Abstract
Traditional extraction techniques have lost their optimum performance because of rising consumer demand and novel technologies. In this regard, several techniques were developed by humans for the extraction of plant materials from various indigenous sources, which are no longer in use. Many of the techniques are not efficient enough to extract maximum plant material. By this time, evolution in extraction has led to development of various techniques including microfiltration, pulsed electric fields, high pressure, microwave assistance, enzyme assistance, supercritical fluid, subcritical fluid and ultrasonication. These innovations in food processing/extraction are known as “Green Food Processing”. These technologies were basically developed by focusing on three universal parameters: simplicity, energy efficiency and economy. These green technologies are practical in a number of different food sectors, mostly for preservation, inhibition of microorganisms, inactivation of enzymes and extraction of plant material. Like the others, ultrasonication could also be used for the said purposes. The primary objective of this review is to confine the potential use of ultrasonication for extraction of oils, pectin and phytochemicals by reviewing the literature systematically.
1. Introduction
Innovation and technological study, along with diffusion of technologies, are the main drivers in the face of potential challenges. Moreover, they are important elements for a model of sustainable development that can assess economic growth suitable for meeting the needs of international systems in terms of well-being in the short, medium and long term, responding to the needs of the present without sacrificing future generations’ aspirations.
Changes in consumer expectations and the need to produce healthy, high-quality foods drive the evolution in the food processing industry. Emerging technologies seem to be the perfect solution to the above-mentioned characteristics. Such systems, including the use of high pressure, electrical pulses, microfiltration and ultrasonics, are specifically designed for economy, flexibility and energy efficiency. In addition, ultrasound used in “Green Food Manufacturing” guarantees high-quality and healthy food [1]. Ultrasound is considered an new method of regulating, enhancing and accelerating processes without harming the quality of food [2]. It implies acoustic energy; thus, it is a non-ionizing, non-invasive and non-polluting mechanical energy source.
Recently, ultrasonic devices have been used for food processing. Ultrasonic is characterized as sound waves exceeding the human hearing limit. Based on the ultrasonic wave frequency spectrum, it can be used in many industrial applications, including food processing. High-power and low-frequency ultrasonic systems seek to enhance food product quality, while ultrasonic low-power and high-frequency systems were used for non-destructive assessment of the physicochemical properties of the foods. The most important benefits of ultrasonic technology are low food production costs, low power consumption, flexibility compared to other techniques, keeping in mind the suitability for the handling of solid and liquid foods and environmental protection and friendliness [3]. In the food industry, ultrasound is used for the dissolution and crystallization, mixing and homogenization, activation/deactivation of enzymes, preservation, hydrogenation, stabilization, tenderization of meat, aging and oxidation, emulsification, dispersion and as an adjuvant for the acceleration and enhancement of active ingestion extraction [4].
Extraction was possibly used after the discovery of fire. Egyptians and Phoenicians, Jews and Arabs, Indians and Chinese, Greeks and Romans and even Mayans and Aztecs all had revolutionary extraction and distillation methods for perfumes, cosmetics and food. Nowadays, you cannot find a production line in food, pharmaceutical, cosmetic, nutraceutical or bioenergy industries that do not use extraction processes such as maceration, extraction with solvents, steam or hydro-distillation, cold pressing or squeezing, among others. With these energy prices and the push to minimize greenhouse gas emissions, food and plant-based chemical industries are challenged to develop new solutions to minimize energy usage. Considering the industrial requirement, sonication could be an emerging technology for the extraction of intracellular plant materials [5]. In fact, one of the major applications of ultrasound in food industry is the extraction of intracellular plant material [6]. Food industry’s most popular applications include cell destruction and intracellular material extraction [4]. The flow-mode extraction processes using cavitation phenomena enable an easier scaling up to industrial production. By developing and scaling up a pilot plan, and therefore narrowing the gap between research laboratories and industry in a technologically innovative process that considers industry to be a driving force, amazing results could be obtained at large scales [7,8,9]. Ultrasound alone or in combination with other technologies could lead to extremely efficient extraction (Table 1).
Table 1.
Combination of ultrasound with other techniques for extraction of bioactive compounds.
2. Systematic Literature Review Methodology
The current review focused on reviewing reliability and efficiency of sonication for extraction of phytoconstituents from plant sources systematically [15].
2.1. Search Terms Used
“Sonication”, “ultrasound”, “ultrasonication”, “extraction”, “ultrasound-assisted extraction (UAE)” were the major search terms used for gathering the literature. Initially, 210 articles were selected from Web of Science, 172 articles were selected from Scopus and 131 articles were selected from Google Scholar.
2.2. Inclusion and Exclusion
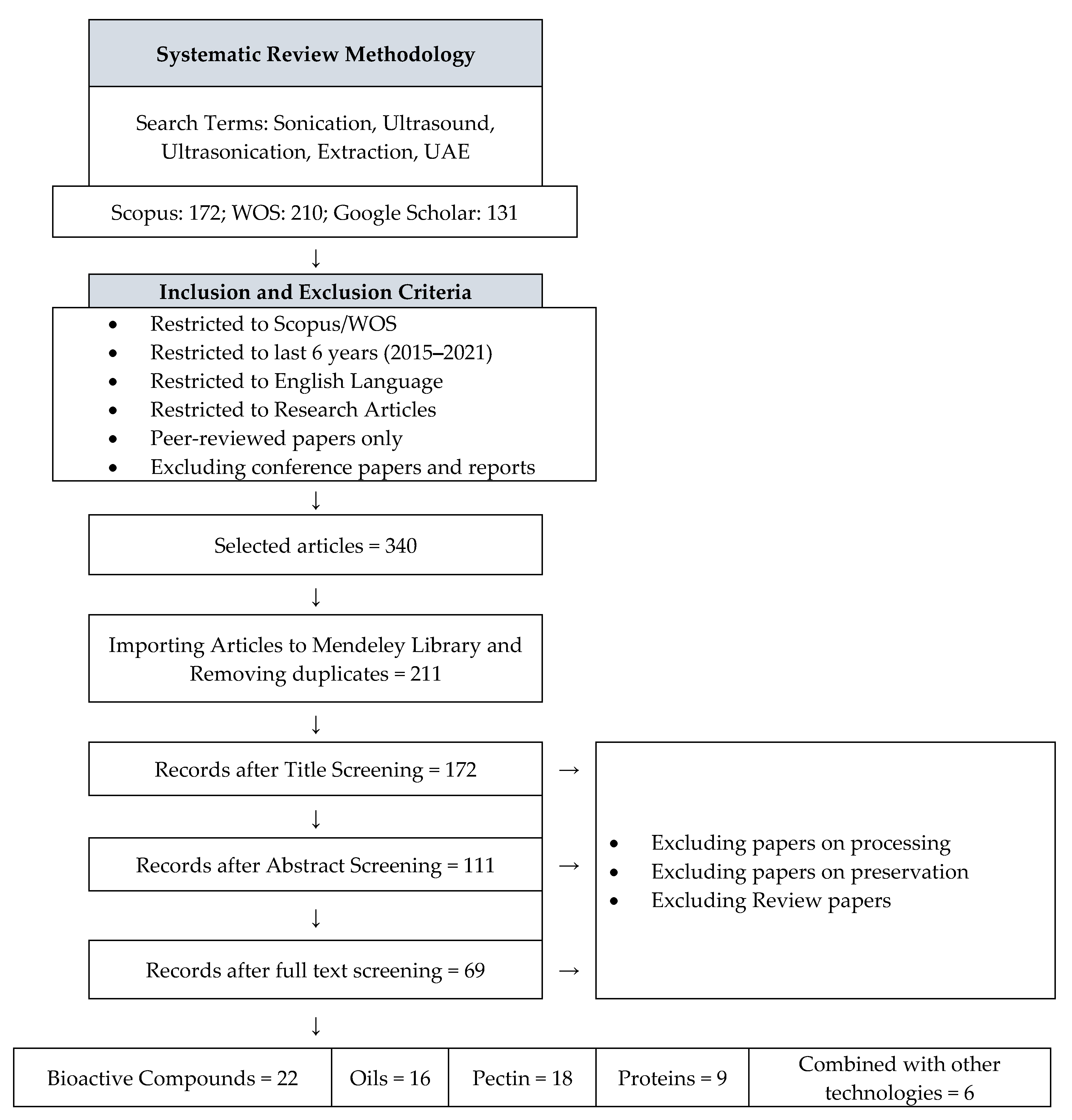
The systematic literature review methodology has been illustrated in Figure 1.
Figure 1.
Methodology for systematic literature review.
It was made sure that all the articles to be included in this review should be indexed by Scopus/WOS, to be published from 2015 to 2021, to be in the English language, to be research articles, to be peer-reviewed and should not be reports. This resulted in a selection of 340 articles. All the articles were imported to the Mendeley library and duplicates were removed, which resulted in 211 articles. Then, a deep screening was done by title, abstract and full text, which resulted in 172, 113 and finally 56 articles, respectively. The screening was done to confine studies conducted on ultrasonic extraction only, while studies on ultrasonic processing and preservations were excluded. All the articles were separated with their respective nature of bioactive compounds (22), oils (16), pectin (18), proteins (9) and combined with other technologies (6).
3. History and Applications of Ultrasound in the Food Industry
The history of technological advancements and the invention of ultrasound had its origins in sound experiments, with Sir Isaac Newton introducing his theory of sound waves in 1687 [16]. Ultrasound is a state-of-the-art non-thermal food processing technology that, thanks to its comparatively high efficacy, lower costs of production and environmentally friendly nature, has drawn increased interest as a replacement for or adjuvant to conventional processing techniques [17]. In the food industry, ultrasound was used for the tenderization, curing and microbial inactivation of meats [18,19]. Moreover, it enhanced bioactive elements, β-glucan content, cereal, fruit and vegetable phenolics and cereal starch extraction [6,20,21,22,23,24]. High-intensity ultrasound extraction methods increase quality and speed of a vast range of food components such as oils, flavourings, pigments and bioactive substances, including antioxidants and essential oils from aromatic plant material, such as basil, artemisia and lavender [25].
4. Types of Ultrasound Equipment
The core parts of ultrasonic equipment consist of sound emitter devices, an electrical power generator and a transducer. The core part that determines the type of ultrasound is the emitter, whose primary purpose is to send the ultrasonic waves to the system physically [3]. Based on this, the ultrasonic devices that are used in UAE can be roughly divided into 2 categories, which includes ultrasonic bath mode and sonotrode (ultrasonic probe) mode.
4.1. Ultrasound Bath
In the ultrasound bath type, multiple transducers are normally mounted below a stainless-steel tank, which is the ultrasound source. Few tanks still have thermostatically operated heaters. Ultrasound levels produced by most commercial ultrasonic baths are usually adequate for washing, degassing solvents and removing adsorbed metals and organic contaminants from environmental samples, although they are less efficient for extracting matrix-bound analytes [3]. The strength should be high enough to induce cavitation within the bath extraction vessel; this is not often done with traditional ultrasonic baths [26]. A significant factor determining extraction performance is the location of the vessel within the bath. The extraction vessel must be placed just above the transducer for a bath with a single transducer at the base, as power distribution would be optimum at this location [27].
Figure 2 deeply illustrates the base parts of an ultrasonic bath. All of the parts are holed in a stainless-steel tank. There exists a bath space where the regent bottles/sample is placed. Usually, distilled water is used as a medium where the sample is placed. Usually on one side, there is a valve through which the water is removed from the system. There is a control panel on the front side through which temperature, time and frequency of the system could be controlled. There could be up to two transducers that cannot be physically seen but are located in the bottom middle of the ultrasound bath.
Figure 2.
Ultrasonic bath mode.
4.2. Ultrasound Probe Type
Probe-type sonicators can provide up to 100-fold greater power to the extraction medium than an ultrasonic bath, so an improved performance is expected. One key feature for efficient implementation of ultrasonic samples for many chemical processes is that the ultrasonic energy is not passed to the extraction vessel via the liquid medium, but is inserted directly into the device [28].
Figure 3 deeply illustrates the base parts of an ultrasonic probe type. It usually consists of a single transducer attached to a control panel with the aid of a wire, through which temperature, time and frequency of the system can be controlled. Then, there is a separate stainless-steel tank where the sample is placed and the ultrasonic treatment is given.
Figure 3.
Ultrasonic probe mode.
5. Mechanism of Extraction
Extraction is one of the most important unit operations in industries such as pharmaceuticals and nutraceuticals. The basic objective of extraction in these industries is to get a whole plant extract or a highly specific compound. Alongside these industries, extraction is done in the food industries in the development of natural functional foods [29].
The use of transducers, which are the main components of ultrasonic equipment since they are responsible for transforming mechanical or electrical energy into acoustic wave shapes, were used in the UAE. The sound wave moves across the vessel filled with the medium during the UAE until acoustic resonance is produced by transducers, and compression and rarefaction (high and low pressure regions) are formed [17]. The cavitation and implosion triggered by sonication leads to cell-wall rupture and increases the number of disrupted cells. When the cell is disrupted, the solvent enters the cell and the intracellular plant material is incorporated in the solvent [4]. Figure 4 illustrates the possible extraction mechanism of ultrasonic-assisted extraction.
Figure 4.
Possible extraction mechanism of ultrasound.
6. Influence of Treatment Conditions on Extraction
Temperature, ultrasound frequency, extraction time and solvent/medium nature affect not only the extraction yield, but also the composition of the extract.
6.1. Influence of Temperature
Extraction temperature is a crucial factor in traditional extraction and one that promotes diffusion and permeation of the solvent into the solid matrix [17]. A higher temperature may lead to a better extraction, but it may damage the plant material [30]. The cavitation nuclei number depends on temperature. A rise in temperature from 10 to 50 °C induces an increase in tension and an increase in vapor pressure inside the cavity, which can result in a lower Pmax and in a decrease of sonochemical effects [28].
Adjusting the temperature, two things must be kept in mind: the boiling point of the solvent being used and the target component. If the temperature is above the boiling point of the solvent, there are chances of an un-economical extraction. Moreover, there are a number of different phytoconstituents that are susceptible to a higher temperate, since when the critical limit is exceeded, the component may start degrading.
6.2. Influence of Frequency
When using a high frequency, loops are shortened. Thus, inadequate time to produce adequate negative pressure prevents bubble formation [31]. Thus, cavitation bubble formation reduces as ultrasonic frequency increases. This is due to inadequate time for the rarefaction period to enable the bubble to expand and create the liquid disruption [28].
While adjusting the temperature, it must be kept in mind to determine the optimal frequency level. Using a higher frequency may lead to an uneconomical extraction process. Furthermore, a greater frequency may lead to degradation of the phytoconstituents. In a study conducted by Zhu et al. [32], a relationship between ultrasonication frequency and degradation of catechin was established. It was articulated by the authors that a higher frequency might lead to the degradation of catechin.
6.3. Influence of Time
There is a great influence of time on extraction [33]. Better extraction is done with an elevated time period, but after certain limits the plant material may start degrading [34].
While adjusting the temperature, it must be noted that a longer period of time may lead to an uneconomical extraction. Moreover, a longer period of time may lead to the degradation of phytoconstituents.
7. Extraction of Bioactive Compounds
Effective biological active compounds are available in plants that are known as phytochemicals. Effective phytochemicals can be extracted from different parts of the plants such as barks, leaves, seed coat, seed, roots, pulps and flowers, and particularly nominated as the direct medicinal agent’s sources. Phytochemistry explains that there are more secondary metabolites available in the plants [35,36,37,38,39]. Various techniques are applied to extract bioactive compounds such as flavonoids, phenolic acids, keratin, tanshinone, terpenoids, tocols, xanthones, carrageenans, a-mangostin, isoflavones, apigenin, genistin and many others [40,41,42,43].
Natural sources might be used to extract bioactive compounds, since they possess beneficial impacts on the health of human. Fruits and vegetables contain high amounts of phenolic compounds, carotenoids and vitamin C as compared to others. The process of extraction of these compounds is based on various factors such as the raw material, the organic solvent and the applied technique. Generally, conventional techniques need large quantities of organic solvents, maximum expenditure for energy and consume more time, which has produced interest in novel technologies known as green or clean technologies [44,45]. These can eliminate or reduce the toxic solvents used, and therefore preserve resources of natural environment [46].
Numerous innovative non-thermal extractions (e.g., high-pressure, pulsed electric fields, ultrasound-assisted extraction, etc.) have been suggested for the extraction of biologically active compounds. Conceptually, such techniques are “green”, shorter, elude toxic chemicals and are capable to enhance the extraction quality and yields with decreased solvents and energy consumption [47]. Ultrasound could be used as green, valuable and alternative techniques to improve the bioactive compounds extraction through solvent [48]. UAE is a rapid, novel, green and developing technology appropriate for improving and scaling up the efficiency of bioactive compound extraction. Ultrasound mostly generates cavitation bubbles and acts in the biological matrix. Inclusively, it has been described for attaining high rates of extraction and yields of bioactive compounds. Furthermore, remarkable environmental benefits and economic could be improved and ultrasound has maximum potential for application and development [49]. Table 2 shows various studies conducted on the extraction of bioactive compounds by ultrasonic-assisted extraction.
Table 2.
Extraction of bioactive (antioxidant) compounds by ultrasonic-assisted extraction.
7.1. Extraction of Oils
Edible plant oil (EPO) is an essential resource of nutrition for human health. Numerous oil-bearing plant cultivars are produced worldwide, and the compositions of chemicals from different oils of plants are varied. The exceptionally complex oil components lead to varied standards for estimating the safety and quality of several EPOs. The environmental stances are great encounters for the quality and safety of EPOs during the entire chain of industry, containing harvesting, plant cultivation, storage and oil processing [70].
Great importance has been given to consider the impact of ultrasound technology on the efficiency of oil extraction from seeds and on the extracted oil properties as well. The phenomenon of cavitation is persuaded by ultrasound, which improves the yield of oil as it smashes the primary seeds’ cell wall and develops an easy oil release. Therefore, the maximum yield of oil is gained when UAE is utilized in comparison with conventional techniques. The UAE oil properties such as the content of free fatty acid, oxidative stability and crystallization are influenced by the ultrasonic temperature, time, solvent type and intensity during extraction [71].
Oil extraction through the UAE is likely to lessen the ecological and economic influences of the process on the oil and fat industry [72]. Extraction of oil through UAE has improved the performance and decreased the time for extraction without disturbing the quality of oil [73]. This extraction is extensively used to extract valuable intracellular components from different parts of the plant. As an escalating technique for the process, edible oil extraction through ultrasonic methods, such as avocado oil, extra virgin olive oil, flaxseed oil, sunflower seed oil, as compared to others, has improved the extracted oil (fatty acids) yield, reduced the time of extraction and avoided the consumption of solvent. Being a non-thermal technique of extraction, the operational principle of extraction through ultrasonically assisted means depends on the acoustic cavitation phenomenon. Acoustic cavitation by ultrasonic methods generates powerful shear forces, which disturb the cell walls and enhance the transfer of mass between the surrounding solvent and the interior of the cell. Therefore, ultrasonic extraction is regarded as a superior technique for the isolation and extraction of compounds entrapped in the cells of the plant [74]. Table 3 shows various studies on the ultrasonic-assisted extraction of oils.
Table 3.
Extraction of oils by ultrasonic-assisted extraction.
7.2. Extraction of Pectin
Heteropolysaccharides that are mainly composed of α-1-4 d-galacturonic acid unit are known as pectin. This natural cell wall of the plant may or may not be methyl esterified and contains neutral branching of sugars that harbor moieties functionally. Physicochemical factors such as temperature, cosolute presence, pH and concentration of ions directly affect the gelling capacity and yield of pectin through extraction. The structural and chemical features of polysaccharide allow its interaction with an extensive molecule range, a property that experts utilize to form novel composite matrices for controlled/target therapeutic cells, molecules or gene delivery. As part of a measured prebiotic diet of fiber, pectin encounters various regulations, including applications of health within the pharmaceutical industry as an agent and as a raw material for cancer prevention [90]. Pectin is an appreciated hydrocolloid with numerous functional properties and applied in the cosmetic, pharmaceutical and food industries [91].
The degradation of ultrasonic methods has been converted into a promising strategy for developing modified pectin (MP). The treatment of ultrasonic methods at numerous pH values can be established as viable resources to extract the desirable MP [92]. Innovative processing techniques processing (enzymatic extraction, ultrasound-assisted extraction and microwave extraction) are utilized to extract pectin from by-products and different wastes. The extraction of pectin differs based on the studied matrix and time, pH, solvents, solid-to-liquid ratio and temperature as well. The utilization of innovative processes of extraction such as microwave, enzymes and ultrasound can be a valuable means to escalate the pectin quality and yield, and for decreasing the extraction temperature, use of toxic solvents, time and strong conditions of acids for the recovery of pectin. Furthermore, the solvent modelling combination and the particular processes of extraction can facilitate the selective pectin recovery [93]. For pectin, which is a soluble fiber, the disruption and cavitation of cells initiated by waves of ultrasounds may progress the mass transfer, and consequently enhance the process of extraction [94]. Table 4 shows various studies on ultrasonic-assisted extraction of pectin.
Table 4.
Extraction of pectin by ultrasonic-assisted extraction.
7.3. Extraction of Protein
Proteins perform a significant role in nourishing life through foods obtained from animals and plants. Protein contents vary in every food, and the properties of proteins are higher in foods to be performed. Proteins contribute to providing the nutritional properties in foods through the provision of amino acids that are considered to be essential in the maintenance and growth of humans; proteins provide the structural basis for several foods’ functional properties [113]. Proteins are a biomolecules’ ubiquitous class that perform a chief role in the food industry as constituents to impart sensory, functional and nutritional properties to the formulations of food. The proteins’ ability to perform actions in these capacities depends on their exceptional physicochemical properties that are based on the protein’s structure at several organizational levels in turn (i.e., quaternary, tertiary, secondary and primary) [114].
Extraction is a major stage for the recovery and isolation of proteins. Various methods such as conventional alkaline, reverse micelle, salt, enzyme extraction and organic solvent have been utilized to extract proteins from plants [18]. A unique extraction technique is required to perform the procedure of protein extraction. UAE is a proficient technique for extraction due to its extraordinary benefits of high extraction yield, low solvent quantity and short extraction time [115]. Ultrasound technique has been used extensively for peptide and protein extraction from natural products, achieving maximum yields and extraction rates. Peptide encapsulation with biodegradable polymers can improve bioavailability and stability through ultrasound-assisted methods. Furthermore, in applications of sonophoresis, minimum-frequency ultrasound can be utilized to transfer peptide drugs with maximum molecular weight [116].
UAE decreased the particle size and the microstructure dimension in gluten and albumin, representing that ultrasound can unfold aggregates of protein. Moreover, UAE enhanced the emulsifying activity (EA), solubility, foam stability (FS) and foaming capacity (FC) of the proteins. The consequences reveal that ultrasound extraction is an encouraging approach to enhance the properties and extraction yield of proteins [117]. Table 5 shows various studies on the ultrasonic-assisted extraction of protein.
Table 5.
Extraction of proteins by ultrasonic-assisted extraction.
8. Conclusions, Challenges, and Future Perspectives
The advantages of UAE are recognizable, and so the food industry is especially interested in its acceptance. Consequently, there are numerous novel techniques for enhancing this method to improve the efficiency of extraction and meet the requirements of “natural chemistry”. In the current situation, ultrasound combinations with other traditional or new innovations are a unique topic. These combinations predominantly involve supercritical fluids, enzymes and microwave-assisted extractions mutual with ultrasound to achieve the synergistic impact of such techniques. To meet demands for green extraction, UAE should alter the conventional extraction solvents with unique solvents such as deep eutectic solvents, ionic liquids, cloud point techniques and multi-phase solvents. New developments in advancing ultrasonic instruments to enhance the interaction with ultrasound, having a sample matrix in a system of continuous flow, are also in request.
In the food sector, ultrasound is considered a new technology. It has the advantages of reducing taste loss, increasing homogeneity, conserving energy, increasing production, improving quality, reducing chemical and physical dangers and being environmentally friendly. Its efficiency rises when pressure and/or temperature are applied, but caution is required to determine and control nutrition.
Comparatively, despite the minimum cost of ultrasonic devices, industrial pilot-scale or even scale-up usage is deliberated due to the requirement for ad hoc modified plants, limiting the optimization and investigation of operations on a large scale. The impact of highly powerful intensities or prolonged time duration on the component’s stability in the matrices of food under treatment by ultrasound could cause significant compound oxidation or degradation, which could reduce its applications and use.
The research gap should be filled with material, the location of the vessel, study length and geometric characteristics concerning ultrasound extraction. Adopting improved cavitometers may offer essential distribution information and cavitation intensity. Calorimetric tests are performed to measure the actual ultrasonic power incoming towards the vessel. In order to accomplish excellence in the industrial tests of scaling-up, geometric design, location ultrasonic power and ultrasonic strength must be taken into interpretation. UAE is not a linear procedure, so that, simply, only the ultrasonic equipment size is impractical and limited to consider, as confirmed by findings from experiments in a laboratory. Hence, other technical parameters must be taken into consideration during up-scaling, containing ultrasound strength, geometric design, kinetic studies and control. Moreover, some sturdy agents of reducing, such as ascorbic acid and ethanol, should be added to free radical scavenging generated by cavitation, therefore protecting components of food. Chemical processes and reactions under the impact of sonochemical methods on components of food are needed to be deliberated to improve and adjust the process conditions of ultrasound methods and achieve excellence in the product quality.
Author Contributions
Conceptualization, M.M.A.N.R., J.M.L. and R.M.A.; data curation, B.S., R.K., R.N.A. and U.R.; writing-original draft preparation, M.M.A.N.R., S.I., L.W. and G.A.N.; writing-review and editing, M.M.A.N.R., J.M.L., M.P. and R.M.A. All authors have read and agreed to the published version of the manuscript.
Funding
This research received no external funding.
Institutional Review Board Statement
Not applicable.
Informed Consent Statement
Not applicable.
Data Availability Statement
The data presented in this review are available on request from the corresponding authors.
Acknowledgments
José M. Lorenzo and Mirian Pateiro are members of the Healthy Meat network, funded by CYTED (ref. 119RT0568). Thanks are extended to GAIN (Axencia Galega de Innovación) for supporting this research (grant number IN607A2019/01). Rana Muhammad Aadil is thankful to University of Agriculture, Faisalabad, Pakistan for their support.
Conflicts of Interest
The authors declare no conflict of interest.
References
- Chemat, F.; Ashokkumar, M. Preface: Ultrasound in the processing of liquid foods, beverages and alcoholic drinks. Ultrason. Sonochem. 2017, 38, 753. [Google Scholar] [CrossRef]
- Alarcon-Rojo, A.D.; Carrillo-Lopez, L.M.; Reyes-Villagrana, R.; Huerta-Jiménez, M.; Garcia-Galicia, I.A. Ultrasound and meat quality: A review. Ultrason. Sonochem. 2019, 55, 369–382. [Google Scholar] [CrossRef]
- Maged, E.A.M.; Alhajhoj, M.R. Importance and Applications of Ultrasonic Technology to Improve Food Quality. In Food Processing; Marc, R.A., Díaz, A.V., Izquierdo, G.D.P., Eds.; IntechOpen: London, UK, 2020. [Google Scholar]
- Gallo, M.; Ferrara, L.; Naviglio, D. Application of ultrasound in food science and technology: A perspective. Foods 2018, 7, 164. [Google Scholar] [CrossRef] [Green Version]
- Chemat, F.; Strube, J. Green Extraction of Natural Products: Theory and Practice; Wiley-VCH Verlag: Weinheim, Germany, 2014; ISBN 9783527676828. [Google Scholar]
- Ranjha, M.M.A.N.; Amjad, S.; Ashraf, S.; Khawar, L.; Safdar, M.N.; Jabbar, S.; Nadeem, M.; Mahmood, S.; Murtaza, M.A. Extraction of Polyphenols from Apple and Pomegranate Peels Employing Different Extraction Techniques for the Development of Functional Date Bars. Int. J. Fruit Sci. 2020, 20, S1201–S1221. [Google Scholar] [CrossRef]
- Alexandru, L.; Binello, A.; Chemat, F.; Cravotto, G.; Giordana, L. Ultrasound-assisted extraction of clove buds using batch- and flow-reactors: A comparative study on a pilot scale. Innov. Food Sci. Emerg. Technol. 2013, 20, 167–172. [Google Scholar] [CrossRef]
- Cravotto, G.; Omiccioli, G.; Stevanato, L. An improved sonochemical reactor. Ultrason. Sonochem. 2005, 12, 213–217. [Google Scholar] [CrossRef] [PubMed]
- Cravotto, G.; Mariatti, F.; Gunjevic, V.; Secondo, M.; Villa, M.; Parolin, J.; Cavaglià, G. Pilot Scale Cavitational Reactors and Other Enabling Technologies to Design the Industrial Recovery of Polyphenols from Agro-Food By-Products, a Technical and Economical Overview. Foods 2018, 7, 130. [Google Scholar] [CrossRef] [PubMed] [Green Version]
- Tan, J.; Li, Q.; Xue, H.; Tang, J. Ultrasound-assisted enzymatic extraction of anthocyanins from grape skins: Optimization, identification, and antitumor activity. J. Food Sci. 2020, 85, 3731–3744. [Google Scholar] [CrossRef] [PubMed]
- Tzima, K.; Brunton, N.P.; Lyng, J.G.; Frontuto, D.; Rai, D.K. The effect of Pulsed Electric Field as a pre-treatment step in Ultrasound Assisted Extraction of phenolic compounds from fresh rosemary and thyme by-products. Innov. Food Sci. Emerg. Technol. 2021, 69, 102644. [Google Scholar] [CrossRef]
- Liang, Q.; Chen, H.; Zhou, X.; Deng, Q.; Hu, E.; Zhao, C.; Gong, X. Optimized microwave-assistant extraction combined ultrasonic pretreatment of flavonoids from Periploca forrestii Schltr. and evaluation of its anti-allergic activity. Electrophoresis 2017, 38, 1113–1121. [Google Scholar] [CrossRef]
- Pereira, D.T.V.; Zabot, G.L.; Reyes, F.G.R.; Iglesias, A.H.; Martínez, J. Integration of pressurized liquids and ultrasound in the extraction of bioactive compounds from passion fruit rinds: Impact on phenolic yield, extraction kinetics and technical-economic evaluation. Innov. Food Sci. Emerg. Technol. 2021, 67, 102549. [Google Scholar] [CrossRef]
- Ordoñez-Torres, A.; Torres-León, C.; Hernández-Almanza, A.; Flores-Guía, T.; Luque-Contreras, D.; Aguilar, C.N.; Ascacio-Valdés, J. Ultrasound-microwave-assisted extraction of polyphenolic compounds from Mexican “Ataulfo” mango peels: Antioxidant potential and identification by HPLC/ESI/MS. Phytochem. Anal. 2020, 32, 495–502. [Google Scholar]
- Arshad, R.N.; Abdul-Malek, Z.; Roobab, U.; Qureshi, M.I.; Khan, N.; Ahmad, M.H.; Liu, Z.W.; Aadil, R.M. Effective valorization of food wastes and by-products through pulsed electric field: A systematic review. J. Food Process Eng. 2020, 44, e13629. [Google Scholar]
- Tiwari, B.K. Ultrasound: A clean, green extraction technology. TrAC - Trends Anal. Chem. 2015, 71, 100–109. [Google Scholar] [CrossRef]
- Fu, X.; Belwal, T.; Cravotto, G.; Luo, Z. Sono-physical and sono-chemical effects of ultrasound: Primary applications in extraction and freezing operations and influence on food components. Ultrason. Sonochem. 2020, 60, 104726. [Google Scholar] [CrossRef]
- Liu, P.; Xu, Y.F.; Gao, X.D.; Zhu, X.Y.; Du, M.Z.; Wang, Y.X.; Deng, R.X.; Gao, J.Y. Optimization of ultrasonic-assisted extraction of oil from the seed kernels and isolation of monoterpene glycosides from the oil residue of Paeonia lactiflora Pall. Ind. Crops Prod. 2017, 107, 260–270. [Google Scholar] [CrossRef]
- Pinton, M.B.; dos Santos, B.A.; Lorenzo, J.M.; Cichoski, A.J.; Boeira, C.P.; Campagnol, P.C.B. Green technologies as a strategy to reduce NaCl and phosphate in meat products: An overview. Curr. Opin. Food Sci. 2020, 40, 1–5. [Google Scholar] [CrossRef]
- Manzoor, M.F.; Zeng, X.A.; Rahaman, A.; Siddeeg, A.; Aadil, R.M.; Ahmed, Z.; Li, J.; Niu, D. Combined impact of pulsed electric field and ultrasound on bioactive compounds and FT-IR analysis of almond extract. J. Food Sci. Technol. 2019, 56, 2355–2364. [Google Scholar] [CrossRef] [PubMed]
- Li, Y.; Tao, F.; Cui, K.; Song, Y.; Nan, L.; Cui, C.; Li, Y.; Yang, J.; Wang, Y.; Jiang, L. Optimization of ultrasonic extraction of anthocyanin in mulberry residue by response surface methodology. IOP Conf. Ser. Earth Environ. Sci. 2020, 559, 012024. [Google Scholar] [CrossRef]
- Alonso-Riaño, P.; Diez, M.T.S.; Blanco, B.; Beltrán, S.; Trigueros, E.; Benito-Román, O. Water ultrasound-assisted extraction of polyphenol compounds from brewer’s spent grain: Kinetic study, extract characterization, and concentration. Antioxidants 2020, 9, 265. [Google Scholar] [CrossRef] [Green Version]
- Medina-Torres, N.; Ayora-Talavera, T.; Espinosa-Andrews, H.; Sánchez-Contreras, A.; Pacheco, N. Ultrasound assisted extraction for the recovery of phenolic compounds from vegetable sources. Agronomy 2017, 7, 47. [Google Scholar] [CrossRef]
- Jovanovic-Malinovska, R.; Kuzmanova, S.; Winkelhausen, E. Application of ultrasound for enhanced extraction of prebiotic oligosaccharides from selected fruits and vegetables. Ultrason. Sonochem. 2015, 22, 446–453. [Google Scholar] [CrossRef]
- Žlabur, J.; Voća, S.; Brnčić, M.; Rimac-Brnčić, S. New Trends in Food Technology for Green Recovery of Bioactive Compounds From Plant Materials. In Role of Materials Science in Food Bioengineering; Elsevier: Amsterdam, The Netherlands, 2018; pp. 1–36. ISBN 9780128115008. [Google Scholar]
- Astráin-Redín, L.; Ciudad-Hidalgo, S.; Raso, J.; Condón, S.; Cebrián, G.; Álvarez, I. Application of High-Power Ultrasound in the Food Industry. In Sonochemical Reactions; IntechOpen: London, UK, 2020. [Google Scholar]
- Kulkarni, V.M.; Rathod, V.K. Mapping of an ultrasonic bath for ultrasound assisted extraction of mangiferin from Mangifera indica leaves. Ultrason. Sonochem. 2014, 21, 606–611. [Google Scholar] [CrossRef]
- Bendicho, C.; Lavilla, I. Ultrasound Extractions. In Reference Module in Chemistry, Molecular Sciences and Chemical Engineering; Elsevier Inc.: Amsterdam, The Netherlands, 2018; Volume 3, pp. 1–9. ISBN 9780124095472. [Google Scholar]
- Belwal, T.; Ezzat, S.M.; Rastrelli, L.; Bhatt, I.D.; Daglia, M.; Baldi, A.; Devkota, H.P.; Orhan, I.E.; Patra, J.K.; Das, G.; et al. A critical analysis of extraction techniques used for botanicals: Trends, priorities, industrial uses and optimization strategies. TrAC - Trends Anal. Chem. 2018, 100, 82–102. [Google Scholar] [CrossRef]
- Flórez, N.; Conde, E.; Domínguez, H. Microwave assisted water extraction of plant compounds. J. Chem. Technol. Biotechnol. 2014, 90, 590–607. [Google Scholar] [CrossRef]
- Lavilla, I.; Bendicho, C. Fundamentals of Ultrasound-Assisted Extraction. In Water Extraction of Bioactive Compounds: From Plants to Drug Development; Domínguez, H., González, M.J., Eds.; Elsevier Inc.: Amsterdam, The Netherlands, 2017; pp. 291–316. ISBN 9780128096154. [Google Scholar]
- Zhu, Y.; Sun, J.; Xu, D.; Wang, S.; Yuan, Y.; Cao, Y. Investigation of (+)-catechin stability under ultrasonic treatment and its degradation kinetic modeling. J. Food Process Eng. 2018, 41, e12904. [Google Scholar] [CrossRef]
- Safdar, M.N.; Kausar, T.; Nadeem, M. Comparison of Ultrasound and Maceration Techniques for the Extraction of Polyphenols from the Mango Peel. J. Food Process. Preserv. 2017, 41, e13028. [Google Scholar] [CrossRef]
- Safdar, M.N. Characterization of Mango and Kinnow Peel Phenolic Compounds for the Development of fruit Bars. Ph.D. Thesis, University of Sargodha, Sargodha, Pakistan, 2016. [Google Scholar]
- Irfan, S.; Ranjha, M.M.A.N.; Mahmood, S.; Saeed, W.; Alam, M.Q. Lemon Peel: A Natural Medicine. Int. J. Biotechnol. Allied Fields 2018, 7, 185–194. [Google Scholar]
- Irfan, S.; Ranjha, M.M.A.N.; Mahmood, S.; Mueen-ud-Din, G.; Rehman, S.; Saeed, W.; Qamrosh Alam, M.; Mahvish Zahra, S.; Yousaf Quddoos, M.; Ramzan, I.; et al. A Critical Review on Pharmaceutical and Medicinal Importance of Ginger. Acta Sci. Nutr. Heal. 2019, 3, 78–82. [Google Scholar]
- Nadeem, H.R.; Akhtar, S.; Ismail, T.; Sestili, P.; Lorenzo, J.M.; Ranjha, M.M.; Jooste, L.; Hano, C.; Aadil, R.M. Heterocyclic Aromatic Amines in Meat: Formation, Isolation, Risk Assessment, and Inhibitory Effect of Plant Extracts. Foods 2021, 10, 1466. [Google Scholar] [CrossRef] [PubMed]
- Ranjha, M.M.A.N.; Irfan, S.; Nadeem, M.; Mahmood, S. A Comprehensive Review on Nutritional Value, Medicinal Uses, and Processing of Banana. Food Rev. Int. 2020, 1–27. [Google Scholar] [CrossRef]
- Ingle, K.P.; Deshmukh, A.G.; Padole, D.A.; Dudhare, M.S.; Moharil, M.P.; Khelurkar, V.C. Phytochemicals: Extraction methods, identification and detection of bioactive compounds from plant extracts. J. Pharmacogn. Phytochem. 2017, 6, 32–36. [Google Scholar]
- Zainal-Abidin, M.H.; Hayyan, M.; Hayyan, A.; Jayakumar, N.S. New horizons in the extraction of bioactive compounds using deep eutectic solvents: A review. Anal. Chim. Acta 2017, 979, 1–23. [Google Scholar] [CrossRef] [PubMed]
- Ranjha, M.M.A.N.; Shafique, B.; Wang, L.; Irfan, S.; Safdar, M.N.; Murtaza, M.A.; Nadeem, M.; Mahmood, S.; Mueen-ud-Din, G.; Nadeem, H.R. A comprehensive review on phytochemistry, bioactivity and medicinal value of bioactive compounds of pomegranate (Punica granatum). Adv. Tradit. Med. 2021. [Google Scholar] [CrossRef]
- Sabtain, B.; Farooq, R.; Shafique, B.; Modassar, M.; Ranjha, A.N. A Narrative Review on the Phytochemistry, Nutritional Profile and Properties of Prickly Pear Fruit. Open Access J. Biog. Sci. Res. 2021, 7. [Google Scholar] [CrossRef]
- Shehzadi, K.; Rubab, Q.; Asad, L.; Ishfaq, M.; Shafique, B.; Modassar, M.; Ranjha, A.N.; Mahmood, S.; Mueen-Ud-Din, G.; Javaid, T.; et al. A Critical Review on Presence of Polyphenols in Commercial Varieties of Apple Peel, their Extraction and Health Benefits. Open Access J. Biog. Sci. Res. 2020, 6, 18. [Google Scholar]
- Al Khawli, F.; Pateiro, M.; Domínguez, R.; Lorenzo, J.M.; Gullón, P.; Kousoulaki, K.; Ferrer, E.; Berrada, H.; Barba, F.J. Innovative green technologies of intensification for valorization of seafood and their by-products. Mar. Drugs 2019, 17, 689. [Google Scholar] [CrossRef] [Green Version]
- Pateiro, M.; Gómez-Salazar, J.A.; Jaime-Patlán, M.; Sosa-Morales, M.E.; Lorenzo, J.M. Plant extracts obtained with green solvents as natural antioxidants in fresh meat products. Antioxidants 2021, 10, 181. [Google Scholar] [CrossRef]
- Soquetta, M.B.; de Marsillac Terra, L.; Bastos, C.P. Green technologies for the extraction of bioactive compounds in fruits and vegetables. CYTA J. Food 2018, 16, 400–412. [Google Scholar] [CrossRef]
- Giacometti, J.; Bursać Kovačević, D.; Putnik, P.; Gabrić, D.; Bilušić, T.; Krešić, G.; Stulić, V.; Barba, F.J.; Chemat, F.; Barbosa-Cánovas, G.; et al. Extraction of bioactive compounds and essential oils from mediterranean herbs by conventional and green innovative techniques: A review. Food Res. Int. 2018, 113, 245–262. [Google Scholar] [CrossRef]
- Vega, A.J.D.; Hector, R.E.; Jose, L.G.J.; Paola, H.C.; Raúl, Á.S.; Enrique, O.V.C. Effect of solvents and extraction methods on total anthocyanins, phenolic compounds and antioxidant capacity of Renealmia alpinia (Rottb.) Maas peel. Czech J. Food Sci. 2017, 35, 456–465. [Google Scholar] [CrossRef] [Green Version]
- Wen, C.; Zhang, J.; Zhang, H.; Dzah, C.S.; Zandile, M.; Duan, Y.; Ma, H.; Luo, X. Advances in ultrasound assisted extraction of bioactive compounds from cash crops–A review. Ultrason. Sonochem. 2018, 48, 538–549. [Google Scholar] [CrossRef]
- Mihailović, N.R.; Mihailović, V.B.; Ćirić, A.R.; Srećković, N.Z.; Cvijović, M.R.; Joksović, L.G. Analysis of Wild Raspberries (Rubus idaeus L.): Optimization of the Ultrasonic-Assisted Extraction of Phenolics and a New Insight in Phenolics Bioaccessibility. Plant Foods Hum. Nutr. 2019, 74, 399–404. [Google Scholar] [CrossRef]
- Mehmood, A.; Ishaq, M.; Zhao, L.; Yaqoob, S.; Safdar, B.; Nadeem, M.; Munir, M.; Wang, C. Impact of ultrasound and conventional extraction techniques on bioactive compounds and biological activities of blue butterfly pea flower (Clitoria ternatea L.). Ultrason. Sonochem. 2019, 51, 12–19. [Google Scholar] [CrossRef] [PubMed]
- Rodsamran, P.; Sothornvit, R. Extraction of phenolic compounds from lime peel waste using ultrasonic-assisted and microwave-assisted extractions. Food Biosci. 2019, 28, 66–73. [Google Scholar] [CrossRef]
- Londoño-Londoño, J.; de Lima, V.R.; Lara, O.; Gil, A.; Pasa, T.B.C.; Arango, G.J.; Pineda, J.R.R. Clean recovery of antioxidant flavonoids from citrus peel: Optimizing an aqueous ultrasound-assisted extraction method. Food Chem. 2010, 119, 81–87. [Google Scholar] [CrossRef]
- Muñiz-Márquez, D.B.; Martínez-Ávila, G.C.; Wong-Paz, J.E.; Belmares-Cerda, R.; Rodríguez-Herrera, R.; Aguilar, C.N. Ultrasound-assisted extraction of phenolic compounds from Laurus nobilis L. and their antioxidant activity. Ultrason. Sonochem. 2013, 20, 1149–1154. [Google Scholar] [CrossRef]
- Safdar, M.N.; Kausar, T.; Jabbar, S.; Mumtaz, A.; Ahad, K.; Saddozai, A.A. Extraction and quantification of polyphenols from kinnow (Citrus reticulate L.) peel using ultrasound and maceration techniques. J. Food Drug Anal. 2017, 25, 488–500. [Google Scholar] [CrossRef] [Green Version]
- Rodrigues, L.M.; Romanini, E.B.; Silva, E.; Pilau, E.J.; da Costa, S.C.; Madrona, G.S. Camu-camu bioactive compounds extraction by ecofriendly sequential processes (ultrasound assisted extraction and reverse osmosis). Ultrason. Sonochem. 2020, 64, 105017. [Google Scholar] [CrossRef]
- Chakraborty, S.; Uppaluri, R.; Das, C. Optimization of ultrasound-assisted extraction (UAE) process for the recovery of bioactive compounds from bitter gourd using response surface methodology (RSM). Food Bioprod. Process. 2020, 120, 114–122. [Google Scholar] [CrossRef]
- Savic, I.M.; Savic Gajic, I.M. Optimization of ultrasound-assisted extraction of polyphenols from wheatgrass (Triticum aestivum L.). J. Food Sci. Technol. 2020, 57, 2809–2818. [Google Scholar] [CrossRef]
- Bouaoudia-Madi, N.; Boulekbache-Makhlouf, L.; Madani, K.; Silva, A.M.S.; Dairi, S.; Oukhmanou-Bensidhoum, S.; Cardoso, S.M. Optimization of ultrasound-assisted extraction of polyphenols from myrtus communis L. Pericarp. Antioxidants 2019, 8, 205. [Google Scholar] [CrossRef] [Green Version]
- Zeng, W.; Li, F.; Wu, C.; Ge, Y.; Yu, R.; Wu, X.; Shen, L.; Liu, Y.; Li, J. Optimization of ultrasound-assisted aqueous extraction of polyphenols from Psidium guajava leaves using response surface methodology. Sep. Sci. Technol. 2020, 55, 728–738. [Google Scholar] [CrossRef]
- Ciric, A.; Krajnc, B.; Heath, D.; Ogrinc, N. Response surface methodology and artificial neural network approach for the optimization of ultrasound-assisted extraction of polyphenols from garlic. Food Chem. Toxicol. 2020, 135, 110976. [Google Scholar] [CrossRef]
- Xu, D.P.; Zheng, J.; Zhou, Y.; Li, Y.; Li, S.; Li, H. Bin Ultrasound-assisted extraction of natural antioxidants from the flower of Limonium sinuatum: Optimization and comparison with conventional methods. Food Chem. 2017, 217, 552–559. [Google Scholar] [CrossRef]
- Foujdar, R.; Bera, M.B.; Chopra, H.K. Optimization of process variables of probe ultrasonic-assisted extraction of phenolic compounds from the peel of Punica granatum Var. Bhagwa and it’s chemical and bioactivity characterization. J. Food Process. Preserv. 2020, 44, 1–16. [Google Scholar] [CrossRef]
- Ryu, D.; Koh, E. Optimization of Ultrasound-Assisted Extraction of Anthocyanins and Phenolic Compounds from Black Soybeans (Glycine max L.). Food Anal. Methods 2019, 12, 1382–1389. [Google Scholar] [CrossRef]
- del Mar Contreras, M.; Lama-Muñoz, A.; Espínola, F.; Moya, M.; Romero, I.; Castro, E. Valorization of olive mill leaves through ultrasound-assisted extraction. Food Chem. 2020, 314, 126218. [Google Scholar] [CrossRef] [PubMed]
- Savic Gajic, I.M.; Savic, I.M.; Gajic, D.G.; Dosic, A. Ultrasound-Assisted Extraction of Carotenoids from Orange Peel Using Olive Oil and Its Encapsulation in Ca-Alginate Beads. Biomolecules 2021, 11, 225. [Google Scholar] [CrossRef]
- Nguyen, T.M.C.; Gavahian, M.; Tsai, P.-J. Ultrasound-assisted extraction of Gac (Momordica cochinchinensis Spreng.) leaves: Effect of maturity stage on phytochemicals and carbohydrate-hydrolyzing enzymes inhibitory activity. Ital. J. Food Sci. 2021, 33, 34–42. [Google Scholar] [CrossRef]
- Ordóñez-Santos, L.E.; Esparza-Estrada, J.; Vanegas-Mahecha, P. Ultrasound-assisted extraction of total carotenoids from mandarin epicarp and application as natural colorant in bakery products. LWT 2021, 139, 110598. [Google Scholar] [CrossRef]
- Irfan, S. A comparative Study of Maceration and Sonication for Extraction of Polyphenols from Lemongrass. In Proceedings of the 30th All Pakistan Food Science Conference & Food Nutrition Expo, Lahore, Pakistan, 24–26 August 2019; p. 378. [Google Scholar]
- Welz, P.J. Edible seed oil waste: Status quo and future perspectives. Water Sci. Technol. 2019, 80, 2107–2116. [Google Scholar] [CrossRef] [PubMed]
- Mushtaq, A.; Roobab, U.; Denoya, G.I.; Inam-Ur-Raheem, M.; Gullón, B.; Lorenzo, J.M.; Aadil, R.M. Advances in green processing of seed oils using ultrasound-assisted extraction: A review. J. Food Process. Preserv. 2020, 44, e14740. [Google Scholar]
- Sicaire, A.G.; Vian, M.A.; Fine, F.; Carré, P.; Tostain, S.; Chemat, F. Ultrasound induced green solvent extraction of oil from oleaginous seeds. Ultrason. Sonochem. 2016, 31, 319–329. [Google Scholar] [CrossRef]
- Hernández-Santos, B.; Rodríguez-Miranda, J.; Herman-Lara, E.; Torruco-Uco, J.G.; Carmona-García, R.; Juárez-Barrientos, J.M.; Chávez-Zamudio, R.; Martínez-Sánchez, C.E. Effect of oil extraction assisted by ultrasound on the physicochemical properties and fatty acid profile of pumpkin seed oil (Cucurbita pepo). Ultrason. Sonochem. 2016, 31, 429–436. [Google Scholar]
- Mohebbi, M.; Heydari, R.; Ramezani, M. Determination of Cu, Cd, Ni, Pb and Zn in edible oils using reversed-phase ultrasonic assisted liquid–liquid microextraction and flame atomic absorption spectrometry. J. Anal. Chem. 2018, 73, 30–35. [Google Scholar] [CrossRef]
- Samaram, S.; Mirhosseini, H.; Tan, C.P.; Ghazali, H.M.; Bordbar, S.; Serjouie, A. Optimisation of ultrasound-assisted extraction of oil from papaya seed by response surface methodology: Oil recovery, radical scavenging antioxidant activity, and oxidation stability. Food Chem. 2015, 172, 7–17. [Google Scholar] [CrossRef] [PubMed]
- Jalili, F.; Jafari, S.M.; Emam-djomeh, Z.; Malekjani, N. Optimization of Ultrasound-Assisted Extraction of Oil from Canola Seeds with the Use of Response Surface Methodology. Food Anal. Methods 2018, 11, 598–612. [Google Scholar] [CrossRef]
- De Mello, B.T.F. Ultrasound-Assisted Extraction of Oil from Chia (Salvia hispânica L.) Seeds: Optimization Extraction and Fatty Acid Profile. J. Food Process Eng. 2015, 40, e12298. [Google Scholar] [CrossRef]
- Hashemi, S.M.B.; Michiels, J.; Asadi Yousefabad, S.H.; Hosseini, M. Kolkhoung (Pistacia khinjuk) kernel oil quality is affected by different parameters in pulsed ultrasound-assisted solvent extraction. Ind. Crops Prod. 2015, 70, 28–33. [Google Scholar] [CrossRef]
- Chanioti, S.; Tzia, C. Optimization of ultrasound-assisted extraction of oil from olive pomace using response surface technology: Oil recovery, unsaponifiable matter, total phenol content and antioxidant activity. LWT Food Sci. Technol. 2017, 79, 178–189. [Google Scholar] [CrossRef]
- Tavares, G.R.; Massa, T.B.; Gonçalves, J.E.; da Silva, C.; dos Santos, W.D. Assessment of ultrasound-assisted extraction of crambe seed oil for biodiesel synthesis by in situ interesterification. Renew. Energy 2017, 111, 659–665. [Google Scholar] [CrossRef]
- da Rosa, A.C.S.; Stevanato, N.; Iwassa, I.; dos Santos Garcia, V.A.; da Silva, C. Obtaining oil from macauba kernels by ultrasound-assisted extraction using ethyl acetate as the solvent. Brazilian J. Food Technol. 2019, 22, 1–10. [Google Scholar] [CrossRef]
- Thi, M.; Doan, N.; Huynh, M.C.; Ngoc, A.; Pham, V.; Quyen, N.D.; Thi, P.; Le, K. Extracting Seed Oil and Phenolic Compounds from Papaya Seeds by Ultrasound-assisted Extraction Method and Their Properties. Chem. Eng. Trans. 2020, 78, 493–498. [Google Scholar]
- Gayas, B.; Kaur, G.; Singh, A. Ultrasound assisted extraction of apricot kernel oil: Effect on physicochemical, morphological characteristics, and fatty acid composition. Acta Aliment. 2020, 49, 23–31. [Google Scholar] [CrossRef]
- Mohammadpour, H.; Sadrameli, S.M.; Eslami, F.; Asoodeh, A. Optimization of ultrasound-assisted extraction of Moringa peregrina oil with response surface methodology and comparison with Soxhlet method. Ind. Crops Prod. 2019, 131, 106–116. [Google Scholar] [CrossRef]
- Naveenkumar, R.; Baskar, G. Ultrasonic assisted extraction of oil from castor seeds: Optimization using response surface methodology, extraction kinetics and characterization. Energy Sources Part A Recover. Util. Environ. Eff. 2019, 1–12. [Google Scholar] [CrossRef]
- Zhang, W.; Pan, Y.G.; Huang, W.; Chen, H.; Yang, H. Optimized ultrasonic-assisted extraction of papaya seed oil from Hainan/Eksotika variety. Food Sci. Nutr. 2019, 7, 2692–2701. [Google Scholar] [CrossRef] [PubMed] [Green Version]
- Ideris, F.; Shamsuddin, A.H.; Nomanbhay, S.; Kusumo, F.; Silitonga, A.S.; Ong, M.Y.; Ong, H.C.; Mahlia, T.M.I. Optimization of ultrasound-assisted oil extraction from Canarium odontophyllum kernel as a novel biodiesel feedstock. J. Clean. Prod. 2021, 288, 125563. [Google Scholar] [CrossRef]
- Yap, Q.J.; Abang Zaidel, D.N.; Mohd Jusoh, Y.M.; Dailin, D.J.; Hashim, Z.; Salleh, E.; Mohd Yusof, A.H.; Muhamad, I.I. Optimisation of swietenia macrophylla seed oil extraction using ultrasound-assisted method. Chem. Eng. Trans. 2021, 83, 79–84. [Google Scholar]
- Alam, I.; Shahi, N.; Lohani, U.; Kumar, A.; Prakash, O. Ultrasound assisted extraction of oil from black cumin (Nigella sativa L.). Int. J. Chem. Stud. 2021, 9, 87–91. [Google Scholar]
- Lara-Espinoza, C.; Carvajal-Millán, E.; Balandrán-Quintana, R.; López-Franco, Y.; Rascón-Chu, A. Pectin and pectin-based composite materials: Beyond food texture. Molecules 2018, 23, 942. [Google Scholar] [CrossRef] [Green Version]
- Ciriminna, R.; Fidalgo, A.; Delisi, R.; Ilharco, L.M.; Pagliaro, M. Pectin production and global market. Agro Food Ind. Hi-Tech. 2016, 27, 17–20. [Google Scholar]
- Yan, J.K.; Wang, C.; Qiu, W.Y.; Chen, T.T.; Yang, Y.; Wang, W.H.; Zhang, H.N. Ultrasonic treatment at different pH values affects the macromolecular, structural, and rheological characteristics of citrus pectin. Food Chem. 2021, 341, 128216. [Google Scholar] [CrossRef] [PubMed]
- Marić, M.; Grassino, A.N.; Zhu, Z.; Barba, F.J.; Brnčić, M.; Rimac Brnčić, S. An overview of the traditional and innovative approaches for pectin extraction from plant food wastes and by-products: Ultrasound-, microwaves-, and enzyme-assisted extraction. Trends Food Sci. Technol. 2018, 76, 28–37. [Google Scholar] [CrossRef]
- Pasandide, B.; Khodaiyan, F.; Mousavi, Z.; Hosseini, S.S. Pectin extraction from citron peel: Optimization by Box–Behnken response surface design. Food Sci. Biotechnol. 2018, 27, 997–1005. [Google Scholar] [CrossRef] [PubMed]
- Asgari, K.; Labbafi, M.; Khodaiyan, F.; Kazemi, M.; Hosseini, S.S. High-methylated pectin from walnut processing wastes as a potential resource: Ultrasound assisted extraction and physicochemical, structural and functional analysis. Int. J. Biol. Macromol. 2019, 152, 1274–1282. [Google Scholar] [CrossRef]
- Banerjee, J.; Vijayaraghavan, R.; Arora, A.; MacFarlane, D.R.; Patti, A.F. Lemon juice based extraction of pectin from mango peels: Waste to wealth by sustainable approaches. ACS Sustain. Chem. Eng. 2016, 4, 5915–5920. [Google Scholar] [CrossRef] [Green Version]
- Bayar, N.; Bouallegue, T.; Achour, M.; Kriaa, M.; Bougatef, A.; Kammoun, R. Ultrasonic extraction of pectin from Opuntia ficus indica cladodes after mucilage removal: Optimization of experimental conditions and evaluation of chemical and functional properties. Food Chem. 2017, 235, 275–282. [Google Scholar] [CrossRef]
- Chuajedton, A.; Karuehanon, W.; Boonkorn, P. Extraction of pectin from peanut shell waste with heating in combination with ultrasonic-assisted extraction. Int. J. GEOMATE 2020, 18, 9–14. [Google Scholar] [CrossRef]
- Freitas de Oliveira, C.; Giordani, D.; Lutckemier, R.; Gurak, P.D.; Cladera-Olivera, F.; Ferreira Marczak, L.D. Extraction of pectin from passion fruit peel assisted by ultrasound. LWT - Food Sci. Technol. 2016, 71, 110–115. [Google Scholar] [CrossRef]
- Grassino, A.N.; Brnčić, M.; Vikić-Topić, D.; Roca, S.; Dent, M.; Brnčić, S.R. Ultrasound assisted extraction and characterization of pectin from tomato waste. Food Chem. 2016, 198, 93–100. [Google Scholar] [CrossRef]
- Hosseini, S.S.; Khodaiyan, F.; Kazemi, M.; Najari, Z. Optimization and characterization of pectin extracted from sour orange peel by ultrasound assisted method. Int. J. Biol. Macromol. 2019, 225, 621–629. [Google Scholar] [CrossRef] [PubMed]
- Kazemi, M.; Khodaiyan, F.; Hosseini, S.S. Eggplant peel as a high potential source of high methylated pectin: Ultrasonic extraction optimization and characterization. LWT 2019, 105, 182–189. [Google Scholar] [CrossRef]
- Ke, J.; Jiang, G.; Shen, G.; Wu, H.; Liu, Y.; Zhang, Z. Optimization, characterization and rheological behavior study of pectin extracted from chayote (Sechium edule) using ultrasound assisted method. Int. J. Biol. Macromol. 2020, 147, 688–698. [Google Scholar] [CrossRef]
- Lin, C.B.; Kai, N.Y.; Ali, A. Ultrasound assisted extraction of pectin from dragon fruit peels. J. Eng. Sci. Technol. 2018, 13, 65–81. [Google Scholar]
- Maran, J.P.; Priya, B. Ultrasound-assisted extraction of pectin from sisal waste. Carbohydr. Polym. 2015, 115, 732–738. [Google Scholar] [CrossRef] [PubMed]
- Maran, J.P.; Priya, B.; Al-Dhabi, N.A.; Ponmurugan, K.; Moorthy, I.G.; Sivarajasekar, N. Ultrasound assisted citric acid mediated pectin extraction from industrial waste of Musa balbisiana. Ultrason. Sonochem. 2017, 35, 204–209. [Google Scholar] [CrossRef]
- Minjares-Fuentes, R.; Femenia, A.; Garau, M.C.; Meza-Velázquez, J.A.; Simal, S.; Rosselló, C. Ultrasound-assisted extraction of pectins from grape pomace using citric acid: A response surface methodology approach. Carbohydr. Polym. 2014, 106, 179–189. [Google Scholar] [CrossRef] [PubMed]
- Moorthy, I.G.; Maran, J.P.; Ilakya, S.; Anitha, S.L.; Sabarima, S.P.; Priya, B. Ultrasound assisted extraction of pectin from waste Artocarpus heterophyllus fruit peel. Ultrason. Sonochem. 2017, 34, 525–530. [Google Scholar] [CrossRef] [PubMed]
- Moorthy, I.G.; Maran, J.P.; Surya, S.M.; Naganyashree, S.; Shivamathi, C.S. Response surface optimization of ultrasound assisted extraction of pectin from pomegranate peel. Int. J. Biol. Macromol. 2015, 72, 1323–1328. [Google Scholar] [CrossRef] [PubMed]
- Shivamathi, C.S.; Moorthy, I.G.; Kumar, R.V.; Soosai, M.R.; Maran, J.P.; Kumar, R.S.; Varalakshmi, P. Optimization of ultrasound assisted extraction of pectin from custard apple peel: Potential and new source. Carbohydr. Polym. 2019, 225, 115240. [Google Scholar] [CrossRef]
- Wang, W.; Ma, X.; Xu, Y.; Cao, Y.; Jiang, Z.; Ding, T.; Ye, X.; Liu, D. Ultrasound-assisted heating extraction of pectin from grapefruit peel: Optimization and comparison with the conventional method. Food Chem. 2015, 178, 106–114. [Google Scholar] [CrossRef]
- Karbuz, P.; Tugrul, N. Microwave and ultrasound assisted extraction of pectin from various fruits peel. J. Food Sci. Technol. 2021, 58, 641–650. [Google Scholar] [CrossRef] [PubMed]
- Li-Chan, E.C.Y.; Lacroix, I.M.E. Properties of proteins in food systems: An introduction. In Proteins in food processing; Woodhead Publishing: Sawston, UK, 2018; pp. 1–25. [Google Scholar]
- Aryee, A.N.A.; Agyei, D.; Udenigwe, C.C. Impact of processing on the chemistry and functionality of food proteins. In Proteins in food processing; Woodhead Publishing: Sawston, UK, 2018; pp. 27–45. [Google Scholar]
- Zou, Y.; Wang, L.; Li, P.; Cai, P.; Zhang, M.; Sun, Z.; Sun, C.; Geng, Z.; Xu, W.; Xu, X.; et al. Effects of ultrasound assisted extraction on the physiochemical, structural and functional characteristics of duck liver protein isolate. Process Biochem. 2017, 52, 174–182. [Google Scholar] [CrossRef]
- Abadía-García, L.; Castaño-Tostado, E.; Ozimek, L.; Romero-Gómez, S.; Ozuna, C.; Amaya-Llano, S.L. Impact of ultrasound pretreatment on whey protein hydrolysis by vegetable proteases. Innov. Food Sci. Emerg. Technol. 2016, 37, 84–90. [Google Scholar] [CrossRef]
- Lv, S.; Taha, A.; Hu, H.; Lu, Q.; Pan, S. Effects of Ultrasonic-Assisted Extraction on the Physicochemical Properties of Different Walnut Proteins. Molecules 2019, 24, 4260. [Google Scholar] [CrossRef] [PubMed] [Green Version]
- Hildebrand, G.; Poojary, M.M.; O’Donnell, C.; Lund, M.N.; Garcia-Vaquero, M.; Tiwari, B.K. Ultrasound-assisted processing of Chlorella vulgaris for enhanced protein extraction. J. Appl. Phycol. 2020, 32, 1709–1718. [Google Scholar] [CrossRef]
- Wen, L.; Álvarez, C.; Zhang, Z.; Poojary, M.M.; Lund, M.N.; Sun, D.W.; Tiwari, B.K. Optimisation and characterisation of protein extraction from coffee silverskin assisted by ultrasound or microwave techniques. Biomass Convers. Biorefinery 2020, 1–11. [Google Scholar] [CrossRef]
- Vernès, L.; Abert-Vian, M.; El Maâtaoui, M.; Tao, Y.; Bornard, I.; Chemat, F. Application of ultrasound for green extraction of proteins from spirulina. Mechanism, optimization, modeling, and industrial prospects. Ultrason. Sonochem. 2019, 54, 48–60. [Google Scholar] [CrossRef]
- Görgüç, A.; Bircan, C.; Yılmaz, F.M. Sesame bran as an unexploited by-product: Effect of enzyme and ultrasound-assisted extraction on the recovery of protein and antioxidant compounds. Food Chem. 2019, 283, 637–645. [Google Scholar] [CrossRef]
- Dabbour, M.; He, R.; Ma, H.; Musa, A. Optimization of ultrasound assisted extraction of protein from sunflower meal and its physicochemical and functional properties. J. Food Process Eng. 2018, 41, e12799. [Google Scholar] [CrossRef]
- Ochoa-Rivas, A.; Nava-Valdez, Y.; Serna-Saldívar, S.O.; Chuck-Hernández, C. Microwave and Ultrasound to Enhance Protein Extraction from Peanut Flour under Alkaline Conditions: Effects in Yield and Functional Properties of Protein Isolates. Food Bioprocess Technol. 2017, 10, 543–555. [Google Scholar] [CrossRef]
- Li, K.; Ma, H.; Li, S.; Zhang, C.; Dai, C. Effect of Ultrasound on Alkali Extraction Protein from Rice Dreg Flour. J. Food Process Eng. 2017, 40, e12377. [Google Scholar] [CrossRef]
- Roselló-Soto, E.; Barba, F.J.; Parniakov, O.; Galanakis, C.M.; Lebovka, N.; Grimi, N.; Vorobiev, E. High Voltage Electrical Discharges, Pulsed Electric Field, and Ultrasound Assisted Extraction of Protein and Phenolic Compounds from Olive Kernel. Food Bioprocess Technol. 2015, 8, 885–894. [Google Scholar] [CrossRef]
Publisher’s Note: MDPI stays neutral with regard to jurisdictional claims in published maps and institutional affiliations. |
© 2021 by the authors. Licensee MDPI, Basel, Switzerland. This article is an open access article distributed under the terms and conditions of the Creative Commons Attribution (CC BY) license (https://creativecommons.org/licenses/by/4.0/).



