Organizational Climate as a Key to Positive Mental Health and Academic Engagement in University Students: A Structural Equation Modeling Approach
Abstract
1. Introduction
2. Materials and Methods
2.1. Study Design, Variables, and Sample
2.2. Data Collection Instruments
2.3. Fieldwork
2.4. Data Analysis
3. Results
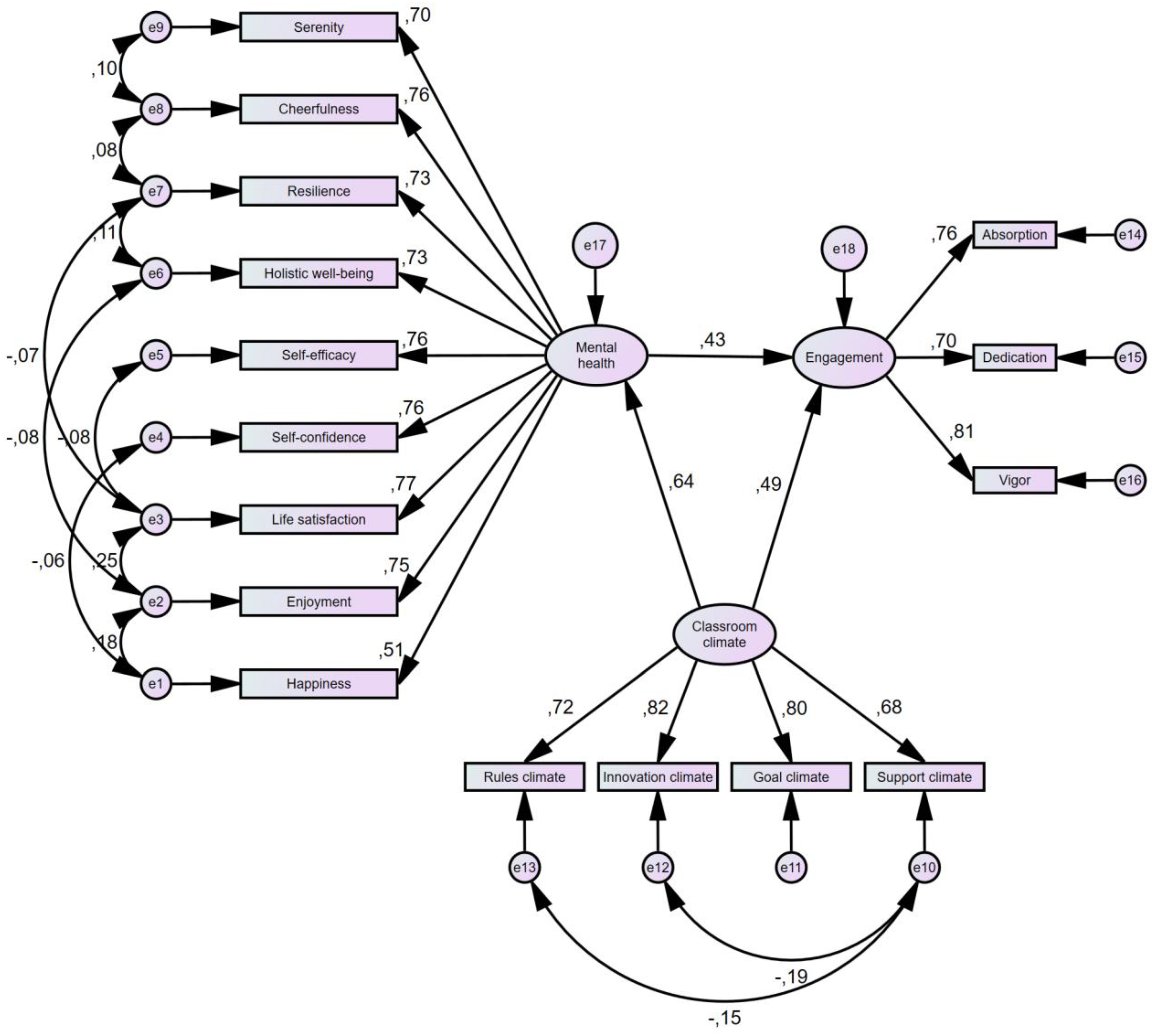
Structural Equation Model (SEM)
4. Discussion
Limitations and Future Projections
5. Conclusions
Author Contributions
Funding
Institutional Review Board Statement
Informed Consent Statement
Data Availability Statement
Conflicts of Interest
References
- Abe, C., & Hayashi, T. (2024). Relationship between school environment and motivation to learn (part 3): Analysis of the influence structure of school environment on motivation to learn/mental health using structural equation modeling. Journal of Environmental Engineering (Japan), 89(820), 304–314. [Google Scholar] [CrossRef]
- Albaqawi, H., Albagawi, B., Butcon, V., Alsaqri, S., & Pangket, P. (2022). Level of perceived stress and coping styles through positive mental health among nursing students in Hail, Saudi Arabia. International Journal of Advanced and Applied Sciences, 9(12), 108–113. [Google Scholar] [CrossRef]
- Arat, G., & Wong, W. C. P. (2019). Investigating resilience to facilitate positive mental health among South Asian minority students in Hong Kong. China Journal of Social Work, 12(3), 213–235. [Google Scholar] [CrossRef]
- Arroyo, J. C., & Orozco, F. C. E. (2016). Influence of academic engagement in graduate students’ loyalty: A structural equation modelling approach. Estudios Gerenciales, 32(140), 228–238. [Google Scholar] [CrossRef]
- Bardach, L., Yanagida, T., & Lüftenegger, M. (2020). Studying classroom climate effects in the context of multi-level structural equation modelling: An application-focused theoretical discussion and empirical demonstration. International Journal of Research and Method in Education, 43(4), 348–363. [Google Scholar] [CrossRef]
- Bermúdez-Aponte, J. J., Pedraza Ortiz, A., & Rincón Rivera, C. I. (2015). Student’s perspectives on the organizational climate of universities in Bogota. Revista Electronica de Investigacion Educativa, 17(3), 1–12. [Google Scholar]
- Bjørnsen, H. N., Espnes, G. A., Eilertsen, M.-E. B., Ringdal, R., & Moksnes, U. K. (2019). The Relationship Between Positive Mental Health Literacy and Mental Well-Being Among Adolescents: Implications for School Health Services. Journal of School Nursing, 35(2), 107–116. [Google Scholar] [CrossRef] [PubMed]
- Boufellous, S., Sánchez-Teruel, D., Robles-Bello, M. A., Lorabi, S., & Mendoza-Bernal, I. (2023). Psychometric Properties of the Positive Mental Health Scale in a Spanish Population. SAGE Open, 13(2), 1–7. [Google Scholar] [CrossRef]
- Brailovskaia, J., Teismann, T., Lewitzka, U., Gao, Z., Zhang, X. C., & Margraf, J. (2022). Suicidal ideation, suicide attempts and positive mental health in Chinese medical students. Journal of Affective Disorders Reports, 9, 100354. [Google Scholar] [CrossRef]
- Çeçen, A. R., & Vatandaşlar, S. E. (2021). Psychometric Properties of the Positive Mental Health Scale (PMH-Scale) among Turkish University Students. European Journal of Health Psychology, 28(2), 71–78. [Google Scholar] [CrossRef]
- Divecha, H., & Acharya, V. (2024). Perceptions about positive mental health among university students from Southern India: An occupational perspective. British Journal of Occupational Therapy, 87(1), 15–23. [Google Scholar] [CrossRef]
- Fiorilli, C., Barni, D., Russo, C., Marchetti, V., Angelini, G., & Romano, L. (2022). Students’ Burnout at University: The Role of Gender and Worker Status. International Journal of Environmental Research and Public Health, 19(18), 11341. [Google Scholar] [CrossRef]
- Fouilloux, C., Fouilloux-Morales, M., Tafoya, S. A., & Petra-Micu, I. (2021). Association between physical activity and positive mental health in medical students in Mexico: A cross-sectional study. Cuadernos de Psicologia del Deporte, 21(3), 1–15. [Google Scholar] [CrossRef]
- García-Buades, M. E., Ramis-Palmer, C., & Manassero-Mas, M. A. (2015). Climate for innovation, performance, and job satisfaction of local police in Spain. Policing, 38(4), 722–737. [Google Scholar] [CrossRef]
- Grégoire, S., Lachance, L., Bouffard, T., & Dionne, F. (2018). The Use of Acceptance and Commitment Therapy to Promote Mental Health and School Engagement in University Students: A Multisite Randomized Controlled Trial. Behavior Therapy, 49(3), 360–372. [Google Scholar] [CrossRef] [PubMed]
- Guangorena-Gómez, J. O., Lozano-Ochoa, I. I., Rivera-Medina, I. L., Méndez-Hernández, A., Espinosa-Fematt, J. A., & Muñoz-Yáñez, C. (2022). Relationship Among Blastocystis, the Firmicutes/Bacteroidetes Ratio and Chronic Stress in Mexican University Students. Current Microbiology, 79(3), 72. [Google Scholar] [CrossRef] [PubMed]
- Gulewitsch, M. D., Enck, P., Schwille-Kiuntke, J., Weimer, K., & Schlarb, A. A. (2013). Mental strain and chronic stress among university students with symptoms of irritable bowel syndrome. Gastroenterology Research and Practice, 2013, 206574. [Google Scholar] [CrossRef] [PubMed]
- Gupta, K. (2015). Fit estimation in structural equation modeling—Synthesis of related statistics [SSRN Scholarly Paper 3579938]. Social Science Research Network. Available online: https://papers.ssrn.com/abstract=3579938 (accessed on 15 November 2023).
- Hakimzadeh, R., Besharat, M.-A., Khaleghinezhad, S. A., & Ghorban Jahromi, R. (2016). Peers’ perceived support, student engagement in academic activities and life satisfaction: A structural equation modeling approach. School Psychology International, 37(3), 240–254. [Google Scholar] [CrossRef]
- Halama, P., & Dědová, M. (2007). Meaning in life and hope as predictors of positive mental health: Do they explain residual variance not predicted by personality traits? Studia Psychologica, 49(3), 191–200. [Google Scholar]
- Huang, W., Liu, W., Zeng, M., & Zheng, Z. (2024). Dormitory environment, learning engagement, and college students’ mental health: An empirical study of survey data from 45 universities in China. Journal of Green Building, 19(1), 261–282. [Google Scholar] [CrossRef]
- Huen, J. M. Y., Lai, E. S. Y., Shum, A. K. Y., So, S. W. K., Chan, M. K. Y., Wong, P. W. C., Law, Y. W., & Yip, P. S. F. (2016). Evaluation of a digital game-based learning program for enhancing youth mental health: A structural equation modeling of the program effectiveness. JMIR Mental Health, 3(4), e46. [Google Scholar] [CrossRef]
- Keyes, C. L. M. (2013). Mental well-being: International contributions to the study of positive mental health (pp. 1–388). Springer Netherlands. [Google Scholar] [CrossRef]
- Keyes, C. L. M., Eisenberg, D., Perry, G. S., Dube, S. R., Kroenke, K., & Dhingra, S. S. (2012). The relationship of level of positive mental health with current mental disorders in predicting suicidal behavior and academic impairment in college students. Journal of American College Health, 60(2), 126–133. [Google Scholar] [CrossRef] [PubMed]
- Khan, A., Sriyanto, S., Baranovich, D. L., Tahir, L. M., Panatik, S. A., Sasmoko, S., Indrianti, Y., Hamid, M. A. A., Lukman, F., Van, N. T., & Jabor, M. K. (2023). The relationship between positive mental health, academic stress and suicide ideation among Malaysian adolescents residing in Johor Bahru. Current Psychology, 42(18), 15718–15726. [Google Scholar] [CrossRef]
- Khan, S., & Shamama-Tus-sabah, S. (2020). Perceived stress and its association with positive mental health and academic performance of university students. Pakistan Armed Forces Medical Journal, 70(5), 1391–1395. [Google Scholar]
- Kim, I. H., Jeong, Y. W., & Park, H. K. (2021). Korean University Students’ Problematic Alcohol use, Depression, and Non-Suicidal Self-Injury During COVID-19 Lockdown. Chronic Stress, 5, 1–8. [Google Scholar] [CrossRef]
- Klonoff-Cohen, H. S., Cohen, A., Gobin, R. L., Polavarapu, M., Allen, R., Reddy, S., & Vuyyuru, C. (2024). Suicide Ideation and Self-Harm Behaviors in First-Year Dormitory Students at a Public Midwestern University: A Pilot Study. Chronic Stress, 8, 1–12. [Google Scholar] [CrossRef] [PubMed]
- Kotera, Y., & Ting, S.-H. (2021). Positive Psychology of Malaysian University Students: Impacts of Engagement, Motivation, Self-Compassion, and Well-being on Mental Health. International Journal of Mental Health and Addiction, 19(1), 227–239. [Google Scholar] [CrossRef]
- Krause, K.-L., & Coates, H. (2008). Students’ engagement in first-year university. Assessment and Evaluation in Higher Education, 33(5), 493–505. [Google Scholar] [CrossRef]
- Liu, C., & Ma, J. (2020). Social media addiction and burnout: The mediating roles of envy and social media use anxiety. Current Psychology, 39(6), 1883–1891. [Google Scholar] [CrossRef]
- Lukat, J., Margraf, J., Lutz, R., Der Veld, W. M., & Becker, E. S. (2016). Psychometric properties of the positive mental health scale (PMH-scale). BMC Psychology, 4(1), 8. [Google Scholar] [CrossRef] [PubMed]
- Mangialavori, S., Bassi, M., & Delle Fave, A. (2024). Finding flow in pandemic times: Leisure opportunities for optimal experience and positive mental health among Italian university students. Journal of Leisure Research, 55(5), 662–685. [Google Scholar] [CrossRef]
- Mañas-Rodríguez, M. A., Enciso-Forero, E., Salvador-Ferrer, C. M., Trigueros, R., & Auilar-Parra, J. M. (2020). Empirical research in Colombian services sector: Relation between transformational leadership, climate and commitment. Sustainability, 12(16), 6659. [Google Scholar] [CrossRef]
- Maricuțoiu, L. P., & Sulea, C. (2019). Evolution of self-efficacy, student engagement and student burnout during a semester. A multilevel structural equation modeling approach. Learning and Individual Differences, 76, 1–7. [Google Scholar] [CrossRef]
- McDermott, R. C., Fruh, S. M., Williams, S., Hauff, C., Sittig, S., Wright, T., Riley, B., Swanzy, D., Graves, R. J., & Hall, H. (2021). Characteristics of Negative and Positive Mental Health Among Nursing Students in the United States. Journal of the American Psychiatric Nurses Association, 27(1), 44–53. [Google Scholar] [CrossRef] [PubMed]
- Mena-Freire, M., Moreta-Herrera, R., & Ruíz-Olarte, A. (2023). Subjective Well-being and Mental Health in College Students from Ecuador. Latent Relationship Analysis with SEM. Actualidades en Psicologia, 37(135), 55–68. [Google Scholar] [CrossRef]
- Mendoza Llanos, R. (2015). Job satisfaction and organizational culture as predictors of absenteeism. Revista Medica de Chile, 143(8), 1028–1033. [Google Scholar] [CrossRef] [PubMed][Green Version]
- Mushonga, D. R., & Henneberger, A. K. (2020). Protective Factors Associated With Positive Mental Health in Traditional and Nontraditional Black Students. American Journal of Orthopsychiatry, 90(1), 147–160. [Google Scholar] [CrossRef] [PubMed]
- Nicholson, M., Bennett, J. M., Modesto, O., & Gould, R. (2023). Understanding University Students during COVID-19: A Longitudinal Mixed-Methods Analysis of Their Experiences of Online Learning, Mental Health, Academic Engagement, and Academic Self-Efficacy. Psychopathology, 56(5), 342–358. [Google Scholar] [CrossRef]
- O’Reilly, L. M., Hom, M. A., Krendl, A., Joiner, T., & Chu, C. (2024). Cross-Sectional and Longitudinal Relationships Between Mental Health Stigma and Suicidal Ideation: A Comparison of Regression and Structural Equation Modeling in Two Undergraduate Samples. In Stigma and Health. Advance online publication. [Google Scholar] [CrossRef]
- Ouweneel, E., Le Blanc, P. M., & Schaufeli, W. B. (2013). Do-it-yourself: An online positive psychology intervention to promote positive emotions, self-efficacy, and engagement at work. Career Development International, 18(2), 173–195. [Google Scholar] [CrossRef]
- Page, K. M., Milner, A. J., Martin, A., Turrell, G., Giles-Corti, B., & Lamontagne, A. D. (2014). Workplace stress: What is the role of positive mental health? Journal of Occupational and Environmental Medicine, 56(8), 814–819. [Google Scholar] [CrossRef] [PubMed]
- Peng, Q., Liang, S., Latha, R., Li, N., & Zheng, A. (2024). The influence of Self System Model of Motivational Development on college students’ learning engagement: A hybrid three stage Fuzzy Delphi and structural equation modeling approach. Current Psychology, 43, 27762–27777. [Google Scholar] [CrossRef]
- Peoples, J. E., Butler-Barnes, S. T., Stafford, J. D., Williams, S.-L., & Smith, I. (2022). Exploring the association between mental health climate and depression: The protective role of positive mental health and sense of belonging among Black college students. Journal of American College Health, 72, 3286–3296. [Google Scholar] [CrossRef]
- Pozos-Radillo, B. E., Preciado-Serrano, M. D. L., Acosta-Fernández, M., Aguilera-Velasco, M. D. L. Á., & Delgado-García, D. D. (2014). Academic stress as a predictor of chronic stress in university students. Psicologia Educativa, 20(1), 47–52. [Google Scholar] [CrossRef]
- Romano, L., Angelini, G., Consiglio, P., & Fiorilli, C. (2022). An Italian Adaptation of the Burnout Assessment Tool-Core Symptoms (BAT-C) for Students. Education Sciences, 12(2), 2. [Google Scholar] [CrossRef]
- Salanova, M., Llorens, S., Cifre, E., & Martínez, I. M. (2012). We Need a Hero! Toward a Validation of the Healthy and Resilient Organization (HERO) Model. Group and Organization Management, 37(6), 785–822. [Google Scholar] [CrossRef]
- Salmela-Aro, K., Upadyaya, K., Hakkarainen, K., Lonka, K., & Alho, K. (2017). The Dark Side of Internet Use: Two Longitudinal Studies of Excessive Internet Use, Depressive Symptoms, School Burnout and Engagement Among Finnish Early and Late Adolescents. Journal of Youth and Adolescence, 46(2), 343–357. [Google Scholar] [CrossRef] [PubMed]
- Schaufeli, W. B., Bakker, A. B., & Salanova, M. (2006). The measurement of work engagement with a short questionnaire: A cross-national study. Educational and Psychological Measurement, 66(4), 701–716. [Google Scholar] [CrossRef]
- Schaufeli, W. B., Martínez, I. M., Pinto, A. M., Salanova, M., & Barker, A. B. (2002). Burnout and engagement in university students a cross-national study. Journal of Cross-Cultural Psychology, 33(5), 464–481. [Google Scholar] [CrossRef]
- Seligman, M. E., & Csikszentmihalyi, M. (2000). Positive psychology. An introduction. The American Psychologist, 55(1), 5–14. [Google Scholar] [CrossRef]
- Seligman, M. E. P., Ernst, R. M., Gillham, J., Reivich, K., & Linkins, M. (2009). Positive education: Positive psychology and classroom interventions. Oxford Review of Education, 35(3), 293–311. [Google Scholar] [CrossRef]
- Sequeira, C., Carvalho, J. C., Gonçalves, A., Nogueira, M. J., Lluch-Canut, T., & Roldán-Merino, J. (2020). Levels of Positive Mental Health in Portuguese and Spanish Nursing Students. Journal of the American Psychiatric Nurses Association, 26(5), 483–492. [Google Scholar] [CrossRef] [PubMed]
- Shin, N. Y., & Lim, Y.-J. (2019). Contribution of self-compassion to positive mental health among Korean university students. International Journal of Psychology, 54(6), 800–806. [Google Scholar] [CrossRef]
- Shon, E.-J., & Lee, L. (2024). Structural equation modeling for the effects of family dysfunctions and communication on perceived mental health status among under/graduate students in the U.S. PLoS ONE, 19(4), e0301914. [Google Scholar] [CrossRef] [PubMed]
- Singha, S. (2024). Nurturing positive organizational climates to enhance work success a positive psychology approach. In Fostering organizational sustainability with positive psychology (pp. 84–107). IGI Global Scientific Publishing. [Google Scholar]
- Sousa, K. H. J. F., Lluch-Canut, M. T., Gallasch, C. H., & Zeitoune, R. C. G. (2021). Cross-cultural adaptation of the positive mental health questionnaire for nursing students in the brazilian context. Texto e Contexto Enfermagem, 30, e20200431. [Google Scholar] [CrossRef]
- Sun, Y., & Liu, L. (2023). Structural equation modeling of university students’ academic resilience academic well-being, personality and educational attainment in online classes with Tencent Meeting application in China: Investigating the role of student engagement. BMC Psychology, 11(1), 347. [Google Scholar] [CrossRef]
- Sweetman, D., & Luthans, F. (2010). The power of positive psychology: Psychological capital and work engagement. In Work engagement: A handbook of essential theory and research (pp. 54–68). Taylor and Francis. [Google Scholar]
- Teismann, T., Naghavi, A., Asgari, Z., Grundei, L., & Brailovskaia, J. (2023). Posttraumatic stress disorder symptoms and suicidal ideation/behavior: The moderating effects of positive mental health and social support among Iranian and German students. Current Psychology, 42(24), 20757–20764. [Google Scholar] [CrossRef]
- Thakkar, A., Gupta, A., & De Sousa, A. (2024). Artificial intelligence in positive mental health: A narrative review. Frontiers in Digital Health, 6, 1–11. [Google Scholar] [CrossRef] [PubMed]
- Vagiri, R., Mphasha, M., Bangalee, V., Grootboom, W., Makhele, L., & Padayachee, N. (2024). Thriving beyond the stethoscope: Unveiling positive mental health among medical students at a University in South Africa. Dialogues in Health, 5, 100188. [Google Scholar] [CrossRef]
- Valentim, O., Vilelas, J., Carvalho, J. C., Andrade, C. M. S. M., Tomás, C., Costa, P. S., & Sequeira, C. (2023). The relation between lifestyles and positive mental health in Portuguese higher education students. Global Health Promotion, 30(1), 23–32. [Google Scholar] [CrossRef]
- Viđak, M., Tomić, V., Buljan, I., Tokalić, R., & Marušić, A. (2024). Perception of organizational climate by university staff and students in medicine and humanities: A qualitative study. Accountability in Research, 31(7), 847–873. [Google Scholar] [CrossRef]
- Wang, M., & Wang, Y. (2024). A structural equation modeling approach in examining EFL students’ foreign language enjoyment, trait emotional intelligence, and classroom climate. Learning and Motivation, 86, 101981. [Google Scholar] [CrossRef]
- Wu, Y., & Xu, L. (2022). The effect of authentic leadership and organizational climate on the volunteering behavior of college students: A moderated mediation model. PsyCh Journal, 11(6), 852–862. [Google Scholar] [CrossRef] [PubMed]
- Zhang, M., Bridler, R., Mohr, C., Moragrega, I., Sun, N., Xu, Z., Yang, Z., Possenti, M., & Stassen, H. H. (2020). Early Detection of the Risk of Developing Psychiatric Disorders: A Study of 461 Chinese University Students under Chronic Stress. Psychopathology, 52(6), 367–377. [Google Scholar] [CrossRef]
- Zhou, H., Yu, J., Liang, L., Zhang, X. C., Margraf, J., & Meng, H. (2022). Relationship between suicidal ideation, daily stress and positive mental health among college freshmem in Wuhan. Chinese Journal of School Health, 43(5), 776–779. [Google Scholar] [CrossRef]



| Variable | Dimensions |
|---|---|
| Organizational Climate | Support climate |
| Goal climate | |
| Innovation climate | |
| Rule climate | |
| Positive Mental Health | Happiness |
| Enjoyment | |
| Life satisfaction | |
| Self-confidence | |
| Self-efficacy | |
| Holistic well-being | |
| Resilience | |
| Cheerfulness | |
| Serenity | |
| Engagement | Absorption |
| Dedication | |
| Vigor |
| Variable/Dimension | Number of Items | Cronbach’s Alpha | Coefficient | |
|---|---|---|---|---|
| Theta | Omega | |||
| Organizational Climate | 12 | 0.874 | 0.876 | 0.868 |
| Support climate | 3 | 0.745 | 0.746 | 0.855 |
| Goal climate | 3 | 0.731 | 0.731 | 0.848 |
| Innovation climate | 3 | 0.753 | 0.754 | 0.859 |
| Rule climate | 3 | 0.640 | 0.642 | 0.807 |
| Positive Mental Health | 9 | 0.910 | 0.912 | 0.927 |
| Engagement | 9 | 0.870 | 0.871 | 0.862 |
| Absorption | 3 | 0.805 | 0.806 | 0.885 |
| Dedication | 3 | 0.796 | 0.796 | 0.880 |
| Vigor | 3 | 0.799 | 0.799 | 0.882 |
| Variable/Dimension | Media | Standard Deviation | Kolmogorov–Smirnov | |
|---|---|---|---|---|
| Statistic | Sig. | |||
| Organizacional Climate | 4.88 | 0.85 | 0.056 | 0.000 |
| Support climate | 4.96 | 1.10 | 0.125 | 0.000 |
| Goal climate | 4.83 | 1.03 | 0.090 | 0.000 |
| Innovation climate | 4.85 | 1.10 | 0.102 | 0.000 |
| Rule climate | 4.89 | 0.99 | 0.090 | 0.000 |
| Positive Mental Health | 5.03 | 1.07 | 0.068 | 0.000 |
| Happiness | 4.74 | 1.48 | 0.176 | 0.000 |
| Enjoyment | 5.10 | 1.44 | 0.190 | 0.000 |
| Life satisfaction | 5.08 | 1.43 | 0.186 | 0.000 |
| Self-confidence | 5.13 | 1.40 | 0.193 | 0.000 |
| Self-efficacy | 5.23 | 1.26 | 0.209 | 0.000 |
| Holistic well-being | 4.87 | 1.44 | 0.189 | 0.000 |
| Resilience | 4.85 | 1.40 | 0.190 | 0.000 |
| Cheerfulness | 5.06 | 1.34 | 0.191 | 0.000 |
| Serenity | 5.21 | 1.43 | 0.208 | 0.000 |
| Engagement | 4.99 | 0.94 | 0.071 | 0.000 |
| Absorption | 5.18 | 1.08 | 0.126 | 0.000 |
| Dedication | 4.81 | 1.15 | 0.098 | 0.000 |
| Vigor | 4.98 | 1.17 | 0.111 | 0.000 |
| Test | Organizational Climate | Engagement | Positive Mental Health | ||||
|---|---|---|---|---|---|---|---|
| Statistic | p-Value | Statistic | p-Value | Statistic | p-Value | ||
| Mardia | Asymmetry | 2,437,876 | <0.001 | 1945.317 | <0.001 | 1,808,437 | <0.001 |
| Kurtosis | 66,871 | <0.001 | 67.941 | <0.001 | 77,683 | <0.001 | |
| Royston | 1,714,159 | <0.001 | 1360.180 | <0.001 | 1,436,055 | <0.001 | |
| Henze-Zirkler | 2258 | <0.001 | 5.206 | <0.001 | 7119 | <0.001 | |
| Energy | 20,542 | <0.001 | 30.924 | <0.001 | 37,515 | <0.001 | |
| Relation (←)/Covariability (↔) | Regression Weights | S.E. | C.R. | p | |||
|---|---|---|---|---|---|---|---|
| Estimate | Standardized | ||||||
| Positive mental health | ← | Organizational climate | 0.637 | 0.642 | 0.039 | 16.290 | *** |
| Engagement | ← | Positive mental health | 0.483 | 0.433 | 0.046 | 10.541 | *** |
| Engagement | ← | Organizational climate | 0.539 | 0.487 | 0.042 | 12.923 | *** |
| Happiness | ← | Positive mental health | 1.000 | 0.514 | |||
| Enjoyment | ← | Positive mental health | 1.420 | 0.752 | 0.061 | 23.405 | *** |
| Life satisfaction | ← | Positive mental health | 1.423 | 0.768 | 0.064 | 22.226 | *** |
| Self-confidence | ← | Positive mental health | 1.352 | 0.757 | 0.062 | 21.844 | *** |
| Self-efficacy | ← | Positive mental health | 1.256 | 0.758 | 0.059 | 21.428 | *** |
| Holistic well-being | ← | Positive mental health | 1.384 | 0.729 | 0.065 | 21.355 | *** |
| Resilience | ← | Positive mental health | 1.366 | 0.735 | 0.066 | 20.551 | *** |
| Cheerfulness | ← | Positive mental health | 1.349 | 0.759 | 0.061 | 22.129 | *** |
| Serenity | ← | Positive mental health | 1.324 | 0.698 | 0.066 | 20.205 | *** |
| Support climate | ← | Organizational climate | 1.000 | 0.684 | |||
| Goal climate | ← | Organizational climate | 1.108 | 0.799 | 0.041 | 27.170 | *** |
| Innovation Climate | ← | Organizational climate | 1.193 | 0.819 | 0.042 | 28.357 | *** |
| Rules climate | ← | Organizational climate | 0.952 | 0.725 | 0.037 | 25.469 | *** |
| Absorption | ← | Engagement | 1.000 | 0.765 | |||
| Dedication | ← | Engagement | 0.940 | 0.699 | 0.034 | 27.695 | *** |
| Vigor | ← | Engagement | 1.121 | 0.814 | 0.035 | 31.715 | *** |
| e1 | ↔ | e2 | 0.202 | 0.184 | 0.030 | 6.831 | *** |
| e1 | ↔ | e4 | −0.063 | −0.061 | 0.029 | −2.162 | 0.031 |
| e2 | ↔ | e3 | 0.195 | 0.249 | 0.028 | 6.979 | *** |
| e2 | ↔ | e6 | −0.072 | −0.084 | 0.025 | −2.859 | 0.004 |
| e3 | ↔ | e5 | −0.056 | −0.082 | 0.022 | −2.500 | 0.012 |
| e3 | ↔ | e7 | −0.054 | −0.068 | 0.024 | −2.227 | 0.026 |
| e6 | ↔ | e7 | 0.094 | 0.109 | 0.029 | 3.201 | 0.001 |
| e7 | ↔ | e8 | 0.066 | 0.085 | 0.028 | 2.381 | 0.017 |
| e8 | ↔ | e9 | 0.086 | 0.104 | 0.026 | 3.290 | 0.001 |
| e10 | ↔ | e12 | −0.089 | −0.185 | 0.018 | −4.849 | *** |
| e10 | ↔ | e13 | −0.080 | −0.154 | 0.017 | −4.599 | *** |
| Name | Measure of Adjustment | Value | Acceptable Limit |
|---|---|---|---|
| Normalized goodness-of-fit index | NFI | 0.817 | ≥0.90 |
| Goodness-of-fit index | GFI | 0.947 | ≥0.90 |
| Comparative fit index | CFI | 0.867 | ≥0.90 |
| Tucker–Lewis index | TLI | 0.822 | ≥0.90 |
| Incremental goodness-of-fit index | IFI | 0.87 | ≥0.90 |
| Adjusted goodness-of-fit index | AGFI | 0.92 | ≥0.80 |
| Relative goodness-of-fit index | RFI | 0.756 | ≥0.90 |
| Mean square error of approximation | RMSEA | 0.032 | ≤0.05 |
| Square root of the mean square error | RMR | 0.094 | ≤0.08 |
Disclaimer/Publisher’s Note: The statements, opinions and data contained in all publications are solely those of the individual author(s) and contributor(s) and not of MDPI and/or the editor(s). MDPI and/or the editor(s) disclaim responsibility for any injury to people or property resulting from any ideas, methods, instructions or products referred to in the content. |
© 2025 by the authors. Published by MDPI on behalf of the University Association of Education and Psychology. Licensee MDPI, Basel, Switzerland. This article is an open access article distributed under the terms and conditions of the Creative Commons Attribution (CC BY) license (https://creativecommons.org/licenses/by/4.0/).
Share and Cite
Norabuena-Figueroa, R.P.; Rodríguez-Orellana, H.M.; Norabuena-Figueroa, E.D.; Deroncele-Acosta, A. Organizational Climate as a Key to Positive Mental Health and Academic Engagement in University Students: A Structural Equation Modeling Approach. Eur. J. Investig. Health Psychol. Educ. 2025, 15, 17. https://doi.org/10.3390/ejihpe15020017
Norabuena-Figueroa RP, Rodríguez-Orellana HM, Norabuena-Figueroa ED, Deroncele-Acosta A. Organizational Climate as a Key to Positive Mental Health and Academic Engagement in University Students: A Structural Equation Modeling Approach. European Journal of Investigation in Health, Psychology and Education. 2025; 15(2):17. https://doi.org/10.3390/ejihpe15020017
Chicago/Turabian StyleNorabuena-Figueroa, Roger Pedro, Hugo Marino Rodríguez-Orellana, Emerson Damián Norabuena-Figueroa, and Angel Deroncele-Acosta. 2025. "Organizational Climate as a Key to Positive Mental Health and Academic Engagement in University Students: A Structural Equation Modeling Approach" European Journal of Investigation in Health, Psychology and Education 15, no. 2: 17. https://doi.org/10.3390/ejihpe15020017
APA StyleNorabuena-Figueroa, R. P., Rodríguez-Orellana, H. M., Norabuena-Figueroa, E. D., & Deroncele-Acosta, A. (2025). Organizational Climate as a Key to Positive Mental Health and Academic Engagement in University Students: A Structural Equation Modeling Approach. European Journal of Investigation in Health, Psychology and Education, 15(2), 17. https://doi.org/10.3390/ejihpe15020017

