Next Article in Journal
Effect of Vertical Permeability Heterogeneity in Stratified Formation on Electricity Generation Performance of Enhanced Geothermal System
Next Article in Special Issue
Purification Process of Mangiferin from Mangifera indica L. Leaves and Evaluation of Its Bioactivities
Previous Article in Journal
Analyzing Impacts of Interfacial Instabilities on the Sweeping Power of Newtonian Fluids to Immiscibly Displace Power-Law Materials
 
 
Font Type:
Arial Georgia Verdana
Font Size:
Aa Aa Aa
Line Spacing:
Column Width:
Background:
Article

Extraction Optimization by Experimental Design of Bioactives from Pleurotus ostreatus and Evaluation of Antioxidant and Antimicrobial Activities

by
Federica Ianni
1,†,
Francesca Blasi
1,†,
Paola Angelini
2,*,
Simonetta Cristina Di Simone
3,
Giancarlo Angeles Flores
2,
Lina Cossignani
1,4,* and
Roberto Venanzoni
2
1
Department of Pharmaceutical Sciences, University of Perugia, 06126 Perugia, Italy
2
Department of Chemistry, Biology and Biotechnology, University of Perugia, 06122 Perugia, Italy
3
Department of Pharmacy, Botanic Garden “Giardino dei Semplici”, Università degli Studi “Gabriele d’Annunzio”, via dei Vestini 31, 66100 Chieti, Italy
4
Center for Perinatal and Reproductive Medicine, Santa Maria della Misericordia University Hospital, University of Perugia, Sant’Andrea delle Fratte, 06132 Perugia, Italy
*
Authors to whom correspondence should be addressed.
Both authors contributed equally to this work.
Processes 2021, 9(5), 743; https://doi.org/10.3390/pr9050743
Submission received: 19 March 2021 / Revised: 8 April 2021 / Accepted: 19 April 2021 / Published: 22 April 2021

Abstract

Oyster mushroom (Pleurotus ostreatus) has gained in the last years increasing attention due to its richness in bioactive metabolites with health properties, making this variety an attractive candidate for promising developments in nutraceutical and cosmeceutical fields. According to the conditions planned by the experimental design approach, the ultrasound-assisted extraction of the phenol fraction from P. ostreatus was performed by evaluating the influence of critical variables (solvent, solvent/solid ratio, time, temperature) on total phenol content and antioxidant activity. The results of the optimization showed that a more performing extraction can be obtained with the highest values of solvent/solid ratio and water % in ethanol. The optimal extraction conditions were applied to four P. ostreatus samples, differing for geographical origin and growth substrate. The hydroalcoholic extracts were characterized in terms of total phenol content, and in vitro antioxidant and antimicrobial activities and interesting correlations were found among them. The obtained results highlighted significant differences for the antioxidant and antimicrobial activities for P. ostreatus samples grown on different substrates and geographical areas. The investigation on biological activity of edible mushroom extracts has a high relevance since it has a positive impact on the nutritional and health properties.

1. Introduction

The global consumption of mushrooms has grown over the years, not only for the recognized culinary properties characterized by high palatability and unique flavors but also for their potential health properties [1,2]. The oyster mushroom (Pleurotus ostreatus) is widely distributed in nature as it grows in the presence of negligible bio-resources and adapts to various agro-climatic conditions [3]. Moreover, it represents one of the most cultivated edible mushrooms, showing higher yield and growth compared to other cultivated mushrooms. In addition to this, P. ostreatus is gaining increasing dietary importance, being particularly rich in bioactive compounds (phenols, flavonoids, ascorbic acid, glycosides, tocopherols, polysaccharides, and carotenoids), which emphasizes their potential therapeutic applications as antioxidant, antimicrobial, anti-proliferative, immunomodulatory, anti-inflammatory and antihypertensive [4].
The wide spectrum of pharmacological properties of P. ostreatus phenolic compounds makes this species an attractive candidate for the production of functional foods, pharmaceutical and cosmetic formulations [5,6]. Phenolic compounds have been associated with a wide array of biological activities, among which the antioxidant capacity able to strengthen the body’s defenses [7,8]. Concerning P. ostreatus phenol content, it should be underlined that, besides the genetic factors, the growing conditions, pH and composition of substrate may influence the metabolic pathway thus influencing the phenol content of mushrooms [9,10].
Besides their well-known antioxidant activity, many phenolic compounds may exhibit significant antimicrobial activity against a wide range of organisms. Cueva et al. [11] have assayed the antimicrobial activity of a structural array of benzoic, phenylacetic and phenylpropionic acids against some strains of Escherichia coli, Lactobacillus spp., Staphylococcus aureus, Pseudomonas aeruginosa and Candida albicans. The antimicrobial activity of different phenolic compounds identified in mushroom species was investigated by Alves et al. [12]. Only phenolic acids showed activity, highlighting the importance of the carboxylic group in the molecule structure (proton acceptor). Various studies have also shown that plant-derived phenolics (phenolic acids, flavonoids, stilbenes and tannins) can inhibit the growth of different microorganisms, including food-related pathogens and clinically important bacteria, fungi and protozoa [11,12].
Recently Sun et al. [13] reviewed the recent developments of efficient physical technologies for extraction of bioactive constituents from edible fungi (i.e., P. ostreatus). Among innovative ones, the application of ultrasound-assisted extraction (UAE) shows numerous advantages to obtain bioactive phenols from Pleurotus mushroom, for example short extraction time and less extraction solvent [14,15,16].
Until now, at the best of our knowledge, no studies were carried out on the optimization of UAE for the extraction of the phenol fraction from P. ostreatus. The influence of critical variables (solvent, solvent/solid ratio, sonication time and temperature) on the efficiency of the process was evaluated. The optimized UAE conditions were applied to four P. ostreatus strains from two different regions, but grown in the same area on two different substrates and different environmental conditions. The obtained hydroalcoholic extracts were characterized in terms of total phenol content, and in vitro antioxidant and antimicrobial activities in order to evaluate possible differences among the considered samples.

2. Materials and Methods

2.1. Chemicals and Reagents

Folin-Ciocalteu reagent, 2, 2′-azino-bis-(3-ethylbenzothiazoline-6-sulphonate) diammonium salt (ABTS), 2, 4, 6-tris(2-pyridyl)-s-triazine (TPTZ), 6-hydroxy-2, 5, 7, 8-tetramethyl-2-carboxylic acid (Trolox), 2, 2-diphenyl-1-picrylhydrazyl (DPPH), ferric chloride (FeCl3), sodium carbonate (Na2CO3), gallic acid (GA), ethanol (EtOH), potassium persulfate, Mueller-Hinton broth (MHB), Rose Bengal chloramphenicol agar (RBCA), Roswell Park Memorial Institute (RPMI) 1640, Sabouraud dextrose agar (SDA), malt extract agar (MEA), 2, 3, 5-triphenyl-tetrazolium chloride (TTC), tryptic soy agar (TSA), morpholinepropanesulphonic acid (MOPS), ciprofloxacin, fluconazole and griseofulvin were purchased from Sigma-Aldrich (Milan, Italy). Analytical grade solvents were acquired from Carlo Erba Reagents (Milan, Italy).

2.2. Instrumentation

The ultrasonic treatment was performed using an ultrasonic bath, model AU-65 (ArgoLab, Carpi, Italy). All the UV spectra were recorded at 25 °C with a Lambda 20 spectrophotometer (PerkinElmer, Inc.; Waltham, MA, USA). Deionized water was obtained with a Milli-Q system (Millipore Corp, Billerica, MA, USA). Olympus BX50 Fluorescence Microscope (Milan, Italy), FVS/50-vertical laboratory autoclave (Fedegari S.p.A., Pavia, Italy), vertical laminar flow cabinets AURA MINI (Euroclone S.p.A., Milan, Italy), Model 200/2.0 power supply (Bio-Rad Laboratories, Milan, Italy), Safe ImagerTM 2.0 Blue-Light Transilluminator Invitrogen (Thermo Fisher Scientific, Qiryat Shemona, Israel), and a SimpliAmp Thermal Cycler Applied Biosystems (Thermo Fisher Scientific, Singapore).

2.3. Mushroom Strains

The fruiting bodies of two P. ostreatus strains (PeruMyc2412 and PeruMyc2475) were collected in Cima di Tuoro (CT: Perugia, Umbria, Italy; date of collection: April 2019) and Castel Porziano (CP: Rome, Lazio, Italy; date of collection: November 2018). The Vaucher specimens were identified on the basis of macro- and micromorphological features and were deposited in the herbarium at the University of Perugia [Department of Chemistry, Biology and Biotechnology (DCBB), Perugia, Italy].
For the isolation of mycelia in a pure culture, small portions of the inner pseudo-tissue of pileus (about 10 mm3) were aseptically excised from the fresh fruiting bodies, transferred into RBCA, and then incubated at 25 °C for 14 days in darkness. Mycelium discs (5 mm in diameter) were then inoculated in each Petri dish [placed in the center of the MEA medium] under aseptic conditions. The mycelial strains are deposited in the DCBB culture collection and subcultured on MEA medium every three months.

2.4. Molecular Identification

Total genomic DNA was extracted from ten days old mycelium grown in MEA, according to Angelini et al. [5]. The internal transcribed spacer (ITS) region was amplified using the primer combination ITS1F/ITS4, according to Angelini et al. [6]. Thermocycler was programmed as follows: one cycle of denaturation at 95 °C for 2.5 min; 35 cycles of denaturation at 95 °C for 20 s, annealing at 55 °C for 20 s and extension at 72 °C for 45 s; one final extension cycle at 72 °C for 7 min. Electrophoresis of PCR (polymerase chain reactions) amplicons was carried out on 1.2% agarose gel. The PCR products was purified using the ExoSap-IT PCR Cleanup reagent (Affymetrix UK Ltd., High Wycombe, UK) and then submitted for sequencing to Macrogen Europe (Amsterdam, The Netherlands). The resulting chromatograms were proofread and the generated sequences were deposited in GenBank with the access no. MW846237 (P. ostreatus from Castel Porziano) and no. MW846257 (P. ostreatus from Cima di Tuoro).

2.5. Spawn Production

P. ostreatus spawn was produced following the standard method with the use of barley grains. Grains were first washed in tap water and soaked overnight, then they were boiled in water in the ratio of 1:1 (barley grains: water, w/v) for 15 min and then drained of all the water in excess. After that, the drained barley grain was mixed with 1.5% (w/w) of the gypsum and 3% of calcium carbonate in order to optimize pH and prevent grains clumping. Later, grains were transferred into half-filled 250 mL glass bottles and sterilized at 121 °C for 30 min in autoclave. The barley grains were allowed to cool over night before inoculation with an agar plug (1 cm diameter) of a 7-d-old colony of P. ostreatus strains under aseptic conditions. Bottles were incubated at 25 ± 2 °C in darkness until the mycelium had totally colonized the grain.

2.6. Preparation and Cultivation of Pleurotus Ostreatus on Woody Substrate

Two different substrates were tested for the cultivation of P. ostreatus strains: “black poplar wood logs” and “lignocellulosic by-products”.

2.6.1. Black Poplar Wood Logs

Briefly, for each P. ostreatus strain [Cima di Tuoro-Woody Substrate (CT-WS) and Castel Porziano-Woody Substrate (CP-WS)], 5 wood logs of Populus nigra L., 30–40 cm in diameter and 50 cm long, were used. Spawn was driven into holes of each wood log by using an inoculator gun. Afterwards, holes were covered with plastic foam plugs and logs were stored in greenhouses with mist sprayers for four months to achieve the complete colonization of the mycelia. In the end, logs were put outdoors for the development of fruiting bodies. Within 12 months, more harvests of fruit bodies were performed.

2.6.2. Lignocellulosic By-Products (Residues)

Briefly, substrate included wheat straw (40%), Hordeum vulgare caryopsis (20%), Triticum dicoccum caryopsis (20%), and black poplar sawdust (20%). It was submerged in water for 24 h for moisture absorption and excess water was then discharged. The mixed substrate was packed in 10 heat-resistant autoclavable bags (40 × 60 cm) and then sterilized in autoclave at 121 °C for 90 min. After cooling, for each P. ostreatus strain 5 bagged substrates were inoculated with anteriorly prepared barley grain spawn of the P. ostreatus strains [Cima di Tuoro-Lignocellulosic Substrate (CT-LcS) and Castel Porziano-Lignocellulosic Substrate (CP-LcS)] at the rate of 2% of wet substrate. Inoculation was scrupulously carried out under a laminar flow cabinet.
The bags were then placed into spawn running room at 25 ± 2 °C in complete darkness. When the mycelium totally covered the substrate, polythene bags were transferred into a room at 15 ± 2 °C, with 80–90% relative humidity and light of 200 lux intensity for 12 h. The bags were then opened and the mats were watered twice a day to increase the humidity and induce fruiting body development. The experiment was completed after three fruiting flushes. The experiment was replicated three times for each P. ostreatus strain. The first mushrooms produced about five months after spawning were harvested for extractions.

2.7. Optimization of UAE Extraction of Phenolic Compounds by Experimental Design

Taking into account the potential of UAE as an emerging and innovative technique to get bioactive compounds from plant sources, this approach was selected to carry out the extraction of the phenolic pool from the mushrooms under investigation. Accordingly, the optimization of the extraction conditions of phenolic compounds from P. ostreatus was achieved by applying an experimental design [17], using MODDE 5.0 (UMETRICS AB, Umeå, Sweden) software. Sample CT-WS was selected as pilot sample to carry out the optimization design.
The following quantitative factors were considered:
  • solvent percentage (water % in ethanol), set values: low–high 50;
  • solvent/solid (mL/g) ratio, set values: low 10–high 60;
  • time (min), set values: low 10–high 60;
  • temperature (°C), set values: low 30–high 60.
The influence of these factors was investigated on the following responses: yield, total phenol content (TPC), antioxidant capacity measured by DPPH, ABTS and ferric reducing antioxidant power (FRAP) assays. Selecting the screening objective, a two-level full factorial design and model with interaction, a total of nineteen experiments was obtained (including three replicated center points). The extractions, carried out in random order, were performed by using the experimental conditions indicated in the worksheet (Supplementary Material, Table S1). The model was then fitted using multiple linear regression (MLR) analysis.
P. ostreatus samples were obtained from 4–5 fruiting bodies for each strain from the first fruiting flush (stored at −80 °C until use) and then lyophilized. P. ostreatus extracts were obtained by mixing the proper quantities of mushroom with 10 mL of the assigned solvent, with the respective assigned time and temperature combination. After the extraction, samples were centrifuged at 2000 rpm for 10 min at room temperature. Supernatants were collected, filtered under vacuum through Whatman filter papers and dried by rotary evaporator. Each residue was weighted in order to calculate the extraction yield (%) and then re-suspended in pure ethanol (or ethanol water mixtures, when necessary) to get a final concentration equal to 5.0 mg/mL. In order to determine the total phenol content and the antioxidant/reducing properties, the obtained solutions were analyzed by spectrophotometric assays, performed in duplicate.

2.8. Spectrophotometric Assays

2.8.1. Determination of Total Phenol Content

P. ostreatus extract was mixed with 20% Na2CO3 solution and the Folin-Ciocalteu’s reagent, then the mixture was kept in the dark for 30 min before measuring the absorbance at 750 nm. Analyses were performed in duplicate for each extract and the results were expressed as mg of gallic acid equivalents (GAE) per 100 g of dry weight (mg GAE/100 g dw) [17].

2.8.2. FRAP Assay

The FRAP reagent, prepared by mixing TPTZ solution with FeCl3 solution and acetate buffer, was added to the sample extracts. The reaction mixture was kept in the dark for 4 min at room temperature before measuring the absorbance at 593 nm. Analyses were performed in duplicate for each sample and the antioxidant capacity was expressed as mg Trolox equivalents (TE) per 100 g of dry weight (mg TE/100 g dw) [17].

2.8.3. Free Radical-Scavenging Activity by DPPH Assay

The DPPH reagent (0.06 mM in ethanol) was added to the extract sample and the mixture kept in the dark for 30 min, before measuring the absorbance at 517 nm. Analyses were performed in duplicate and the results were expressed as mg TE/100 g dw [18].

2.8.4. Free Radical-Scavenging Capacity by ABTS Assay

The radical cation ABTS+• form was prepared by reaction of ABTS with potassium persulfate solutions after keeping in the dark at room temperature for 12 h. Then the obtained reagent was diluted with EtOH until getting an absorbance of 0.70 (±0.02) at 734 nm. An aliquot of ABTS+•/EtOH solution was added to the extract and the mixture left in the dark for 6 min. Analyses were performed in duplicate for each extract and results were expressed as mg TE/100 g dw [19].

2.9. Antimicrobial Susceptibility Testing

The in vitro antimicrobial activity of fruiting body extracts of Pleurotus ostreatus (CT-WS, CP-WS, CT-LcS and CP-LcS) were assessed against the following Gram-negative and Gram-positive strains: Escherichia coli (ATCC 10536), E. coli (PeruMycA 2), E. coli (PeruMycA 3), Bacillus cereus (PeruMycA 4), Pseudomonas aeruginosa (PeruMyc 5), B. subtilis (PeruMyc 6), Salmonella typhy (PeruMyc 7), Staphylococcus aureus (ATCC 6538). Furthermore, the same extracts were assayed for the antifungal assays against different yeasts and dermatophyte species: Candida albicans (YEPGA 6183), C. tropicalis (YEPGA 6184), C. albicans (YEPGA 6379), C. parapsilopsis (YEPGA 6551), Arthroderma crocatum (CCF 5300), A. curreyi (CCF 5207), A. gypseum (CCF 6261), A. insingulare (CCF 5417), A. quadrifidum (CCF 5792), Trichophyton mentagrophytes (CCF 4823), T. mentagrophytes (CCF 5930), T. rubrum (CCF 4933), T. rubrum (CCF 4879) and T. tonsurans (CCF 4834). Two yeast strains, Candida parapsilosis (ATCC 22019) and C. krusei (ATCC 6258), were used as quality controls (CLSI 2008a, b; CLSI 2012; CLSI 2017) for the antifungal assays [20].
Bacteria, yeasts and dermatophytes antimicrobial activity was compared to ciprofloxacin, fluconazole and griseofulvin, respectively [5].

2.10. Statistical Analysis

Triplicate extraction was performed for each sample (CT-WS, CP-WS, CT-LcS and CP-LcS) according to the optimal found conditions. The results of extraction yield, spectrophotometric assays and antimicrobial tests were reported as mean ± standard deviation of the three replicates. Microsoft Excel 2016 (Microsoft Corporation, Redmond, WA, USA) was used for data analysis.
One-way ANOVA (analysis of variance) was used as statistical tool to assess the differences in the means between the investigated groups. The post-hoc Tukey’s HSD (honest significant difference) methodology (with a confidence level of 95%) was further employed as follow up to ANOVA to test differences among sample means for significance. The p < 0.01 (indicated by different superscript letters) values were considered statistically significant. The statistical analyses were performed using Sigma Plot software (version 14.0, Systat Software, Inc., San Jose, CA, USA).

3. Results and Discussion

The extraction of bioactive compounds from natural matrices represents the first key challenge in the recovery and following analysis of natural constituents beneficial for human health and disease prevention. In line with the current trend in the search for natural products directed to the exploration of safe, green and cost-effective extraction methods, the innovative ultrasonic-assisted extraction (UAE), a sensitive, rapid and environmentally friendly strategy was profitably applied in the present work [21,22,23]. The phenol extraction from P. ostreatus was investigated by experimental design. This statistical approach allows to plan a minimum number of experiments, characterized by the simultaneous variation of the experimental parameters, in order to understand the influence of selected parameters on the result and, therefore, identify the conditions for obtaining an optimal extraction process. MODDE 5.0 software for experimental design [24] was successfully used to evaluate the influence of the selected parameters on the performances of UAE extraction of P. ostreatus phenol components. The investigated factors (independent variables) were: solvent (water % in ethanol), solvent/solid ratio, time and temperature, while the following responses were considered: yield, TPC, FRAP, DPPH and ABTS values. Once P. ostreatus sample was extracted (under the conditions described in Table S1, Supplementary Material) in random order, the 19 extracts were analyzed to obtain the results of the selected responses. The obtained values for extraction yield, TPC, FRAP, DPPH and ABTS are shown in the following Table 1.
The degree of correlation between the responses was then evaluated (Supplementary Material, Figure S1). The R2 values show a good correlation between the TPC-FRAP, TPC-ABTS and FRAP-ABTS responses. On the contrary, no correlation was observed between TPC and DPPH values (R2 = 0.2328), FRAP and DPPH values (R2 = 0.2735), DPPH and ABTS values (R2 = 0.2816).
The results obtained by the application of a variety of pure electron transfer (ET)- or ET and hydrogen atom transfer (HAT)-based mixed methods, highlights the importance to perform more than one type of in vitro assay to evaluate the antioxidant properties of complex matrices consisting of various antioxidant sub-families and attain a whole picture of their mode of action [25]. The relationship between the total phenolic concentration in P. ostreatus extracts and the free radical scavenging activity by ABTS and FRAP assays indicate that phenolic compounds significantly contributes to their antioxidant potential. The poor correlation with DPPH assay could lead, instead, to the conclusion that other species besides phenols would contribute to scavenge the DPPH radical. These outcomes are in accordance with previous studies, reported by other authors, clearly highlighting how the phenols content does not necessarily correlate with antioxidant properties [26,27].
Afterwards, the results obtained for the nineteen experiments were processed by the software. The model was fitted using MLR analysis. The two statistical parameters R2 (that describes how well the model fits the experimental data) and Q2 (that describes how well the model will predict new data) were used to evaluate the quality of the obtained mathematical model. The relatively high R2 and Q2 values indicated the goodness-of-fit of the obtained statistical models and the suitability of the model to be used for optimization and prediction (Table 2).
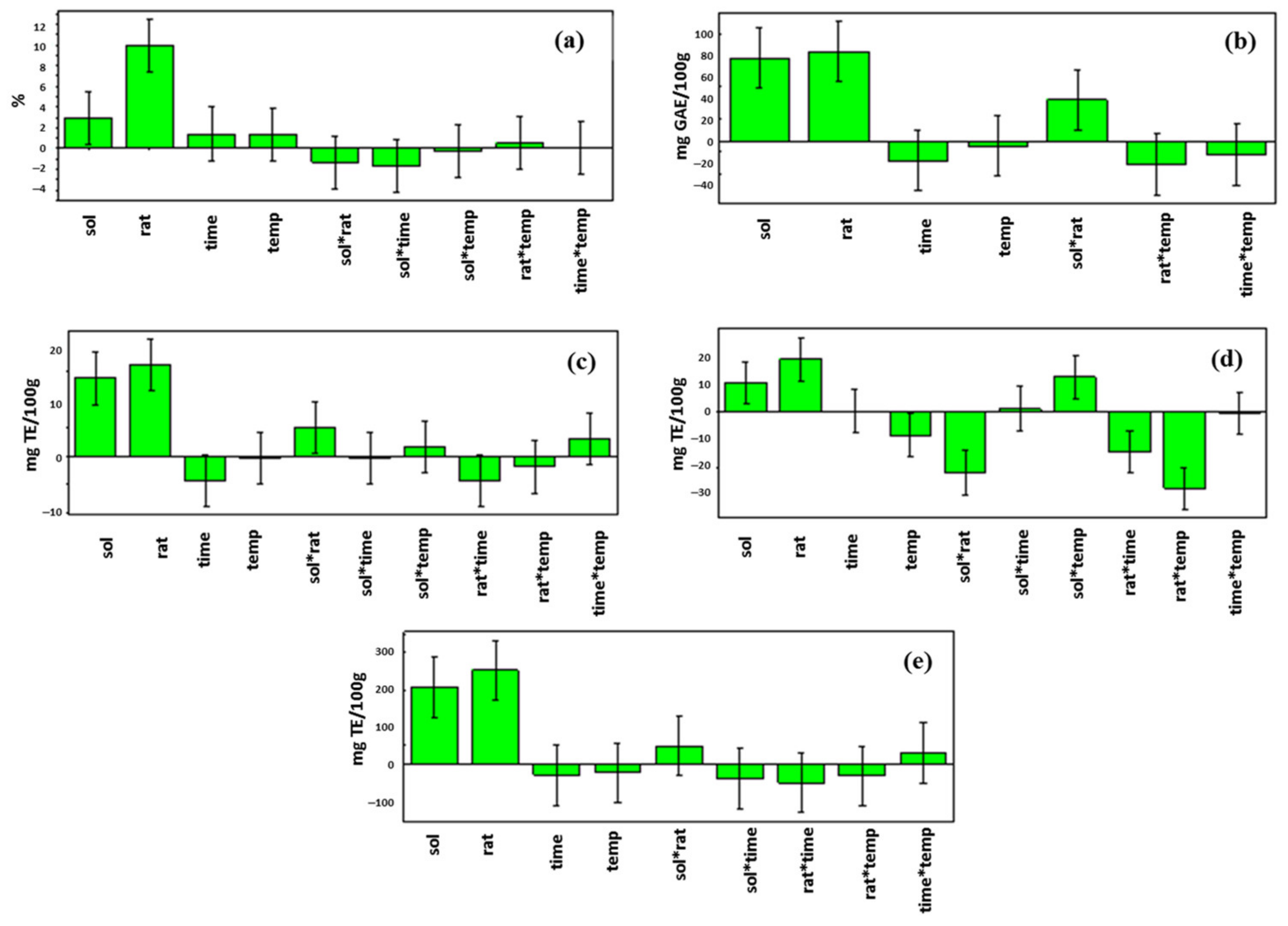
In Figure 1a–e the coefficients of the selected factors and some interactions for the different responses (yield, TPC, FRAP, DPPH and ABTS respectively), that is the influence on the considered responses, are shown. The obtained results evidenced that the factors solvent and ratio had high influence on all the responses. In particular, these variables influenced in a positive manner the responses with a general higher effect for ratio in respect to solvent. This occurrence was particularly evident for extraction yield (Figure 1a). These results indicate that P. ostreatus extracts richer in phenols and with higher antioxidant activity can be obtained with the highest value of solvent/solid ratio. As regards the solvent factor, the result suggests that, by increasing the water % in ethanol, it is possible to obtain a more performing extraction.
The coefficients in Figure 1 showed a minor influence on the responses by time and temperature variables. However, some differences were found considering the different responses. In fact, time had a positive influence on extraction yield, a negative effect on TPC, FRAP and ABTS responses and practically no influence on DPPH. In a similar way, temperature had a positive influence on extraction yield and a negative effect on TPC, FRAP, DPPH and ABTS, more evident for DPPH. These results suggest that the improved yield by increasing time and temperature does not correlate with the phenol content, which may undergo a certain degree of decomposition during extraction with consequent loss of antioxidant properties. The coefficients in Figure 1 also showed how some interactions between factors influence some responses. In fact, solvent * ratio had a positive influence particularly on TPC and FRAP and a negative effect on DPPH. Furthermore, ratio * time negatively influenced FRAP and DPPH while ratio * temperature mainly affected the DPPH. The surface plots with the responses, yield, TPC, FRAP, DPPH and ABTS, as a function of solvent and ratio factors, are shown respectively in Figure 2a–e. The plots generated by the software, setting a constant value for time (10 min) and temperature (30 °C), show a graphical representation of the experimental region. In all the considered models, an increase of water % in ethanol and a higher solvent/solid ratio corresponded to an increase in all the responses. This trend confirmed the observations described during the discussion of the coefficients shown in Figure 1.
In order to evaluate the antioxidant and antimicrobial properties related to different growth substrates and geographical origins, four P. ostreatus samples (CT-WS, CT-LcS, CP-WS, CP-LcS) were investigated. The internal transcribed spacer (ITS) region of samples PeruMyc2412 and PeruMyc2475 were amplified through PCR and sequenced. A BLAST search confirmed that the samples belonged to P. ostreatus as they showed a close match with isolates of this species (Supplementary Material, Table S2). Additionally, BLAST analyses showed that the identity between the sequences of the two samples is equal to 99.53% (Supplementary Material, Table S2). Firstly, the results obtained by the UAE optimization study were applied for the extraction of the phenolic pool from the investigated samples. Accordingly, triplicate extraction was performed for each sample by using 50% water in ethanol as solvent system, a solvent/solid ratio of 60, at 45 °C for 35 min. The results of the spectrophotometric assays (Table 3) showed rather high extraction yield and total phenol content, and higher values of antiradical activity towards ABTS radical with respect to DPPH one. A similar trend for antiradical activity was reported by Adebayo et al. [28] for four different Pleurotus species, including P. ostreatus. Moreover, as general trend, higher values were found for samples grown on the hay bales substrate (CT-LcS and CP-LcS), compared to those grown on trunk segments (CT-WS and CP-WS). A parallel result was also obtained by DPPH and FRAP assays: in both cases, indeed, samples CT-LcS and CP-LcSwere characterized by the higher values. Noteworthy, for the same grown medium, the TPC and ABTS assays highlighted a significant difference between the two ecotypes from different harvest location, with higher values measured for CT-WS and CT-LcS than CP-WS and CP-LcS. An opposite result occurred, instead, for the DPPH values.
Regarding the results of antimicrobial activity, Table 4 shows the MIC range and geometric means of P. ostreatus extracts and synthetic drugs (ciprofloxacin, fluconazole and griseofulvin) against the tested bacterial, yeasts and dermatophytes strains. All mushroom extracts showed antimicrobial activity in the concentration range of 6.25–200 µg/mL, but with a wide variability in terms of potency and selectivity (Table 4). The results of growth inhibition of yeast strains evidenced a major activity of samples CT-LcS and CP-LcS, underlining the role of growth substrate on P. ostreatus extract properties. Regarding bacteria, the strongest inhibition was observed for CP-LcS extract [MIC < 6.25 µg/mL against E. coli (ATCC 10536)]. Conversely, the CT-WS extract seemed to be the least effective against all the tested microorganisms. All bacterial strains were sensible to CP-LcS extract with MIC values lower than 39.68 µg/mL. Generally, higher MIC values on Gram- were obtained for CP-WS, which gave similar results to CT-LcS. For Gram+ inhibition, the different geographical origin seems to play the major role in ruling the antimicrobial activity, with extracts from Cima di Tuoro yielding higher MIC values than those from Castel Porziano. Considering the difficulties in making comparisons between antimicrobial activity tests, which differ for the extraction procedure, methodology, and microbial strains used, [29] similar antibacterial activity results of P. ostreatus CT-WE extract were reported by Adebayo et al. [28] for P. ostreatus (CP-50) hydroalcoholic extract. All results from the tested extracts showed active inhibition of dermatophytes growth, but a huge variability was recorded between the most active [CP-LcS on A. crocatum (CCF 5300), A. quadrifidum (CCF 5792), A. currey (CCF 5207), A. insingulare (CCF 5417): MIC < 6.250 μg/mL] and the lesser ones [CT-WS on T. mentagrophytes (CCF 4823), T. rubrum (CCF 4879), T. erinacei (CCF 5930), C. parapsilopsis (DBVPG 6551): MIC = 158.7]. Regarding A. currey (CCF 5207), it was the most sensitive fungal species to mushroom extracts, with MIC range between < 6.250 and 19.84 µg/mL. The antimicrobial effects of CT-WS, CT-LcS, CP-WS and CP-LcS extracts against bacteria, yeasts and dermatophytes were measured according to the following ranges: MIC ≤ 100 µg/mL is considered highly antimicrobial activity; MIC ranging from 100 to 500 µg/mL is classified as moderate; MIC ranging between 500 and 1000 µg/mL is considered weak; MIC ≥ 1000 µg/mL is classified as inactive [30]. Based on our knowledge reports on the screening of antifungal activity of P. ostreatus extracts against different dermatophyte strains (belonging to Arthroderma spp. and Trichophyton spp.) have not been published, yet. All of the 21 tested strains (yeasts, bacteria and dermatophytes) showed an increased susceptibility toward the CP-LcS extract. Griseofulvin showed good activity in vitro against T. tonsurans (CCF 4834) (MIC: 0.125–0.25 μg/mL). It was not possible to determine whether the isolates were resistant to the griseofulvin as no breakpoints have yet been established.
In order to outline any correlation between the total phenol content and the antioxidant ability of the four investigated P. ostreatus extracts with the antimicrobial activity, the occurrence of a relationship among the results achieved from the various in vitro assays was assessed (Supplementary Material Table S3). In the majority of cases, a correspondence was revealed between the highest measured values both in terms of total phenol content and antioxidants assays, with the lower MIC values. The correlation analysis between the antimicrobial activity with the total phenol content and the antioxidant assays revealed a high degree of correlation existing between the MIC and the DPPH radical scavenging activity. In fact, with the only exception of A. gypseum (CCF 6261) strain, the R2 values were, generally, comprised in the range 0.60–0.95. As general observation, a positive correlation degree (>0.50) for all the spectrophotometric assays concerned the growth inhibition of the yeast strains and the growth inhibition of six out ten dermatophytes.

4. Conclusions

In the present study, for the first time the impact of different variables on the efficiency of the UAE process to extract the phenol fraction from P. ostreatus was evaluated by experimental design. The best identified conditions were applied to four P. ostreatus samples, differing for geographical origin and growth substrate. As a result, significant differences, in terms of in vitro measured antioxidant and antimicrobial activities, were observed among the hydroalcoholic extracts of the investigated samples, probably due to the genetic differences which manifest themselves with different phenotypes (Table S2). The preliminary findings achieved in this investigation lay the foundation for more indepth investigations, aimed at evaluating the influence of growth substrate and environmental factors on P. ostreatus health properties. Moreover, a deep characterization of bioactive compounds by metabolomics approach is currently under progress, in order to deepen the knowledge on P. ostreatus for the production of high-value added mushroom but also for the potential use in functional food or nutraceuticals.

Supplementary Materials

The following are available online at https://www.mdpi.com/article/10.3390/pr9050743/s1, Figure S1: correlation between (a) TPC and FRAP values, (b) TPC and ABTS values, (c) FRAP and ABTS values of the 19 extracts from P. ostreatus, Table S1: worksheet with the independent variables set for ultrasound assisted extraction (UAE), Table S2: correlation (measured as R2 value) between the antimicrobial activity with the total phenol content (TPC) and antioxidant activity (DPPH, ABTS, FRAP).

Author Contributions

Conceptualization, L.C., P.A., R.V.; methodology, F.I., F.B.; formal analysis, F.I., F.B., G.A.F., S.C.D.S.; investigation, F.I., F.B., G.A.F.; data curation, L.C., P.A.; writing—original draft preparation, F.I.; writing—review and editing, F.I., F.B., L.C., P.A., R.V.; supervision, R.V. All authors have read and agreed to the published version of the manuscript.

Funding

This research received no external funding.

Institutional Review Board Statement

Not applicable.

Informed Consent Statement

Not applicable.

Data Availability Statement

Data contained within the article or supplementary material are here presented for the first time.

Acknowledgments

The authors would like to thank Andrea Arcangeli and Giancarlo Bistocchi for providing the fruiting bodies of Pleurotus ostreatus (Jacq.) P. Kumm. from Cima di Tuoro (Perugia, Umbria) and Castel Porziano (Roma, Lazio) and Giuseppa Verducci for her support in the chemical analysis.

Conflicts of Interest

The authors declare no conflict of interest.

References

  1. Martins, N.; Morales, P.; Barros, L.; Ferreira, I.C.F.R. Wild Plants, Mushrooms and Nuts: Functional Food Properties and Applications; Ferreira, I.C.F.R., Morales, P., Barros, L., Eds.; John Wiley & Sons Ltd.: Hoboken, NJ, USA, 2016; pp. 1–13. [Google Scholar]
  2. Kozarski, M.; Klaus, A.; Jakovljevic, D.; Todorovic, N.; Vunduk, J.; Petrović, P.; Niksic, M.; Vrvic, M.M.; van Griensven, L. Antioxidants of edible mushrooms. Molecules 2015, 20, 19489–19525. [Google Scholar] [CrossRef]
  3. Piska, K.; Sułkowska-Ziaja, K.; Muszyńska, B. Edible mushroom Pleurotusostreatus (Oyster mushroom)—Its dietary significance and biological activity. Acta Sci. Pol. Hortorum. Cultus. 2017, 16, 151–161. [Google Scholar]
  4. Lavelli, V.; Proserpio, C.; Gallotti, F.; Laureati, M.; Pagliarini, E. Circular reuse of bioresources: The role of Pleurotus spp. in the development of functional foods. Food Funct. 2018, 9, 1353–1372. [Google Scholar] [CrossRef] [PubMed]
  5. Angelini, P.; Venanzoni, R.; Flores, G.A.; Tirillini, B.; Orlando, G.; Recinella, L.; Chiavaroli, A.; Brunetti, L.; Leone, S.; Di Simone, S.C.; et al. Evaluation of Antioxidant, Antimicrobial and Tyrosinase Inhibitory Activities of Extracts from Tricholosporum goniospermum, an Edible Wild Mushroom. Antibiotics 2020, 9, 513. [Google Scholar] [CrossRef]
  6. Angelini, P.; Girometta, C.; Tirillini, B.; Moretti, S.; Covino, S.; Cipriani, M.; D’Ellena, E.; Angeles, G.; Federici, E.; Savino, E.; et al. A comparative study of the antimicrobial and antioxidant activities of Inonotu shispidus fruit and their mycelia extracts. Int. J. Food Prop. 2019, 22, 768–783. [Google Scholar] [CrossRef]
  7. Huang, D. Dietary Antioxidants and Health Promotion. Antioxidants 2018, 7, 9. [Google Scholar] [CrossRef]
  8. Tirillini, B.; Maggi, F.; Venanzoni, R.; Angelini, P. Enhanced Duration of Truffle Sauce Preservation due to Addition of Linoleic Acid. J. Food Qual. 2019, 2019, 1–10. [Google Scholar] [CrossRef]
  9. Alam, N.; Yoon, K.N.; Lee, K.R.; Shin, P.G.; Cheong, J.C.; Yoo, Y.B.; Shim, J.M.; Lee, M.W.; Lee, U.Y.; Lee, T.S. Antioxidant Activities and Tyrosinase Inhibitory Effects of Different Extracts fromPleurotus ostreatusFruiting Bodies. Mycobiology 2010, 38, 295–301. [Google Scholar] [CrossRef]
  10. Angelini, P.; Tirillini, B.; Properzi, A.; Rol, C.; Venanzoni, R. Identification and bioactivity of the growth inhibitors in Tuber spp. methanolic extracts. Plant Biosyst. 2015, 149, 1000–1009. [Google Scholar] [CrossRef]
  11. Cueva, C.; Moreno-Arribas, M.V.; Martín-Álvarez, P.J.; Bills, G.; Vicente, M.F.; Basilio, A.; Rivas, C.L.; Requena, T.; Rodríguez, J.M.; Bartolomé, B. Antimicrobial activity of phenolic acids against commensal, probiotic and pathogenic bacteria. Res. Microbiol. 2010, 161, 372–382. [Google Scholar] [CrossRef]
  12. Alves, M.J.; Ferreira, I.C.F.R.; Froufe, H.J.C.; Abreu, R.M.V.; Martins, A.; Pintado, M. Antimicrobial activity of phenolic compounds identified in wild mushrooms, SAR analysis and docking studies. J. Appl. Microbiol. 2013, 115, 346–357. [Google Scholar] [CrossRef]
  13. Sun, Y.; Zhang, M.; Fang, Z. Efficient physical extraction of active constituents from edible fungi and their potential bioactivities: A review. Trends Food Sci. Technol. 2020, 105, 468–482. [Google Scholar] [CrossRef]
  14. Sezer, Y.Ç.; Süfer, Ö.; Sezer, G. Extraction of Phenolic Compounds from Oven and Microwave Dried Mushrooms (Agaricus bisporus and Pleurotus ostreatus) by Using Methanol, Ethanol and Aceton as Solvents. Indian J. Pharm. Educ. Res. 2017, 51, s393–s397. [Google Scholar] [CrossRef]
  15. Gogoi, P.; Chutia, P.; Singh, P.; Mahanta, C.L. Effect of optimized ultrasound-assisted aqueous and ethanolic extraction of Pleurotus citrinopileatus mushroom on total phenol, flavonoids and antioxidant properties. J. Food Process. Eng. 2019, 42. [Google Scholar] [CrossRef]
  16. Milovanovic, I.; Zengin, G.; Maksimovic, S.; Tadic, V. Supercritical and ultrasound-assisted extracts from Pleurotus pulmonarius mushroom: Chemical profiles, antioxidative, and enzyme-inhibitory properties. J. Sci. Food Agric. 2021, 101, 2284–2293. [Google Scholar] [CrossRef]
  17. Pollini, L.; Tringaniello, C.; Ianni, F.; Blasi, F.; Manes, J.; Cossignani, L. Impact of Ultrasound Extraction Parameters on the Antioxidant Properties of Moringa Oleifera Leaves. Antioxidants 2020, 9, 277. [Google Scholar] [CrossRef]
  18. Lisanti, A.; Formica, V.; Ianni, F.; Albertini, B.; Marinozzi, M.; Sardella, R.; Natalini, B. Antioxidant activity of phenolic extracts from different cultivars of Italian onion (Allium cepa) and relative human immune cell proliferative induction. Pharm. Biol. 2015, 54, 799–806. [Google Scholar] [CrossRef] [PubMed]
  19. Urbani, E.; Blasi, F.; Simonetti, M.S.; Chiesi, C.; Cossignani, L. Investigation on secondary metabolite content and antioxidant activity of commercial saffron powder. Eur. Food Res. Technol. 2016, 242, 987–993. [Google Scholar] [CrossRef]
  20. Pagiotti, R.; Angelini, P.; Rubini, A.; Tirillini, B.; Granetti, B.; Venanzoni, R. Identification and characterisation of human pathogenic filamentous fungi and susceptibility to Thymus schimperi essential oil. Mycoses 2010, 54, e364–e376. [Google Scholar] [CrossRef]
  21. Giacometti, J.; Kovačević, D.B.; Putnik, P.; Gabrić, D.; Bilušić, T.; Krešić, G.; Stulić, V.; Barba, F.J.; Chemat, F.; Barbosa-Cánovas, G.; et al. Extraction of bioactive compounds and essential oils from mediterranean herbs by conventional and green innovative techniques: A review. Food Res. Int. 2018, 113, 245–262. [Google Scholar] [CrossRef] [PubMed]
  22. Wen, C.; Zhang, J.; Zhang, H.; Dzah, C.S.; Zandile, M.; Duan, Y.; Ma, H.; Luo, X. Advances in ultrasound assisted extraction of bioactive compounds from cash crops—A review. Ultrason. Sonochem. 2018, 48, 538–549. [Google Scholar] [CrossRef] [PubMed]
  23. Carbone, K.; Macchioni, V.; Petrella, G.; Cicero, D.O. Exploring the potential of microwaves and ultrasounds in the green extraction of bioactive compounds from Humuluslupulus for the food and pharmaceutical industry. Ind. Crop Prod. 2020, 156, 112888. [Google Scholar] [CrossRef]
  24. Blasi, F.; Maurelli, S.; Cossignani, L.; D’Arco, G.; Simonetti, M.S.; Damiani, P. Study of Some Experimental Parameters in the Synthesis of Triacylglycerols with CLA Isomers and Structural Analysis. J. Am. Oil Chem. Soc. 2009, 86, 531–537. [Google Scholar] [CrossRef]
  25. Pucciarini, L.; Ianni, F.; Petesse, V.; Pellati, F.; Brighenti, V.; Volpi, C.; Gargaro, M.; Natalini, B.; Clementi, C.; Sardella, R. Onion (Allium cepa L.) Skin: A Rich Resource of Biomolecules for the Sustainable Production of Colored Biofunctional Textiles. Molecules 2019, 24, 634. [Google Scholar] [CrossRef]
  26. Parejo, I.; Viladomat, F.; Bastida, J.; Rosas-Romero, A.; Flerlage, N.; Burillo, J.; Codina, C. Comparison between the Radical Scavenging Activity and Antioxidant Activity of Six Distilled and Nondistilled Mediterranean Herbs and Aromatic Plants. J. Agric. Food Chem. 2002, 50, 6882–6890. [Google Scholar] [CrossRef]
  27. Atoui, A.K.; Mansouri, A.; Boskou, G.; Kefalas, P. Tea and herbal infusions: Their antioxidant activity and phenolic profile. Food Chem. 2005, 89, 27–36. [Google Scholar] [CrossRef]
  28. Adebayo, E.A.; Martinez-Carrera, D.; Morales, P.; Sobal, M.; Escudero, H.; Meneses, M.E.; Avila-Nava, A.; Castillo, I.; Bonilla, M. Comparative study of antioxidant and antibacterial properties of the edible mushrooms Pleurotus levis, P. ostreatus, P. pulmonarius and P. tuber-regium. Int. J. Food Sci. Technol. 2018, 53, 1316–1330. [Google Scholar] [CrossRef]
  29. Covino, S.; D’Ellena, E.; Tirillini, B.; Angeles, G.; Arcangeli, A.; Bistocchi, G.; Venanzoni, R.; Angelini, P. Characterization of Biological Activities of Methanol Extract of Fuscoporia torulosa (Basidiomycetes) from Italy. Int. J. Med. Mushrooms 2019, 21, 1051–1063. [Google Scholar] [CrossRef] [PubMed]
  30. Doğan, H.H.; Duman, R.; Özkalp, B.; Aydin, S. Antimicrobial activities of some mushrooms in Turkey. Pharm. Biol. 2013, 51, 707–711. [Google Scholar] [CrossRef]
Figure 1. Coefficient plots showing the effect of the factors: water % in ethanol (sol), liquid/solid ratio (rat), time, and temperature (temp) and their interactions on the responses: (a) yield, (b) TPC (c) FRAP (d) DPPH (e) ABTS. The error bars indicate the confidence intervals.
Figure 1. Coefficient plots showing the effect of the factors: water % in ethanol (sol), liquid/solid ratio (rat), time, and temperature (temp) and their interactions on the responses: (a) yield, (b) TPC (c) FRAP (d) DPPH (e) ABTS. The error bars indicate the confidence intervals.
Processes 09 00743 g001
Figure 2. Surface plots for the responses: (a) yield, (b) TPC, (c) FRAP, (d) DPPH, (e) ABTS.
Figure 2. Surface plots for the responses: (a) yield, (b) TPC, (c) FRAP, (d) DPPH, (e) ABTS.
Processes 09 00743 g002
Table 1. Summary of the measured TPC, FRAP, DPPH, and ABTS values for the nineteen extracts.
Table 1. Summary of the measured TPC, FRAP, DPPH, and ABTS values for the nineteen extracts.
SampleExtraction
Yield (%)
TPC
(mg GAE/100 g dw)
FRAP
(mg TE/100 g dw)
DPPH
(mg TE/100 g dw)
ABTS
(mg TE/100 g dw)
13.338.56.515.7110.7
212.4133.125.446.4470.3
320.2235.647.8171.25813.4
410.986.515.752.0415.7
55.859.97.234.8260.7
612.5118.419.680.0521.2
717.7125.921.3149.3484.3
829.5311.552.8101.0998.4
93.647.16.020.8142.1
1016.1149.526.5112.4584.6
1126.0104.529.782.7469.1
1231.2423.770.080.21112.7
137.781.59.853.0251.7
1413.7134.628.08.7450.8
1535.0113.920.246.9624.3
1632.5333.864.652.1990.7
1726.1266.545.5157.5825.0
1822.8224.739.6128.1744.8
1924.6257.856.4172.0702.3
TPC, total phenol content; FRAP, ferric reducing antioxidant power; DPPH, 2, 2-diphenyl-1-picrylhydrazyl; ABTS, 2, 2′-azino-bis(3-ethylbenzothiazoline-6-sulphonate); dw, dry weight.
Table 2. Goodness-of-fit coefficients of statistical models.
Table 2. Goodness-of-fit coefficients of statistical models.
R2Q2
Yield0.9440.619
TPC0.8860.666
FRAP0.9550.740
DPPH0.9880.890
ABTS0.9080.506
Table 3. Summary of the mean values * ± standard deviation (n = 3) obtained for yield, TPC, FRAP, DPPH and ABTS for P. ostreatus extracts.
Table 3. Summary of the mean values * ± standard deviation (n = 3) obtained for yield, TPC, FRAP, DPPH and ABTS for P. ostreatus extracts.
CT-WSCT-LcSCP-WSCP-LcS
Yield (%)23.7 ± 0.7 a24.7 ± 1.4 a24.6 ± 1.3 a31.9 ± 2.2 b
TPC (mg GAE/100 g)202.9 ± 16.2 a330.4 ± 8.9 a,b146.8 ± 7.4 c267.2 ± 9.7 d
FRAP (mg TE/100 g)54.1 ± 1.1 a,b69.9 ± 8.9 a,b48.7 ± 6.1 a74.0 ± 2.9 b
DPPH (mg TE/100 g)89.0 ± 5.1 a193.9 ± 25.0 b,c147.8 ± 8.7 a,b246.8 ± 30.7 c
ABTS (mg TE/100 g)427.3 ± 31.5 a,b616.4 ± 53.7 c378.9 ± 31.8 a550.0 ± 39.1 b,c
* expressed on dw. CT-WS, Cima di Tuoro-Woody Substrate; CT-LcS, Cima di Tuoro-Lignocellulosic Substrate; CP-WS, Castel Porziano-Woody Substrate; CP-LcS, Castel Porziano-Lignocellulosic Substrate. Different superscript letters (a–d) represent statistically different results, with respect to the experimental investigated response, according to the Tukey’s HSD test (p ≤ 0.01).
Table 4. MIC of P. ostreatus extracts against yeast, bacterial and dermatophytes strains.
Table 4. MIC of P. ostreatus extracts against yeast, bacterial and dermatophytes strains.
Strains(ID)Minimum InhibitoryConcentration (MIC) *
CT-WS (µg/mL)CT-LcS (µg/mL)CP-WS (µg/mL)CP-LcS (µg/mL)Fluconazole (µg/mL)
YeastsC. tropicalis (DBVPG 6184)>20031.49 (25–50)125.99 (100–200)15.74 (12.5–25)2
C. albicans (DBVPG 6379)125.99 (100–200)15.74 (12.5–25)79.37 (50–100)7.87 (6.25–12.5)1
C. parapsilopsis (DBVPG 6551)158.74 (100–200)39.68 (25–50)125.99 (100–200)19.84 (12.5–25)4
C. albicans (DBVPG 6183)79.37 (50–100)19.84 (12.5–25)62.99 (50–100)9.92 (6.25–12.5)2
BacteriaGram− Ciprofloxacin (µg/mL)
E. coli (ATCC 10536) 39.68 (25–50)15.74 (12.5–25)19.84 (12.5–25)<6.25<0.12
E. coli (PeruMycA 2) >20079.37 (50–100)62.99 (50–100)39.68 (25–50)1.23 (0.98–1.95)
E. coli (PeruMycA 3) 125.99 (100–200)39.68 (25–50)39.68 (25–50)9.92 (6.25–12.5)0.62 (0.49–0.98)
P. aeruginosa (PeruMycA 5) 158.74 (100–200)62.99 (50–100)62.99 (50–100)19.84 (12.5–25)1.23 (0.98–1.95)
S. typhy (PeruMycA 7) 79.37 (50–100)31.49 (25–50)31.49 (25–50)7.87 (6.25–12.5)0.38 (0.24–0.49)
Gram+
B. cereus (PeruMycA 4) 79.37 (50–100)39.68 (25–50)31.49 (25–50)15.74 (12.5–25)<0.12
B. subtilis (PeruMycA 6) 62.99 (50–100)31.49 (25–50)19.84 (12.5–25)9.92 (6.25–12.5)<0.12
S. aureus (ATCC 6538) 158.74 (100–200)62.99 (50–100)39.68 (25–50)19.84 (12.5–25)0.62 (0.98–0.49)
Dermatophytes Griseofulvin (µg/mL)
T. mentagrophytes (CCF 4823)158.7 (100–200)62.99 (50–100)79.37 (50–100)19.84 (12.5–25)2.52 (2–4)
T. tonsurans (CCF 4834)62.99 (50–100)31.49 (25–50)62.99 (50–100)31.49 (25–50)0.198 (0.125–0.25)
T. rubrum (CCF 4879)158.7 (100–200)39.68 (25–50)125.99 (100–200)39.68 (25–50)3.175 (2–4)
T. rubrum (CCF 4933)125.99 (100–200)15.74 (12.5–25)79.37 (50–100)19.84 (12.5–25)1.26 (1–2)
A. crocatum (CCF 5300)31.49 (25–50)<6.2509.92 (6.25–12.5)<6.250>8
A. quadrifidum (CCF 5792)39.68 (25–50)9.92 (6.25–12.5)7.87 (6.25–12.5)<6.250>8
T. erinacei (CCF 5930)158.7 (100–200)125.99 (100–200)125.99 (100–200)79.37 (50–100)3.174 (2–4)
A. gypseum (CCF 6261)62.99 (50–100)19.84 (12.5–25)79.37 (50–100)31.49 (25–50)1.587 (1–2)
A. currey (CCF 5207)19.84 (12.5–25)9.92 (6.25–12.5)<6.250<6.250>8
A. insingulare (CCF 5417)39.68 (25–50)7.87 (6.25–12.5)<6.250<6.250>8
* MIC values are reported as geometric means of three independent replicates (n = 3). MIC range concentrations are reported within brackets.
Publisher’s Note: MDPI stays neutral with regard to jurisdictional claims in published maps and institutional affiliations.

Share and Cite

MDPI and ACS Style

Ianni, F.; Blasi, F.; Angelini, P.; Simone, S.C.D.; Angeles Flores, G.; Cossignani, L.; Venanzoni, R. Extraction Optimization by Experimental Design of Bioactives from Pleurotus ostreatus and Evaluation of Antioxidant and Antimicrobial Activities. Processes 2021, 9, 743. https://doi.org/10.3390/pr9050743

AMA Style

Ianni F, Blasi F, Angelini P, Simone SCD, Angeles Flores G, Cossignani L, Venanzoni R. Extraction Optimization by Experimental Design of Bioactives from Pleurotus ostreatus and Evaluation of Antioxidant and Antimicrobial Activities. Processes. 2021; 9(5):743. https://doi.org/10.3390/pr9050743

Chicago/Turabian Style

Ianni, Federica, Francesca Blasi, Paola Angelini, Simonetta Cristina Di Simone, Giancarlo Angeles Flores, Lina Cossignani, and Roberto Venanzoni. 2021. "Extraction Optimization by Experimental Design of Bioactives from Pleurotus ostreatus and Evaluation of Antioxidant and Antimicrobial Activities" Processes 9, no. 5: 743. https://doi.org/10.3390/pr9050743

APA Style

Ianni, F., Blasi, F., Angelini, P., Simone, S. C. D., Angeles Flores, G., Cossignani, L., & Venanzoni, R. (2021). Extraction Optimization by Experimental Design of Bioactives from Pleurotus ostreatus and Evaluation of Antioxidant and Antimicrobial Activities. Processes, 9(5), 743. https://doi.org/10.3390/pr9050743

Note that from the first issue of 2016, this journal uses article numbers instead of page numbers. See further details here.

Article Metrics

Back to TopTop