Films and Materials Derived from Aminomalononitrile
Abstract
1. Introduction
2. Film Deposition and Characterization
2.1. Film Deposition and Kinetic Aspects
2.2. Film Morphology and Hydrophilicity
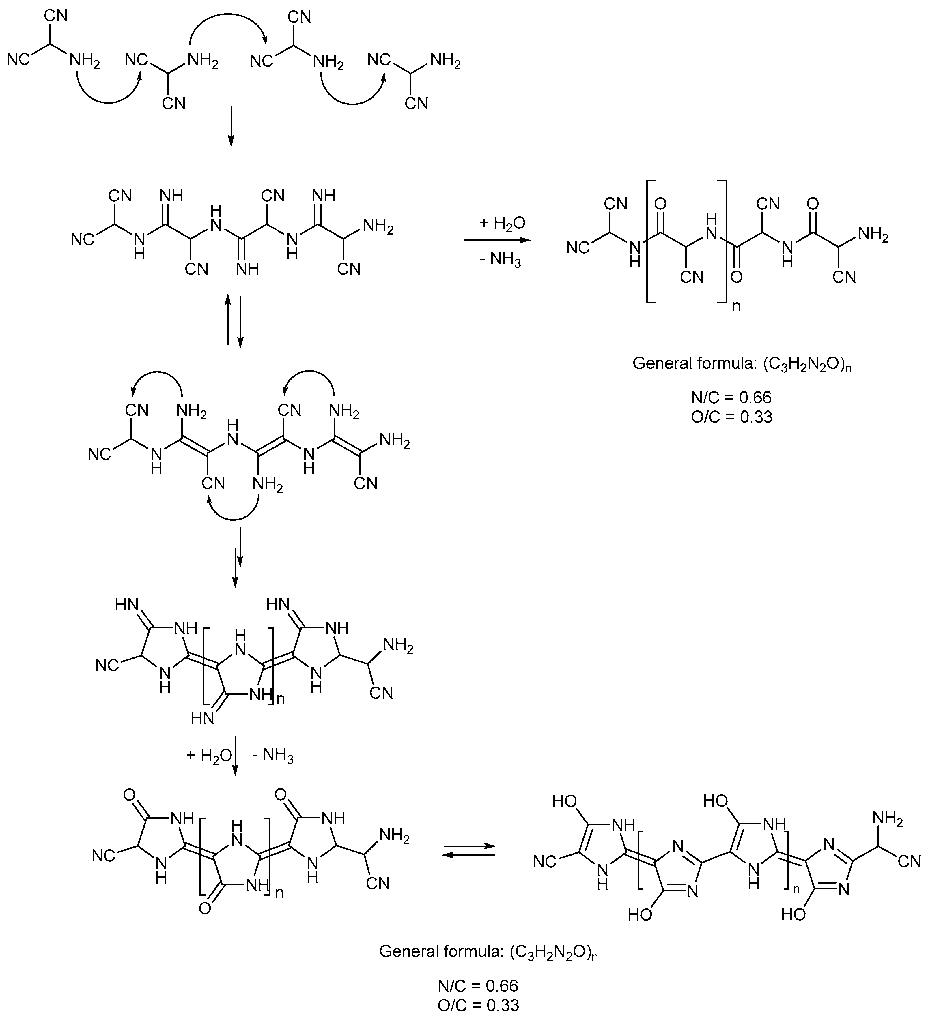
2.3. Film Composition and Structure
2.4. Chemical Reactivity of the Aminomalononitrile (AMN)-Based Films
2.4.1. Reactivity with Trifluoroacetaldehyde Ethyl Hemiacetal (TFAEH) and with 4-Bromobenzylbromide (BBB)
2.4.2. Reactivity with Ag+ Cations
2.4.3. Anti-Oxidant Properties
2.5. Deposition of AMN-Based Films Using Cyclic Voltammetry
3. Applications of AMN-Based Films
4. Analogies between Coatings Produced from AMN, Dopamine and Polyphenols
- (i)
- The kinetics of film deposition is slow, taking several hours to tens of hours. However, in the case of dopamine as a monomer unit, the formation of polydopamine may be considerably accelerated in the presence of strong oxidants like sodium periodate [22]. Even if oxidants could play a role in the deposition of AMN-based films, owing to a slight gradient in film deposition observed close to the water/air interface, it remains to be investigated how to speed up the deposition of AMN based films by other methods than the co-deposition in the presence of 3,4,5-trihydroxybenzaldehyde [16]. The AMN-based coatings seem to be differentiated from polydopamine coatings by the occurrence of a monomer concentration-dependent lag phase preceding film deposition [12].
- (ii)
- (iii)
- The AMN-based coatings [14] and polydopamine films [24] contain some electroactive groups as evidenced by electrochemical methods and by discoloration of molecules like DPPH, related to the antioxidant activity of these coatings. The ability to reduce metal cations like Ag+ is also related to the reducing power of those films. The same holds true for polyphenol-based films [21].
- (iv)
5. Conclusions
Author Contributions
Funding
Conflicts of Interest
References
- Crick, F.H.; Orgel, L.E. Directed panspermia. Icarus 1973, 19, 341–348. [Google Scholar] [CrossRef]
- Miller, S.L. A production of amino acids under possible primitive earth conditions. Science 1953, 117, 528–529. [Google Scholar] [CrossRef] [PubMed]
- Bada, J.L. New insights into prebiotic chemistry from Stanley Miller’s spark discharge experiments. Chem. Soc. Rev. 2013, 42, 2186–2196. [Google Scholar] [CrossRef] [PubMed]
- Moser, R.E.; Claggett, A.R.; Matthews, C.N. Peptide formation from aminomalononitrile (HCN trimer). Tetrahedron Lett. 1968, 13, 1605–1608. [Google Scholar] [CrossRef]
- Raulin, F.; Fonsalas, F.; Wolny, M. Aminomalonitrile: Some new data of prebiotic interest. Orig. Life 1984, 14, 151–156. [Google Scholar] [CrossRef]
- Ferris, J.P.; Hagan, W.J. HCN and chemical evolution: The possible role of cyano compounds in prebiotic synthesis. Tetrahedron 1984, 40, 1093–1120. [Google Scholar] [CrossRef]
- Ruiz-Bermejo, M.; Zorzano, M.-P.; Osuna-Esteban, S. Simple organics and biomonomers indentified in HCN polymers. Life 2013, 3, 421–448. [Google Scholar] [CrossRef]
- Villafaňe-Barajas, S.A.; Ruiz-Bermejo, M.; Rayo-Pizarosso, P.; Colin-Garcia, M. Characterization of HCN-derived thermal polymer: Implications for chemical evolution. Processes 2020, 8, 968. [Google Scholar] [CrossRef]
- Matthews, C.N.; Minard, R.D. Hydrogen cyanide polymers, comets and the origin of life. Faraday Discuss. 2006, 133, 393–401. [Google Scholar] [CrossRef]
- D’Ischia, M.; Manini, P.; Moracci, M.; Saladino, R.; Ball, V.; Thissen, H.; Evans, R.A.; Puzzarini, C.; Barone, V. Astrochemistry and astrobiology: Materials science in Wonderland? Int. J. Mol. Sci. 2019, 20, 4079. [Google Scholar]
- Thissen, H.; Koegler, A.; Salwiczek, M.; Easton, C.D.; Qu, Y.; Lithgow, T.; Evans, R.A. Prebiotic-chemistry inspired polymer coatings for biomedical and material science applications. NPG Asia Mater. 2015, 7, e225. [Google Scholar] [CrossRef]
- Toh, R.J.; Evans, R.; Thissen, H.; Voelcker, N.H.; d’Ischia, M.; Ball, V. Deposition of aminomalononitrile-based films: Kinetics, chemistry, and morphology. Langmuir 2019, 35, 9896–9903. [Google Scholar] [CrossRef] [PubMed]
- Menzies, D.J.; Ang, A.; Thissen, H.; Evans, R.A. Adhesive prebiotic chemistry inspired coatings for bone contacting applications. ACS Biomater. Sci. Eng. 2017, 3, 793–806. [Google Scholar] [CrossRef]
- Ball, V. Anti-oxidant activity of films inspired by prebiotic chemistry. Mater. Lett. 2020, accepted. [Google Scholar]
- Ruiz-Bermejo, M.; de la Fuente, J.L.; Carretero-González, J.; Garcĩa-Fernández, L.; Aguilar, M.R. A comparative study on HCN polymers synthesized by polymerization of NH4CN or diaminomaleonitrile in aqueous media: New perspectives for prebiotic chemistry and materials science. Chem. Eur. J. 2019, 25, 11437–11455. [Google Scholar] [CrossRef] [PubMed]
- Ball, V.; Toh, R.J.; Voelcker, N.H.; Thissen, H.; Evans, R.A. Electrochemical deposition of aminomalononitrile based films. Colloids Surf. A Physicochem. Eng. Asp. 2018, 552, 124–129. [Google Scholar] [CrossRef]
- Jung, J.; Menzies, D.J.; Thissen, H.; Easton, C.D.; Evans, R.A.; Henry, R.; Deletic, A.; McCarthy, D.T. New prebiotic chemistry inspired filter media for storm water/greywater disinfection. J. Hazard. Mater. 2019, 378, 120749. [Google Scholar] [CrossRef]
- Chen, W.-H.; Liao, T.-Y.; Thissen, H.; Tsai, W.-B. One-step aminomalononitrile-based coatings containing zwitterionic copolymers for the reduction of biofouling and the foreign body response. ACS Biomater. Sci. Eng. 2019, 5, 6454–6462. [Google Scholar] [CrossRef]
- Liao, T.-Y.; Easton, C.D.; Thissen, H.; Tsai, W.-B. Aminomalononitrile-assisted multifunctional antibacterial coatings. ACS Biomater. Sci. Eng. 2020, 6, 3349–3360. [Google Scholar] [CrossRef]
- Lee, H.; Dellatore, S.M.; Miller, W.M.; Messersmith, P.B. Mussel inspired surface chemistry for multifunctional coatings. Science 2007, 318, 426–430. [Google Scholar] [CrossRef]
- Sileika, T.S.; Barrett, D.G.; Zhang, R.; Lau, K.F.A.; Messersmith, P.B. Colorless multifunctional coatings inspired by polyphenols found in tea, chocolate, and wine. Angew. Chem. Int. Ed. 2013, 52, 10766–10770. [Google Scholar] [CrossRef] [PubMed]
- Ponzio, F.; Barthès, J.; Bour, J.; Michel, M.; Bertani, P.; Hemmerlé, J.; d’Ischia, M.; Ball, V. Oxidant control of polydopamine surface chemistry in acids: A mechanism-based entry to superhydrophilic-superoleophobic coatings. Chem. Mater. 2016, 28, 4697–4705. [Google Scholar] [CrossRef]
- Ponzio, F.; Payamyar, P.; Schneider, A.; Winterhalter, M.; Bour, J.; Addigo, F.; Krafft, M.-P.; Hemmerle, J.; Ball, V. Polydopamine films from the forgotten air/water interface. J. Phys. Chem. Lett. 2014, 5, 3436–3440. [Google Scholar] [CrossRef] [PubMed]
- Bernsmann, F.; Voegel, J.-C.; Ball, V. Different synthesis methods allow to tune the permeability and permselectivity of dopamine-melanin films to electrochemical probes. Electrochim. Acta 2011, 56, 3914–3919. [Google Scholar] [CrossRef]








Publisher’s Note: MDPI stays neutral with regard to jurisdictional claims in published maps and institutional affiliations. |
© 2021 by the authors. Licensee MDPI, Basel, Switzerland. This article is an open access article distributed under the terms and conditions of the Creative Commons Attribution (CC BY) license (http://creativecommons.org/licenses/by/4.0/).
Share and Cite
Thissen, H.; Evans, R.A.; Ball, V. Films and Materials Derived from Aminomalononitrile. Processes 2021, 9, 82. https://doi.org/10.3390/pr9010082
Thissen H, Evans RA, Ball V. Films and Materials Derived from Aminomalononitrile. Processes. 2021; 9(1):82. https://doi.org/10.3390/pr9010082
Chicago/Turabian StyleThissen, Helmut, Richard A. Evans, and Vincent Ball. 2021. "Films and Materials Derived from Aminomalononitrile" Processes 9, no. 1: 82. https://doi.org/10.3390/pr9010082
APA StyleThissen, H., Evans, R. A., & Ball, V. (2021). Films and Materials Derived from Aminomalononitrile. Processes, 9(1), 82. https://doi.org/10.3390/pr9010082

