Tributary Channel Width Effect on the Flow Behavior in Trapezoidal and Rectangular Channel Confluences
Abstract
1. Introduction
2. Materials and Methods
2.1. Laboratory Model
2.2. Numerical Model
2.3. Governing Equations
2.4. Turbulence Modeling
2.5. Boundary Conditions and Gridding
2.6. Simulation Scenarios
2.7. Model Verification
3. Results and Discussion
3.1. Rectangular Main Channel
3.1.1. Longitudinal Velocity Distribution and Flow Patterns
3.1.2. Transverse Velocity Distribution and Flow Patterns
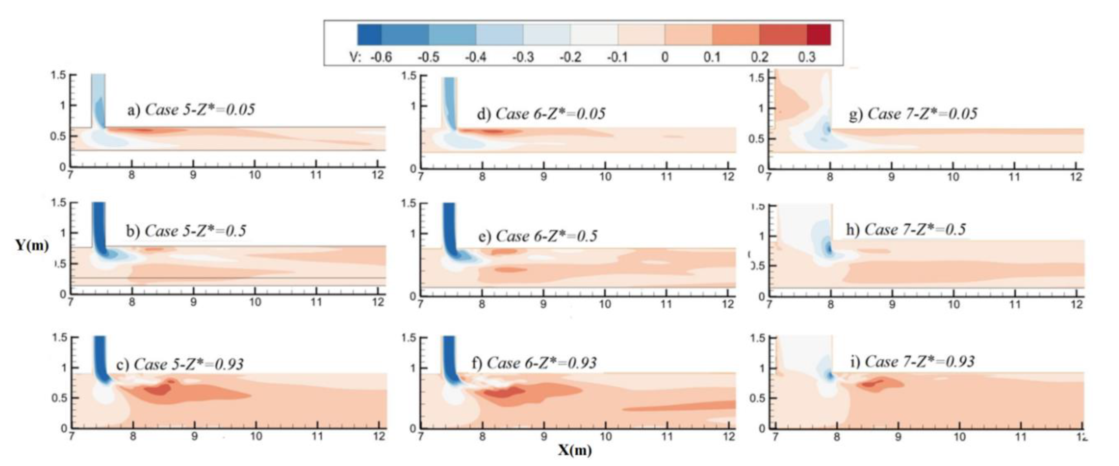
3.2. Trapezoidal Main Channel
3.2.1. Longitudinal Velocity Distribution and Flow Patterns
3.2.2. Transverse Velocity Distribution and Flow Patterns
3.2.3. Bed Shear Stress
4. Conclusions
Author Contributions
Funding
Conflicts of Interest
Glossary
| Wsc | Tributary Channel width |
| Wmc | Main channel width |
| W* | Width ratio (Wsc/Wmc ) |
| Qsc | Tributary discharge |
| Frmc | Main channel Froude number |
| Frsc | Tributary Froude number |
| Fr* | Froude ratio (Frsc/Frmc) |
| q* | discharge ratio |
References
- Constantinescu, G.; Miyawaki, S.; Rhoads, B.; Sukhodolov, A.; Kirkil, G. Structure of turbulent flow at a river confluence with momentum and velocity ratios close to 1: Insight provided by an eddy-resolving numerical simulation. Water Resour. Res. 2011, 47. [Google Scholar] [CrossRef]
- Schindfessel, L.; Creelle, S.; De Mulder, T. How Different Cross-Sectional Shapes Influence the Separation Zone of an Open-Channel Confluence. J. Hydraul. Eng. 2017, 143, 04017036. [Google Scholar] [CrossRef]
- Rhoads, B.L.; Sukhodolov, A.N. Field investigation of three-dimensional flow structure at stream confluences: 1. Thermal mixing and time-averaged velocities. Water Resour. Res. 2001, 37, 2393–2410. [Google Scholar] [CrossRef]
- Best, J.L. Flow Dynamics At River Channel Confluences: Implications For Sediment Transport And Bed Morphology. Recent Dev. Fluv. Sedimentol. 1987, 27–35. [Google Scholar] [CrossRef]
- Biron, P.M.; Roy, A.G.; Best, J. Turbulent flow structure at concordant and discordant open-channel confluences. Exp. Fluids 1996, 21, 437–446. [Google Scholar] [CrossRef]
- Gualtieri, C.; Ianniruberto, M.; Filizola, N. On the mixing of rivers with a difference in density: The case of the Negro/Solimões confluence, Brazil. J. Hydrol. 2019, 578. [Google Scholar] [CrossRef]
- Gualtieri, C.; Filizola, N.; De Oliveira, M.; Santos, A.M.; Ianniruberto, M. A field study of the confluence between Negro and Solimões Rivers. Part 1: Hydrodynamics and sediment transport. Comptes Rendus Geosci. 2018, 350, 31–42. [Google Scholar] [CrossRef]
- Mohammadiun, S.; Salehi Neyshabouri, S.A.A.; Naser, G.H.; Parhizkar, H.; Vahabi, H. Effects of open-channel geometry on flow pattern in a 90 junction. Iran. J. Sci. Technol. Trans. Civ. Eng. 2015, 39, 559–573. [Google Scholar]
- Karami, H.; Farzin, S.; Sadrabadi, M.T.; Moazeni, H. Simulation of flow pattern at rectangular lateral intake with different dike and submerged vane scenarios. Water Sci. Eng. 2017, 10, 246–255. [Google Scholar] [CrossRef]
- Taylor, E.H. Flow characteristics at rectangular open-channel junctions. Trans. ASCE 1944, 109, 893–902. [Google Scholar]
- Webber, N.B.; Greated, C.A. An investigation of flow behaviour at the junction of rectangular channels. Proc. Inst. Civ. Eng. 1966, 34, 321–334. [Google Scholar] [CrossRef]
- Shumate, E.D. Experimental Description of Flow at an Open-Channel Junction. Master’s Thesis, University of Iowa, Iowa City, IA, USA, 1998. [Google Scholar]
- Mignot, E.; Vinkovic, I.; Doppler, D.; Riviere, N. Mixing layer in open-channel junction flows. Environ. Fluid Mech. 2013, 14, 1027–1041. [Google Scholar] [CrossRef]
- Zhang, T.; Xu, W.; Wu, C. Effect of discharge ratio on flow characteristics in 90° equal-width open-channel junction. J. Hydrodyn. Ser. B 2009, 21, 541–549. [Google Scholar] [CrossRef]
- Zeng, C.; Li, C. A hybrid RANS-LES model for combining flows in open-channel T-junctions. J. Hydrodyn. 2010, 22, 154–159. [Google Scholar] [CrossRef]
- Schindfessel, L.; Creelle, S.; De Mulder, T. Flow Patterns in an open channel confluence with increasingly dominant tributary inflow. Water 2015, 7, 4724–4751. [Google Scholar] [CrossRef]
- Sharifipour, M.; Bonakdari, H.; Zaji, A.H.; Shamshirband, S. Numerical investigation of flow field and flowmeter accuracy in open-channel junctions. Eng. Appl. Comput. Fluid Mech. 2015, 9, 1–11. [Google Scholar] [CrossRef]
- Ramos, P.X.; Schindfessel, L.; Pêgo, J.P.; De Mulder, T. Influence of bed elevation discordance on flow patterns and head losses in an open-channel confluence. Water Sci. Eng. 2019, 12, 235–243. [Google Scholar] [CrossRef]
- Ramos, P.X.; Schindfessel, L.; Pêgo, J.P.; De Mulder, T. Flat vs. curved rigid-lid LES computations of an open-channel confluence. J. Hydroinformatics 2019, 21, 318–334. [Google Scholar] [CrossRef]
- Azma, A.; Zhang, Y. The effect of variations of flow from tributary channel on the flow behavior in a T-shape confluence. Processes 2020, 8, 614. [Google Scholar] [CrossRef]
- Wang, X.; Yan, X.; Duan, H.-F.; Liu, X.; Huang, E. Experimental study on the influence of river flow confluences on the open channel stage–discharge relationship. Hydrol. Sci. J. 2019, 64, 2025–2039. [Google Scholar] [CrossRef]















| Case No. | Geometrical Shape | W* = Wsc/Wmc | Qmc (m3) | Qsc | Frmc | Frsc | Fr* |
|---|---|---|---|---|---|---|---|
| 0 (validation test)(validation case) | Rectangle | 1 | 0.042 | 0.127 | 0.092 | 0.28 | 3.04 |
| 1 | Rectangle | 0.25 | 0.127 | 0.042 | 0.28 | 0.366 | 1.31 |
| 2 | Rectangle | 0.5 | 0.127 | 0.042 | 0.28 | 0.183 | 0.65 |
| 3 | Rectangle | 0.75 | 0.127 | 0.042 | 0.28 | 0.122 | 0.44 |
| 4 | Rectangle | 1 | 0.127 | 0.042 | 0.28 | 0.092 | 0.33 |
| 5 | Trapezoid(1:1) | 0.25 | 0.127 | 0.042 | 0.5 | 0.366 | 0.73 |
| 6 | Trapezoid(1:1) | 0.25 | 0.097 | 0.042 | 0.36 | 0.366 | 1.02 |
| 7 | Trapezoid(1:1) | 1 | 0.127 | 0.042 | 0.5 | 0.092 | 0.18 |
| 8 | Trapezoid(1:1) | 1 | 0.097 | 0.042 | 0.36 | 0.092 | 0.26 |
Publisher’s Note: MDPI stays neutral with regard to jurisdictional claims in published maps and institutional affiliations. |
© 2020 by the authors. Licensee MDPI, Basel, Switzerland. This article is an open access article distributed under the terms and conditions of the Creative Commons Attribution (CC BY) license (http://creativecommons.org/licenses/by/4.0/).
Share and Cite
Azma, A.; Zhang, Y. Tributary Channel Width Effect on the Flow Behavior in Trapezoidal and Rectangular Channel Confluences. Processes 2020, 8, 1344. https://doi.org/10.3390/pr8111344
Azma A, Zhang Y. Tributary Channel Width Effect on the Flow Behavior in Trapezoidal and Rectangular Channel Confluences. Processes. 2020; 8(11):1344. https://doi.org/10.3390/pr8111344
Chicago/Turabian StyleAzma, Aliasghar, and Yongxiang Zhang. 2020. "Tributary Channel Width Effect on the Flow Behavior in Trapezoidal and Rectangular Channel Confluences" Processes 8, no. 11: 1344. https://doi.org/10.3390/pr8111344
APA StyleAzma, A., & Zhang, Y. (2020). Tributary Channel Width Effect on the Flow Behavior in Trapezoidal and Rectangular Channel Confluences. Processes, 8(11), 1344. https://doi.org/10.3390/pr8111344

