Sign in to use this feature.

Years

Between: -

Subjects

remove_circle_outline
remove_circle_outline
remove_circle_outline
remove_circle_outline
remove_circle_outline

Journals

Article Types

Countries / Regions

Search Results (5)

Search Parameters:
Keywords = aminomalononitrile

Order results
Result details
Results per page
Select all
Export citation of selected articles as:
11 pages, 4808 KB  
Review
Alkylation of Complex Glycine Precursor (CGP) as a Prebiotic Route to 20 Proteinogenic Amino Acids Synthesis
by Chiaki Kuroda and Kensei Kobayashi
Molecules 2024, 29(18), 4403; https://doi.org/10.3390/molecules29184403 - 16 Sep 2024
Cited by 1 | Viewed by 2204
Abstract
It is not known why the number of proteinogenic amino acids is limited to 20. Since Miller’s experiment, many studies have shown that amino acids could have been generated under prebiotic conditions. However, the amino acid compositions obtained from simulated experiments and exogenous [...] Read more.
It is not known why the number of proteinogenic amino acids is limited to 20. Since Miller’s experiment, many studies have shown that amino acids could have been generated under prebiotic conditions. However, the amino acid compositions obtained from simulated experiments and exogenous origins are different from those of life. We hypothesized that some simple precursor compounds generated by high-energy reactions were selectively combined by organic reactions to afford a limited number of amino acids. To this direction, we propose two scenarios. One is the reaction of HCN with each side-chain precursor (the aminomalononitrile scenario), and the other is alkylation of the “complex glycine precursor”, which is the main product of proton irradiation of the primordial atmosphere (the new polyglycine scenario). Here, selective formation of the 20 amino acids is described focusing on the latter scenario. The structural features of proteinogenic amino acids can be described systematically. The scenario consists of three stages: a high-energy reaction stage (Gly, Ala, Asn, and Asp were established); an alkylation stage (Gln, Glu, Ser, Thr, Val, Ile, Leu, and Pro were generated in considerable amounts); and a peptide formation stage (Phe, Tyr, Trp, His, Lys, Arg, Cys, and Met were selected due to their structural advantages). This scenario is a part of the evolution of Garakuta World, in which many prebiotic materials are contained. Full article
Show Figures

Figure 1

15 pages, 4597 KB  
Article
A Water-Based Biocoating to Increase the Infection Resistance and Osteoconductivity of Titanium Surfaces
by Chi-An Luo, Yu-Han Chang, Yu-Jui Chang, Han-Chieh Lee and Shiao-Wen Tsai
Int. J. Mol. Sci. 2024, 25(6), 3267; https://doi.org/10.3390/ijms25063267 - 13 Mar 2024
Cited by 2 | Viewed by 2456
Abstract
As the population ages, the number of patients undergoing total hip arthroplasty (THA) and total knee arthroplasty (TKA) continues to increase. Infections after primary arthroplasty are rare but have high rates of morbidity and mortality, as well as enormous financial implications for healthcare [...] Read more.
As the population ages, the number of patients undergoing total hip arthroplasty (THA) and total knee arthroplasty (TKA) continues to increase. Infections after primary arthroplasty are rare but have high rates of morbidity and mortality, as well as enormous financial implications for healthcare systems. Numerous methods including the use of superhydrophobic coatings, the incorporation of antibacterial agents, and the application of topographical treatments have been developed to reduce bacterial attachment to medical devices. However, most of these methods require complex manufacturing processes. Thus, the main purpose of this study was to apply biocoatings to titanium (Ti) surfaces to increase their infection resistance and osteoconductivity via simple processes, without organic reagents. We modified titanium surfaces with a combination of aminomalononitrile (AMN) and an antibiotic-loaded mesoporous bioactive glass (MBG) and evaluated both the antibacterial effects of the coating layer and its effect on osteoblast proliferation and differentiation. The properties of the modified surface, such as the hydrophilicity, roughness, and surface morphology, were characterized via contact angle measurements, atomic force microscopy, and scanning electron microscopy. The cell proliferation reagent WST-1 assay and the alkaline phosphatase (ALP) assay were used to determine the degrees of adhesion and differentiation, respectively, of the MG-63 osteoblast-like cells on the surface. Antimicrobial activity was evaluated by examining the survival rate and inhibition zone of Escherichia coli (E. coli). The AMN coating layer reduced the water contact angle (WCA) of the titanium surface from 87° ± 2.5° to 53° ± 2.3° and this change was retained even after immersion in deionized water for five weeks, demonstrating the stability of the AMN coating. Compared with nontreated titanium and polydopamine (PDA) coating layers, the AMN surface coating increased MG-63 cell attachment, spreading, and early ALP expression; reduced E. coli adhesion; and increased the percentage of dead bacteria. In addition, the AMN coating served as an adhesion layer for the subsequent deposition of MBG-containing antibiotic nanoparticles. The synergistic effects of the AMN layer and antibiotics released from the MBG resulted in an obvious E. coli inhibition zone that was not observed in the nontreated titanium group. Full article
(This article belongs to the Special Issue Biomaterials and Antibacterial Materials for Bone Biology)
Show Figures

Figure 1

17 pages, 7674 KB  
Article
Kinetic Study of the Effective Thermal Polymerization of a Prebiotic Monomer: Aminomalononitrile
by Carlos Hortelano, Marta Ruiz-Bermejo and José L. de la Fuente
Polymers 2023, 15(3), 486; https://doi.org/10.3390/polym15030486 - 17 Jan 2023
Cited by 4 | Viewed by 2621
Abstract
Aminomalononitrile (AMN), the HCN formal trimer, is a molecule of interest in prebiotic chemistry, in fine organic synthesis, and, currently, in materials science, mainly for bio-applications. Herein, differential scanning calorimetry (DSC) measurements by means of non-isothermal experiments of the stable AMN p-toluenesulfonate [...] Read more.
Aminomalononitrile (AMN), the HCN formal trimer, is a molecule of interest in prebiotic chemistry, in fine organic synthesis, and, currently, in materials science, mainly for bio-applications. Herein, differential scanning calorimetry (DSC) measurements by means of non-isothermal experiments of the stable AMN p-toluenesulfonate salt (AMNS) showed successful bulk AMN polymerization. The results indicated that this thermally stimulated polymerization is initiated at relatively low temperatures, and an autocatalytic kinetic model can be used to appropriately describe, determining the kinetic triplet, including the activation energy, the pre-exponential factor, and the mechanism function (Eα, A and f(α)). A preliminary structural characterization, by means of Fourier transform infrared (FTIR) spectroscopy, supported the effective generation of HCN-derived polymers prepared from AMNS. This study demonstrated the autocatalytic, highly efficient, and straightforward character of AMN polymerization, and to the best of our knowledge, it describes, for the first time, a systematic and extended kinetic analysis for gaining mechanistic insights into this process. The latter was accomplished through the help of simultaneous thermogravimetry (TG)-DSC and the in situ mass spectrometry (MS) technique for investigating the gas products generated during these polymerizations. These analyses revealed that dehydrocyanation and deamination processes must be important elimination reactions involved in the complex AMN polymerization mechanism. Full article
Show Figures

Graphical abstract

11 pages, 3473 KB  
Review
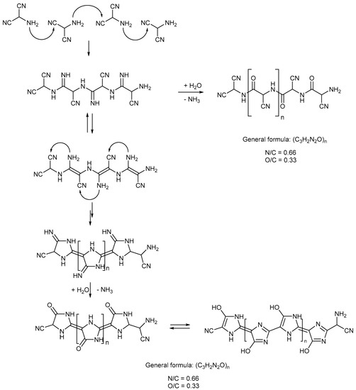
Films and Materials Derived from Aminomalononitrile
by Helmut Thissen, Richard A. Evans and Vincent Ball
Processes 2021, 9(1), 82; https://doi.org/10.3390/pr9010082 - 1 Jan 2021
Cited by 19 | Viewed by 2846
Abstract
In recent years major advances in surface chemistry and surface functionalization have been performed through the development, most often inspired by living organisms, of versatile methodologies. Among those, the contact of substrates with aminomalononitrile (AMN) containing solutions at pH = 8.5 allows a [...] Read more.
In recent years major advances in surface chemistry and surface functionalization have been performed through the development, most often inspired by living organisms, of versatile methodologies. Among those, the contact of substrates with aminomalononitrile (AMN) containing solutions at pH = 8.5 allows a conformal coating to be deposited on the surface of all known classes of material. Since AMN is a molecule probably formed in the early atmosphere of our planet and since HCN-based compounds have been detected on many comets and Titan (Saturn’s largest moon) it is likely that such molecules will open a large avenue in surface functionalization mostly for bio-applications. This mini review describes the state of the art of AMN-based coatings from their deposition kinetics, composition, chemical reactivity, hypothetical structure to their first applications as biomaterials. Finally, the AMN-based versatile coatings are compared to other kinds of versatile coating based on catecholamines and polyphenols. Full article
(This article belongs to the Section Materials Processes)
Show Figures

Figure 1

16 pages, 2008 KB  
Review
Astrochemistry and Astrobiology: Materials Science in Wonderland?
by Marco d’Ischia, Paola Manini, Marco Moracci, Raffaele Saladino, Vincent Ball, Helmut Thissen, Richard A. Evans, Cristina Puzzarini and Vincenzo Barone
Int. J. Mol. Sci. 2019, 20(17), 4079; https://doi.org/10.3390/ijms20174079 - 21 Aug 2019
Cited by 33 | Viewed by 9616
Abstract
Astrochemistry and astrobiology, the fascinating disciplines that strive to unravel the origin of life, have opened unprecedented and unpredicted vistas into exotic compounds as well as extreme or complex reaction conditions of potential relevance for a broad variety of applications. Representative, and so [...] Read more.
Astrochemistry and astrobiology, the fascinating disciplines that strive to unravel the origin of life, have opened unprecedented and unpredicted vistas into exotic compounds as well as extreme or complex reaction conditions of potential relevance for a broad variety of applications. Representative, and so far little explored sources of inspiration include complex organic systems, such as polycyclic aromatic hydrocarbons (PAHs) and their derivatives; hydrogen cyanide (HCN) and formamide (HCONH2) oligomers and polymers, like aminomalononitrile (AMN)-derived species; and exotic processes, such as solid-state photoreactions on mineral surfaces, phosphorylation by minerals, cold ice irradiation and proton bombardment, and thermal transformations in fumaroles. In addition, meteorites and minerals like forsterite, which dominate dust chemistry in the interstellar medium, may open new avenues for the discovery of innovative catalytic processes and unconventional methodologies. The aim of this review was to offer concise and inspiring, rather than comprehensive, examples of astrochemistry-related materials and systems that may be of relevance in areas such as surface functionalization, nanostructures, and hybrid material design, and for innovative technological solutions. The potential of computational methods to predict new properties from spectroscopic data and to assess plausible reaction pathways on both kinetic and thermodynamic grounds has also been highlighted. Full article
(This article belongs to the Collection Feature Papers in Materials Science)
Show Figures

Figure 1

Back to TopTop