Abstract
In the process of the comprehensive recovery and utilization of discarded lithium-ion batteries via acid leaching, a large number of NiS and CoS mixed materials are produced. To improve the metal recovery rate, the kinetics and rate-determining step of the oxygen-rich pressurized acid leaching of Ni and Co were investigated. The results showed that the leaching rates of Ni and Co were greater than 99% under the following conditions: sulfuric acid (leaching agent) concentration of 95 g/L, liquid-to-solid ratio of 6:1, leaching time of 120 min, temperature of 110 °C, stirring speed of 400 r/min, 90% oxygen-rich atmosphere, and pressure of 1.2 MPa. The leaching of Ni and Co was described by the shrinking unreacted core model, and the leaching rates of Ni and Co conformed to the kinetic equation 1 − (1 − x)1/3 = k·t. The apparent activation energies of the Ni and Co leaching reactions were 50.87 and 45.6 kJ/mol, respectively, and the leaching process was found to be controlled by the chemical reaction at the interface.
1. Introduction
According to data released by the China Automotive Power Battery Industry Innovation Alliance [1], the total sales volume of power batteries in 2019 was 75.6 GWh, a year-on-year increase of 21.4%. The sales volume of NMC (short for nickel, manganese, and cobalt composite) series ternary batteries amounted to 53.0 GWh, a year-on-year increase of 53.4%; in addition, the sales volume of lithium iron phosphate batteries was 20.6 GWh, a year-on-year decrease of 15.6%. Overall, ternary batteries accounted for 70.0% of the total sales, a year-on-year increase of 15%. With the increase in the market demand for power batteries, the number of scrapped batteries will inevitably increase. In 2020, the global mass of waste lithium-ion batteries exceeded 500,000 tons. It is estimated that by 2023, the global scrapped amount will reach approximately 1.16 million tons and 3 million tons by 2027. If comprehensive recycling and utilization are not conducted, there will be severe environmental pollution and waste of valuable metal resources. Therefore, considering the related resource utilization, environmental protection, and economic benefits, the development and implementation of effective recycling and utilization methods for waste power batteries are urgently needed. Moreover, to ensure the sustainable development of the emerging electric vehicle industry, power batteries in the late life cycle stage must be recycled, forming a closed loop.
The comprehensive recycling of waste lithium-ion batteries via the acid leaching method produces a leaching solution containing high concentrations of Ni and Co and low concentrations of Al, Si, and other impurities. The Al and Si impurities are generally removed from the leaching solution via a chemical method whereby light calcium carbonate is used as a neutralizing agent. After the chemical impurity removal, the Al and Si contents of the leaching solution are controlled at approximately 0.05 g/L. Subsequently, iron removal is performed, during which a large amount of Al and Si slag is produced. During the removal of Al and Si using light calcium carbonate, the pH is controlled at approximately 5.0, and under such a pH, part of the Ni and Co in the leaching solution precipitates into NiCO3 and CoCO3 and mixes with the aluminum–silicon slag, reducing the recovery rates of the Ni and Co. At present, the handling of aluminum–silicon slag containing a high Ni content is performed via acid leaching [2,3,4,5,6,7,8,9,10,11,12,13] and pressure acid leaching [14,15,16,17,18,19,20]. The leaching solution with high Ni and low Co and Al contents obtained after acid leaching is treated with Na2S to precipitate the Ni, Co, and Al from the Ni mother liquor, producing a mixture of high-grade NiS and CoS. However, NiS and CoS have relatively stable chemical properties and cannot be completely converted into NiSO4 and CoSO4 solutions by sulfuric acid leaching at normal pressure. Therefore, the focus of this study was the efficient conversion of NiS and CoS into NiSO4 and CoSO4 solutions to ensure the subsequent preparation of electrodeposited Ni and Co, thereby achieving the comprehensive recovery and utilization of Ni and Co from waste batteries.
Although several studies on the pressurized acid leaching of nickel ore have been reported [21,22,23,24,25], there are no reports of kinetic studies of a mixture of high-grade NiS and CoS obtained via chemical precipitation in a high-pressure oxygen-rich environment. In this study, the reaction mechanism and feasibility of the oxygen-rich pressure leaching of a mixture of high-grade NiS and CoS were analyzed. The effects of the stirring rate, reaction temperature, initial acidity, and reaction time on the leaching rate were investigated. The kinetic factors controlling Ni and Co leaching were also discussed to provide technical support for the wet refining and electrodeposition of NiSO4 and CoSO4 from NiS and CoS mixed materials.
2. Experimental Section
2.1. Materials and Equipment
The chemical composition of the NiS and CoS mixed materials used in this study was analyzed by means of chemical analysis, and the results are listed in Table 1.
Table 1.
Analysis results of the NiS and CoS mixed materials (%).
All the chemical reagents used in this study, such as H2SO4 and O2, were of industrial grade. More specifically, 98% H2SO4 produced by Yunnan Copper Industry and 99% O2 produced by Kunming Tianbei Special Gas Co., Ltd. (Kunming, China) were used. The oxygen pressure acid leaching was performed in a 2 L titanium high-pressure reactor, as shown in Figure 1. Atomic absorption spectrophotometry (AA-7000, Shimadzu, Guangzhou, China) was used to determine the concentrations.
Figure 1.
Titanium high-pressure reactor.
2.2. Experimental Methods
This study was carried out using a 2 L titanium-lined autoclave. A dry mass of 200 g of mixed NiS and CoS was accurately weighed and placed in the reactor (under high pressure). Sulfuric acid (75–100 g/L) was added to control the liquid-to-solid ratio at 6:1. The stirring speed was adjusted to a predetermined value (250–550 r/min), O2 was blown into the reactor to the required pressure (0.8–1.6 MPa), and the reactor was heated to the required temperature. After a predetermined reaction time (1–3 h), cooling water was passed through the kettle body to cool the reactor. When the temperature dropped below 90 °C, the kettle was opened, and the reaction materials were extracted for liquid–solid separation.
2.3. Process Flow Chart
In order to remove impurities such as Al and Si from the leaching solution obtained via the acid leaching of waste lithium-ion batteries, a chemical impurity removal method is generally adopted. Such a method typically uses light calcium carbonate as a neutralization and impurity removal agent to remove Al and Si from the leaching solution. After the chemical impurity removal, the contents of Al and Si in the leaching solution can be controlled within 0.05 g/L. After the impurity removal, the solution enters the extraction separation system for deep purification and impurity separation, and the purification solution is obtained for the production of nickel sulfate (cobalt sulfate)/electrolytic nickel (cobalt) products. Ni and Co are included in the aluminum–silicon slag obtained by removing aluminum–silicon3 and CoCO3 for the recovery of Ni and Co from aluminum silicon slag. Adding sulfuric acid to dissolve the aluminum silicon slag means that Si will not leach, leading to a high Ni and low Co and Al leaching solution. In this case, a chemical precipitation method is used, with Na2S being used as the precipitator to sink Ni and Co and Al being opened from the mother liquor of the nickel sedimentation to obtain high-grade NiS/CoS mixed materials. The NiS/CoS mixed materials are obtained via oxygen-rich pressure acid leaching, and the leaching solution is incorporated into the extraction separation system. The process flow chart is shown in Figure 2.
Figure 2.
Process flow chart.
2.4. Analysis Method
- (1)
- Moisture analysis method
Weigh 100 g of NiS/CoS mixed materials, put them in a disk with a volume of about 250 mL, put the materials in the oven, open the oven, and dry at 105 °C for 24 h before taking them out. After cooling in indoor air and weighing, an air-dried sample can be obtained. The H2O content can be calculated as follows: (1 − weight after drying/mass before drying) × 100%.
- (2)
- Metal content analysis method
Take 1.0 g of dried NiS/CoS mixed material, put it into a beaker with magnetons, add 40 mL dilute HNO3 solution (HNO3 is produced by Xinxiang Senfeng Chemical Co., Ltd., Xinxiang, China), cover with 20% dilute HNO3 solution, put the beaker into a water bath with magnetic stirring, and turn on the magnetic stirring. Heat at 80 °C for 1 h until the solution is a clear green liquid. Filter out the sulfur element on the upper layer, wash the filter paper with deionized water 3 times, combine the filtrate, and keep the volume at 250 mL. The solid solution can be detected in an AA-7000 Shimadzu atomic absorption spectrophotometer to determine the metal content.
2.5. Evaluation Indicators
The Ni and Co contents of the leaching solution and slag were analyzed using the flame atomic absorption method, and the leaching rates of Ni and Co (η) were calculated.
where w1 is the mass fraction of Ni and Co in the leaching residue (%), m1 is the mass of the leaching residue (g), w0 is the ma ss fraction of Ni and Co in the NiS and CoS mixture (%), and m0 is the mass of the NiS and CoS mixture (g).
3. Results and Discussion
3.1. Effect of the Initial Concentration of Sulfuric Acid on the Leaching Rates of Ni and Co
In the experiment, industrial sulfuric acid was used as the leaching agent, the liquid-to-solid ratio was 6:1, the leaching time was 120 min, the leaching temperature was 110 °C, the stirring speed was 400 r/min, the atmosphere was 90% oxygen-rich, and the pressure was controlled at 1.2 MPa. The effect of the initial sulfuric acid concentration on the leaching rates of Ni and Co was investigated, and the test results are shown in Figure 3.
Figure 3.
Influence of initial sulfuric acid concentration on the leaching rates of nickel and cobalt.
As shown in Figure 3, the leaching rates of Ni and Co gradually increased with an increasing initial sulfuric acid concentration. At initial sulfuric acid concentrations exceeding 95 g/L, the leaching rates of Ni and Co did not increase significantly and were approximately 99.5% and 99.0%, respectively. Therefore, it was appropriate to maintain the initial sulfuric acid concentration at 95 g/L. An increase in the initial acidity increases the amount of H+ per unit volume of the solution. Under the same solid–liquid contact area, more H+ reacts with a variety of minerals, creating a concentration difference between the leaching solution and the surface of the ore particles and the reaction product layer inside and outside, thereby increasing the void and fracture space [26].
3.2. Effect of Stirring Speed on the Leaching Rates of Ni and Co
This experiment was conducted under the following conditions: sulfuric acid concentration of 95 g/L, liquid-to-solid ratio of 6:1, leaching time of 120 min, leaching temperature of 110 °C, 90% oxygen-rich atmosphere, and pressure of 1.2 MPa. The effect of the stirring speed on the leaching rates of Ni and Co was investigated, and the test results are shown in Figure 4.
Figure 4.
Effect of stirring speed on the leaching rates of Ni and Co.
The stirring speed is an important factor that affects diffusion [23]. As shown in Figure 4, the Ni and Co leaching rates increased with an increasing stirring speed, which is attributed to the acceleration of the mass transfer. The leaching rates of Ni and Co did not increase significantly at stirring rates exceeding 400 rpm. As a result, when the stirring rate reached 400 r/min, the leaching rates of Ni and Co were no longer affected by the diffusion of the liquid boundary layer; hence, it is appropriate to control the stirring speed at 400 r/min.
3.3. Effect of Reaction Temperature on the Leaching Rates of Ni and Co
This experiment was conducted under the following conditions: 95 g/L industrial sulfuric acid concentration, liquid-to-solid ratio of 6:1, leaching time of 120 min, stirring speed of 400 r/min, 90% oxygen-rich atmosphere, and pressure of 1.2 MPa. The effect of the leaching temperature on the leaching rates of Ni and Co was investigated, and the results are shown in Figure 5.
Figure 5.
Effect of reaction temperature on the leaching rates of Ni and Co.
As shown in Figure 5, the effect of the leaching temperature on the leaching rates of Ni and Co was studied in the range of 95–120 °C. During the oxygen pressure leaching, the leaching reaction rate accelerated with an increasing temperature. Under the employed reaction conditions, the leaching rates of Ni and Co reached 99.63% and 98.92%, respectively, at 110 °C and did not increase significantly with further increases in temperature to 120 °C; therefore, 110 °C was considered the optimum reaction temperature.
3.4. Effect of Leaching Time on the Leaching Rates of Ni and Co
This experiment was conducted under the following conditions: 95 g/L industrial sulfuric acid concentration, liquid-to-solid ratio of 6:1, leaching temperature of 110 °C, stirring speed of 400 r/min, 90% oxygen-rich atmosphere, and pressure of 1.2 MPa. The effect of the leaching time on the Ni and Co leaching rates at different leaching temperatures was investigated. The test results are shown in Figure 6 and Figure 7.
Figure 6.
Effect of leaching time on Ni leaching rate at different temperatures.
Figure 7.
Effect of leaching time on Co leaching rate at different temperatures.
As shown in Figure 6 and Figure 7, the effect of the leaching temperature on the leaching rates of Ni and Co was investigated in the range of 90–110 °C. The leaching reaction accelerated with an increasing temperature. Under the given conditions, at 120 min, the leaching rates of Ni and Co reached 99.16% and 99.02%, respectively, at 110 °C, whereas they reached 80.79% and 81.16%, respectively, at 90 °C. This indicates that the time required for Ni and Co leaching to reach equilibrium was reduced at a higher reaction temperature. At a reaction temperature of 110 °C, the leaching rates of Ni and Co did not significantly improve after 120 min, so 120 min was considered the optimum reaction time.
3.5. Reproducible Experimental Study
Based on the optimal conditions determined in the above-mentioned single-factor experiments, under the conditions of 95 g/L sulfuric acid concentration, 6:1 liquid-to-solid ratio, 120 min leaching time, 110 °C temperature, 400 r/min stirring speed, an atmosphere with 90% oxygen content, and 1.2 MPa pressure, three groups of reproducibility experiments were performed. The results are presented in Table 2.
Table 2.
Reproducibility of pressure leaching of an oxygen-rich NiS/CoS mixture.
By analyzing the data in Table 2, it can be seen that under the optimized conditions for oxygen-rich pressure leaching, the Ni and Co in the NiS/CoS mixed raw materials were leached into the leaching solution at an average leaching rate of 99.49% and 99.38% for Ni and Co, respectively, producing a leaching residue with Ni and Co contents of less than 0.5% and 0.02%, respectively. This shows a higher recovery of Ni and Co. No Fe content was detected in the leaching residue, indicating that the Fe was 100% leached.
3.6. Analysis of the Effect of Oxygen Pressure on Acid Leaching of the Mixture of NiS and CoS
3.6.1. Oxidation Reaction of Sulfur
During the acid leaching of NiS and CoS, S takes on multiple oxidation states because the oxidation of S2− is a complex process. The stable S-containing compounds include H2S, HS−, S2−, HSO4−, and elemental S, as well as the unstable intermediate products S2O32− and S2O62−. E–pH diagrams for different systems at 110 °C and 1.0 MPa are shown in Figure 8. As shown in the potential–pH diagram of the S–H–O system in Figure 8a [27], the S2− in the NiS and CoS is easily oxidized into SO42− under alkaline conditions, its potential is low (–0.48 V), and the reaction process is efficient. While elemental S only forms in an acidic medium with a pH < 6, at higher redox potentials, the formed elemental S can be oxidized into thiosulfuric acid or sulfate, although it must undergo two higher-potential state (S2O32− and S2O62−) changes. The reaction process is complex, and the oxidation process is difficult. The lower limit of the pH in the stable zone of S changes with changes in the H2SO4 concentration.
Figure 8.
E–pH diagrams for different systems at 110 °C and 1.0 MPa.
Controlling the reaction temperature allows the oxidation reaction to occur at a higher oxygen partial pressure and in a shorter time, which maintains the sulfuric acid concentration in the reaction system. The oxygen pressure leaching of NiS and CoS changes the process, producing acid instead of consuming it. In the end, the reaction is controlled in the stable region of sulfur, and S2− generates elemental S.
3.6.2. Oxidation Leaching Mechanism for NiS and CoS
The potential–pH diagram of the Ni–S–H–O system in Figure 8b [27] shows that the standard oxidation–reduction potential of NiS is –0.145 V, indicating that it is easy to oxidize. In an acid medium (pH < 4), NiS is oxidized to form Ni2+ and S; in a near-neutral solution, HSO4−, NiO, S, and SO42− are formed; and in an alkaline solution, SO42− and HNiO2− are formed. The elemental S is stable in the Ni2+ solution. Therefore, at a pH < 4, the oxidation of NiS proceeds to the formation of S.
The potential–pH diagram of the Co–S–H–O system in Figure 8c [27] shows that the standard oxidation–reduction potential of CoS is −0.277 V, indicating that it is easy to oxidize. Figure 8c shows that in an acidic medium (pH < 4), CoS is oxidized to form Co2+, S, and HSO4−; in a near-neutral solution, Co3O4, S, and SO42− are formed; and in an alkaline solution, SO42−, Co (OH)2, and Co(OH)3 are formed. The elemental S is stable in the Co2+ solution. Therefore, at a pH < 4, the oxidation of CoS proceeds to form S.
During oxygen pressure leaching, the oxidative dissolution of NiS and CoS into soluble sulfates is more complicated. The main reactions involved are as follows:
NiS + 2O2 = NiSO4
8NiS + O2 + 2H2SO4 = 2Ni3S4↓+ 2NiSO4 + 2H2O
Ni3S4 + 6O2 = 3NiSO4 + S↓
2NiS + O2 + 2H2SO4 = 2NiSO4 + 2H2O + 2S↓
CoS + 2O2 = CoSO4
2CoS + O2 + 2H2SO4 = 2CoSO4 + 2H2O + 2S↓
These reactions eventually produce NiSO4, CoSO4, and S.
3.6.3. Oxidation of H2S
During oxygen pressure acid leaching, the FeSO4 in NiS and a small amount of added Na2S react with H2SO4 to form H2S and the corresponding sulfates, as shown in the following equations:
MeS + H2SO4 = MeSO4 + H2S↑
O2 + 2H2S = 2H2O + S↓
3.6.4. Catalytic Oxidation of Fe Ions
The potential–pH diagram of the Fe–S–H–O system (Figure 8d) shows that the standard oxidation–reduction potentials of FeS and FeS2 are −0.065 and −0.423 V, respectively. FeS is easily oxidized in acidic solutions, and the main reactions are as follows:
2FeS + O2 + 2H2SO4 = 2FeSO4 + 2H2O + 2S↓
FeS + H2SO4 = FeSO4 + H2S↑
4FeSO4 + O2 + 2H2SO4 = 2Fe2(SO4)3 + 2H2O
Fe3+ is only stable in acidic solutions. It is easily hydrolyzed into Fe2O3 under weakly acidic conditions (pH > 1):
Fe2(SO4)3 + 3H2O = Fe2O3 + 3H2SO4
Fe3+ is a strong oxidant that can oxidize NiS, CoS, and H2S into their corresponding sulfates and elemental S during oxygen pressure leaching:
MeS + Fe2(SO4)3 = 2FeSO4 + MeSO4 + S↓
2Fe3 + +H2S = 2Fe2 + +2H + +S↓
As oxygen-rich high-pressure leaching is an acid-consuming process, some of the Fe can be hydrolyzed into Fe2O3 in the slag, as long as the acidity of the solution at the end point of the leaching is controlled at a low level. Under these conditions, it can also be hydrolyzed into jarosite (Na2Fe6(SO4)4(OH)12) in the slag to reduce the Fe content of the leaching solution. Simultaneously, Fe3+ can oxidize elemental S into H2SO4, and the resulting FeSO4 can be reoxidized into high-iron sulfate by the O2 in the autoclave. Therefore, during oxygen pressure leaching, iron ions transfer electrons through the Fe3+ and Fe2+ valence changes, and “catalytic” oxidation through electron transfer occurs. This “catalytic” oxidation is a liquid-phase reaction. Compared with the gas–solid O2 oxidation reaction of solid NiS and CoS, this reaction is faster, and it is a very important reaction step in oxygen pressure acid leaching.
According to Figure 8, NiS and CoS do not decompose at a pH = 7 when FeS exists in the material and the redox potential of the system is less than −0.5 V. At a certain potential and pH value, S is oxidized into SO42−, the acidity of the reaction system increases, the pH value decreases, and the potential increases. Fe is oxidized into Fe3+ and precipitates into the slag. At a pH = 2, the reaction system begins to stably accumulate ferric sulfate, and most of the FeS is oxidized into elemental S. The potential of the system increases to 0.10–0.15 V, and some of the NiS and CoS begins to oxidize and form Ni2+ and S. After the decomposition of FeS, the potential of the system increases to 0.20–0.25 V, and NiS and CoS begin to oxidize until complete decomposition.
To sum up, three main reactions occur during the oxygen pressure acid leaching of mixed NiS and CoS materials: direct oxidation of sulfides, H2S oxidation, and Fe-ion-catalyzed oxidation of NiS, CoS, and H2S. Although the direct oxidation of sulfides is slow, the leaching of Ni and Co can be completed at a relatively low oxygen pressure and in a relatively short time with the help of H2S oxidation and Fe3+/Fe2+ electron migration-catalyzed oxidation. Most of the S ends up in an elemental form, and part of the iron remains in the leaching residue in the form of ferric red or sodium jarosite.
3.7. Leaching Kinetics Model
Multiple methods can be used to study the kinetics of liquid–solid multiphase reactions. Among them, the most commonly used reaction model is the shrinking unreacted core model [28]. The results in Section 3.2 show that at a stirring rate of 400 r/min, the effect of liquid boundary layer diffusion can be excluded. The leaching rate data in Figure 6 and Figure 7 were substituted into the shrinking unreacted core model, and the results satisfied the following equation: 1 − (1 − x)1/3= k·t. That is, the kinetic curve controlled by the interfacial chemical reaction showed a good linear regression relationship (Figure 9 and Figure 10). This indicates that the leaching of Ni and Co followed the shrinking unreacted core model, which was controlled by the interfacial chemical reaction.
Figure 9.
Kinetic curves of Ni leaching at different temperatures.
Figure 10.
Kinetic curves of Co leaching at different temperatures.
3.8. Apparent Activation Energy
The apparent activation energy is an important parameter in kinetic studies because the rate-controlling step of the leaching process can be determined by measuring the kinetic relationship and the apparent activation energy of the leaching system. The leaching rate constants of Ni and Co at different temperatures (k1 and k2) can be obtained by calculating the slopes in Figure 9 and Figure 10, respectively, as shown in Table 3 and Table 4.
Table 3.
Ni leaching rate constants at different temperatures.
Table 4.
Co leaching rate constants at different temperatures.
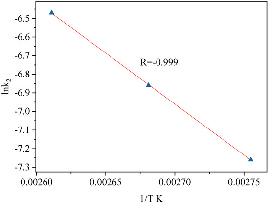
Table 2 and Table 3 show that the rate constants of the Ni and Co leaching reactions increased significantly with an increasing temperature. This is consistent with the effect of the temperature on the leaching rates discussed in Section 3.3, indicating that the Ni–Co leaching reaction was controlled by the interfacial chemical reaction. To further verify the control steps of the reaction, ln k1 and ln k2 were plotted against T−1 (Figure 11 and Figure 12, respectively). These figures show that ln k1 and ln k2 showed a very good linear relationship with T−1, with correlation coefficients of −0.997 and −0.999 and slopes of −6118.584 and −5485.34, respectively. According to the Arrhenius equation, k = AE−E/RT, the apparent activation energies of the Ni and Co leaching reactions are 50.87 and 45.6 kJ/mol, respectively. The calculated activation energies were within 40–300 kJ/mol, which further proves that the oxygen pressure acid leaching of Ni and Co from the mixture of NiS and CoS is controlled by the interfacial chemical reaction step.
Figure 11.
ln k1–T−1 relationship for Ni leaching.
Figure 12.
ln k2–T−1 relationship for Co leaching.
4. Conclusions
Mixing at a rate of 400 r/min and higher eliminated the effect of liquid boundary layer diffusion. The leaching rates of Ni and Co significantly increased with an increasing temperature. The experimental results showed that the leaching rates of Ni and Co were more than 99% under the following conditions: sulfuric acid concentration of 95 g/L, liquid-to-solid ratio of 6:1, leaching time of 120 min, temperature of 110 °C, stirring speed of 400 r/min, atmosphere with 90% oxygen content, and pressure of 1.2 MPa. Kinetic studies showed that the kinetics of the Ni and Co leaching reactions can be described by the following equation: 1 − (1 − x)1/3 = k·t. The leaching process followed the shrinking unreacted core model, as controlled by the interfacial chemical reaction, and the apparent activation energies of the Ni and Co leaching reactions were 50.87 and 45.6 kJ/mol, respectively.
The oxygen-rich pressure leaching process could be introduced into the waste battery recycling process to solve the problem of the loss of nickel and cobalt recovery in the process of desilication, improve the comprehensive recovery rate of nickel and cobalt throughout the whole process, and promote the optimization of the waste battery recovery process.
Author Contributions
Conceptualization, X.P., L.S., L.L. and G.X.; data curation, X.P. and B.X.; formal analysis, X.P. and G.X.; funding acquisition, L.S. and T.Q.; investigation, X.P. and L.L.; methodology, X.P., T.Q. and B.X.; resources, X.P. and G.X.; software, X.P.; supervision, Z.Y.; validation, X.P. and Z.Y.; visualization, X.P.; writing—original draft, X.P.; writing—review and editing, L.S. All authors have read and agreed to the published version of the manuscript.
Funding
This work was funded by the Academician Free Exploration Fund of Yunnan Province, China (No. 2022HA006) and the National Science Foundation of China (No. 52204362 and 52260020).
Institutional Review Board Statement
This research received no external funding.
Informed Consent Statement
Not applicable.
Data Availability Statement
Not applicable.
Conflicts of Interest
The authors declare no conflict of interest.
References
- Zhang, B.; Liu, G.; Wang, F.; Liu, Y. Market analysis of waste power battery recycling in 2020. Compr. Util. Resour. China 2020, 38, 102–105. [Google Scholar] [CrossRef]
- Astuti, W.; Hirajima, T.; Sasaki, K.; Okibe, N. Kinetics of Nickel Extraction from Indonesian Saprolitic Ore by Citric Acid Leaching under Atmospheric Pressure. Min. Metall Explor. 2015, 32, 176–185. [Google Scholar] [CrossRef]
- Thubakgale, C.K.; Mbaya, R.K.K.; Shongwe, M.B. Characteristics of leaching of nickel from a mafic overburden in sulfuric acid and sodium chloride medium at atmospheric pressure. JOM 2019, 71, 4616–4623. [Google Scholar] [CrossRef]
- Luo, W.; Feng, Q.; Ou, L.; Zhang, G.F.; Chen, Y. Kinetics of Saprolitic Laterite Leaching by Sulphuric Acid at Atmospheric Pressure. Miner. Eng. 2010, 23, 458–462. [Google Scholar] [CrossRef]
- McDonald, R.G.; Whittington, B.I. Atmospheric acid leaching of nickel laterites review: Part I. Sulphuric acid technologies. Hydrometallurgy 2008, 91, 35–55. [Google Scholar] [CrossRef]
- Kursunoglu, S.; Kaya, M. Atmospheric pressure acid leaching of Caldag lateritic nickel ore. Int. J. Miner. Process. 2016, 150, 1–8. [Google Scholar] [CrossRef]
- Swamy, Y.V.; Rao, K.V.K. Extraction of Nickel and Cobalt from Reduced Chromite Overburden by Dilute Sulfuric-Acid Leaching. Trans. Indian Inst. Metals 1994, 47, 409. [Google Scholar]
- Whittington, B.; Muir, D. Pressure acid leaching of nickel laterites: A review. Miner. Process. Extr. Metullargy Rev. 2000, 21, 527. [Google Scholar] [CrossRef]
- Weston, D. Hydrometallurgical Treatment of Nickel Group Ores. U.S. Patent 3793432, 19 February 1974. [Google Scholar]
- Weston, D. Hydrometallurgical Treatment of Nickel, Cobalt and Copper Containing Materials. U.S. Patent 3793430, 19 February 1974. [Google Scholar]
- Monhemius, A.J. Treatment of laterite ores of nickel to produce ferronickel, matte or precipitated sulphide. In Extractive Metallurgy of Nickel; John Wiley & Sons Ltd.: Chichester, UK, 1987; pp. 63–71. [Google Scholar]
- Xu, Y.; Xie, Y.; Yan, L.; Yang, R.D. A new method for recovering valuable metals from low-grade nickeliferous oxide ores. Hydrometallurgy 2005, 80, 280–285. [Google Scholar] [CrossRef]
- Wang, X.; McDonald, R.G.; Hart, R.D.; Li, J.; Riessen, A. Acid resistance of goethite in nickel laterite ore from Western Australia. Part II. Effect of liberating cementations on acid leaching performance. Hydrometallurgy 2014, 141, 49–58. [Google Scholar] [CrossRef]
- Kosyakov, A.; Hamalainen, M.; Gromov, P.; Kasikov, A.; Masloboev, V.; Neradovsky, Y. Autoclave processing of low grade copper-nickel concentrates. Hydrometallurgy 1995, 39, 223–234. [Google Scholar] [CrossRef]
- Huang, K.; Li, Q.; Chen, J. Recovery of copper, nickel and cobalt from acidic pressure leaching solutions of low-grade sulfide flotation concentrates. Miner. Eng. 2007, 20, 722–728. [Google Scholar] [CrossRef]
- Tong, L.; Dreisinger, D. Interfacial properties of liquid sulfur in the pressure leaching of nickel concentrate. Miner. Eng. 2009, 22, 456–461. [Google Scholar] [CrossRef]
- Li, Y.; Perederiy, I.; Papangelakis, V.G. Cleaning of waste smelter slags and recovery of valuable metals by pressure oxidative leaching. J. Hazard. Mater. 2008, 152, 607–615. [Google Scholar] [CrossRef] [PubMed]
- Herreros, O.; Quiroz, R.; Manzano, E.; Boub, C.; Viñalsb, J. Copper extraction from reverberatory and flash furnace slags by chlorine leaching. Hydrometallurgy 1998, 49, 87–101. [Google Scholar] [CrossRef]
- Provis, J.L.; Deventer, J.S.J.; Rademan, J.A.M.; Lorenzen, L. A kinetic model for the acid-oxygen pressure leaching of Ni–Cu matte. Hydrometallurgy 2003, 70, 83–99. [Google Scholar] [CrossRef]
- Li, Y.; Papangelakis, V.G.; Perederiy, I. High pressure oxidative acid leaching of nickel smelter slag: Characterization of feed and residue. Hydrometallurgy 2009, 9, 185–193. [Google Scholar] [CrossRef]
- Loveday, B.K. The use of oxygen in high pressure acid leaching of nickel laterites. Miner. Eng. 2008, 21, 533–538. [Google Scholar] [CrossRef]
- Kar, B.B.; Swamy, Y.V.; Murthy, B.V.R. Design of experiments to study the extraction of nickel from lateritic ore by sulphatization using sulphuric acid. Hydrometallurgy 2000, 56, 387–394. [Google Scholar] [CrossRef]
- Rubisov, D.H.; Krowinkel, J.M.; Papangelakis, V.G. Sulphuric acid pressure leaching of laterites—Universal kinetics of nickel dissolution for limonites and limonitic/saprolitic blends. Hydrometallurgy 2000, 58, 1–11. [Google Scholar] [CrossRef]
- Whittington, B.I.; Johnson, J.A.; Quan, L.P.; McDonald, R.G.; Muiret, D.M. Pressure acid leaching of arid-region nickel laterite ore: Part II. Effect of ore type. Hydrometallurgy 2003, 70, 47–62. [Google Scholar] [CrossRef]
- Whittington, B.I.; McDonald, R.G.; Johnson, J.A.; Muir, D.M. Pressure acid leaching of arid-region nickel laterite ore: Part I: Effect of water quality. Hydrometallurgy 2003, 70, 31–46. [Google Scholar] [CrossRef]
- Huang, Y.; Song, L.; Liu, X.; Xiao, Y.F.; Wu, Y.; Chen, J.Y.; Wu, F.; Gu, Z.W. Hydroxyapatite coatings deposited by liquid precursor plasma spraying: Controlled dense and porous microstructures and osteoblastic cell responses. Biofabrication 2010, 2, 045003. [Google Scholar] [CrossRef] [PubMed]
- Ni, D.X.; Wang, Y.L. Extraction and Refining of Precious Metals, Revised Edition; Central South University Press: Changsha, China, 2003; pp. 333–342. [Google Scholar]
- Homma, S.; Ogata, S.; Koga, J.; Matsumoto, S. Gas–solid reaction model for a shrinking spherical particle with unreacted shrinking core. Chem. Eng. J. 2005, 60, 4971–4980. [Google Scholar] [CrossRef]
Disclaimer/Publisher’s Note: The statements, opinions and data contained in all publications are solely those of the individual author(s) and contributor(s) and not of MDPI and/or the editor(s). MDPI and/or the editor(s) disclaim responsibility for any injury to people or property resulting from any ideas, methods, instructions or products referred to in the content. |
© 2023 by the authors. Licensee MDPI, Basel, Switzerland. This article is an open access article distributed under the terms and conditions of the Creative Commons Attribution (CC BY) license (https://creativecommons.org/licenses/by/4.0/).











