereocenters), androstane (C-19), and pregnane (C-21) (Source: own elaboration based on [10])).
There are two types of steroids secreted by the adrenal cortex: androgens, whose structure is based on the C-19 structure of androstane, and corticoids, which are derivatives of pregnane (Figure 1).
Pregnane (C-21), unlike the structure of sterane, has additional methyl groups at carbon 10 and 13, as well as a side chain at carbon 17. In addition, corticosteroids have a hydroxyl group at position 17, hence their other name, 17-hydroxycorticosteroids. These substances have mineralocorticoid and glucocorticoid effects [9,10].
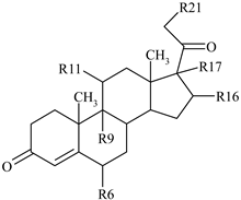
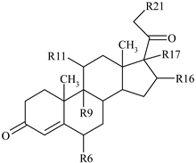
Glucocorticoid activity is largely dependent on substituents attached to the structural skeleton of pregnane [11]. The table below shows the arrangement of substituents in the 27 synthetic glucocorticoids investigated in the present research, along with their classification by type (Table 1).
Table 1.
Overall schematic and location of individual substituents in tested compounds along with their classification by type.
According to the definition of “doping” [12], GCs are prohibited in sports due to their anti-inflammatory effects resulting in pain relief and increased physical capacity. Athletes may use them both for therapeutic and performance-enhancing reasons. Glucocorticoids were banned in sports in 2004 by the World Anti-Doping Agency (WADA) and included as a section S9 “Glucocorticoids” in the WADA Prohibited List [13]. According to WADA Prohibited List, all GCs are prohibited in competition when administered by any injectable, oral (including oromucosal (e.g., buccal, gingival, sublingual)), or rectal route [14]. Other routes of administration (including inhaled, and topical: dental–intracanal, dermal, intranasal, ophthalmological, otic, and perianal) are not prohibited when used within the manufacturer’s licensed doses and therapeutic indications [14].
Moreover, WADA has defined minimum reporting levels for individual glucocorticoids [15]. Considering the fact that the effects of various glucocorticoids are dose-dependent, their urine concentrations may differ significantly depending on the compound, and the rate of elimination may or may not depend on concentration values [4].
UniSpray ionization is a novel atmospheric ionization technique developed by Waters Corporation that offers greater ionization efficiency compared to other available ionization techniques such as ESI, APCI, and APPI. US uses high-velocity spray, created from a grounded nebulizer impacting on a high-voltage target (stainless steel rod), to ionize analytes similarly to ESI. However, this promotes extra droplet break-up and desolvation via additional Coandă and vortex effects (Figure 2) [16,17,18].
Figure 2.
The ionization mechanism of the UniSpray source (Adapted with permission from Ref. [18]. 2018, Waters Corp.)
The aim of the study was to develop initial and confirmation testing analytical methods that would allow for the identification of glucocorticoid class substances in urine to be used for routine analyses for prosecution in the case of abuse, clinical toxicology, or medical jurisprudence, as well as for routine testing of athletes for the presence of prohibited substances in sports by means of ultra-high-performance liquid chromatography-tandem mass spectrometry (UHPLC-MS/MS) or by means of a new generation ionization source UniSprayTM (US).
2. Materials and Methods
2.1. Chemicals and Reagents
The standards of pure substances were purchased from SIGMA-Aldrich (Poland), Toronto Research Chemicals (Toronto, ON, Canada), LGC Standards (Lomianki, Poland), Dr. Ehrenstrofer GmbH (Augsburg, Germany), USP Reference Standards (Basel, Switzerland), Steraloids (Newport, RI, USA), NMIA (Canberra, Australia) and Cayman Chemical (Ann Arbor, MI, USA). LC/MS-grade methanol and acetonitrile were purchased from Merck Millipore (Darmstadt, Germany) and Fisher Chemical (Hampton, NH, USA), respectively. In turn, β-glucuronidase, disodium phosphate, and monosodium phosphate were obtained from Roche and Honeywell, respectively. The Millipore DirectQ UV3 system (Darmstadt, Germany) was used as the source of water (R > 18 MWcm). Urine samples were gathered from volunteers and were free from investigated substances.
Stock solutions of standard substances were prepared at the concentration of 1 mg/mL in methanol and stored at −20 °C. Working solutions were prepared in methanol at the concentration of 1 µg/mL, 10 µg/mL, and 100 µg/mL and stored at 4 °C.
2.2. Sample Preparation
A 1 mL sample of urine was fortified with standard substances at the seven different concentration levels (0.75 ng/mL, 1.5 ng/mL, 3 ng/mL, 7.5 ng/mL, 15 ng/mL, 22.5 ng/mL, and 30 ng/mL) and then with 3 µL of internal standard (ISTD—prednisone d4 at concentration 10 µg/mL), 400 µL of phosphate buffer (1M, pH 6.5), and 30 µL of β-glucuronidase (from Escherichia coli). Samples were incubated for 1 h at 50 °C and then cooled down to room temperature. Subsequently, 400 µL of 20% K2CO3/KHCO3 (1:1, v/v) and 6 mL of MTBE were added. After the extraction, the organic phase was collected and evaporated to dryness. Finally, samples were reconstituted in 100 µL of ACN/H2O mixture (1:1, v/v). The injection volume was fixed at 5 μL.
2.3. Instrumental Analysis
2.3.1. Liquid Chromatography Separation
Chromatographic separation was conducted using a Waters Acquity I-Class UPLC System liquid chromatography with a BEH C18 column (100 mm × 2.1 mm, 1.7 µm Waters, Milford, MA, USA). The mobile phase consisted of 0.1% formic acid in acetonitrile (A) and 0.1% formic acid in water (B), and the flow rate was 300 µL/min at 45 °C. The concentration of acetonitrile was gradually increased in a linear manner. It was changed from 5% to 35% within the first 2 min and then from 35% to 50% in 6 min. Next, the concentration of acetonitrile was increased from 50% to 100% in 1 min and then kept constant for an additional minute. Finally, the column was re-equilibrated for 1 min with the mobile phase of the initial composition. Samples were stored at 4 °C in an autosampler.
2.3.2. Mass Spectrometry
The studied substances were traced in multiple reaction monitoring (MRM) modes with a Xevo TQ-XS (Waters, Milford, MA, USA) mass spectrometer equipped with a new atmospheric pressure ionization source marketed as UniSpray™ (Waters, Milford, MA, USA). The desolvation gas flow was set at 1000 L/h at the temperature of 600 °C, and the source temperature was 150 °C. The applied capillary voltage was 3.0 kV. The cone and collision gas flow were set at 150 L/h and 0.19 mL/min, respectively. All analytes were investigated in the positive mode of UniSpray™ and suitable MRMs were obtained for them.
Traced MRMs and their corresponding MS settings are listed in Table 2. Based on fragmentation patterns, ions with the highest intensity were used for the identification of investigated analytes. All data were acquired and processed using MassLynxTM software version 4.2 SCN1007 (Waters, Milford, MA, USA).
Table 2.
Empirical formulae, exact masses, retention times (RT), traced MRM transitions and MS set-up of the 27 tested compounds and internal standard.
3. Validation
The validation process was performed in accordance with the WADA technical document TD2022IDCR [19].
The method was verified for selectivity, linearity, the limit of detection (LOD), the limit of quantitation (LOQ), recovery (RE), intra-day precision, and carryover. Moreover, relative retention times (RRT) were calculated for investigated substances.
3.1. Linearity
The linearity of the method was determined by the analysis of twelve calibration curves prepared on blank urine samples with different pH values, and specific gravity (1.006 g/mL ÷ 1. 029 g/mL), at seven different concentration levels: 0.75 ng/mL, 1. 5 ng/mL, 3 ng/mL, 7.5 ng/mL, 15 ng/mL, 22.5 ng/mL, and 30 ng/mL. Calibration curves were determined by target analyte to ISTD ratio, and the measurement was repeated four times for each point. The coefficient of determination (R2) was assessed using a seven-point calibration curve over the range of 0.75 ng/mL to 30 ng/mL (Table 3).
Table 3.
Calibration parameters, LOD, LOQ, and RE, for investigated substances in urine samples.
3.2. LOD, LOQ, and RRT
The limit of detection (LOD) and limit of quantification (LOQ) were determined by analyzing twelve urine samples fortified with target analytes at seven different concentration levels: 0.75 ng/mL–30 ng/mL. The measurement was repeated four times for each point. Each concentration level was an average of four measurements. Criteria for LOD were established at 3.3 ·SD/a and for LOQ at 10 · SD/a, where ‘a’ is a slope that is checked for every compound. Therefore, the obtained results for LOQ were estimated below the lowest calibration standard, and the LOQ value (Table 3) was actually determined as the lowest calibration standard. Results of LOD and LOQ are summarized in Table 3, and examples of sample calibration curves for selected compounds are shown in Figure 3, Figure 4 and Figure 5. The exemplary chromatograms of tested substances are shown in Figure 6.
Figure 3.
Calibration curve for cloprednol in urine 10.
Figure 4.
Calibration curve for Meprednisone in urine number 9.
Figure 5.
Calibration curve for 6α-fluprednisolone in urine number 9.

Figure 6.
Chromatograms of selected MRMs of blank urine (A) and QC samples (B) at the concentrations of 7.5 ng/mL.
The coefficient of variation (CV) for the retention time of target analytes, standard deviations for the retention time of target analytes and ISTD, and relative retention time were established based on 168 different analyses conducted within two analytical days (Table 2).
3.3. Extraction Recovery
The extraction recovery (RE) was determined by analyzing two sets of samples (n = 12) spiked with target analytes at concentrations of 15 ng/mL. One set of urine samples was fortified with targeted analytes prior to extraction and compared to a second set of urine samples, fortified after extraction at the same concentration. The recovery data were obtained for the various spiked compounds relative to the ISTD. The extraction recovery was determined as follows: RE (%) = (C/B) ·100, where C is the area under the peak of the analyte added prior to extraction, and B is the area under the peak of the analyte added after the extraction procedure. The mean recoveries obtained for the 27 glucocorticoids are shown in Table 3.
3.4. Selectivity
The selectivity of the method was assessed by the analysis of 12 different blank urine samples. The extracted ion chromatograms at the retention times of the studied compounds were examined for interfering peaks. Evaluation of chromatograms recorded for all selected precursor ion–product ion transitions at the retention times of tested substances showed the absence of strong interfering components in their identification.
To provide additional information on the selectivity of the confirmatory method, 95 routine screening samples that had been deemed negative were additionally tested.
3.5. Carryover
Carryover was evaluated by the injection of blank samples after a single QC sample spiked with analytes at 120 ng/mL. The presence of carryover was evaluated by visual inspection of the chromatograms obtained for blank urine samples.
3.6. Accuracy and Intra-Day Precision
The accuracy and intra-day precision were determined at five concentration levels, 3 ng/mL, 7.5 ng/mL, 15 ng/mL, 22.5 ng/mL, and 30 ng/mL, for each compound using eightfold determinations for each concentration on the same day (intra-day). The precision assessment was specified based on the coefficient of variation values while accuracy was based on standard error values obtained from eight different samples in a series of measurements. The accuracy and intra-day precision are summarized in Table 4.
Table 4.
Intra-day precision and accuracy for investigated glucocorticoids.
4. Results and Discussion
Glucocorticoid activity is largely dependent on the substituents attached to the structural skeleton of pregnane [11]. All analyzed compounds underwent fragmentation into at least four ions, with the exception of two: prednisolamate and tixocortol (Table 2). All selected MRMs proved to be specific, as no interfering matrix-based signals were observed for each MRM in the analysis of 95 chromatograms of 95 blank urine samples collected from different individuals. This indicates the selectivity of the method. The MRM chromatograms of blank urine samples spiked with compounds (7.5 ng/mL) are shown in Figure 6. All samples were free of matrix interference at their respective retention times in the chromatograms.
Examples of chromatograms (see Figure 6) of selected MRM transmissions (Table 2, bolded ones) for all investigated analytes confirmed that the described method uses UniSpray ion source is adequate for identification of all considered glucocorticoids.
All substances in the method are equally distributed over the chromatogram, and their retention times were between 3.02 min and 9.73 min, as shown in Figure 7. As mentioned in the section above, any components interfering in the identification of analytes have not occurred. Retention times obtained from 168 injections were very stable (Table 2). Established RRT values met the WADA’s criteria described in the Technical Document TD2023IDCR [19].
Figure 7.
A plot of the chromatographic distribution of all 27 glucocorticoids in the method.
The extraction recovery of the method showed, with one exception (28.3% for prednisolamate), that percentages of recovery ranged between 65.4% and 103.9% (Table 3).
Precision for all investigated substances was below 15, suggesting that the proposed method is fit for purpose.
LOD, LOQ, and coefficients of determination (R2) are summarized in Table 3. The process of validation demonstrated that the presented method meets the WADA’s criteria through expressed LOD and LOQ values, ranging from 0.06 ng/mL to 0.15 ng/mL for LOD and 0.75 ng/mL, respectively. It seems that these values were also affected by the use of the UniSpray source, which indicated the high sensitivity of the method. The calibration curves (n = 12) were considered acceptable with all R2 > 0.95.
Papers show only a few reports refer to the identification of synthetic glucocorticoids in urine. Kim N.S et al. [8] obtained much higher LOD and LOQ values; however, they identified targeted compounds in cosmetics. Another study [20] was conducted on horses and dogs. In the present research on the accuracy and intra-series precision of the method for identifying glucocorticoids, the obtained values were acceptable, considering that the results were achieved at five different concentration levels (low, moderate, and high), as mandated by method validation standards [21].
Relative standard deviation was obtained at levels below and/or equal to (≤) 15%, regardless of the analyzed concentration and matrix composition. The obtained results suggested that the presented method was suitable for testing urine.
CV values below 12.39% suggest high intra-method measurement repeatability (Table 4). The accuracy ranges of the investigated substances were between 0.001% (for 3 ng/mL 21-desacetylamcinonide) and 9.58% (for 30 ng/mL amcinonide). The accuracy and precision values below 15% support the overall conclusion that they are sufficient for precise quantitative measurements.
Carryover was not observed. Visual inspection of chromatograms of the blank urine samples revealed no noticeable carryover (<0.1%).
5. Conclusions
The presented method with the use of the UniSpray source allows for the simultaneous detection and identification of 27 glucocorticoids in urine by means of the LC-MS/MS approach and is fit for purpose. The method discussed in this paper is rapid and straightforward while being selective and universal, meaning that it may be a useful tool both in screening and targeted anti-doping analyses and toxicology procedures.
Author Contributions
Conceptualization, M.W. and D.K.; methodology, M.W., K.G. and D.K.; software, M.W.; validation, M.W., K.G., A.D., P.K. and D.K.; formal analysis, M.W., K.G., A.D. and P.K.; investigation, M.W. and D.K.; resources, M.W. and D.K.; data curation, D.K.; writing—original draft preparation, M.W. and D.K.; writing—review and editing, M.W., D.K., K.G., A.D. and P.K.; visualization, M.W. and A.D.; supervision, D.K.; project administration, D.K.; funding acquisition, D.K. All authors have read and agreed to the published version of the manuscript.
Funding
This research was funded by the Ministry of Health of the Republic of Poland grant number 1/85195/PLAD/2022/4186/406.
Institutional Review Board Statement
Not applicable.
Informed Consent Statement
Not applicable.
Data Availability Statement
Not applicable.
Acknowledgments
Financial support from the Ministry of Health of the Republic of Poland under 478 project number 1/85195/PLAD/2022/4186/406 is gratefully acknowledged.
Conflicts of Interest
The authors declare no conflict of interest.
References
- Strehl, C.; Spies, C.M.; Buttgereit, F. Pharmacodynamics of glucocorticoids. Clin. Exp. Rheumatol. 2011, 29 (Suppl. 68), S13–S18. [Google Scholar] [PubMed]
- Ahi, S.; Beotra, A.; Dubey, S.; Upadhyay, A.; Jain, S. Simultaneous identification of prednisolone and its ten metabolites in human urine by high-performance liquid chromatography-tandem mass spectrometry. Drug Test. Anal. 2012, 4, 460–467. [Google Scholar] [CrossRef]
- Vegiopoulos, A.; Herzig, S. Glucocorticoids, metabolism and metabolic diseases. Mol. Cell. Endocrinol. 2007, 275, 43–61. [Google Scholar] [CrossRef] [PubMed]
- Mazzarino, M.; Piantadosi, C.; Comunita, F.; de la Torre, X.; Botre, F. Urinary excretion profile of prednisone and prednisolone after different administration routes. Drug Test. Anal. 2019, 11, 1601–1614. [Google Scholar] [CrossRef] [PubMed]
- Buckingham, J.C. Glucocorticoids: Exemplars of multi-tasking. Br. J. Pharmacol. 2006, 147, S258–S268. [Google Scholar] [CrossRef]
- Horst-Sikorska, W. Steroid therapy—Benefits and risks. Przew Lek 2008, 1, 133–136. [Google Scholar]
- Schäcke, H.; Döcke, W.D.; Asadullah, K. Mechanisms involved in the side effects of glucocorticoids. Pharmacol. Ther. 2002, 96, 23–43. [Google Scholar] [CrossRef]
- Kim, N.S.; Yoo, G.J.; Lee, J.H.; Park, H.J.; Cho, S.; Shin, D.W.; Kim, Y.; Baek, S.Y. Determination of 43 prohibited glucocorticoids in cosmetic products using a simultaneous LC-MS/MS method. Anal. Methods 2017, 9, 2104–2115. [Google Scholar] [CrossRef]
- Ganong, W.F. Physiology; Medical Publishing PZWL: Warsaw, Poland, 2007. [Google Scholar]
- Wrzeciono, U.; Zaprutko, L. Chemistry of Natural Compounds; Medical Academy Publishing of Karol Marcinkowski in Poznan: Poznan, Poland, 2001. [Google Scholar]
- Haneef, J.; Shaharyar, M.; Husain, A.; Rashid, M.; Mishra, R.; Parveen, S.; Ahmed, N.; Pal, M.; Kumar, D. Application of LC-MS/MS for quantitative analysis of glucocorticoids and stimulants in biological fluids. J. Pharm. Anal. 2013, 3, 341–348. [Google Scholar] [CrossRef] [PubMed]
- The World Anti-Doping Code 2021. Available online: https://www.wada-ama.org/en/resources/world-anti-doping-program/world-anti-doping-code (accessed on 16 January 2023).
- The World Anti-Doping Code. The 2004 Prohibited List International Standard, World Anti-Doping Agency, Montreal (Canada). 2004. Available online: https://www.wada-ama.org/sites/default/files/resources/files/WADA_Prohibited_List_2004_EN.pdf (accessed on 16 January 2023).
- The World Anti-Doping Code. The 2022 Prohibited List International Standard, World Anti-Doping Agency, Montreal (Canada). 2022. Available online: www.wada-ama.org (accessed on 16 January 2023).
- The World Anti-Doping Agency. Minimum Required performance level: TD2022MRPL. World Anti-Doping Agency, Montreal (Canada). 2022. Available online: www.wada-ama.org (accessed on 16 January 2023).
- Bajic, S. Atmospheric Pressure Ion Source by Interacting High Velocity Spray with a Target. U.S. Patent no. 8809777, 19 August 2014. [Google Scholar]
- Galani, J.H.Y.; Houbraken, M.; Van Hulle, M.; Spanoghe, P. Comparison of electrospray and UniSpray, a novel atmospheric pressure ionization interface, for LC-MS/MS analysis of 81 pesticide residues in food and water matrices. Anal. Bioanal. Chem. 2019, 411, 5099–5133. [Google Scholar] [CrossRef] [PubMed]
- Waters Corporation; Waters Application Note; Hammond, J.; Sanig, R.; Kirk, J.; Wrona, M. A Comparative Study of Electrospray and UniSpray Sources Using ACQUITY UPC2. May 2018. Available online: https://www.waters.com/content/dam/waters/en/app-notes/2018/720006286/720006286-de.pdf (accessed on 16 January 2023).
- The World Anti-Doping Agency (WADA). Minimum Criteria for Chromatographic-Mass Spectrometric Confirmation of The Identity of Analytes for Doping Control Purposes. Available online: https://www.wada-ama.org/en/resources/lab-documents/td2023idcr (accessed on 1 January 2023).
- Webster, T.E. A New Robust Technique for Testing of Glucocorticosteroids in Dogs and Horses; Retrospective Theses and Dissertations; Iowa State University: Ames, IA, USA, 2007; p. 15029. [Google Scholar]
- Scientific Working Group for Forensic Toxicology (SWGTOX). Standard Practices for Method Validation in Forensic Toxicology. J. Anal. Toxicol. 2013, 37, 452–474. [Google Scholar] [CrossRef] [PubMed]
Disclaimer/Publisher’s Note: The statements, opinions and data contained in all publications are solely those of the individual author(s) and contributor(s) and not of MDPI and/or the editor(s). MDPI and/or the editor(s) disclaim responsibility for any injury to people or property resulting from any ideas, methods, instructions or products referred to in the content. |
© 2023 by the authors. Licensee MDPI, Basel, Switzerland. This article is an open access article distributed under the terms and conditions of the Creative Commons Attribution (CC BY) license (https://creativecommons.org/licenses/by/4.0/).













