Abstract
We aimed in the current study, the identification of a marine bacterial amylase produced by Bacillus pacificus, which was associated with Turbinaria ornata. Cultural conditions were optimized for the highest amylase production on Tryptic soy broth media supplemented with starch 1% at initial pH 9, 55 °C for 24 h. The newly purified amylase was characterized for a possible biotechnological application. Data indicated that the obtained amylase with a molecular weight of 40 kD and the N-terminal sequence of the first 30 amino acids of amBp showed a high degree of homology with known alpha amylase, and was stable at 60 °C of pH 11. Among the tested substrate analogs, amBp was almost fully active on Alylose and Alylopectine (97%), but moderately hydrolyzed glycogen < sucrose < maltose < lactose. Therefore, the current amylase mainly generated maltohexaose from starch. Mg2+ and Zn2+ improved amylase activity up to 170%. While ethylenediamine tetraacetic acid (EDTA) similarly induced the greatest activity with purified amylase, PCMB had the least effect. Regarding all these characteristics, amylase from marine bacterial symbionts amBp has a new promising feature for probable therapeutic, industrial, and nutritional applications.
1. Introduction
Starch is a glucose polymer containing of two types of α-glucans, amylose and amylopectin, Amylose is a linear water insoluble polymer of glucose joined by α-1, 4 glycosidic bonds, while amylopectin is branched water soluble polysaccharide with short α-1, 4 and α-1, 6 [1]. Based on the mode of action, starch hydrolyzing enzymes may be endo-acting or exo-acting. α-Amylases (EC 3.2.1.1), categorized in GH-13 family of glyosyl hydrolases, are the extracellular endo-acting enzymes that hydrolyse α-1,4 glycosidic linkages of starch randomly, while bypassing the branch points and liberating α-limit dextrins as products [2], Sivaram, 1993 #271. Classified according to the similarity of the primary structure of the well-defend amino acid sequence of the catalytic domains, α-amylase mainly belongs to the GH13 family, together with the GH57, GH119, and eventually GH126 families (http://www.cazy.org/Glycoside-Hydrolases.html) [3].
Amylases are universally distributed throughout the animal, plant, and microbial [4]. Despite the large difference in the characteristics of microbial α-amylases, their molecular weights are generally in the same range of 40 to 70 kDa [1]. It has been reported that the α-amylase from Chloroflexus aurantiacus have the highest molecular weight with 210 kDa [5]. Whereas, much lower molecular weight of about 10 kDa, was noted from Bacillus caldolyticus [2].
The industrial application of amylolytic enzymes requires thermostable enzymes including the optimum temperature greater than or equal to 60 °C. In recent years, several researches have been done on the production of amylases by microorganisms that are well appropriate for new several industrial applications thanks to their stability to extreme conditions including increased salt, acidic or alkaline pH and higher temperature. Among them α -amylases from marine Bacillus subtilis [6], Bacillus sp. dsh19-1 [7], and Bacillus aquimaris BaqA [8]. Their use in the industrial plants processes offers the advantages of reducing the risk of contamination, reducing the reaction, the cost of cooling the exterior [9,10,11] and increase the diffusion rate [12]. The main amylolytic enzymes used in the starch industry are α-amylase, β-amylase, glucoamylase, pullulanase, maltase, and α-1,6 glucosidase. Most of the commercial amylases are of bacterial origin [13] for their interest in starch saccharification for, glucose, maltose, maltotriose, and dextrins production [13,14].
Thus, improving the microbial enzyme production involves generally optimization of environmental parameters including mainly pH, temperature, substrate, and nutrients. α-amylase is the most critical industrial enzyme mainly known for degrading starch into simple sugar, and one of the leading biocatalysts in food processing industries, wastewater treatment, and detergent production, in addition to its recent clinical and medicinal applications. Thus, in this study a new α-amylase from Bacillus pacificus associated with the brown alga Trubinaria ornata was purified and biochemically characterized. Cultural conditions were prior optimized for amylase production.
2. Results
2.1. Cultivation Conditions of Marine Bacterial Amylase
Optimization of the Fermentation Media
Among the culture media tested, the production of the amylase by the B. pacificus strain reached maximum on TSB medium (16U/mL). Whereas only 4U/mL and 6U/mL were found when NB and Pw were used, respectively. The composition media weakly affected bacterial growth (Figure 1). Furthermore, two inoculum sizes (0.5% and 1%) from the overnight culture of the isolated strain were used to determine their effects on enzyme production. It was noted that the inoculum size did not significantly affect amylase production. (Data not shown).
Figure 1.
Effect of culture media on Bacillus pacificus growth (OD600) and amylase activity (U/mL). Starch soluble in 250 mL flasks were incubated with 1 mL of bacterial overnight culture (2 × 106 CFU/mL) at 37 °C for 48 h.
2.2. Effect of Physical Parameters
2.2.1. The Effect of Incubation Time on Cell Growth and Amylase Productivity
Information from Figure 2 showed that enzyme production and cell growth at the same time increased with incubation time to reach an optimal activity of 18U/mL (at 24 h of incubation time) and maximum cell growth nearly in 37 h of time culture. Then, after two days of fermentation at 37 °C, bacterial growth and amylase activity declined dramatically. Notably, bacterial growth and enzyme activity are nonreciprocal. This could be explained by the exhaustion of nutrients and accumulation of byproducts in the medium, such as toxins, protease enzymes hydrolyzing amylases, and could be that the cells have reached their decline phase and diminished their amylase synthesis [15,16].
Figure 2.
The time courses cell growth of Bacillus pacificus (filled square) and amylase production (filled circle). The culture was conducted at 55 °C in shaking at 150 rpm. Cell growth was monitored by measuring the absorbance at 600 nm.
2.2.2. Effect of Initial pH, Temperature, and Substrate Concentration on Bacterial Amylase Activity
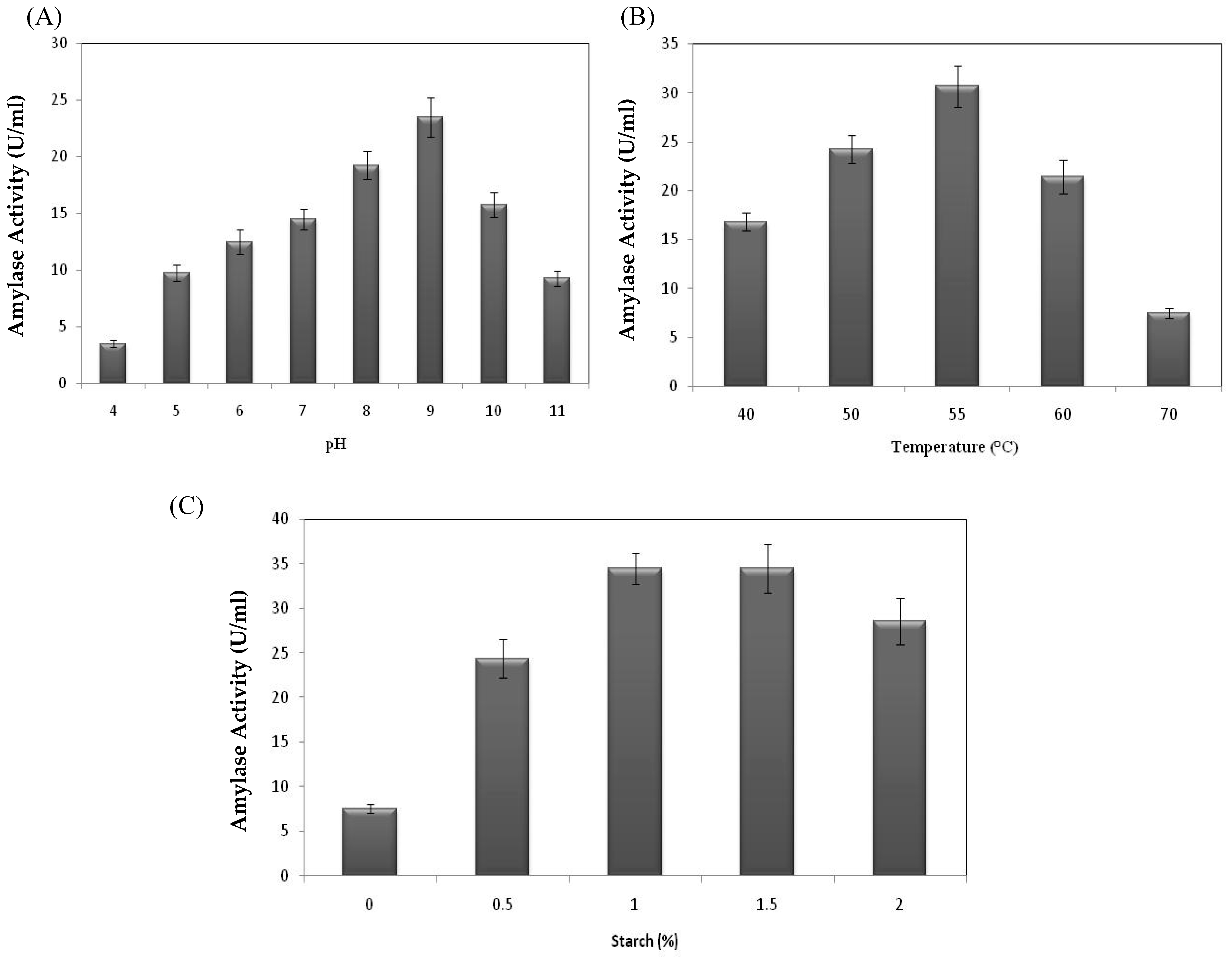
The effect of initial pH ranging from 4.0 to 11.0 on amylase production by Bacillus pacificus. cultivated on TSB media, at 37 °C for 24 h was studied. The highest amylase productivity was obtained at pH 9.0, indicating the alkaliphilic nature of strain, and reaches 25U/mL. Moreover, a considerable reduction of amylase titer was noted in acid pH values (Figure 3A). Previous work proved that the optimum pH for amylase production from Bacillus cereus was 9 under solid state fermentation [17]. Figure 3B illustrates the effect of fermentation temperature (30 °C–70 °C) on the amylase produced by Bacillus pacificus grown in TSB fermentation medium at pH 9.0 for 60 h. Observably, the enzymatic activity improved at incubation temperature and maximum amylase production (30U/mL) was observed at 55 °C. Beyond 55 °C, amylase activity was reduced to 21U/mL and 7U/mL at 66 °C and 70 °C, respectively. This is due to decrease in microbial growth at elevated temperature. For further comparison, the highest amylase secretion from Bacillus cereus (IND4) and Bacillus sp. (WA21) was obtained at 45 °C [17,18].
Figure 3.
Effect of initial pH, temperature and substrate concentration on bacterial amylase activity. (A): Effect of initial pH on amylase production at 37 °C for 24 h in TSB medium. The experiments were performed in triplicate. Error bars are shown for the standard deviation. (B): Influence of the fermentation temperature on amylase productivity on TSB and at pH 9.0 for 24 h. The experiments were performed in triplicate. Error bars are shown for the standard deviation. (C): Effect of starch concentration (0–2%) on amylase activity from Bacillus pacificus when incubated in a shaking incubator at 55 °C, initial pH of 9.0 for 24 h. The experiments were performed in triplicate.
On the other hand, the enzymatic activity of the α-amylase increased with an increase in the substrate (starch) concentration (Figure 3C) to attain a maximum of 35U/mL with 1% starch. The same hydrolysis rate (35U/mL) was observed with 1.5% starch, and slightly deceased beyond. Indeed, it has been reported that carbon sources strongly affected the amylase production whereas, the most commonly used substrate is starch [19].
2.3. Purification of Amylase from Bacillus pacificus amB.p
Extracellular α-amylase, namely, amB.p, was produced by Bacillus pacificus grown on TSB media, supplemented with 1% starch soluble at pH 9 and 55 °C for 24 h. Such conditions are optimal for amylase activity. It was purified by ammonium sulfate fractionation (40–85%) followed by Mono Q Sepaharose chromatography. The homogeneity of α-amylase amB.p was eluted into four separate peaks with a linear gradient of NaCl (0.15 to 0.5 M) with a specific activity of 105 units/mg protein and fold purification of 8.07 (Figure 4 and Table 1). The molecular mass of the purified α-Amylase was approximately 40 kDa by SDS-PAGE (Figure 4B). AmB.p N-terminal sequencing allowed the clear identification of 25 residues of the pure enzyme: (DAILHAFNWKYSRVTANAEQKAAAG). The results presented in Table 2 show the alignment of the N-terminal sequence of amylase from Bacillus pacificus (present work) with those from Tepidimonas fonticaldi, from unclassified Vibrio and Vibrio sp. A8-1 with an accession number QBN20693.1, WP161425494.1, and WP_170905550.1, respectively.
Figure 4.
Purification of amB.p (A) ion exchange chromatography on Mono Q Sepaharose. Column of Mono Q (20 cm × 2.5 cm) was equilibrated with 0.1 Μ Tris-HCl buffer, pH 8. Non-adsorbed proteins were removed by rinsing the column within the same buffer. The bound proteins were then eluted into four separate peaks with a linear gradient of NaCl (0.15 to 0.5 M) at a flow rate of 30 mL/h, and 2.0 mL fractions were collected. (B) SDS-PAGE for Bacillus pacificus α-amylase. 1: Molecular markers (14kD, 20kD, 30kD, 43kD, 67kD, and 97Kd. 2: Mono Q Sepaharose amB.p.
Table 1.
Flow sheet of amBp. purification.
Table 2.
N-terminal sequence analysis of amB.p.
2.4. Pure Amylase amB.p Characterization
The Effect of pH and Temperature on Amylase Activity and Stability
Pure amB.p was characterized in terms of pH and temperature; activity and stability. Regarding pH, it is as well a critical parameter that must be controlled for optimal amylase activity. Figure 5A illustrates both the effect of pH on activity and stability of the complexes’ enzyme-substrate catalysis reaction. When we first measured the amylase activity at different pH values, pure amylase was found to be active in the pH range of 6.0–12.0, with maximal activity at pH 9.5. For pH stability, while α-Amylase from Bacillus pacificus had sharp pH stability ranging from 6.0 to 11.0 for 1 h, enzyme stability was relatively low in acidic pH ranges (3.0–7.0). Interestingly, amylase was found to be thermostable since it maintains 98.5% of its activity at 60 °C and with an optimum temperature activity at 55 °C. At 80 °C the enzyme lost most of its activity.
Figure 5.
(A) Effect of pH on pure amylase activity and stability. For pH activity, the relative activity was measured by incubating pure enzyme with starch substrate at different pH values (6-12). Buffers used are as follows: A phosphate buffer, pH 6.0–8; glycine–NaOH buffer, pH 9.0–12.0. pH stability of pure amylase was determined by incubation for 1 h at specified pH values (with buffers cited above). Results are the average of triplicate experiments. (B) Effect of temperature on pure amylase activity. The enzyme was incubated with the substrate for 1 h at different temperatures for 1 h. Thermostability of amylase was determined by prior incubating sole pure enzyme at temperature for 1 h. Results are the average of triplicate experiments.
2.5. Substrate Specificity of B. pacificus α-Amylase amB.p
The ability of amB.p to catalyze the hydrolysis of several substrates’ analogs to starch was studied to characterize the enzyme biochemically. Figure 6 shows that amB.p preferentially catalyzes the hydrolysis of starch. Pure amB.p remained active (up to 97% and 92%) at the analogs structurally related to starch, Alylose and Alylopectine, respectively. Therefore, weakening the enzyme catalyzed the hydrolysis of substrates in the order of glycogen < sucrose < maltose < lactose. These findings clearly indicate that the substrates with high molecular weight have high affinity toward enzyme. Nevertheless, α-amylase was not able to digest directly the raw starch.
Figure 6.
Hydrolysis efficiency of amylase produced by Bacillus pacificus toward different substrates: Starch, alylose, alylopectine, glycogen, sucrose, maltose, and lactose. The different polysaccharides and disaccharides (1 mg/mL) were mixed with pure amylase enzyme and reaction was incubated at 55 °C at pH 9.
2.6. Analysis of the Starch Hydrolysis Products
The HPLC profile of the starch hydrolysis products at an E/S ratio of 10 was examined for the purified enzyme. Clearly, the maltohexaose was the preponderant hydrolysis product (Figure 7), compared with standards.
Figure 7.
HPLC Profiles of the starch hydrolysis products of amBP under E/S ratio of 10U/g. (A) HPLC profile of a solution containing 10 g/L soluble starch. (B) Standards HPLC profile of a solution containing 8 g/L glucose and 5 g/L for each of maltose, maltotriose, maltotetraose, maltopentaose, maltohexaose (DP6), and maltoheptaose (DP7). (C) HPLC profiles of the starch hydrolysis products relative to amBP.
2.7. Effect of Metal Ions and Chemical Reagents on Pure α-Amylase Activity
From Figure 8A, the enzyme activity increased with the addition of some tested metal ions (0.1%) to reach 187.9%, 176.63%, 157.95%, and 146.7% in the presence of MgCl2, MgSO4, ZnSO4, and ZnCl2, respectively. These findings support Mg2+ and Zn2+ ions enhanced amylase activity. Indeed, similar results confirmed that Mg2+ acts as an activator of α-amylase from B. licheniformis. Figure 8A also shows that most tested metals have moderate inhibitory effect on amylase activity such as BaCl2 and BaSO4. Many amylases had Ca2+ cation in the active site, therefore, they are metal ion-dependent [20,21]. Concerning the effect of some chemical reagents, while N-Ethylmaleimide and urea poorly inhibited amBp activity (96% residual activity), PCMB strongly affected the amylase hydrolysis (Figure 8B).
Figure 8.
Influence of metal ions (0.1%) (A) and chemical reagents (B) (5 mM) on Bacillus pacificus α-amylase activity.
3. Discussion
Macroalgae offer a rich substrate and safe habitat for bacteria to grow and reproduce novel secondary metabolites of potential activity and bioapplication. Identifying and establishing algae-bacterial association is now possible using new microbiological, molecular, and microscopic techniques. However, the rate of bacterial occurrence, distribution, and presence associated with brown algae along with their ecological contribution has not yet been determined. Screening and identification of bacteria inhabiting marine macroalgae are now the main objective of research involving taxonomy and ecology. In this study, the ability of Bacillus pacificus associated with the macroalga Turbinaria ornata recently identified (unpublished data) to produce α-amylase is studied.
In the literature, several works have been focused on the production of α-amylase using various media compositions with different substrates by Bacillus sp. Therefore, in current study, the initial screening of isolated Bacillus sp. associated with the macroalga Turbinaria ornata revealed its capability to produce α-amylase and was first demonstrated using the iodine test on starch agar plates.
Optimization of the detected marine bacterial α-amylase production started by determining the phase of the cell growth in which amylase secretion is initiated, the biomass and incubation time effects on amylase activity for 0–72 h. Our findings demonstrated that the highest α-amylase activity (16.04 ± 3 U/mL) was recorded at 24 h of incubation, although the bacterial growth was slightly less compared with 36 h incubation time. Prolonged incubation time increased the bacterial count but affected the α-amylase activity negatively. These findings were similar to Singh et al. [22] and Paul et al. [23] who reported that an extended incubation period beyond 48 h did not increase the enzyme production from Bacillus sp. strain B-10 and Bacillus sp. MB6, respectively. As for the inoculum size, this study showed no significant alteration in α-amylase production regarding the volume of the bacterial suspension used. The inoculum size plays a notable role in the fermentation rate. However, the volume could range from 0.5% for B. amyloliquefaciens [24] to 2.95% [25] for Bacillus sp. and 8% for B. cereus [26]. Temperature was also controlled because it greatly affected enzyme production. Notably, temperature can affect enzyme availability by directly affecting the reaction constant rate or by thermal denaturation of the enzyme at elevated temperatures [27]. Data from this study indicated that the maximal α-amylase activity was obtained at initial pH 9 under shaking for 24 h at 55 °C. Therefore, media contained TSB (Tryptic soy broth), and supplemented with 1% starch allowed to reach the highest enzyme activity (35U/mL). Our study indicates alkaliphilic nature of strain since the α-amylase production and the microbial growth were optimal at pH 9.0. Similar result was described for amylase producing Bacillus cereus under solid state fermentation [26]. Under optimal conditions, the α-amylase produced by Bacillus pacificus was purified by ammonium sulfate fractionation (40–85%), a brief heat treatment followed by Mono Q Sepaharose chromatography. The eluted enzyme with a linear gradient of NaCl (0.15 to 0.5 M) was found to have a specific activity of 105 units/mg protein and fold purification of 8.07. The molecular mass of α-Amylase amB.p was approximately 40 kDa by SDS-PAGE. A similar molecular weight was detected in T. matsutake [28]. Moreover, the higher molecular weight of α-amylase was detected for T. harzianum (70 kDa) [29]. Biochemical characterization of pure enzyme included the effect of pH and temperature on the activity and stability. Our results indicated that pH 9 was the optimal value for maximal marine bacterial amylase activity. Similar results were obtained with Saxena et al. [14] where alkaline conditions (pH 7.5–11.0) improve α-amylase production in Bacillus sp. Maximal activity of amBp was recorded at 55 °C. Similar result was obtained with marine α-amylase from Bacillus subtilis [6]. For pH stability, α-Amylase from Bacillus pacificus had sharp pH stability ranging from 6.0–11.0 for 1 h. Conversely, enzyme stability relatively decreased in acidic pH ranging from 3.0 to 7.0. The current findings clearly showed the industrially interesting characteristic alkaliphilic nature of amBp and thus making it a suitable additive. In a previous study, B. methylotrophicus amylase was found to be stable at pH 6.0–9.0 for 1 h, with a significant decrease of its initial activity at pH 4.0 and 5.0. Interestingly, α-amylase was found to be thermostable since it maintains 98.5% of its activity at 60 °C. At 80 °C, the enzyme lost most of its activity. Our findings showed an alkali-tolerant and a high thermal nature of the enzyme, a dual extreme characteristic, since amBp was 100% stable up to 9.0 pH and 65 °C. In 2013, an acid-alkali stable α-amylase from a marine bacterium Bacillus subtilis S8–18 was isolated and was found to be highly stable for 24 h over a wide range of pH from 4.0 to 12.0 by showing 84–94% activity [6].
For the substrate specificity, α-amylase from Bacillus pacificus hydrolyzes preferentially soluble starch followed by Alylose and Alylopectine. amBp was not able to display any enzymatic activity with potato starch. Therefore, the current amylase mainly generated maltohexaose from starch. Conversely, various metallic salts with the chemical reagents affected the activity of the α-amylase enzyme. Divalent cations Mg2+ increased the activity of the purified α-amylase. EDTA similarly induced the greatest activity with purified α-amylase, whereas PCMB had the least effect.
Observably, throughout this study, bacterial growth and enzymatic productivity or stability or both are nonreciprocal, this could be explained by the fact that Bacillus isolate was identified living together with Turbinaria ornata and that this latter is rich in different kind of starch [30] thus this bacterium utilized the starch present in the medium as the single carbon source and then produced its extracellular α-amylase where it reached its maximal activity followed by a decrease in the bacterial growth due to the depletion of the carbon source in the medium.
4. Materials and Methods
4.1. Microorganism and Cultivation Conditions
Bacterial strains associated with the brown alga Turbinaria ornata (bacterial symbiont) were isolated from the surface of the macroalga collected from shallow surface of the Red Sea, Jeddah, Saudi Arabia. A direct swab from the algal surface onto Tryptone Soy agar (TSA) (Oxoid, Lenexa, KS, USA) and Marine agar (MA) (Oxoid, USA) plates were incubated aerobically at 37 °C for 18–24 h. Bacterial strains, isolated, identified, and stored in the Botany and Microbiology Department-College of Science at King Saud University (Riyadh, Saudi Arabia) were screened for amylase production in starch liquid medium. The media included, separately: TSB (Tryptic soy broth), NB (nutrient broth) and PW (peptone water) and supplemented with 1% starch soluble in 250 mL flasks were incubated with 1 mL of the bacterial overnight culture (2 × 106 CFU/mL). The media were incubated in a shaking incubator at 37 °C for 3 days. Then, cultures were tested and screened based on the highest α-amylase productivity. Samples were collected at a regular interval of 24 h, and growth was determined spectrophotometrically (OD) at 600 nm.
Data were presented as average ± standard deviation (SD) for three independent determinations. Each culture broth was centrifuged at 10,000 rpm for 10 min at 4 °C and the collected supernatant was used as an enzyme source for further biochemical analysis of 𝛼-amylase activity.
4.2. α-Amylase Assay
α-Amylase activity was measured at the indicated pHs and temperatures by determining the liberated reducing sugars as end products according to Nelson’s method (1944). One unit of enzyme activity was defined as the amount; which catalyzed 1 mmol formation of maltose under the assay conditions.
4.3. Inoculum Size
The inoculum size effect on both α-amylase activity and cell growth was investigated as follows: 50 mL of selected fermentation medium was inoculated with 2 × 106 and 2 × 109 CFU/mL (v/v) of overnight bacterial. After 60 h of incubation, the α-amylase activity was investigated in collected culture filtrate. Media were incubated in a shaking incubator at 37 °C for an interval of 2 days and checked for cell growth and α-amylase activity.
4.4. The Effect of Incubation Time
The effect of various incubation times on microbial growth and enzyme production was checked in the appropriate selective medium. Samples were collected at a regular interval of 12 h. Growth (OD) and α-amylase activity was measured using a spectrophotometer.
4.5. Influence of Initial pH and Temperature
Both temperature and pH are crucial parameters for the determination of the enzyme activity. Indeed, amylase activity was measured after incubation at initial pH values ranging from 4.0–11.0 and a temperature range 40 °C–70 °C, separately.
First, 10% (v/v) inocula was used to inoculate the enzyme production medium. Buffers at pH values ranging from 4 to 11 were used to test the α-amylase activity at 37 °C. Indeed, flasks at the appropriate pH values were incubated in a shaking incubator at 37 °C for 24 h. Whereas, for temperature optimization, activity was determined by testing the enzyme activity at temperatures ranging from 40 to 70 °C and the pH was adjusted to 9.0. α-amylase activity was determined after centrifugation for 10 min at 10,000 rpm and 10 °C, as previously described.
4.6. Effect of Substrate Concentration
Effect of starch concentration (0–2%) on α-amylase activity from Bacillus pacificus was tested in triplicate with incubation at 55 °C for 24 h, and at initial pH of 9.0.
4.7. α-Amylase Purification
The supernatant containing extracellular α-amylase produced in the optimized medium was incubated for 10 min at 70 °C, then rapidly cooled and centrifuged (at 12,000 rpm, 30 min) to discard insoluble material. The resulting supernatant containing approximately 80% of the initial α-amylase activity was subjected to ammonium sulfate fractionation (40–85%). After centrifugation for 30 min at 12,000 rpm, the precipitate obtained was resuspended in 25 mM Tris-HCl buffer, pH 8 and dialyzed overnight at 4 °C against repeated changes after 6 and 12 h in the same buffer. The clear supernatant was then loaded on a 20 cm × 2.5 cm column of Mono Q Sepaharose, pre-equilibrated with the Tris-HCl buffer, pH 8. Non-adsorbed proteins were removed by rinsing the column within the same buffer. The bound proteins were then eluted into four separate peaks with a linear gradient of NaCl (0.15 to 0.5 M). Every 6 min, fractions of 2.0 mL were collected and assayed for α-amylase activity and protein content. The sample with the highest amylase activity were gathered, lyophilized, and stored at 4 °C until further use.
4.8. Protein Analysis
The protein content was checked by the Bradford method [31] using crystalline bovine serum album as a standard. The purity of the isolated α-amylase and estimation of its molecular mass were performed by sodium dodecyl sulfate polyacrylamide gel electrophoresis (SDS-PAGE) using 15% polyacrylamide gels in the presence of β-mercaptoethanol as a reducing agent [32] while its N-terminal sequence was determined by Edman’s degradation technique according to Hewick et al. [33].
4.9. HPLC Analysis of the Starch Hydrolysis Products
The purified α-amylase reacted separately on starch at enzyme/substrate ratio (E/S) of 10U/g. In a screwcapped tube, 5 mL of the reaction medium containing 10 g/L starch was incubated at 60 °C for 24 h. An Aminex HPX-42A (Bio Rad Laboratories S.A., Marnes La Coquette, France) column packed with a sulfonated polystyrene divinylbenzene resin in silver ionic form was used for HPLC analysis of the taken samples. The column (300 × 7.8 mm) was used in ion-moderated partition involving the separation of oligosaccharides (up to DP11). Elution of the hydrolysis products were performed at a flow rate of 0.4 mL/min with water and a Smartline Refractive Index Detector 2300 (Knauer GmbH, Berlin, Germany) was used for detection.
4.10. Metal Ions and Chemical Reagents Effects on α-Amylase Activity
The effect of several metal ions and compounds on the α-amylase activity was investigated by pre-incubating the enzyme solution for 5 min in the presence of the respective compounds or ion at room temperature. Then, aliquots were withdrawn at the end of the incubation time and tested under optimal conditions. The α-amylase activity was expressed as a percentage of the control enzyme activity (100%).
4.11. Substrate Specificity
Amylase substrate specificity was determined in an assay mixture containing numerous disaccharides and polysaccharides (1 mg/mL) at 55 °C. To estimate the amount of released maltose, aliquots were withdrawn at the time interval. The ability of α-amylase to digest raw starch was investigated using the native insoluble starches (corn starch and potato starch). [34] Briefly, the starches (5%) were suspended in 500 mL of 100 mM Tris buffer (pH 9.0). The reaction was started by adding 25 µl of α-amylase followed by incubation at 55 °C.
5. Conclusions
This study described the optimization of cultural conditions for the production of α-amylase from the identified marine Bacillus pacificus associated with the brown alga Turbinaria ornata. The highest amylase titer was observed when grown in TSB medium supplemented with starch 1% at 24 h incubation time at 55 °C and pH 9. This study provided a promising outline for marine microbial α-amylase and opened new horizons for its exploration, engineering, and various applications since the protein remains 100% stable up to 9.0 pH and 65 °C.
Author Contributions
Conceptualization, A.K. and A.B.B.; methodology, M.A.; formal analysis, A.Y.B.-H.-A.; investigation, M.A. and A.Y.B.-H.-A.; resources, M.A.; data curation, A.K.; writing—original draft preparation, A.K.; writing—review and editing, A.B.B. and A.K.; visualization, A.Y.B.-H.-A.; supervision, A.B.B.; project administration, M.A. All authors have read and agreed to the published version of the manuscript.
Funding
This research received no external funding.
Institutional Review Board Statement
Not applicable.
Informed Consent Statement
Not applicable.
Data Availability Statements
Data is contained within the article.
Acknowledgments
The authors extend their appreciation to the researchers Supporting Project number (RSP-2020/237), King Saud University, Riyadh, Saudi Arabia, for funding this work.
Conflicts of Interest
The authors declare no conflict of interest.
References
- Tester, R.F.; Karkalas, J.; Qi, X. Starch-composition, fine structure and architecture. J. Cereal Sci. 2004, 39, 151–165. [Google Scholar] [CrossRef]
- Gupta, R.; Gigras, P.; Mohapatra, H.; Goswami, V.K.; Chauhan, B. Microbial α-amylases: A biotechnological perspective. Process. Biochem. 2003, 38, 1599–1616. [Google Scholar] [CrossRef]
- Ficko-Blean, E.; Stuart, C.P.; Boraston, A.B. Structural analysis of CPF_2247, a novel α-amylase from Clostridium perfringens. Proteins 2011, 79, 2771–2777. [Google Scholar] [CrossRef] [PubMed]
- Sagu, S.T.; Huschek, G.; Bonick, J.; Homann, T.; Rawel, H.M. A New Approach of Extraction of alpha-Amylase/trypsin Inhibitors from Wheat (Triticum aestivum L.), Based on Optimization Using Plackett-Burman and Box-Behnken Designs. Molecules 2019, 24, 3589. [Google Scholar] [CrossRef] [PubMed]
- Ratanakhanokchai, K.; Kaneko, J.; Kamio, Y.; Izaki, K. Purification and properties of a maltotetraose and maltotriose producing amylase from Chloroflexus aurantiacus. Appl. Environ. Microbiol. 1992, 58, 2490–2494. [Google Scholar] [CrossRef] [PubMed]
- Kalpana, B.J.; Pandian, S.K. Halotolerant, acid-alkali stable, chelator resistant and raw starch digesting α-amylase from a marine bacterium Bacillus subtilis S8–18. J. Basic Microbiol. 2014, 8, 802–811. [Google Scholar] [CrossRef]
- Dou, S.; Chi, N.; Zhou, X.; Zhang, Q.; Pang, F.; Xiu, Z. Molecular cloning, expression, and biochemical characterization of a novel cold-active α-amylase from Bacillus sp. dsh19-1. Extremophiles 2018, 22, 739–749. [Google Scholar] [CrossRef]
- Puspasari, F.; Radjasa, O.K.; Noer, A.S.; Nurachman, Z.; Syah, Y.M.; Van Der Maarel, M.; Dijkhuizen, L.; Janeček, Š.; Natalia, D. Raw starch-degrading α-amylase from Bacillus aquimaris MKSC 6.2: Isolation and expression of the gene, bioinformatics and biochemical characterization of the recombinant enzyme. J. Appl. Microbiol. 2013, 114, 108–120. [Google Scholar] [CrossRef]
- Brown, E.D.; Yada, R.; Marangoni, A.G. The dependence of the lipolytic activity of Rhizopus arrhizus lipase on surfactant concentration in Aerosol-OT/isooctane reverse micelles and its relationship to enzyme structure. Biochim. Biophys. Acta 1993, 1161, 66–72. [Google Scholar] [CrossRef]
- Mobini, D.M.; Javann, A.F. Application of alpha-amylase in biotechnology. J. Biol. Today World 2012, 1, 39–50. [Google Scholar]
- Nisha, M.; Satyanarayana, T. Recombinant bacterial amylopellulanase developments ad perspectives. Bioingeneered 2013, 4, 388–400. [Google Scholar] [CrossRef] [PubMed]
- Lin, L.; Chyau, C.C.; Hsu, W.H. Production and properties of a raw starch-degrading amylase from the thermophilic and alkaliphilic Bacillus sp. TS-23. Biotechnol. Appl. Biochem. 1998, 28, 61–68. [Google Scholar]
- Gomes, I.; Gomes, J.; Steiner, W. Highly thermostable amylase and pullulanase of the extreme thermophilic eubacterium Rhodothermus marinus: Production and partial characterization. Bioresour. Technol. 2003, 90, 207–214. [Google Scholar] [CrossRef]
- Saxena, R.K.; Dutt, K.; Agarwal, L.; Nayyar, P. A highly thermostable and alkaline amylase from a Bacillus spPN5. J. Biortech. 2007, 98, 260–265. [Google Scholar]
- Teodoro, C.E.D.S.; Martins, M.L.L. Culture conditions for the production of thermostable amylase by Bacillus sp. Braz. J. Microbiol. 2000, 31, 298–302. [Google Scholar] [CrossRef]
- Cripwell, R.A.; Van Zyl, W.H.; Viljoen-Bloom, M. Amylases and their applications. Afr. J. Biotechnol. 2005, 4, 1525–1529. [Google Scholar]
- Vijayaraghavan, P.; Kalaiyarasi, M.; Vincent, S.G.P. Cow dung is an ideal fermentation medium for amylase production in solid-state fermentation by Bacillus cereus. J. Genet. Eng. Biotechnol. 2015, 13, 111–117. [Google Scholar] [CrossRef]
- Asad, W.; Asif, M.; Rasool, S.A. Rasool. Extracellular enzyme production by indigenous thermophilic bacteria: Partial purification and characterization of α-amylase by Bacillus sp. WA21. Pak. J. Bot. 2011, 43, 1045–1052. [Google Scholar]
- Bajpai, P.; Bajpai, P.K. High-temperature alkaline α-amylase from Bacillus licheniformis TCRDC-B13. Biotech. Bioeng. 1989, 33, 72–78. [Google Scholar] [CrossRef]
- Pandey, A.; Nigam, P.S.N.; Soccol, C.R.; Soccol, V.T.; Singh, D.; Mohan, R. Advances in microbial amylases. Biotechnol. Appl. Biochem. 2000, 31, 135–152. [Google Scholar] [CrossRef]
- Normurodova, K.T.; Nurmatov, S.K.; Alimova, B.K.; Pulatova, O.M.; Akhmedova, Z.R.; Makhsumkhanov, A.A. Isolation and characteristics of highly active α-amylase from Bacillus subtilis-150. Chem. Nat. Comp. 2007, 43, 454–457. [Google Scholar] [CrossRef]
- Singh, R.N.; Bahuguna, A.; Chauhan, P.; Sharma, V.K.; Kaur, S.; Singh, S.K.; Khan, A. Production, purification and characterization of thermostable α-amylase from soil isolate Bacillus sp. strain B-10. J. Biosci. Biotechnol. 2016, 5, 37–43. [Google Scholar]
- Paul, J.S.; Lall, B.M.; Jadhav, S.K.; Tiwari, K.L. Parameter’s optimization and kinetics study of α-amylase enzyme of Bacillus sp. MB6 isolated from vegetable waste. Process. Biochem. 2017, 52, 123–129. [Google Scholar] [CrossRef]
- Haq, I.; Ali, S.; Javed, M.M.; Hameed, U.; Saleem, A.; Adnan, F.; Qadeer, M.A. Production of α amylase from a randomly induced mutant strain of Bacillus amyloliquefaciens and its application as a desizer in textile industry. Pak. J. Bot. 2010, 42, 473–484. [Google Scholar]
- Zambare, V. Optimization of amylase production from Bacillus sp. using statistics based experimental design. Emir. J. Food Agric. 2011, 23, 37–47. [Google Scholar] [CrossRef]
- Raplong, H.H.; Odeleye, P.O.; Chrinius, H. Production of Alpha Amylase by Bacillus cereus in Submerged Fermentation. J. Aceh Int. J. Sci. Technol. 2014, 3, 124–130. [Google Scholar] [CrossRef]
- Demirkan, E.S.; Mikami, B.; Adachi, M.; Higasa, T.; Utsumi, S. α-Amylase from B. amyloliquefaciens: Purification, characterization, raw starch degradation and expression in E. coli. Process. Biochem. 2005, 40, 2629–2636. [Google Scholar] [CrossRef]
- Kusuda, M.; Nagai, M.; Hur, T.-C.; Ueda, M.; Terashita, T. Purification and some properties of α-amylase from an ectomycorrhizal fungus, Tricholoma matsutake. Mycoscience 2003, 44, 311–317. [Google Scholar] [CrossRef]
- Mohamed, S.A.; Azhar, E.I.; Ba-Akdah, M.M.; Tashk, N.R.; Kumosani, T.A. Production, purification and characterization of α-amylase from Trichoderma harzianum grown on mandarin peel. Afr. J. Microbiol. Res. 2011, 5, 930–940. [Google Scholar]
- Busi, M.V.; Barchiesi, J.; Martín, M.; Gomez-Casati, D.F. Starch metabolism in green algae. Starch 2014, 66, 28–40. [Google Scholar] [CrossRef]
- Bradford, M.M. A rapid and sensitive method for quantitation of microgram quantities of protein utilizing the principle of protein-dye binding. Anal. Biochem. 1976, 72, 248–254. [Google Scholar] [CrossRef]
- Laemmli, U.K. Cleavage of structural proteins during the assembly of the head of bacteriophage T4. Nature 1970, 227, 680–685. [Google Scholar] [CrossRef] [PubMed]
- Hewick, R.M.; Hunkapiller, M.W.; Hood, L.E.; Dreyer, W.J. A gas-liquid solid phase peptide and protein sequenator. J. Biol. Chem. 1981, 256, 7990–7997. [Google Scholar] [PubMed]
- Sarikaya, E.; Higasa, T.; Adachi, M.; Mikamib, B. Comparison of degradation abilities of a and b-amylases on raw starch granules. Process. Biochem. 2000, 35, 711–715. [Google Scholar] [CrossRef]
Publisher’s Note: MDPI stays neutral with regard to jurisdictional claims in published maps and institutional affiliations. |
© 2020 by the authors. Licensee MDPI, Basel, Switzerland. This article is an open access article distributed under the terms and conditions of the Creative Commons Attribution (CC BY) license (http://creativecommons.org/licenses/by/4.0/).







