Capture of Acidic Gases from Flue Gas by Deep Eutectic Solvents
Abstract
:1. Introduction
2. Non-Functionalized DESs for SO2 Capture
2.1. Caprolactam-Based DESs
2.2. DESs Containing Halogen Anion
2.3. Imidazolium-Based DESs
3. Functionalized DESs for SO2 Capture
3.1. Azole-Based Functionalized DESs
3.2. Other Kinds of Functionalized DESs
| DESs | Molar Ratio | T/K | Capacity at 101 kPa g SO2/g DES | Capacity at 10 kPa g SO2/g DES | Capacity at 2 kPa g SO2/g DES | Capacity at ~2000 ppm g SO2/g DES | Ref. |
|---|---|---|---|---|---|---|---|
| ACC:Im | 1:2 | 303.15 | 0.989 | 0.381 | [49] | ||
| ACC:Im | 1:3 | 303.15 | 0.383 | [49] | |||
| ACC:Tri | 1:1 | 303.15 | 0.227 | [49] | |||
| Bet:EG | 1:3 | 313.15 | 0.366 (1.735) 1 | 0.0701 (0.332) 1 | [57] | ||
| BmimCl:4-CH3-Im | 1:2 | 293.2 | 1.42 | 0.613 | 0.244 | [52] | |
| BmimCl:4-CH3-Im | 1:1 | 293.2 | 1.31 | [52] | |||
| BmimCl:4-CH3-Im | 1:1 | 293.15 | 0.354 (1.42) 1 | [53] | |||
| BmimCl:4-CH3-Im | 2:1 | 293.15 | 0.258 (1.37) 1 | [53] | |||
| BmimCl:Im | 2:1 | 293.2 | 1.32 | 0.564 | 0.225 | [52] | |
| BmimCl:Im | 1:1 | 293.2 | 1.29 | [52] | |||
| BmimCl:Im | 1:2 | 293.2 | 1.24 | [52] | |||
| CPL:Im | 1:1 | 303.15 | 0.624 | [29] | |||
| 2-Et:Gly | 1:2 | 313.15 | 0.241 | [50] | |||
| EU:4-CH3-Im:BmimCl | 1:1:1 | 293.15 | 0.294 (1.58) 1 | [53] | |||
| EU:4-CH3-Im:BmimCl | 2:1:1 | 293.15 | 0.232 (1.54) 1 | [53] | |||
| EU:4-CH3-Im:BmimCl | 1:2:1 | 293.15 | 0.347 (2.29) 1 | [53] | |||
| EU:4-CH3-Im:BmimCl | 1:1:2 | 293.15 | 0.255 (2.07) 1 | [53] | |||
| Im:Gly | 1:2 | 313.15 | 0.253 | 0.211 | [50] | ||
| Im:H2O | 1:4 | 313.15 | 0.369 (1.208) 1 | 0.331 (1.083) 1 | 0.267 (0.873) 1 | [51] | |
| L-car:EG | 1:3 | 313.15 | 0.365 (1.979) 1 | 0.151 (0.819) 1 | [57] | ||
| 2-Me:Gly | 1:2 | 313.15 | 0.246 | [50] | |||
| TBAC:4-CH3-Im | 1:2 | 293.2 | 1.04 | [52] | |||
| TBAC:Im | 1:2 | 293.2 | 0.96 | [52] | |||
| 2-Pr:Gly | 1:2 | 313.15 | 0.225 | [50] | |||
| PPZBr:Gly | 1:4 | 298.15 | 0.42 (3.97) 1 | 0.15 (1.47) 1 | 0.10 (0.98) 2 | [54] | |
| PPZBr:Gly | 1:6 | 298.15 | 0.35 (4.28) 1 | 0.13 (1.55) 1 | 0.08 (0.99) 2 | [54] | |
| PPZBr:Gly | 1:5 | 298.15 | 0.38 (4.10) 1 | 0.13 (1.43) 1 | 0.09 (0.96) 2 | [54] |
4. Non-Functionalized DESs for CO2 Capture
| DESs | Molar Ratio | T/K | P/kPa | CO2 Solubility(mol/kg) | Henry’s Constant(MPa) | Ref. |
|---|---|---|---|---|---|---|
| BHDE:AC | 1:2 | 298.15 | 210–2026 | 0.064–0.84 | [63] | |
| BHDE:LA | 1:2 | 298.15 | 283–2086 | 0.016–0.50 | [63] | |
| BTEA:AC | 1:2 | 298.15 | 325–2054 | 0.13–0.97 | [63] | |
| BTMA:AC | 1:2 | 298.15 | 219–2037 | 0.078–1.45 | [63] | |
| BTMA:GLY | 1:2 | 298.15 | 394–2026 | 0.037–0.26 | [63] | |
| [BTPP]Br:EG | 1:12 | 298.15 | 1000 | 0.6 | [62] | |
| [BTPP]Cl:GLY | 1:12 | 298.15 | 1000 | 0.47 | [62] | |
| ChCl:MEA | 1:7 | 298.15 | 182–2035 | 0.78–3.58 | [63] | |
| Gua:MEA | 1:2 | 298.15 | 226–2025 | 0.31–1.66 | [63] | |
| MTPP:1,2-Pro | 1:4 | 298.15 | 220–2026 | 0.022–0.55 | [63] | |
| MTPP:AC | 1:4 | 298.15 | 173–2014 | 0.073–3.02 | [63] | |
| MTPP:EG | 1:3 | 298.15 | 192–2018 | 0.045–0.35 | [63] | |
| MTPP:GLY | 1:4 | 298.15 | 161–2026 | 0.009–0.29 | [63] | |
| MTPP:LV | 1:3 | 298.15 | 301–2068 | 0.024–0.69 | [63] | |
| MTPP:MEA | 1:6 | 298.15 | 1000 | 1.63 | [62] | |
| MTPP:MEA | 1:7 | 298.15 | 1000 | 1.46 | [62] | |
| MTPP:MEA | 1:8 | 298.15 | 1000 | 1.44 | [62] | |
| TBAC:DecA | 1:2 | 298.15–323.15 | 90–1990 | 0.042–1.52 | 7.55–10.71 | [64] |
| [N8881]Br:DecA | 1:2 | 298.15–323.15 | 90–1990 | 0.041–1.31 | 7.15–9.43 | [64] |
| [N8881]Cl:DecA | 1:2 | 298.15–308.15 | 90–1990 | 0.045–1.35 | 7.18–8.27 | [64] |
| [N8888]Br:DecA | 1:2 | 298.15–323.15 | 90–1990 | 0.039–1.33 | 6.26–8.49 | [64] |
| [N8888]Cl:DecA | 1:1.5 | 298.15–323.15 | 90–1990 | 0.041–1.41 | 5.90–7.70 | [64] |
| [N8888]Cl:DecA | 1:2 | 298.15–323.15 | 90–1990 | 0.042–1.41 | 6.17–8.42 | [64] |
| TBAB:AC | 1:2 | 298.15 | 388–2011 | 0.14–1.13 | [63] | |
| TBAB:DEA | 1:6 | 298.15 | 1000 | 0.85 | [62] | |
| TBAB:MEA | 1:6 | 298.15 | 1000 | 1.34 | [62] | |
| TBAB:MEA | 1:6 | 298.15 | 351–2021 | 0.44–2.78 | [63] | |
| TBAB:MEA | 1:7 | 298.15 | 381–2040 | 0.53–3.01 | [63] | |
| TBAB:TEA | 1:3 | 298.15 | 1000 | 0.47 | [62] | |
| TBAC:AC | 1:2 | 298.15 | 348–2002 | 0.18–1.41 | [63] | |
| TEAC:AC | 1:2 | 298.15 | 281–2018 | 0.14–1.18 | [63] | |
| TEAC:AC | 1:3 | 298.15 | 397–2016 | 0.13–1.23 | [63] | |
| TEAC:OCT | 1:3 | 298.15 | 353–2018 | 0.16–1.39 | [63] | |
| TEMA:AC | 1:2 | 298.15 | 198–1837 | 0.081–1.18 | [63] | |
| TEMA:EG | 1:2 | 298.15 | 138–1345 | 0.062–0.63 | [63] | |
| TEMA:GLY | 1:2 | 298.15 | 150–1648 | 0.017–0.43 | [63] | |
| TEMA:LA | 1:2 | 298.15 | 143–1863 | 0.047–0.53 | [63] | |
| TEMA:LV | 1:2 | 298.15 | 136–1617 | 0.057–0.61 | [63] | |
| TMAC:AC | 1:4 | 298.15 | 294–2096 | 0.12–1.56 | [63] | |
| TPAC:AC | 1:6 | 298.15 | 350–2030 | 0.25–1.72 | [63] | |
| TPAC:MEA | 1:4 | 298.15 | 481–2009 | 0.34–1.43 | [63] | |
| TPAC:MEA | 1:7 | 298.15 | 357–2019 | 1.71–3.53 | [63] |
5. Functionalized DESs for CO2 Capture
5.1. Amino-Based Functionalized DESs
5.2. Azole-Based Functionalized DESs
5.3. Super Base Functionalized DESs
| DESs | Molar Ratio | T/K | Capacity at 101 kPa/wt% | Viscosity of Pure DESs/mPa·s | Viscosity of DESs after CO2 Uptake/mPa·s | Ref. |
|---|---|---|---|---|---|---|
| BmimCl: MEA | 1:1 | 298 | 8.4 | [65] | ||
| BmimCl: MEA | 1:2 | 298 | 17.9 | [65] | ||
| BmimCl: MEA | 1:4 | 298 | 21.4 | [65] | ||
| ChCl:Gly:DBN | 1:2:3 | RT | 9.6 | [77] | ||
| ChCl:Gly:DBN | 1:2:6 | RT | 10.3 | [77] | ||
| ChCl:Gly:DBN | 1:2:7 | RT | 10.5 | [77] | ||
| ChCl:Gly:DBN | 1:2:8 | RT | 10.3 | [77] | ||
| ChCl:Gly:DBN | 1:3:10 | RT | 10.4 | [77] | ||
| ChCl:Gly:DBU | 1:2:6 | RT | 3.55 | [77] | ||
| ChCl:Gly:MTBD | 1:2:6 | RT | 10 | [77] | ||
| ChCl:MEA | 1:5 | 303.15 | 25.23 | [70] | ||
| DBN:BmimCl:Im | 1:1:1 | 298.15 | (1.02) 1 | [79] | ||
| DBN:BmimCl:Im | 1:1:2 | 298.15 | (0.97) 1 | [79] | ||
| DBN:BmimCl:Im | 1:2:1 | 298.15 | (1.07) 1 | [79] | ||
| DBN:DMLU | 2:1 | 318.15 | 4.27; 2.47 2 | >1000 | >10000 | [78] |
| DBN:DMU | 2:1 | 318.15 | 17.34; 16.8 2 | 2.52 ± 0.05 | >3000 | [78] |
| DBN:EU | 2:1 | 318.15 | 23.02; 19.98 2 | 11.85 ± 0.10 | >3000 | [78] |
| DBN:EU | 3:1 | 318.15 | 19.31; 17.33 2 | 7.56 ± 0.03 | [78] | |
| [Emim][2-CNpyr]:EG | 1:2 | 298.15 | 11.4, 10.3 3 | [74] | ||
| [HDBU][Im]:EG | 7:3 | 313.15 | 0.141 | [80] | ||
| [HDBU][Ind]:EG | 7:3 | 313.15 | 0.117 | [80] | ||
| [HDBU][Triz]:EG | 7:3 | 313.15 | 0.108 | [80] | ||
| HmimCl:AP | 1:1 | RT | 2.0 (0.04) 1 | 130.6 | [67] | |
| HmimCl:AP | 1:2 | RT | 9.5 (0.21) 1 | 57 | [67] | |
| HmimCl:AP | 1:3 | RT | 13.9 (0.30) 1 | 49.9 | [67] | |
| HmimCl:AP | 1:4 | RT | 19.4 (0.37) 1 | 39 | [67] | |
| HmimCl:PEHA | 1:4 | RT | 8.4 (0.4) 1 | 213 | [67] | |
| HmimCl:DETA | 1:4 | RT | 22.8 (0.55) 1 | 17.3 | [67] | |
| HmimCl:EDA | 1:1 | RT | 9.0 (0.19) 1 | 80 | [67] | |
| HmimCl:EDA | 1:2 | RT | 25.0 (0.45) 1 | 14.1 | [67] | |
| HmimCl:EDA | 1:3 | RT | 26.7 (0.45) 1 | 7.7 | [67] | |
| HmimCl:EDA | 1:4 | RT | 30.8 (0.50) 1 | 5.8 | [67] | |
| HmimCl:TEPA | 1:4 | RT | 9.9 (0.39) 1 | 100.5 | [67] | |
| MEAC:AP | 1:1 | RT | 15.8 (0.28) 1 | 126.7 | [67] | |
| MEAC:AP | 1:2 | RT | 21 (0.37) 1 | 67 | [67] | |
| MEAC:AP | 1:3 | RT | 24.3 (0.42) 1 | 64 | [67] | |
| MEAC:AP | 1:4 | RT | 26.3 (0.46) 1 | 55 | [67] | |
| MEAC:DETA | 1:4 | RT | 25.5 (0.57) 1 | 19.2 | [67] | |
| MEAC:EDA | 1:1 | RT | 23.5 (0.38) 1 | 128 | [67] | |
| MEAC:EDA | 1:2 | RT | 30.9 (0.47) 1 | 17.3 | [67] | |
| MEAC:EDA | 1:3 | RT | 36.5 (0.54) 1 | 9.6 | [67] | |
| MEAC:EDA | 1:3 | 303.15 | 33.7 | 21.6 | 3995 | [66] |
| MEAC:EDA | 1:4 | RT | 39.0 (0.57) 1 | 7 | [67] | |
| MEAC:PEHA | 1:4 | RT | 12.7 (0.59) 1 | 222 | [67] | |
| MEAC:TEPA | 1:4 | RT | 16.6 (0.63) 1 | 109.4 | [67] | |
| [N2222][Im]:EG | 1:2 | 298.15 | 12.9 (0.94) 1 | [71] | ||
| [N2222][Triz]:EG | 1:2 | 298.15 | 12.5 (0.92) 1 | [71] | ||
| [P2222][Im]:EG | 1:2 | 298.15 | 11.8 (0.91) 1 | [71] | ||
| [P2222][Triz]:EG | 1:2 | 298.15 | 11.8 (0.91) 1 | [71] | ||
| TAEC:EDA | 1:3 | 303.15 | 14.6 | 30.7 | 748.8 | [66] |
| TBAB:AMP | 1:3 | RT | 10.5 (0.35) 1 | 199.7 | [67] | |
| TBAB:AMP | 1:4 | RT | 12.2 (0.38) 1 | 252.263 | [67] | |
| TBAB:AP | 1:2 | RT | 11.1 (0.43) 1 | 243 | [67] | |
| TBAB:AP | 1:3 | RT | 15.6 (0.49) 1 | 51.2 | [67] | |
| TBAB:AP | 1:4 | RT | 18.1 (0.51) 1 | 38.4 | [67] | |
| TEAC:EDA | 1:3 | 303.15 | 24.2 | 52.4 | 3343 | [66] |
| [TETA]Cl:DG | 1:2 | 313.15 | 0.159 | [68] | ||
| [TEPA]Cl:thymol | 1:3 | 313.15 | 0.088 (1.355) 1 | 295.7 | 16,800 | [69] |
| [TETA]Cl:EG | 1:3 | 313.15 | 0.175 | [68] | ||
| [TETA]Cl:thymol | 1:3 | 313.15 | 0.09 (1.298) 1 | 205.1 | 6770 | [69] |
| UEC:EDA | 1:3 | 303.15 | 17.8 | 29.5 | 3011 | [66] |
6. Non-Functionalized DESs for NO Capture
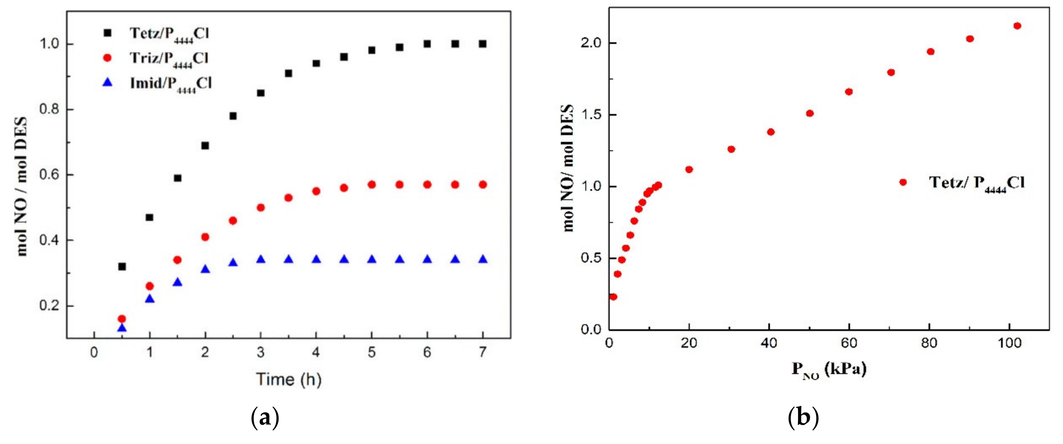
7. Functionalized DESs for NO Capture
Amino-Functionalized DES
| DESs | Molar Ratio | T/K | Capacity at 101 kPa g NO/g DES | Capacity at 10 kPa mol NO/mol DES | Viscosity of Pure DESs/mPa·s | Viscosity of DESs after NO Uptake/mPa·s | Ref. |
|---|---|---|---|---|---|---|---|
| [TEPA]Cl:1,3-PDO | 1:1 | 303.15 | (3.25) 1 | [89] | |||
| [TEPA]Cl:EG | 1:1 | 303.15 | (3.10) 1 | [89] | |||
| [TEPA]Cl:EG | 1:3 | 303.15 | (4.52) 1 | [89] | |||
| [TEPA]Cl:Gy | 1:1 | 303.15 | (3.35) 1 | [89] | |||
| [TEPA]Cl:PEG | 1:1 | 303.15 | (3.45) 1 | [89] | |||
| [TETA]Cl:EG | 1:1 | 303.15 | (2.49) 1 | [89] | |||
| CPL:TBAB | 4:1 | 353.15 | (0.17) 1 | [81] | |||
| TBAB:1,3-DMTU | 1:1 | 303.15 | (1.00) 1 | 1123 | [87] | ||
| TBAB:Tetz | 1:1 | 303.15 | 0.024 (0.32) 1 | 279.15 | 26.32 | [88] | |
| TBAC:1,3-DMTU | 1:1 | 303.15 | (2.05) 1 | 512 | [89] | ||
| TBAC:Tetz | 1:1 | 303.15 | 0.126 (1.46) 1 | 87.88 | 9.85 | [88] | |
| P4444Br:1,3-DMTU | 1:1 | 303.15 | (1.13) 1 | 245 | [87] | ||
| P4444Br:DMU | 1:1 | 303.15 | (0.66) 1 | [86] | |||
| P4444Br:DMU | 1:2 | 303.15 | (0.92) 1 | [86] | |||
| P4444Br:DMU | 1:3 | 303.15 | (1.17) 1 | [87] | |||
| P4444Br:Tetz | 1:1 | 303.15 | 0.035 (0.48) 1 | 68.26 | 5.63 | [88] | |
| P4444Cl:1,3-DMTU | 1:3 | 303.15 | (4.25) 1 | 286 | [87] | ||
| P4444Cl:1,3-DMTU | 1:2 | 303.15 | (3.18) 1 | 173 | [87] | ||
| P4444Cl:1,3-DMTU | 1:1 | 303.15 | (2.13) 1 | 105 | [87] | ||
| P4444Cl:Imid | 1:1 | 303.15 | 0.013 (0.16) 1 | 52.34 | 5.16 | [88] | |
| P4444Cl:Tetz | 1:1 | 303.15 | 0.173(2.100) 1;(0.231) 2 | 40.22 | 3.15 | [88] | |
| P4444Cl:Triz | 1:1 | 303.15 | 0.059 (0.71) 1 | 67.23 | 7.13 | [88] |
8. Regeneration
9. Conclusions and Outlook
Author Contributions
Funding
Institutional Review Board Statement
Informed Consent Statement
Data Availability Statement
Acknowledgments
Conflicts of Interest
Abbreviations
| A | |
| AA | acetamide |
| AC | acetic acid |
| ACC | acetyl choline chloride |
| AIMD | ab initio molecular dynamics |
| AP | 3-amino-1-propanol |
| AMP | aminomethoxypropanol |
| B | |
| Ben-Im | benzimidazole |
| BmimCl | 1-Butyl-3-methylimidazolium chloride |
| BmimBr | 1-Butyl-3-methylimidazolium bromide |
| [BTPP] | butyltriphenylphosphonium |
| BHDE | N-Benzyl-2-hydroxy-N,N-dimethyl ethanaminium chloride |
| BTEA | benzyltriethylammonium chloride |
| BTMA | benzyltrimethylammonium chloride |
| C | |
| ChCl | choline chloride |
| ChAC | choline acetyl chloride |
| 4CH3-Im | 4-methylimidazole |
| CPL | caprolactam |
| D | |
| DBN | 1,5-diazabicyclo[4.3.0]-non-5-ene |
| DBU | 1,8-diazabicyclo[5.4.0]undec-7-ene |
| DEA | diethanolamine |
| DecA | decanoic acid |
| DES | deep eutectic solvent |
| DETA | diethylenetriamine |
| DFT | density functional theory |
| DG | diethylene glycol |
| DMU | 1,3-dimethylurea |
| DMLU | dimethylolurea |
| 1,3-DMTU | 1,3-dimethylthiourea |
| DPA | dipropylamine |
| E | |
| EDA | ethylendiamine |
| EG | ethylene glycol |
| 2-Et | 2-ethylimidazole |
| EmimCl | 1-ethyl-3-methylimidazolium chloride |
| [Emim][2-CNpyr] | 1-ethyl-3-methylimidazolium 2-cyanopyrrolide |
| EU | ethylenurea |
| G | |
| Gly | glycerol |
| Gua | guanidinium hydrochloride |
| H | |
| HBAs | hydrogen bond acceptors |
| HBDs | hydrogen bond donors |
| HmimCl | 1-hexyl-3-methylimidazolium chloride |
| HPLC | high-performance liquid chromatography |
| I | |
| ILs | ionic liquids |
| Im | imidazole |
| L | |
| LA | lactic acid |
| LV | levulinic acid |
| M | |
| MA | malonic acid |
| MDEA | methyl diethanolamine |
| MEA | monoethanolamine |
| MEAC | monoethanolamine hydrochloride |
| 2-Me | 2-methylimidazole |
| MTBD | 7-methyl-1,5,7-triazabicyclo[4.4.0]dec-5-ene |
| MTPP | methyltriphenyl phosphonium bromide |
| MU | N-methylurea |
| MU | N-methylurea |
| N | |
| [N2222][Im] | Tetraethylammonium imidazolium |
| [N2222][Triz] | tetraethylammonium |
| [N8881]Cl | methyl trioctyl ammonium chloride |
| [N8888]Br | tetraoctylammonium bromide |
| [N8888]Cl | tetraoctylammonium chloride |
| NFM | N-Formylmorpholine |
| O | |
| OCT | octanoic acid |
| P | |
| [P2222][Im] | tetraethylammonium imidazolium |
| [P2222][Triz] | tetraethylammonium 1,2,4-triazolium |
| P4444Cl | tetrabutylphosphonium chloride |
| P4444Br | tetrabutylphosphonium bromide |
| 1,3-PDO | 1,3-propanediol |
| PEHA | pentaethylenehexamine |
| PEG | polyethylene glycol |
| PILs | protic ionic liquids |
| 2-Pr | 2-propylimidazole |
| PPZBr | 1-hydroxyethyl-1,4-dimethyl-piperazinium bromide |
| Pyr | pyrazole |
| S | |
| TAC | thioacetamide |
| SBs | Superbases |
| SN | succinonitrile |
| T | |
| TAA | thioacetamide |
| TAAC | thioacetamide hydrochloride |
| TBAB | tetrabutylammonium bromide |
| TBAC | tetrabutylammonium chloride |
| TEA | triethanolamine |
| TEAB | tetraethylammonium bromide |
| TEAC | triethanolamine hydrochloride |
| TEAC | tetraethylammonium chloride |
| TEG | triethylene glycol |
| TEMA | triethylmethylammonium chloride |
| TEPA | tetra-ethylenepentamine |
| [TEPA]Cl | tetraethylenepentamine chloride |
| TETA | triethylenetetramine |
| [TETA]Cl | triethylenetetramine chloride |
| Tetz | tetrazole |
| TMAC | tetramethylammonium chloride |
| TPAC | tetrapropylammonium chloride |
| Tri | 1,2,4-triazole |
| U | |
| UE | urea |
| UEC | urea hydrochloride |
References
- Tailor, R.; Abboud, M.; Sayari, A. Supported polytertiary amines: Highly efficient and selective SO2 adsorbents. Environ. Sci. Technol. 2014, 48, 2025–2034. [Google Scholar] [CrossRef] [PubMed]
- Thitakamol, B.; Veawab, A.; Aroonwilas, A. Environmental impacts of absorption-based CO2 capture unit for post-combustion treatment of flue gas from coal-fired power plant. Int. J. Greenh. Gas Con. 2007, 1, 318–342. [Google Scholar] [CrossRef]
- Fu, S.-L.; Song, Q.; Yao, Q. Mechanism study on the adsorption and reactions of NH3, NO, and O2 on the CaO surface in the SNCR deNOx process. Chem. Eng. J. 2016, 285, 137–143. [Google Scholar] [CrossRef]
- Shelef, M. Selective catalytic reduction of NOx with N-Free reductants. Chem. Rev. 1995, 95, 209–225. [Google Scholar] [CrossRef]
- Aghaie, M.; Rezaei, N.; Zendehboudi, S. A systematic review on CO2 capture with ionic liquids: Current status and future prospects. Renew. Sust. Energ. Rev. 2018, 96, 502–525. [Google Scholar] [CrossRef]
- Chen, K.; Shi, G.; Zhou, X.; Li, H.; Wang, C. Highly efficient nitric oxide capture by azole-based ionic liquids through multiple-site absorption. Angew. Chem. Int. Ed. Engl. 2016, 55, 14364–14368. [Google Scholar] [CrossRef]
- Wang, L.; Zhang, Y.; Liu, Y.; Xie, H.; Xu, Y.; Wei, J. SO2 absorption in pure ionic liquids: Solubility and functionalization. J. Hazard. Mater. 2020, 392, 122504. [Google Scholar] [CrossRef]
- Cui, G.; Huang, Y.; Zhang, R.; Zhang, F.; Wang, J. Highly efficient and reversible SO2 capture by halogenated carboxylate ionic liquids. RSC Adv. 2015, 5, 60975–60982. [Google Scholar] [CrossRef]
- Cui, G.; Zheng, J.; Luo, X.; Lin, W.; Ding, F.; Li, H.; Wang, C. Tuning anion-functionalized ionic liquids for improved SO2 capture. Angew. Chem. Int. Ed. Engl. 2013, 52, 10620–10624. [Google Scholar] [CrossRef] [PubMed]
- Lee, K.-Y.; Kim, C.-S.; Kim, H.-G.; Cheong, M.-S.; Mukherjee, D.K.; Jung, K.-D. Effects of halide anions to absorb SO2 in ionic liquids. Bull. Korean Chem. Soc. 2010, 31, 1937–1940. [Google Scholar] [CrossRef] [Green Version]
- Wang, J.; Zeng, S.J.; Bai, L.; Gao, H.S.; Zhang, X.P.; Zhang, S.J. Novel ether-functionalized pyridinium chloride ionic liquids for efficient SO2 capture. Ind. Eng. Chem. Res. 2014, 53, 16832–16839. [Google Scholar] [CrossRef]
- Cui, G.K.; Lin, W.J.; Ding, F.; Luo, X.Y.; He, X.; Li, H.R.; Wang, C.M. Highly efficient SO2 capture by phenyl-containing azole-based ionic liquids through multiple-site interactions. Green Chem. 2014, 16, 1211–1216. [Google Scholar] [CrossRef]
- Cui, G.; Wang, J.; Zhang, S. Active chemisorption sites in functionalized ionic liquids for carbon capture. Chem. Soc. Rev. 2016, 45, 4307–4339. [Google Scholar] [CrossRef] [PubMed]
- Cui, G.K.; Zhang, F.T.; Zhou, X.Y.; Huang, Y.J.; Xuan, X.P.; Wang, J.J. Acylamido-based anion-functionalized ionic liquids for efficient SO2 capture through multiple-site interactions. ACS Sustain. Chem. Eng. 2015, 3, 2264–2270. [Google Scholar] [CrossRef]
- Cui, G.; Zhang, F.; Zhou, X.; Li, H.; Wang, J.; Wang, C. Tuning the basicity of cyano-containing ionic liquids to improve SO2 capture through cyano-sulfur interactions. Chem. Asian J. 2015, 21, 5632–5639. [Google Scholar]
- Cui, G.; Zhao, N.; Wang, J.; Wang, C. Computer-assisted design of imidazolate-based ionic liquids for improving sulfur dioxide capture, carbon dioxide capture, and sulfur dioxide/carbon dioxide selectivity. Chem. Asian J. 2017, 12, 2863–2872. [Google Scholar] [CrossRef]
- Huang, K.; Zhang, X.M.; Li, Y.X.; Wu, Y.T.; Hu, X.B. Facilitated separation of CO2 and SO2 through supported liquid membranes using carboxylate-based ionic liquids. J. Membr. Sci. 2014, 471, 227–236. [Google Scholar] [CrossRef]
- Ren, S.H.; Hou, Y.C.; Zhang, K.; Wu, W.Z. Ionic liquids: Functionalization and absorption of SO2. Green Energy Environ. 2018, 3, 179–190. [Google Scholar] [CrossRef]
- Zhang, X.; Zhang, X.; Dong, H.; Zhao, Z.; Zhang, S.; Huang, Y. Carbon capture with ionic liquids: Overview and progress. Energy Environ. Sci. 2012, 5, 6668–6681. [Google Scholar] [CrossRef]
- Yu, D.; Mou, H.; Fu, H.; Lan, X.; Wang, Y.; Mu, T. “Inverted” deep eutectic solvents based on host-guest interactions. Chem. Asian J. 2019, 14, 4183–4188. [Google Scholar] [CrossRef]
- Yu, D.; Mou, H.; Zhao, X.; Wang, Y.; Mu, T. Eutectic molecular liquids based on hydrogen bonding and pi-pi interaction for exfoliating two-dimensional materials and recycling polymers. Chem. Asian J. 2019, 14, 3350–3356. [Google Scholar] [CrossRef]
- Yu, D.; Mu, T. Strategy to form eutectic molecular liquids based on noncovalent interactions. J. Phys. Chem. B 2019, 123, 4958–4966. [Google Scholar] [CrossRef] [PubMed]
- Abbott, A.P.; Boothby, D.; Capper, G.; Davies, D.L.; Rasheed, R.K. Deep eutectic solvents formed between choline chloride and carboxylic acids: Versatile alternatives to ionic liquids. J. Am. Chem. Soc. 2004, 126, 9142–9147. [Google Scholar] [CrossRef] [PubMed]
- Zhu, A.L.; Jiang, T.; Han, B.X.; Zhang, J.C.; Xie, Y.; Ma, X.M. Supported choline chloride/urea as a heterogeneous catalyst for chemical fixation of carbon dioxide to cyclic carbonates. Green Chem. 2007, 9, 169–172. [Google Scholar] [CrossRef]
- Hansen, B.B.; Spittle, S.; Chen, B.; Poe, D.; Zhang, Y.; Klein, J.M.; Horton, A.; Adhikari, L.; Zelovich, T.; Doherty, B.W.; et al. Deep eutectic solvents: A review of fundamentals and applications. Chem. Rev. 2021, 121, 1232–1285. [Google Scholar] [CrossRef]
- Liu, Y.; Dai, Z.; Zhang, Z.; Zeng, S.; Li, F.; Zhang, X.; Nie, Y.; Zhang, L.; Zhang, S.; Ji, X. Ionic liquids/deep eutectic solvents for CO2 capture: Reviewing and evaluating. Green Energy Environ. 2020. [Google Scholar] [CrossRef]
- Hou, Y.C.; Yao, C.F.; Wu, W.Z. Deep eutectic solvents: Green solvents for separation applications. Acta Phys. Chim. Sin. 2018, 34, 873–885. [Google Scholar] [CrossRef]
- Chen, Y.; Han, X.X.; Liu, Z.H.; Yu, D.K.; Guo, W.G.; Mu, T.C. Capture of toxic gases by deep eutectic solvents. ACS Sustain. Chem. Eng. 2020, 8, 5410–5430. [Google Scholar] [CrossRef]
- Guo, B.; Duan, E.; Ren, A.; Wang, Y.; Liu, H. Solubility of SO2 in caprolactam tetrabutyl ammonium bromide ionic liquids. J. Chem. Eng. Data 2010, 55, 1398–1401. [Google Scholar] [CrossRef]
- Liu, B.Y.; Zhao, J.J.; Wei, F.X. Characterization of caprolactam based eutectic ionic liquids and their application in SO2 absorption. J. Mol. Liq. 2013, 180, 19–25. [Google Scholar] [CrossRef]
- Liu, B.Y.; Wei, F.X.; Zhao, J.J.; Wang, Y.Y. Characterization of amide–thiocyanates eutectic ionic liquids and their application in SO2 absorption. RSC Adv. 2013, 3, 2470–2476. [Google Scholar] [CrossRef]
- Ding, F.; Zheng, J.J.; Chen, Y.Q.; Chen, K.H.; Cui, G.K.; Li, H.R.; Wang, C.M. Highly efficient and reversible SO2 capture by surfactant-derived dual functionalized ionic liquids with metal chelate cations. Ind. Eng. Chem. Res. 2014, 53, 18568–18574. [Google Scholar] [CrossRef]
- Wang, C.; Zheng, J.; Cui, G.; Luo, X.; Guo, Y.; Li, H. Highly efficient SO2 capture through tuning the interaction between anion-functionalized ionic liquids and SO2. Chem. Commun. 2013, 49, 1166–1168. [Google Scholar] [CrossRef] [PubMed]
- Ghobadi, A.F.; Taghikhani, V.; Elliott, J.R. Investigation on the solubility of SO2 and CO2 in imidazolium-based ionic liquids using NPT Monte Carlo simulation. J. Phys. Chem. B 2011, 115, 13599–13607. [Google Scholar] [CrossRef] [PubMed]
- Mondal, A.; Balasubramanian, S. Understanding SO2 capture by ionic liquids. J. Phys. Chem. B 2016, 120, 4457–4466. [Google Scholar] [CrossRef] [PubMed]
- Yang, D.Z.; Hou, M.Q.; Ning, H.; Zhang, J.L.; Ma, J.; Yang, G.Y.; Han, B.X. Efficient SO2 absorption by renewable choline chloride–glycerol deep eutectic solvents. Green Chem. 2013, 15, 2261–2265. [Google Scholar] [CrossRef]
- Korotkevich, A.; Firaha, D.S.; Padua, A.A.H.; Kirchner, B. Ab initio molecular dynamics simulations of SO2 solvation in choline chloride/glycerol deep eutectic solvent. Fluid Phase Equilib. 2017, 448, 59–68. [Google Scholar] [CrossRef]
- Li, H.P.; Chang, Y.H.; Zhu, W.S.; Wang, C.W.; Wang, C.; Yin, S.; Zhang, M.; Li, H.M. Theoretical evidence of charge transfer interaction between SO2and deep eutectic solvents formed by choline chloride and glycerol. Phys. Chem. Chem. Phys. 2015, 17, 28729–28742. [Google Scholar] [CrossRef]
- Sun, S.Y.; Niu, Y.X.; Xu, Q.; Sun, Z.C.; Wei, X.H. Efficient SO2 absorptions by four kinds of deep eutectic solvents based on choline chloride. Ind. Eng. Chem. Res. 2015, 54, 8019–8024. [Google Scholar] [CrossRef]
- Deng, D.; Han, G.; Jiang, Y. Investigation of a deep eutectic solvent formed by levulinic acid with quaternary ammonium salt as an efficient SO2 absorbent. New J. Chem. 2015, 39, 8158–8164. [Google Scholar] [CrossRef]
- Yang, D.Z.; Han, Y.L.; Qi, H.B.; Wang, Y.B.; Dai, S. Efficient absorption of SO2 by EmimCl-EG deep eutectic solvents. ACS Sustain. Chem. Eng. 2017, 5, 6382–6386. [Google Scholar] [CrossRef]
- Yang, D.; Zhang, S.; Jiang, D.E.; Dai, S. SO2 absorption in EmimCl-TEG deep eutectic solvents. Phys. Chem. Chem. Phys. 2018, 20, 15168–15173. [Google Scholar] [CrossRef] [PubMed]
- Yang, D.; Zhang, S.; Jiang, D.-E. Efficient absorption of SO2 by deep eutectic solvents formed by biobased aprotic organic compound succinonitrile and 1-Ethyl-3-methylimidazolium chloride. ACS Sustain. Chem. Eng. 2019, 7, 9086–9091. [Google Scholar] [CrossRef]
- Jiang, B.; Zhang, H.M.; Zhang, L.H.; Zhang, N.; Huang, Z.H.; Chen, Y.; Sun, Y.L.; Tantai, X.W. Novel deep eutectic solvents for highly efficient and reversible absorption of SO2 by preorganization strategy. ACS Sustain. Chem. Eng. 2019, 7, 8347–8357. [Google Scholar] [CrossRef]
- Zhao, T.X.; Liang, J.; Zhang, Y.T.; Wu, Y.T.; Hu, X.B. Unexpectedly efficient SO2 capture and conversion to sulfur in novel imidazole-based deep eutectic solvents. Chem. Commun. 2018, 54, 8964–8967. [Google Scholar] [CrossRef] [PubMed]
- Deng, D.S.; Zhang, C.; Deng, X.X.; Gong, L. Efficient Absorption of low partial pressure SO2 by 1-Ethyl-3-methylimidazolium chloride plus N-Formylmorpholine deep eutectic solvents. Energy Fuels 2019, 34, 665–671. [Google Scholar] [CrossRef]
- Yang, X.Q.; Zhang, Y.T.; Liu, F.; Chen, P.; Zhao, T.X.; Wu, Y.T. Deep eutectic solvents consisting of EmimCl and amides: Highly efficient SO2 absorption and conversion. Sep. Purif. Technol. 2020, 250, 117273. [Google Scholar] [CrossRef]
- Sheng, K.; Kang, Y.; Li, J.; Xu, H.Y.; Li, D. High-efficiency absorption of SO2 by a new type of deep eutectic solvents. Energy Fuels 2020, 34, 3440–3448. [Google Scholar] [CrossRef]
- Deng, D.S.; Liu, X.B.; Gao, B. Physicochemical properties and investigation of azole-based deep eutectic solvents as efficient and reversible SO2 absorbents. Ind. Eng. Chem. Res. 2017, 56, 13850–13856. [Google Scholar] [CrossRef]
- Zhang, K.; Ren, S.H.; Yang, X.; Hou, Y.C.; Wu, W.Z.; Bao, Y.Y. Efficient absorption of low-concentration SO2 in simulated flue gas by functional deep eutectic solvents based on imidazole and its derivatives. Chem. Eng. J. 2017, 327, 128–134. [Google Scholar] [CrossRef]
- Gao, M.J.; Hou, Y.C.; Zhang, Q.; Sun, Y.; Ren, S.H.; Wu, W.Z. Absorption of SO2 in simulated flue gas by functional deep eutectic solvents based on imidazole and H2O with high mass capacities. Energy Fuels 2020, 34, 4754–4760. [Google Scholar] [CrossRef]
- Chen, Y.; Jiang, B.; Dou, H.Z.; Zhang, L.H.; Tantai, X.W.; Sun, Y.L.; Zhang, H.M. Highly efficient and reversible capture of low partial pressure SO2 by functional deep eutectic solvents. Energy Fuels 2018, 32, 10737–10744. [Google Scholar] [CrossRef]
- Hou, S.; Zhang, C.C.; Jiang, B.; Zhang, H.M.; Zhang, L.H.; Yang, N.; Zhang, N.; Xiao, X.M.; Tantai, X.W. Investigation of highly efficient and reversible absorption of SO2 using ternary functional deep eutectic solvents. ACS Sustain. Chem. Eng. 2020, 8, 16241–16251. [Google Scholar] [CrossRef]
- Cui, G.K.; Liu, J.X.; Lyu, S.Z.; Wang, H.Y.; Li, Z.Y.; Wang, J.J. Efficient and reversible SO2 absorption by environmentally friendly task-specific deep eutectic solvents of PPZBr + Gly. ACS Sustain. Chem. Eng. 2019, 7, 14236–14246. [Google Scholar] [CrossRef]
- Ren, S.H.; Hou, Y.C.; Wu, W.Z.; Liu, Q.Y.; Xiao, Y.F.; Chen, X.T. Properties of ionic liquids absorbing SO2 and the mechanism of the absorption. J. Phys. Chem. B 2010, 114, 2175–2179. [Google Scholar] [CrossRef]
- Zeng, S.J.; Zhang, X.C.; Gao, H.S.; He, H.Y.; Zhang, X.P.; Zhang, S.J. SO2-induced variations in the viscosity of ionic liquids investigated by in situ fourier transform infrared spectroscopy and simulation calculations. Ind. Eng. Chem. Res. 2015, 54, 10854–10862. [Google Scholar] [CrossRef]
- Zhang, K.; Ren, S.H.; Hou, Y.C.; Wu, W.Z. Efficient absorption of SO2 with low-partial pressures by environmentally benign functional deep eutectic solvents. J. Hazard. Mater. 2017, 324, 457–463. [Google Scholar] [CrossRef]
- Leron, R.B.; Li, M.H. Solubility of carbon dioxide in a eutectic mixture of choline chloride and glycerol at moderate pressures. J. Chem. Thermodyn. 2013, 57, 131–136. [Google Scholar] [CrossRef]
- Li, X.Y.; Hou, M.Q.; Han, B.X.; Wang, X.L.; Zou, L.Z. Solubility of CO2 in a choline chloride + urea eutectic mixture. J. Chem. Eng. Data 2008, 53, 548–550. [Google Scholar] [CrossRef]
- Mirza, N.R.; Nicholas, N.J.; Wu, Y.; Mumford, L.A.; Kentish, S.E.; Stevens, G.W. Experiments and thermodynamic modeling of the solubility of carbon dioxide in three different deep eutectic solvents (DESs). J. Chem. Eng. Data 2015, 60, 3246–3252. [Google Scholar] [CrossRef]
- Zhang, Y.Y.; Ji, X.Y.; Lu, X.H. Choline-based deep eutectic solvents for CO2 separation: Review and thermodynamic analysis. Renew. Sust. Energ. Rev. 2018, 97, 436–455. [Google Scholar] [CrossRef]
- Ali, E.; Hadj-Kali, M.K.; Mulyono, S.; Alnashef, I.; Fakeeha, A.; Mjalli, F.; Hayyan, A. Solubility of CO2 in deep eutectic solvents: Experiments and modelling using the Peng–Robinson equation of state. Chem. Eng. Res. Des. 2014, 92, 1898–1906. [Google Scholar] [CrossRef]
- Sarmad, S.; Xie, Y.J.; Mikkola, J.-P.; Ji, X.Y. Screening of deep eutectic solvents (DESs) as green CO2 sorbents: From solubility to viscosity. New J. Chem. 2017, 41, 290–301. [Google Scholar] [CrossRef]
- Zubeir, L.F.; van Osch, D.J.G.P.; Rocha, M.A.A.; Banat, F.; Kroon, M.C. Carbon dioxide solubilities in decanoic acid-based hydrophobic deep eutectic solvents. J. Chem. Eng. Data 2018, 63, 913–919. [Google Scholar] [CrossRef] [Green Version]
- Cao, L.D.; Huang, J.H.; Zhang, X.P.; Zhang, S.J.; Gao, J.B.; Zeng, S.J. Imidazole tailored deep eutectic solvents for CO2 capture enhanced by hydrogen bonds. Phys. Chem. Chem. Phys. 2015, 17, 27306–27316. [Google Scholar] [CrossRef]
- Trivedi, T.J.; Lee, J.H.; Lee, H.J.; Jeong, Y.K.; Choi, J.W. Deep eutectic solvents as attractive media for CO2 capture. Green Chem. 2016, 18, 2834–2842. [Google Scholar] [CrossRef]
- Shukla, S.K.; Mikkola, J.P. Intermolecular interactions upon carbon dioxide capture in deep-eutectic solvents. Phys. Chem. Chem. Phys. 2018, 20, 24591–24601. [Google Scholar] [CrossRef] [PubMed] [Green Version]
- Zhang, K.; Hou, Y.C.; Wang, Y.M.; Wang, K.; Ren, S.H.; Wu, W.Z. Efficient and reversible absorption of CO2 by functional deep eutectic solvents. Energy Fuels 2018, 32, 7727–7733. [Google Scholar] [CrossRef]
- Gu, Y.X.; Hou, Y.C.; Ren, S.H.; Sun, Y.; Wu, W.Z. Hydrophobic functional deep eutectic solvents used for efficient and reversible capture of CO2. ACS Omega 2020, 5, 6809–6816. [Google Scholar] [CrossRef] [PubMed] [Green Version]
- Li, Z.; Wang, L.L.; Li, C.P.; Cui, Y.N.; Li, S.M.; Yang, G.; Shen, Y.M. Absorption of carbon dioxide using ethanolamine-based deep eutectic solvents. ACS Sustain. Chem. Eng. 2019, 7, 10403–10414. [Google Scholar] [CrossRef]
- Cui, G.; Lv, M.; Yang, D. Efficient CO2 absorption by azolide-based deep eutectic solvents. Chem Commun. 2019, 55, 1426–1429. [Google Scholar] [CrossRef] [PubMed]
- Gurkan, B.; Goodrich, B.F.; Mindrup, E.M.; Ficke, L.E.; Massel, M.; Seo, S.; Senftle, T.P.; Wu, H.; Glaser, M.F.; Shah, J.K.; et al. Molecular design of high capacity, low viscosity, chemically tunable ionic liquids for CO2 capture. J. Phys. Chem. Lett. 2010, 1, 3494–3499. [Google Scholar] [CrossRef]
- Liu, F.; Shen, Y.; Shen, L.; Sun, C.; Chen, L.; Wang, Q.L.; Li, S.J.; Li, W. Novel amino-functionalized ionic liquid/organic solvent with low viscosity for CO2 capture. Environ. Sci. Technol. 2020, 54, 3520–3529. [Google Scholar] [CrossRef]
- Lee, Y.Y.; Penley, D.; Klemm, A.; Dean, W.; Gurkan, B. Deep eutectic solvent formed by imidazolium cyanopyrrolide and ethylene glycol for reactive CO2 separations. ACS Sustain. Chem. Eng. 2021, 9, 1090–1098. [Google Scholar] [CrossRef]
- Kaljurand, I.; Koppel, I.A.; Kütt, A.; Rõõm, E.-I.; Rodima, T.; Koppel, I.; Mishima, M.; Leito, I. Experimental gas-phase basicity scale of superbasic phosphazenes. J. Phys. Chem. A 2007, 111, 1245–1250. [Google Scholar] [CrossRef]
- Luo, H.; Baker, G.A.; Lee, J.S.; Pagni, R.M.; Dai, S. Ultrastable superbase-derived protic ionic liquids. J. Phys. Chem. B 2009, 113, 4181–4183. [Google Scholar] [CrossRef]
- Sze, L.L.; Pandey, S.; Ravula, S.; Pandey, S.; Zhao, H.; Baker, G.A.; Baker, S.N. Ternary deep eutectic solvents tasked for carbon dioxide capture. ACS Sustain. Chem. Eng. 2014, 2, 2117–2123. [Google Scholar] [CrossRef]
- Jiang, B.; Ma, J.W.; Yang, N.; Huang, Z.H.; Zhang, N.; Tantai, X.W.; Sun, Y.L.; Zhang, L.H. Superbase/acylamido-based deep eutectic solvents for multiple-site efficient CO2 absorption. Energy Fuels 2019, 33, 7569–7577. [Google Scholar] [CrossRef]
- Zhang, N.; Huang, Z.H.; Zhang, H.M.; Ma, J.W.; Jiang, B.; Zhang, L.H. Highly efficient and reversible CO2 capture by Task-specific deep eutectic solvents. Ind. Eng. Chem. Res. 2019, 58, 13321–13329. [Google Scholar] [CrossRef]
- Yan, H.; Zhao, L.; Bai, Y.G.; Li, F.F.; Dong, H.F.; Wang, H.; Zhang, X.P.; Zeng, S.J. Superbase ionic liquid-based deep eutectic solvents for improving CO2 absorption. ACS Sustain. Chem. Eng. 2020, 8, 2523–2530. [Google Scholar] [CrossRef]
- Duan, E.H.; Guo, B.; Zhang, D.D.; Shi, L.; Sun, H.; Wang, Y. Absorption of NO and NO2 in caprolactam tetrabutyl ammonium halide ionic liquids. J. Air Waste Manag. Assoc. 2011, 61, 1393–1397. [Google Scholar] [CrossRef]
- Ando, R.A.; Siqueira, L.; Bazito, F.C.; Torresi, R.M.; Santos, P.S. The sulfur dioxide-1-Butyl-3-Methylimidazolium bromide interaction: Drastic changes in structural and physical properties. J. Phys. Chem. B 2007, 111, 8717–8719. [Google Scholar] [CrossRef]
- Laali, K.K.; Geissler, B.; Wagner, O.; Hoffmann, J.; Armbrust, R.; Eisfeld, W.; Regitz, M. Generation of the first persistent phosphirenyiium cation. J. Am. Chem. Soc. 1994, 116, 9407–9408. [Google Scholar] [CrossRef]
- Drago, R.S.; Paulik, F.E. The reaction of nitrogen(II) oxide with diethylamine. J. Am. Chem. Soc. 1960, 82, 96–98. [Google Scholar] [CrossRef]
- Drago, R.S.; Ragsdale, R.O.; Eyman, D.P. A mechanism for the reaction of diethylamine with nitric oxide. J. Am. Chem. Soc. 1961, 83, 4337–4339. [Google Scholar] [CrossRef]
- Jiang, B.; Lin, W.R.; Zhang, L.H.; Sun, Y.L.; Yang, H.W.; Hao, L.; Tantai, X.W. 1,3-Dimethylurea tetrabutylphosphonium bromide ionic liquids for NO efficient and reversible capture. Energy Fuels 2016, 30, 735–739. [Google Scholar] [CrossRef]
- Sun, Y.L.; Wei, G.S.; Tantai, X.W.; Huang, Z.H.; Yang, H.W.; Zhang, L.H. Highly efficient nitric oxide absorption by environmentally friendly deep eutectic solvents based on 1,3-Dimethylthiourea. Energy Fuels 2017, 31, 12439–12445. [Google Scholar] [CrossRef]
- Zhang, L.H.; Ma, H.P.; Wei, G.S.; Jiang, B.; Sun, Y.L.; Tantai, X.W.; Huang, Z.H.; Chen, Y. Efficient and reversible nitric oxide absorption by low-viscosity, azole-derived deep eutectic solvents. J. Chem. Eng. Data 2019, 64, 3068–3077. [Google Scholar] [CrossRef]
- Sun, Y.; Gao, M.J.; Ren, S.H.; Zhang, Q.; Hou, Y.C.; Wu, W.Z. Highly efficient absorption of NO by amine-based functional deep eutectic solvents. Energy Fuels 2019, 34, 690–697. [Google Scholar] [CrossRef]








| DESs | Molar Ratio | T/K | Capacity at 101 kPa (g SO2/g DES) | Capacity at 10 kPa (g SO2/g DES) | Capacity at ~2000 ppm (g SO2/g DES) | Ref. |
|---|---|---|---|---|---|---|
| ACC:LA | 1:1 | 293.15 | 0.567 | [40] | ||
| AA:KSCN | 3:1 | 293.15 | 0.588 | [31] | ||
| AA:NH4SCN | 3:1 | 293.15 | 0.579 | [31] | ||
| BmimBr:DMU | 1:1 | 293.15 | 0.92 | [44] | ||
| BmimBr:EU | 1:1 | 293.15 | 0.91 | [44] | ||
| BmimCl:AA | 1:1 | 293.15 | 1.17 (4.28) 1 | 0.44 (1.61) 1 | [45] | |
| BmimCl:DMU | 2:1 | 293.15 | 1.14 | 0.42 | 0.26 3 | [44] |
| BmimCl:DMU | 1:1 | 293.15 | 1.14 | [44] | ||
| BmimCl:EU | 2:1 | 293.15 | 1.18 | 0.42 | 0.25 3 | [44] |
| BmimCl:EU | 1:1 | 293.15 | 1.07 | [44] | ||
| BmimCl:EU | 1:2 | 293.15 | 0.94 | [44] | ||
| ChCl:EG | 1:2 | 293.15 | 0.7(2.88) 1 | (0.65) 2 | [39] | |
| ChCl:MA | 1:1 | 293.15 | (1.88) 1 | (0.28) 2 | [39] | |
| ChCl:UE | 1:2 | 293.15 | (1.41) 1 | (0.56) 2 | [39] | |
| ChCl:Gly | 1:1 | 293.15 | 0.678 | 0.153 | [36] | |
| ChCl:Gly | 1:2 | 293.15 | 0.482 | 0.077 | [36] | |
| ChCl:Gly | 1:3 | 293.15 | 0.38 | 0.053 | [36] | |
| ChCl:Gly | 1:4 | 293.15 | 0.32 | 0.046 | [36] | |
| ChCl: LA | 1:1 | 293.15 | 0.557 | [40] | ||
| ChCl:thiourea | 1:1 | 293.15 | 0.88 (2.96) 1 | (0.3) 2 | [39] | |
| CPL:AA | 1:1 | 303.15 | 0.497 | [29] | ||
| CPL:KSCN | 3:1 | 293.15 | 0.607 | [31] | ||
| CPL:NH4SCN | 3:1 | 293.15 | 0.595 | [31] | ||
| CPL:TBAB | 1:1 | 298.2 | 0.099 | [29] | ||
| EmimCl:AA | 2:1 | 293.15 | 1.39 (7.63) 1 | 0.49 (2.70) 1 | [45] | |
| EmimCl:AA | 1:1 | 293.15 | 1.25 (4.01) 1 | 0.46 (1.48) 1 | [45] | |
| EmimCl:AA | 1:2 | 293.15 | 1.13 (4.69) 1 | 0.27 (1.12) 1 | [45] | |
| EmimCl:CLAA | 2:1 | 293.15 | 1.26 (8.00) 1 | 0.45 (2.86) 1 | [47] | |
| EmimCl:DMU | 1:1 | 293.15 | 1.04 | [44] | ||
| EmimCl:DMU | 2:1 | 293.15 | 1.22 (7.26) 1 | 0.43 (2.50) 1 | [47] | |
| EmimCl:EG | 2:1 | 293.15 | 1.15 | 0.42 | [41] | |
| EmimCl:EG | 1:1 | 293.15 | 1.03 | 0.31 | [41] | |
| EmimCl:EG | 1:2 | 293.15 | 0.82 | 0.22 | [41] | |
| EmimCl:EPyBr | 3:1 | 293.15 | 1.395 | 0.698 | 0.17 | [46] |
| EmimCl:EPyBr | 2:1 | 293.15 | 1.336 | 0.662 | 0.162 | [46] |
| EmimCl:EPyBr | 1:1 | 293.15 | 1.286 | 0.627 | 0.155 | [46] |
| EmimCl:EU | 1:1 | 293.15 | 1.14 | [44] | ||
| EmimCl:MU | 2:1 | 293.15 | 1.09 (6.25) 1 | 0.36 (2.06) 1 | [47] | |
| EmimCl:SAA | 2:1 | 293.15 | 1.18 (6.79) 1 | 0.37 (2.13) 1 | [47] | |
| EmimCl:SN | 1:1 | 293.15 | 1.13 | 0.12 | [43] | |
| EmimCl:SN | 1:2 | 293.15 | 0.96 | 0.085 | [43] | |
| EmimCl:SN | 1:4 | 293.15 | 0.79 | 0.047 | [43] | |
| EmimCl:TEG | 6:1 | 293.15 | 1.25 | 0.54 | [42] | |
| EmimCl:TEG | 4:1 | 293.15 | 1.2 | 0.5 | [42] | |
| EmimCl:TEG | 2:1 | 293.15 | 1.06 | 0.38 | [42] | |
| EmimCl:TEG | 1:1 | 293.15 | 0.91 | 0.31 | [42] | |
| EmimCl:NFM | 1:1 | 293.15 | 0.429 | [46] | ||
| HmimCl:AA | 1:1 | 293.15 | 1.02 (4.16) 1 | 0.38 (1.55) 1 | [45] | |
| TBAC:DMU | 1:1 | 293.15 | 0.83 | [44] | ||
| TBAC:EU | 1:1 | 293.15 | 0.81 | [44] | ||
| P4444Cl:DMU | 1:1 | 293.15 | 0.83 | [44] | ||
| P4444Cl:EU | 1:1 | 293.15 | 0.81 | [44] | ||
| TBAB:LA | 1:1 | 293.15 | 0.547 | [40] | ||
| TBAC: LA | 1:1 | 293.15 | 0.541 | [40] | ||
| TEAB: LA | 1:1 | 293.15 | 0.622 | [40] | ||
| TEAC: LA | 1:1 | 293.15 | 0.625 | [40] | ||
| Urea:NH4SCN | 3:1 | 303.15 | 0.372 | [31] |
Publisher’s Note: MDPI stays neutral with regard to jurisdictional claims in published maps and institutional affiliations. |
© 2021 by the authors. Licensee MDPI, Basel, Switzerland. This article is an open access article distributed under the terms and conditions of the Creative Commons Attribution (CC BY) license (https://creativecommons.org/licenses/by/4.0/).
Share and Cite
Wang, Y.; Ren, S.; Hou, Y.; Wu, W. Capture of Acidic Gases from Flue Gas by Deep Eutectic Solvents. Processes 2021, 9, 1268. https://doi.org/10.3390/pr9081268
Wang Y, Ren S, Hou Y, Wu W. Capture of Acidic Gases from Flue Gas by Deep Eutectic Solvents. Processes. 2021; 9(8):1268. https://doi.org/10.3390/pr9081268
Chicago/Turabian StyleWang, Yan, Shuhang Ren, Yucui Hou, and Weize Wu. 2021. "Capture of Acidic Gases from Flue Gas by Deep Eutectic Solvents" Processes 9, no. 8: 1268. https://doi.org/10.3390/pr9081268
APA StyleWang, Y., Ren, S., Hou, Y., & Wu, W. (2021). Capture of Acidic Gases from Flue Gas by Deep Eutectic Solvents. Processes, 9(8), 1268. https://doi.org/10.3390/pr9081268

