Batch Mode Reactor for 3,5-Dinitrosalicylic Acid Degradation by Phanerochaete chrysosporium
Abstract
1. Introduction
2. Materials and Methods
2.1. Materials
2.1.1. Biological Material
2.1.2. Immobilization Matrices
- Beech smoking chips of BROWIN Company, Poland, consisting of cellulose (41 wt%), hemicellulose (33 wt%), lignin (22% wt%), and other substances (4 wt%) [13];
- Sugar beet pulp originating from sugar beet processes as the by-products used in the form of a briquette which comprises carbohydrates (75 wt%) and nitrogen (9 wt%) [14]; and
- Polyurethane foam—block samples at sizes 1 cm3 × 1 cm3 × 1 cm3 of polyether polyol foam (EUROFOAM Company). The polyurethane foam was free of nutrients. To prepare the culture condition which could be compared to the samples including the other matrices, it was necessary to enrich this culture with the source of polysaccharides. The citrus peels were chosen as a natural source of dietary fibres (about 65 wt%) [15,16].
2.1.3. The 3,5-Dinitosalicylic Acid
2.2. Methods
2.2.1. Continuous Culture Condition
2.2.2. Chemical Analysis
The High-Performance Liquid Chromatography (HPLC) Analysis of 3,5-DNS Acid
2.3. Statistical Calculations
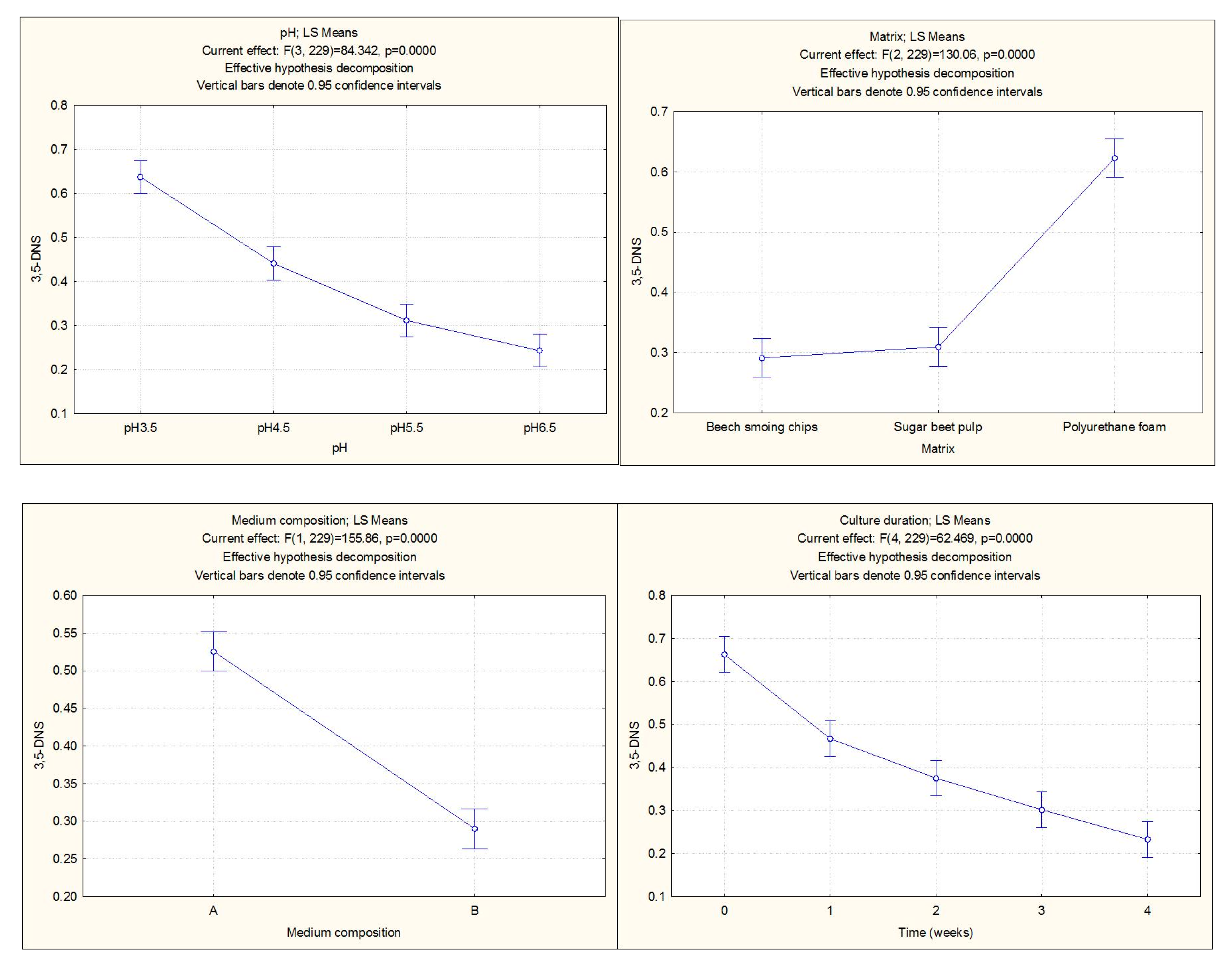
3. Results and Discussion
4. Conclusions
Author Contributions
Funding
Institutional Review Board Statement
Informed Consent Statement
Data Availability Statement
Conflicts of Interest
References
- Williams, M.; Reddy, G.; Quinn, M.; Johnson, M. Wildlife Toxicity Assessments for Chemicals of Military Concern; Elsevier BV: Amsterdam, The Netherlands, 2015; pp. 25–51. [Google Scholar]
- Gong, P.; Kuperman, R.G.; Sunahara, G.I. Genotoxicity of 2,4- and 2,6-dinitrotoluene as measured by the Tradescantia micronucleus (Trad-MCN) bioassay. Mutat. Res. Mol. Mech. Mutagen. 2003, 538, 13–18. [Google Scholar] [CrossRef]
- The Council Decision 2003/33/EC Establishing Criteria and Procedures for the Acceptance of Waste at Landfills Pursuant to Article 16 of and Annex II to Directive 1999/31/EC. 2003. Available online: http://data.europa.eu/eli/dec/2003/33(1)/oj (accessed on 2 December 2020).
- Miller, G.L. Use of Dinitrosalicylic Acid Reagent for Determination of Reducing Sugar. Anal. Chem. 1959, 31, 426–428. [Google Scholar] [CrossRef]
- Verma, P.; Baldrian, P.; Nerud, F. Decolorization of structurally different synthetic dyes using cobalt(II)/ascorbic acid/hydrogen peroxide system. Chemosphere 2003, 50, 975–979. [Google Scholar] [CrossRef]
- Shah, M. Effective Treatment Systems for Azo Dye Degradation: A Joint Venture between Physico-Chemical & Microbiological Process. Int. J. Environ. Biorem. Biodegrad. 2014, 2, 231–242. [Google Scholar] [CrossRef]
- Koprivanac, N.; Vujevic, D. Degradation of an Azo Dye by Fenton Type Processes Assisted with UV Irradiation. Int. J. Chem. React. Eng. 2007, 5. [Google Scholar] [CrossRef]
- Guivarch, E.; Trevin, S.; Lahitte, C.; Oturan, N. Degradation of azo dyes in water by Electro-Fenton process. Environ. Chem. Lett. 2003, 1, 38–44. [Google Scholar] [CrossRef]
- Stock, N.L.; Peller, J.; Vinodgopal, A.K.; Kamat, P.V. Combinative Sonolysis and Photocatalysis for Textile Dye Degradation. Environ. Sci. Technol. 2000, 34, 1747–1750. [Google Scholar] [CrossRef]
- Koyuncu, I.; Topacik, D.; Yuksel, E. Reuse of reactive dyehouse wastewater by nanofiltration: Process water quality and economical implications. Sep. Purif. Technol. 2004, 36, 77–85. [Google Scholar] [CrossRef]
- Rieble, S.; Joshi, D.; Gold, M. Aromatic Nitroreductase from the Basidiomycete Phanerochaete chrysosporium. Biochem. Biophys. Res. Commun. 1994, 205, 298–304. [Google Scholar] [CrossRef]
- Erkurt, E.A.; Ünyayar, A.; Kumbur, H. Decolorization of synthetic dyes by white rot fungi, involving laccase enzyme in the process. Process. Biochem. 2007, 42, 1429–1435. [Google Scholar] [CrossRef]
- Vek, V.; Oven, P.; Poljanšek, I. Review on Lipophilic and Hydrophilic Extractives in Tissues of Common Beech. Drv. Ind. 2016, 67, 85–96. [Google Scholar] [CrossRef]
- Kühnel, S.; Schols, H.A.; Gruppen, H. Aiming for the complete utilization of sugar-beet pulp: Examination of the effects of mild acid and hydrothermal pretreatment followed by enzymatic digestion. Biotechnol. Biofuels 2011, 4. [Google Scholar] [CrossRef] [PubMed]
- Rafiq, S.; Kaul, R.; Sofi, S.; Bashir, N.; Nazir, F.; Nayik, G.A. Citrus peel as a source of functional ingredient: A review. J. Saudi Soc. Agric. Sci. 2018, 17, 351–358. [Google Scholar] [CrossRef]
- Figuerola, F.; Hurtado, M.L.; Estévez, A.M.; Chiffelle, I.; Asenjo, F. Fibre concentrates from apple pomace and citrus peel as potential fibre sources for food enrichment. Food Chem. 2005, 91, 395–401. [Google Scholar] [CrossRef]
- Sroczynski, W.; Madaj, R. Układ do Utylizacji Nitrowych Związków Aromatycznych. System for Utilisation of Aromatic Nitro Compounds. Grant the Polish Patent to the Application No 426744, 25 September 2020. [Google Scholar]
- De Oliveira, S.C.; Mendes, G.O.; da Silva, U.C.; da Silva, I.R.; Júnior, J.I.R.; Costa, M.D. Decreased mineral availability enhances rock phosphate solubilization efficiency in Aspergillus niger. Ann. Microbiol. 2014, 65, 745–751. [Google Scholar] [CrossRef]
- Madaj, R.; Kalinowska, H.; Sroczyński, W.; Szeląg, J.; Sobiecka, E. Biodegradation of 3,5-dinitrosalicylic acid by Phanerochaete chrysosporium. Folia Biol. Oecologica 2018, 14, 14–22. [Google Scholar] [CrossRef][Green Version]
- Spain, J.C. Biodegradation of Nitroaromatic Compounds. Annu. Rev. Microbiol. 1995, 49, 523–555. [Google Scholar] [CrossRef]
- Mougin, C.; Pericaud, C.; Dubroca, J.; Asther, M. Enhanced mineralization of lindane in soils supplemented with the white rot basidiomycete Phanerochaete chrysosporium. Soil Biol. Biochem. 1997, 29, 1321–1324. [Google Scholar] [CrossRef]
- Brahushi, F.; Kengara, F.O.; Song, Y.; Jiang, X.; Munch, J.C.; Wang, F. Fate Processes of Chlorobenzenes in Soil and Potential Remediation Strategies: A Review. Pedosphere 2017, 27, 407–420. [Google Scholar] [CrossRef]
- De, S.; Perkins, M.; Dutta, S.K. Nitrate reductase gene involvement in hexachlorobiphenyl dechlorination by Phanerochaete chrysosporium. J. Hazard. Mater. 2006, 135, 350–354. [Google Scholar] [CrossRef]
- Podgornik, H.; Grgić, I.; Perdih, A. Decolorization rate of dyes using lignin peroxidases of Phanerochaete chrysosporium. Chemosphere 1999, 38, 1353–1359. [Google Scholar] [CrossRef]
- Abdel-Hamid, A.M.; Solbiati, J.O.; Cann, I.K. Insights into Lignin Degradation and its Potential Industrial Applications. Adv. Appl. Microbiol. 2013, 82, 1–28. [Google Scholar] [CrossRef] [PubMed]
- Falade, A.O.; Nwodo, U.U.; Iweriebor, B.C.; Green, E.; Mabinya, L.V.; Okoh, A.I. Lignin peroxidase functionalities and prospective applications. Microbiology 2017, 6, e00394. [Google Scholar] [CrossRef] [PubMed]
- Hofrichter, M. Review: Lignin conversion by manganese peroxidase (MnP). Enzym. Microb. Technol. 2002, 30, 454–466. [Google Scholar] [CrossRef]






| No | m/z | Retention Time [min] | Name of Substrate and by Products |
|---|---|---|---|
| 1 | 227 | 1.86 | the 3,5-dinitrosalicylic acid |
| 2 | 197 | 2.74 | the 3-amino-5-nitrosalicylic acid |
| 3 | 183 | 2.16 | the 2,4-dinitrophenol |
| 4 | 153 | 2.24 | the 2-amino-4-nitrophenol |
| 5 | 141 | 2.31 | the 1-amino-2,4,5-trihydroxybenzene |
Publisher’s Note: MDPI stays neutral with regard to jurisdictional claims in published maps and institutional affiliations. |
© 2021 by the authors. Licensee MDPI, Basel, Switzerland. This article is an open access article distributed under the terms and conditions of the Creative Commons Attribution (CC BY) license (http://creativecommons.org/licenses/by/4.0/).
Share and Cite
Madaj, R.; Sroczyński, W.; Sójka, M.; Olejnik, T.P.; Sobiecka, E. Batch Mode Reactor for 3,5-Dinitrosalicylic Acid Degradation by Phanerochaete chrysosporium. Processes 2021, 9, 105. https://doi.org/10.3390/pr9010105
Madaj R, Sroczyński W, Sójka M, Olejnik TP, Sobiecka E. Batch Mode Reactor for 3,5-Dinitrosalicylic Acid Degradation by Phanerochaete chrysosporium. Processes. 2021; 9(1):105. https://doi.org/10.3390/pr9010105
Chicago/Turabian StyleMadaj, Rafał, Witold Sroczyński, Michał Sójka, Tomasz P. Olejnik, and Elżbieta Sobiecka. 2021. "Batch Mode Reactor for 3,5-Dinitrosalicylic Acid Degradation by Phanerochaete chrysosporium" Processes 9, no. 1: 105. https://doi.org/10.3390/pr9010105
APA StyleMadaj, R., Sroczyński, W., Sójka, M., Olejnik, T. P., & Sobiecka, E. (2021). Batch Mode Reactor for 3,5-Dinitrosalicylic Acid Degradation by Phanerochaete chrysosporium. Processes, 9(1), 105. https://doi.org/10.3390/pr9010105

