Abstract
Replacing petro-based materials with renewably sourced ones has clearly been applied to polymers, such as those derived from itaconic acid (IA) and its derivatives. Di-n-butyl itaconate (DBI) was (co)polymerized via nitroxide mediated polymerization (NMP) to impart elastomeric (rubber) properties. Homopolymerization of DBI by NMP was not possible, due to a stable adduct being formed. However, DBI/styrene (S) copolymerization by NMP at various initial molar feed compositions fDBI,0 was polymerizable at different reaction temperatures (70–110 °C) in 1,4 dioxane solution. DBI/S copolymerizations largely obeyed first order kinetics for initial DBI compositions of 10% to 80%. Number-average molecular weight (Mn) versus conversion for various DBI/S copolymerizations however showed significant deviations from the theoretical Mn as a result of chain transfer reactions (that are more likely to occur at high temperatures) and/or the poor reactivity of DBI via an NMP mechanism. In order to suppress possible intramolecular chain transfer reactions, the copolymerization was performed at 70 °C and for a longer time (72 h) with fDBI,0 = 50%–80%, and some slight improvements regarding the dispersity (Ð = 1.3–1.5), chain activity and conversion (~50%) were observed for the less DBI-rich compositions. The statistical copolymers produced showed a depression in Tg relative to poly(styrene) homopolymer, indicating the effect of DBI incorporation.
1. Introduction
The limited supply of fossil resources has forced the exploration of renewable feedstocks as an alternative route to materials such as polymers [1]. One such feedstock for polymers is itaconic acid (IA), which was first isolated from the pyrolysis of citric acid [2,3] and is now made by fermentation from fungi [3,4]. IA has been used historically in coatings, adhesives, binders and thickeners [1,5,6,7,8]. Itaconic acid’s high availability, low cost, structural similarity with acrylates and methacrylates, and its dicarboxylic acid functionality have motivated research on the development of polymeric materials from IA and derivatives like dialkyl itaconates or β monoalkyl itaconates [9,10]. Itaconic acid is indeed listed as one of the most promising bio-based feedstocks according to a report from the Biomass Program of the US Department of Energy [9]. The dual functionality of IA is particularly appealing as it makes it possible to polymerize it via free radical mechanisms (Marvel and Shepherd first described it in 1959 [11]), step-wise polymerization mechanisms (such as using ring-opening step-wise polymerization of itaconic anhydride [12,13,14]), ring-opening metathesis polymerizations (ROMP) [15,16] and acyclic diene metathesis (ADMET) [17].
To impart a wider array of properties, itaconic acid derivatives such as poly(dialkyl itaconate)s have provided flexibility in blends or in statistical or block copolymers. For example, di-n-butyl itaconate (DBI) can impart lower glass transition temperatures in copolymers and consequently similar related dialkyl itaconates have been polymerized via conventional free radical polymerization (FRP) [2,11,18,19,20,21,22,23,24,25,26,27,28,29,30,31] and more recently via reversible de-activation radical polymerization (RDRP), also known as controlled radical polymerization (CRP), specifically reversible addition fragmentation chain transfer polymerization (RAFT) [32,33] and atom transfer radical polymerization (ATRP) [34,35]. In one case, NMP has been reported using TEMPO-based initiators but no molecular weight distributions were provided, ascribed to the styrene/DBI copolymers adsorbing onto the gel permeation chromatography (GPC) columns [36]. Itaconate esters with stiffer substituents like itaconic anhydride have been similarly polymerized by conventional radical polymerization [37,38,39] and controlled radical polymerizations like RAFT [40] and would be expected to behave similarly to copolymerizations of styrene with maleic anhydride to provide alternating monomer sequences in the chain.
In this report, we present the nitroxide-mediated polymerization (NMP) of DBI/S using the BlocBuilder family of unimolecular initiators to obtain statistical copolymers with enhanced elastomeric properties. These initiators improved upon TEMPO-based initiators in permitting the homopolymerization of acrylates, acrylamides and methacrylates (with a small concentration of controlling co-monomer ~ 1mol%–10 mol%), which was not possible with first-generation nitroxides [41]. NMP has often been overlooked compared to RAFT and ATRP as an RDRP process, as witnessed by the case with the itaconate esters. Unlike the RAFT and ATRP systems, very little post-polymerization work-up is required without removal of transition metal ligands or odorous chain transfer agents [41], although these issues have been enormously reduced recently [42,43,44]. The advantages associated with NMP thus make it worthwhile to evaluate its ability to polymerize itaconate-based monomers, which should be challenging due to the secondary vinylic bond in its structure. Thus, our goal here is to apply NMP to obtain (co)polymers with active chain ends and controllable molecular weight (Scheme 1). We thus studied the polymerizations as a function of temperature, initial compositions and effect of solvent.
Scheme 1.
Reaction scheme to copolymerize DBI with S via NMP using NHS-BlocBuilder as initiator.
2. Materials and Methods
2.1. Materials
N-(2-Methylpropyl)-N-(1-diethylphosphono-2,2-dimethylpropyl)-O-(2-carboxylprop-2-yl) hydroxylamine (99%, BlocBuilder-MATM) was received from Arkema. N,N’-Dicyclohexylcarbodimide (DCC, 99%) was received from Sigma-Aldrich and used in conjunction with BlocBuilder-MATM to synthesize the succinimidyl ester terminated alkoxyamine NHS-BlocBuilder following a procedure previously reported [45]. Tetrahydrofuran (THF, 99.9% HPLC grade), dioxane (99%), methanol (99%) and 1,4-dioxane (99%), were purchased from Fisher Scientific. Styrene (99%, S) was purified to remove the inhibitor by passing through a column of basic alumina mixed with 5 weight% calcium hydride and then stored in a sealed flask under a head of nitrogen in a refrigerator until needed. Di-n-butyl itaconate (96%, DBI), dimethyl itaconate (96%, DMI), isobutyramide (99%), calcium hydride (90–95% reagent) and basic alumina (Brockmann, Type 1, 150 mesh) were purchased from Sigma-Aldrich and used as received. Chloroform-D (99.8%) was obtained from Cambridge Isotope Laboratories.
2.2. DBI/S Copolymerization
The copolymerizations were performed in a 15 mL three-neck round bottom glass flask equipped with a vertical flux condenser, a thermal well and a magnetic Teflon stir bar. The flask was placed on a heating mantle and the equipment was placed on a magnetic stirrer. The condenser was connected to a chilling unit that used a glycol/water mixture (10/90 v/v %) to prevent loss of the monomers and solvent due to evaporation. To the reactor is added the initiator (NHS-BlocBuilder, 0.10 g), 50 wt% solvent (1,4-dioxane), and varying compositions of DBI and S. Once stirring started and the chiller is set to 4 °C, an ultra-pure nitrogen flow was introduced to purge the system for 30 min. An example is used for DBI/S-110-20. In this case, 0.10 g (2.09 × 10−4 mol) of NHS-BlocBuilder was added to 1.59 g DBI (0.066 mol) and 2.73 g (0.0262 mol) of previously purified S along with 5.11 mL of dioxane solvent. A thermocouple was inserted into the temperature well and connected to a controller. The reactor was then heated to the chosen reaction temperature while maintaining the nitrogen purge and stirring with a magnetic stir bar. Table 1 shows the different formulations that were studied. Samples were taken periodically, and once the last sample was taken, 50 mL of methanol was added to the remaining solution to precipitate the polymer. The precipitated polymer was dried overnight in a vacuum oven at 45 °C to remove any remaining solvents or unreacted volatile monomers (styrene). The composition of the copolymer was determined by 1H NMR using the methyl end groups of DBI and the aromatic styrene protons (ppm, CDCl3): (t, 0.8–1.05, CH3-CH2-CH2-), (m, 1.2–1.6, backbone and CH3-CH2-CH2-, CH3-CH2-CH2-), (s, 2.7, ≡C-CH2-COO-), (m, 4.2, COO-CH2-CH2-CH2-CH3), (ar, 6.4–7.7, -C6H5). The molecular weight according to GPC for the specific example was Mn = 12.3 kg·mol−1, Đ = 1.37, relative to PS standards in THF at 40 °C.
Table 1.
Formulations for dibutyl itaconate/styrene (DBI/S) statistical copolymerizations initiated by NHS-BlocBuilder (NHS-BB) at 70–110 °C in 50 wt% 1,4-dioxane solutions.
2.3. Chain Extension Experiments
To determine chain end fidelity, chain extension experiments were performed using two macroinitiators, one rich in DBI (DBI/S-110-80; Mn = 2.60 kg mol−1, Đ = 1.36) and the other rich in S (DBI/S-110-20, Mn = 12.3 kg mol−1, Đ = 1.37). For DBI/S-110-20 as the macroinitiator, typically 1.00 g of macroinitiator was placed inside the reactor with 6.00 g of 1,4 dioxane solvent and 5.00 g of styrene monomer previously purified and mixing started with a magnetic stir bar. The identical reactors conditions were applied as for the copolymerizations described in Section 2.2. After purging with nitrogen at room temperature for 30 min, the temperature was increased to 110 °C to commence the chain extension. The nitrogen purge remained during the rest of the reaction. Samples were periodically taken to assess the molecular weight distribution. At the conclusion of the polymerization after cooling to < 40 °C, the contents were precipitated into 50 mL of methanol. The precipitated polymer was dried overnight in a vacuum oven at 45 °C to remove any remaining solvents or unreacted volatile monomers (styrene). For DBI/S-110-20 product (DBI-S-110-20-b-S) the Mn = 22 100 kg mol−1, Đ = 1.61. A similar procedure was followed using DBI/S-110-80 as the macroinitiator.
2.4. Characterization
Gel permeation chromatography (GPC) was used to obtain molecular weight distributions (MWDs) of the different copolymer samples using HPLC grade THF as the mobile phase. The GPC was calibrated relative to linear PS standards with THF as the eluent at 40 °C. A Waters Breeze GPC system was used at a mobile phase flow rate of 0.3 mL·min−1 equipped with three Styragel HR columns (HR1 with a molecular weight measurement range of 102 to 5 × 103 g mol−1, HR2 with a molecular weight measurement range of 5 × 102 to 2 × 104 g mol−1 and HR4 with a molecular weight measurement range of 5 × 103 to 6 × 105 g mol−1) and a guard column. The GPC was equipped with an RI 2410 differential refractive index (RI) detector. For these experiments, the RI detector was used. DBI/S conversion and copolymer composition were determined by 1H NMR in CDCl3. A 300 MHz Varian Gemini 2000 spectrometer was used for the 1H NMR measurements. Samples were placed in 5 mm up NMR tubes using CDCl3 as a solvent. After injecting and shimming, the samples were scanned 32 times. Individual conversions were calculated using the integrated areas at δ = 6.4–7.7 ppm for the aromatic protons of styrene and δ = 0.8–1.05 ppm for DBI and taking the reference peaks at 5.3 and 6.1 ppm for the vinyl protons of styrene and DBI, respectively. Once the individual conversion of each monomer was determined, the overall molar conversion was calculated by the following equation: Xoverall = XS fS,0 + XDBI fDBI,0, where fS,0 and fDBI,0 are the initial molar fractions of the monomers and Xs and XDBI are the individual monomer conversions determined from 1H NMR measurements. Differential scanning calorimetry (DSC) was used to determine the glass transition temperature (Tg) of the various copolymers. A cycle of heat/cool/heat with a heating rate of 10 °C min−1 was performed on the samples and Tg was determined by observing the change in slope in the heat flow (W g−1) versus temperature plot and finding the inflection point using TA Universal Analysis software.
3. Results and Discussion
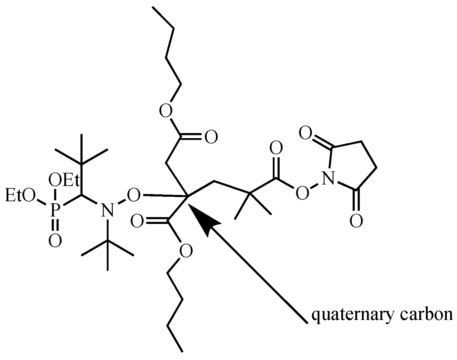
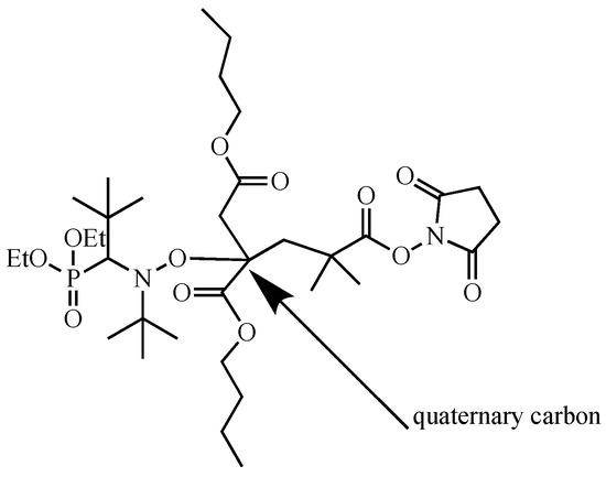
We first attempted to determine the best conditions for the controlled polymerization of dialkyl itaconates, which is defined here as linear progression of degree of polymerization with monomer conversion, dispersity Ð (Mw/Mn) < 1.5 and ability to reinitiate a second batch of monomer. Initially, the homopolymerization of DBI via NMP at different temperatures was examined. Interestingly, although DBI was homopolymerized via conventional radical processes and RDRP processes such as RAFT [32,33] and the related dimethyl itaconate (DMI) by ATRP [34], DBI did not homopolymerize via NMP with no conversion after several hours at elevated temperatures of ~110 °C. We also examined the homopolymerization of dimethyl itaconate (DMI) under the same conditions and again observed no conversion after several hours. We suspected this was due to a stable adduct formed by reaction of the alkoxyamine (NHS-BlocBuilder) and one unit of DBI (see Figure 1). The nature of the C-O-N bond between the alkoxyamine and the monomer is very stable since it is centered on a quaternary carbon, and therefore has a high activation energy barrier to produce the propagating radicals required for subsequent polymerization. During the initiation stage of NMP, when the alkoxyamine is activated for the first time, the initiating radical is produced and reacts with the one monomer unit prior to being deactivated by the nitroxide moiety, rendering the adduct.
Figure 1.
Possible adduct formed during the homopolymerization of dibutyl itaconate (DBI) via NMP with NHS-BlocBuilder.
From other radical polymerizations, the stability of this particular radical is reflected in the much lower kp of dialkyl itaconates compared to styrenic and (meth) acrylic monomers. For example, PLP-SEC measurements revealed the kp of DBI~40 L mol−1 s−1 at 110 °C by extrapolation [46], which is much lower, by comparison to styrene, which has a kp~1580 L mol−1 s−1 at the same temperature [47]. The application of group transfer polymerization (GTP) to dialkyl itaconates revealed only the ability to cap a chain end but no further addition of more monomer units was observed [48,49]. Further, chain transfer to monomer is prevalent in systems with sterically hindered monomers like DBI and were argued to be related to the very low kp of dialkyl itaconates [50]. In ATRP systems, for DMI with copper halides teamed with various ligands such as methyl 2-bromopropionate (MBrP), p-toluene 2-sulfonyl chloride, pentamethyl diethylenetriamine (PMDETA) and 2,2’bipyridine (bpy) at temperatures of 100 °C and 120 °C, were controlled up to about 50% conversion, with an abrupt decrease in polymerization rates at that juncture [34]. These variations did not enhance polymerization rate or control of the polymerization. Later, Hirano et al. employed ATRP of DBI at 60 °C; higher temperatures resulted in intramolecular chain transfer [25]. This same group continued to try to increase the rate of reaction by using hydrogen bonding and Lewis acids [26,27]. In RAFT systems, a variety of CTAs were applied, and poly(DBI) could be homopolymerized in a controlled fashion at low temperatures of ~20 °C, which likely suppressed many transfer reactions, although rate of polymerization was compromised (e.g., 150 h to obtain 50% conversion) and generally fairly low molecular weights resulted [33]. Thus, our experiments generally matched that observed previously, but NMP of dialkyl itaconates did not result in polymer with appreciable molecular weight, compared to ATRP and RAFT processes. We thus turned our attention to binary copolymerization systems with a monomer that is easily polymerizable by NMP: styrene.
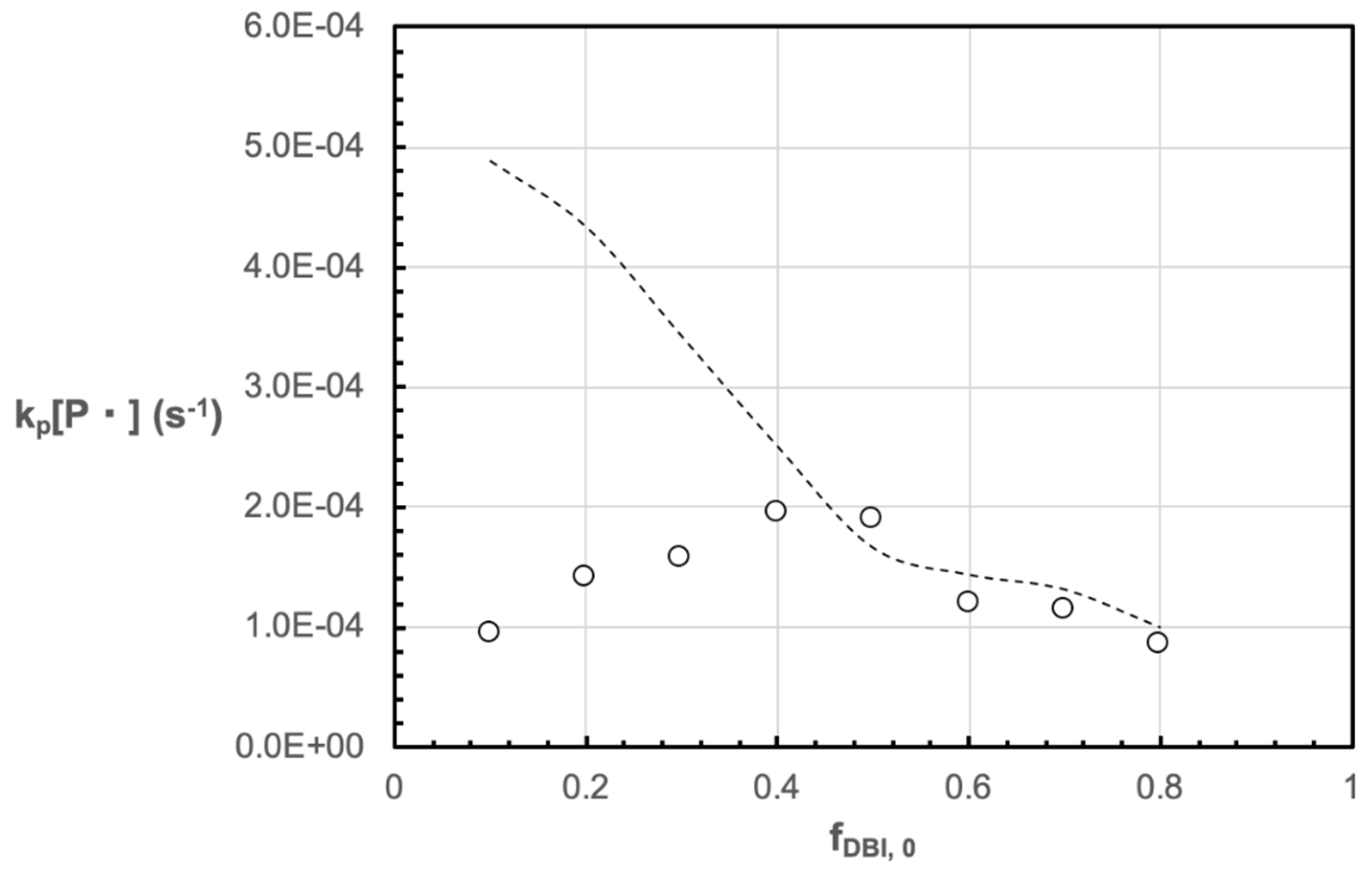
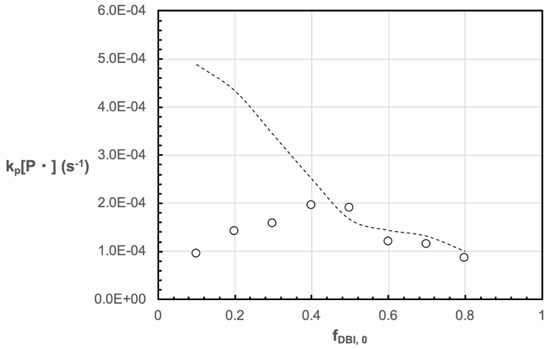
We performed copolymerizations of DBI with S (fDBI,0 = 0.1 to 0.8) at 110 °C, as NMP of styrenic-based monomers is well controlled and relatively fast at such temperatures [51]. We attempted to see if the polymerization kinetics we observed would approach those predicted for NMP of model copolymerizations. Semi-logarithmic kinetic plots of the different copolymerizations (ln(1/(1 − X)) versus time) were used to extract the apparent rate constant, [P·] from the slope, where is the compositionally averaged propagation rate constant and [P·] is the concentration of the active chains. Such a plot would be expected to be linear.
We would expect the propagation rate to vary as a function of the copolymerization feed. The propagation rate constant that we are measuring is actually an average rate constant that is dependent on the individual propagation rate constants and the reactivity ratios as exemplified for a terminal kinetic model (since reactivity ratio data was available for the DBI/S pair) in Equation (2) where r1 and r2 are the reactivity ratios of monomers 1 and 2, f1 and f2 are the respective molar fractions of the monomer mixture and k11 and k22 refer to the individual homopropagation rate constants [52].
The steady-state concentration of radical ended chains, is provided by Fischer’s expression [53]:
where is the average equilibrium constant, [I]0 is the initiator concentration, is the average termination rate constant and time is given by t. Further, assuming a terminal model, was provided by Charleux and co-workers in Equation (4) [54].
Here, the individual reactivity ratios, monomer molar fractions and individual homopropagation rate constants are defined as above while K1 and K2 are the individual equilibrium constants. The termination rate constant is provided by the following [55]:
where:
For the terminal model, all of the parameters are available, with the exception of the K for DBI, to predict the apparent rate constant , which can be compared to our experimental values. Thus, reactivity ratios are used from DBI/S conventional radical copolymerizations at 60 °C in benzene (rDBI = 0.38 ± 0.02 and rS = 0.40 ± 0.05; [19] while the propagation rate constants at 110 °C for DBI and S being kp,DBI = 40 L·mol−1·s−1 [46] and kp,S = 1580 L·mol−1·s−1 [47], respectively. The KS is estimated to be 1.1 × 10−9 s−1 at 110 °C [51,56] while individual termination rate constants at 110 °C are estimated to be kt,DBI = 1.4 × 106 L·mol−1·s−1 [57] and kt,S = 1.5 × 108 L·mol−1·s−1 [58]. As fDBI,0 is increased, the experimental did not vary much. Iterating on KDBI to try to fit the data only resulted in good agreement between the experimental and predicted relationship at high fDBI,0 (Figure 2). There are several possible explanations for the disagreement. First, there could indeed be a strong penultimate effect as was suggested by Yee et al. [59]. For DMI/S copolymerizations, the terminal model for the did not match the experimental data very well. We suspect that a similar effect was occurring in the DBI/S system. Further, Yee et al. found that the terminal group was nearly always DMI up to very high styrene content (~80 mol%) [59]. They found that this particular pair had a strong penultimate unit effect on the copolymerization propagation rate constant and the measured average propagation rate constant was about three times higher than that predicted by the terminal model. In RAFT and ATRP, the same stability of the dialkyl itaconate was noted and further it was stated that the polymerization of DBI or DMI was not a truly reversible deactivation polymerization process and was indeed a mixture between conventional and controlled polymerization [60].
Figure 2.
Apparent rate constant kp[P·] as a function of initial molar composition of dibutyl itaconate, fDBI,0, for DBI/S copolymerizations at 110 °C in 50 wt% dioxane solutions. The dashed lines indicate the prediction for kp[P·] based on the terminal model for the copolymerization.
The Mn versus conversion plots are shown in Figure 3 where Figure 3a plots polymerizations with initial feed compositions of fDBI,0 = 0.1–0.4 while Figure 3b plots polymerizations with initial feed compositions of fDBI,0 = 0.5–0.8. For low initial loadings of DBI such as for fDBI,0 = 0.10 and 0.20, Mn increased linearly with X. However, experiments with fDBI,0 > 0.20 (Figure 3b), plateauing of the Mn became increasingly evident. (full data set of Mn, Mw, individual conversion of the copolymerizations carried out at 110 °C are shown in Table S1 of the Supporting Information).
Figure 3.
Number average molecular weight Mn and dispersity Đ versus overall conversion (X) for DBI/S copolymerization at (a) initial molar compositions of DBI fDBI,0 = 0.1–0.4 (fDBI,0 = 0.1 are open circles 〇, fDBI,0 = 0.2 are solid diamonds ◆, fDBI,0 = 0.3 are open squares □, and fDBI,0 = 0.4 are solid triangles ▲) and at (b) initial molar compositions of DBI fDBI,0 = 0.5–0.8 (fDBI,0 = 0.5 are open circles 〇, fDBI,0 = 0.6 are solid diamonds ◆, fDBI,0 = 0.7 are open squares □, and fDBI,0 = 0.8 are solid triangles ▲).
One of the reasons for this behavior can be attributed to the high affinity of the itaconate monomer to be involved in chain transfer reactions [18,25]. For a DBI conventional free radical polymerization, the chain-transfer reaction occurs when the propagating radical abstracts a hydrogen atom from a monomer unit, yielding an end-saturated polymer chain and a new monomeric radical [18]. Later, Hirano and Takayoshi suggested that at temperatures higher than 60 °C, intramolecular chain-transfer reactions are favored [25]. They argued that this happens due to the formation of a less stable secondary radical from a more stable tertiary radical, which requires a higher activation energy than the propagating reaction [25]. In an NMP process, intramolecular chain-transfer reactions might occur when the chains are active. Hirano and Takayoshi also suggested that chain-transfer reactions can be suppressed by a reversible deactivation process such as ATRP [25]. However, in the NMP process, the reactivation of the polymer chains depends on the homolysis capability of the C-O-N bond formed between the alkoxyamine and the DBI monomer unit as previously discussed. Together with the irreversible chain termination reactions that occur inevitably, the chain transfer/termination becomes more prominent at higher DBI initial compositions. As illustrated in Figure 3b, when fDBI,0 > 0.5, the Mn is almost constant at any conversion and as fDBI,0 the plateau Mn decreases (as these reactions happen more frequently and earlier). These same trends are shown in the GPC chromatograms in Figure 4. At fDBI,0 < 0.3, the molecular weight distributions shift steadily to higher molecular weight while propagation is essentially stopped for fDBI,0 > 0.6 with only a few monomeric units added on as the Mn listed in Table 2 (from GPC relative to PS standards) indicate.
Figure 4.
GPC traces (elution time) of DBI-S copolymerizations done at done at 110 °C.: (a) fDBI,0 = 0.1, (b) fDBI,0 = 0.2, (c) fDBI,0 = 0.3, (d) fDBI,0 = 0.4, (e) fDBI,0 = 0.5, (f) fDBI,0 = 0.6, (g) fDBI,0 = 0.7, (h) fDBI,0 = 0.8.
Table 2.
Summary of dibutyl itaconate/styrene copolymerizations in 50 wt% dioxane solution at 110 °C.
With the apparent loss of control with copolymerizations richer in DBI, we carried out a study of copolymerizations of DBI/S (50/50 mol%) at lower temperatures of 100, 80 and 70 °C and compared the results observed at the same composition at 110 °C in order to determine if lower temperature might reduce the possible intramolecular chain transfer reactions. Figure 5 shows the Mn versus overall conversion plots for the DBI/S copolymerizations (fDBI,0 = 0.5) done at 110, 100, 80 and 70 °C. Table 3 also summarizes the various properties for these equimolar copolymerizations. Indeed, temperature is a factor that affects the overall conversion and it was therefore necessary to run reactions for longer at lower temperatures. For example, conversion was close to 90% in only 180 min at 110 °C but at 70 °C, overall conversion was only 47% after three days. There seemed to be only slight improvement, but the molecular weight did not plateau as early as with polymerizations done at higher temperatures. This observation is supported by the GPC traces in Figure 6, which shows the polymerization at 70 °C continually growing whereas at 110 °C, the polymerization was effectively stopped.
Figure 5.
Number average molecular weight Mn and dispersity Đ versus overall conversion (X) for DBI/S copolymerizations at composition fDBI,0 = 0.5 at various temperatures: at (a) 110 °C (filled circles ●), (b) 100 °C (filled squares■), (c) 80 °C (open diamonds ¯) and (d) 70 °C (open triangles △).
Table 3.
Summary of equimolar dibutyl itaconate/styrene copolymerizations in 50 wt% dioxane solution at various temperatures.
Figure 6.
GPC traces of DBI-S copolymerizations (fDBI,0 = 0.50 in all cases) done at (a) 110 °C, (b) 100 °C, (c) 80 °C and (d) 70 °C.
Table S2 in the Supporting Information shows the individual conversion of DBI and S, Mn, Mw and Ð for DBI-S copolymerizations (50–50 mol%) done at 110, 100, 80 and 70 °C. In every case, the conversion of S was higher than DBI, meaning that the final composition of the copolymers is richer in S than DBI. The GPC traces of the copolymerizations for DBI-S (50–50 mol%) done at 110, 100, 80 and 70 °C are shown in Figure 6. Although at 110 °C almost full conversion was achieved at relatively shorter times, the GPC traces at this temperature (Figure 6a) showed little growth towards higher chain lengths [41] and the same molecular weight distribution from the early stages of the reaction just became broader during the course of the reaction. Although the conversion did increase linearly with time, this might be due to the chain transfer and termination of chains with the formation of low molecular weight chains. The GPC traces of the reactions at 100 °C and 80 °C moved towards higher molecular weight only at the early stages of the reactions (low conversion) and low molecular weight tailing was still observed, followed by no further increase in molecular weight after about 30% conversion. At 70 °C, although the reaction took longer to reach 40% conversion ~ 2 days, it showed shifting towards higher molecular weight and very little tailing. As noted earlier for the radical polymerization of DBI, intramolecular chain transfer side reactions take place at high temperatures [25] which was corroborated by our DBI/S copolymerizations at fDBI,0 = 0.50. We thus focused on copolymerizations at the lower temperature of 70 °C for three days to see if the mixtures with higher DBI loadings led to higher molecular weight polymers.
As observed from Figure 5, with decreasing temperature, the Mn versus conversion slightly shifts up toward the theoretical line which shows intramolecular chain transfer reactions can be mitigated to some degree by decreasing temperature. The control of the polymerizations seems to be better at 70 °C. At this temperature, as the compositions become richer in DBI, the Mn versus conversion plots do rise but still become noticeably flatter with conversion (Table 4 summarizes the copolymerizations while Figure 7 shows Mn versus conversion and individual conversions are listed in Table S3 of Supporting Information). The GPC chromatograms for experiments with fDBI,0 = 0.60, 0.70 and 0.80 at 70 °C show clear shifts towards higher molecular weights (Figure 8). Only in the case of fDBI,0 = 0.90 do the GPC traces show no growth. Also, it is worth mentioning that the obtained molecular weight is still much lower than the expected value. The main reason could be that the maximum temperature of the reaction which is suggested by Hirano and Tayoshi is 60 °C, which was not tested in our experiment due to the minimum temperature required for NHS-BlocBuilder dissociation (T ≥ 65 °C) [61]. Thus, DBI/S copolymerizations can be pushed to higher initial DBI compositions > 50 mol%, provided the polymerization temperature does not decrease < 65 °C. Another issue regarding the differences between the actual and theoretical molecular weights is the difference in hydrodynamic volume from GPC measurements. All of the GPC measurements here were measured relative to PS standard in THF. For poly(DBI), no Mark-Houwink-Sakurada (MHS) parameters were available for THF but MHS parameters for poly(DBI) in THF were reasonably approximated by those for poly(DBI) in toluene at similar temperatures (K = 5.7 × 10−3 mL g−1, a = 0.70 at 25 °C) [62]. These MHS parameters are similar to PS in THF at 25 °C (K = 14.1 × 10−3 mL g−1, a = 0.70 at 25 °C) [63]. The differences in hydrodynamic volume would not be very significant between PS and poly (DBI) and would not be solely responsible for the flattening of the Mn versus conversion plots for the copolymerizations performed.
Table 4.
Summary of dibutyl itaconate/styrene copolymerizations in 50 wt% dioxane solution at 70 °C at different initial compositions.
Figure 7.
Number average molecular weight Mn versus overall conversion (X) for DBI/S copolymerization with initial DBI feed compositions fDBI,0 = 0.60–0.90 done at 70 °C: fDBI,0 = 0.6 (filled circles, ●); fDBI,0 = 0.7 (open circles, ◯); fDBI,0 = 0.8 (filled squares, ■), fDBI,0 = 0.9 (open squares, □).
Figure 8.
GPC traces (elution time) of DBI-S copolymerizations at 70 °C at (a) fDBI,0 = 0.60, (b) fDBI,0 = 0.70, (c) fDBI,0 = 0.80 and (d) fDBI,0 = 0.90.
It should be stated that we attempted further DBI copolymerizations with methyl methacrylate (MMA) using NHS-BlocBuilder with little avail at temperatures between 90 and 110 °C. It is likely that the nitroxide adduct with DBI is too stable even when using a monomer like MMA that has a higher kp compared to S at similar temperatures.
Finally, chain extension experiments with S using a P(DBI/S) macroinitiator were done: S-rich (fDBI,0 = 0.2) or DBI-rich (fDBI,0 = 0.8) macroinitiators were used from the copolymerizations done at 110 °C (Table 5 summarizes the chain extensions). In a typical NMP system, it is well-established that <10% of the polymer chains are irreversibly terminated, which means than >90% of the chains are end-functionalized with nitroxide moieties capable of reactivation to allow extension of the polymer chains [41]. The main objective of these experiments was to confirm our previous discussions, specifically if the DBI-rich macroinitiator could be re-activated and add the second batch of monomer. Figure 9a shows the GPC traces of the chain extension experiment using a macroinitiator with fDBI,0 = 0.2.
Table 5.
Summary of chain extension reactions of dibutyl itaconate/styrene (DBI/S) macroinitiators with styrene at 110 °C in 50 wt% dioxane solution.
Figure 9.
GPC traces (elution time) of DBI-S chain extension experiments with S at 110 °C using a macroinitiator P(DBI-S) a) fDBI,0 = 0.20 and b) fDBI,0 = 0.80.
As expected, shifts towards higher molecular weights were observed with time, but also some tailing, meaning that most of the polymer chains end-capped with SG1 did extend. When the macroinitiator from a feed of fDBI,0 = 0.8 was used, the GPC traces (Figure 9b) exhibited some shifting to higher molecular weight with time, but each trace had a very pronounced shoulder, confirming that most of the polymer chains are either terminated or are not capable to be reactivated again.
One of the potential applications of poly (dialkyl itaconates) is as a component in thermoplastic elastomers. They can be copolymerized in much the same way as dienes are with monomers like styrene to afford tough but flexible materials. The reactivity ratios for the DBI/S system by conventional radical polymerization were reported previously in benzene at 60 °C (rDBI = 0.38 ± 0.02 and rS = 0.40 ± 0.05 [19]. In the same study, reactivity ratios were similar for other di-n-alkyl itaconates (DXI where X = methyl, n-ethyl, n-propyl, n-amyl and n-octyl) (rDXI = 0.25–0.60, rS = 0.25–0.40). More recently, others have extended the analysis to higher di-n-alkyl itaconates (n = 12, 14, 16, 18 and 22) in bulk conventional free radical polymerization at 60 °C using AIBN initiator [28]. For n = 12, 14, 16, reactivity ratios for di-n-alkyl itaconate ranged from 0.22–0.28 and rS = 0.19–0.39 while for n = 18 and 22, rDXI = 0.42–0.50 and rS = 0.37–0.47. Similar ranges in reactivity ratios were observed for DMI/S copolymerizations although there was considerable spread in the data (Davis and co-workers found that DMI was contaminated with poly (DMI) [59]. Our data, after fitting with Fineman-Ross and Kelen-Tudos methods, revealed rDBI = 0.29 and rS = 0.59 and rDBI = 0.32 and rS = 0.77, respectively. A non-linear least square fitting to the Mayo-Lewis equation provided rDBI = 0.31 and rS = 0.61.
Given that conditions for obtaining higher loadings of DBI are accessible, it would be possible now to tune the desired glass transition temperature (Tg) of the copolymers, which was measured using differential scanning calorimetry (DSC). The variation in Tg with composition is bracketed by the Tgs of the homopolymers (Tg,PS are 100 °C [64] while the Tg,PDBI has been reported to vary between 5–17 °C [22,30,65,66]). Figure 10 shows the Tg of the various statistical copolymers as function of final copolymer composition as well as the Fox equation prediction, which is given in Equation (7) where wDBI and wS are the weight fractions of DBI and S and Tg,PDBI and Tg,PS are the experimental Tgs of PDBI and PS homopolymers.
Figure 10.
FDBI effects on Tg in P(DBI-S) statistical copolymers. The Fox equation prediction of the P(DBI-S) Tg are represented by the dotted line while the experimental data is presented by the solid circles.
Although the fit to the Flory-Fox equation is not particularly good, it is still clear that even having a low fraction of DBI in the copolymer was able to dramatically reduce the Tg. For example, a copolymer with composition FDBI = 18 mol% had a Tg of 45 °C, much lower than the Tg of the PS homopolymer (~100 °C). This is due to the flexibility that DBI provided to the polymer chains, giving additional free volume and thus a dramatic decrease in the Tg. The copolymers were noticeably more flexible with increasing DBI composition.
4. Conclusions
In this study, nitroxide-mediated copolymerization of DBI with S was studied using the succcinimdyl functionalized NHS-BlocBuilder at different temperatures. It was not possible to obtain homopolymers of PDBI by NMP, likely due to the formation of a stable adduct, effectively blocking further propagation. When DBI was copolymerized with styrene-rich initial compositions (fDBI,0 < 0.2) at 110 °C, Mn versus conversion plots were relatively linear up to fairly high conversion ~ 0.6 with relatively narrow molecular weight distributions (Đ = 1.3–1.4). At fDBI,0 > 0.2, Mn versus conversion plots flattened with increasing conversion and Mn was much lower than theoretical predictions, indicating the high tendency of itaconate monomers to generate intramolecular chain transfer side reactions and the increased probability for formation of stable adducts. A change in reaction temperature to 70 °C indicated a slight improvement in terms of control (narrowed molecular weight distributions and Mn versus conversion remained linear up to higher conversions). This however was accompanied by excessively long polymerization times of around three days. DSC was used to measure the Tg of the copolymers. As expected, Tg decreased as composition of DBI in the copolymer increased, leading the material to become less rigid than the PS homopolymer.
Supplementary Materials
The following are available online at https://www.mdpi.com/2227-9717/7/5/254/s1, Tables S1, S2 and S3 indicating individual monomer conversions and molecular weight data are listed.
Author Contributions
Conceptualization, M.M., O.G.V. and A.M.; methodology, O.G.V., M.M.; formal analysis, S.K.; O.G.V., A.M., M.M.; investigation, S.K., O.G.V., A.M.; data curation, S.K.; writing—Original draft preparation, S.K.; writing—Review and editing, M.M., A.M.; supervision, M.M.; project administration, M.M.; funding acquisition, M.M.
Funding
This research was funded by an NSERC Discovery Grant, grant number 288125 (M.M).
Acknowledgments
We would like to thank Arkema (Mickael Havel and Noah Macy) particularly for their help in providing the BlocBuilder and SG1 initiators described in this work.
Conflicts of Interest
The authors declare no conflict of interest.
References
- Robert, T.; Friebel, S. Itaconic acid—A versatile building block for renewable polyesters with enhanced functionality. Green Chem. 2016, 18, 2922–2934. [Google Scholar] [CrossRef]
- Tate, B.E. Polymerization of itaconic acid and derivatives. Adv. Poly. Sci. 1967, 5, 214–232. [Google Scholar]
- Velada, J.; Hernáez, E.; Cesteros, L.C.; Katime, I. Study of the thermal degradation of several poly (monoalkylaryl itaconates). Polym. Degrad. Stab. 1996, 52, 273–282. [Google Scholar] [CrossRef]
- Calam, C.T.; Oxford, A.E.; Raistrick, H. Studies in the biochemistry of micro-organisms: Itaconic acid, a metabolic product of a strain of Aspergillus terreus Thom. Biochem. J. 1939, 33, 1488. [Google Scholar] [CrossRef] [PubMed]
- Willke, T.; Vorlop, K.-D. Biotechnological production of itaconic acid. Appl. Microbiol. Biotechnol. 2001, 56, 289–295. [Google Scholar] [CrossRef]
- Willke, T.; Vorlop, K.-D. Industrial bioconversion of renewable resources as an alternative to conventional chemistry. Appl. Microbiol. Biotechnol. 2004, 66, 131–142. [Google Scholar] [CrossRef]
- Dai, J.; Liu, X.; Ma, S.; Wang, J.; Shen, X.; You, S.; Zhu, J. Soybean oil-based UV-curable coatings strengthened by crosslink agent derived from itaconic acid together with 2-hydroxyethyl methacrylate phosphate. Prog. Org. Coat. 2016, 97, 210–215. [Google Scholar] [CrossRef]
- Katime, I.; Rodríguez, E. Absorption of metal ions and swelling properties of poly (acrylic acid-co-itaconic acid) hydrogels. J. Macromol. Sci. Part A Pure Appl. Chem. 2001, 38, 543–558. [Google Scholar] [CrossRef]
- Werpy, T.; Petersen, G.; Aden, A.; Bozell, J.; Holladay, J.; White, J.; Manheim, A. Top Value Added Chemicals from Biomass Vol. I—Results of Screening for Potential Candidates from Sugars and Synthesis Gas; Report DOE/GO-102004-1992; U.S. Department of Energy, Office of Scientific and Technical Information: Washington, DC, USA, 2004. Available online: https://www.nrel.gov/docs/fy04osti/35523.pdf (accessed on 30 April 2019).
- Klement, T.; Büchs, J. Itaconic Acid—A Biotechnological Process in Change. Bioresour. Technol. 2013, 135, 422–431. [Google Scholar] [CrossRef]
- Marvel, C.S.; Shepherd, T.H. Polymerization Reactions of Itaconic Acid and Some of Its Derivatives. J. Org. Chem. 1959, 24, 599–605. [Google Scholar] [CrossRef]
- Takasu, A.; Ito, M.; Inai, Y.; Hirabayashi, T.; Nishimura, Y. Synthesis of biodegradable polyesters by ring-opening copolymerization of cyclic anhydrides containing a double bond with 1,2-epoxybutane and one-pot preparation of the itaconic acid-based polymeric network. Polym. J. 1999, 31, 961–969. [Google Scholar] [CrossRef]
- Tang, T.; Moyori, T.; Takasu, A. Isomerization-free polycondensations of cyclic anhydrides with diols and preparation of polyester gels containing cis or trans carbon double bonds via photo-cross-linking and isomerization in the gels. Macromolecules 2013, 46, 5464–5472. [Google Scholar] [CrossRef]
- Farmer, T.; Castle, R.; Clark, J.; Macquarrie, D. Synthesis of unsaturated polyester resins from various bio-derived platform molecules. Int. J. Mol. Sci. 2015, 16, 14912–14932. [Google Scholar] [CrossRef] [PubMed]
- Winkler, M.; Lacerda, T.M.; Mack, F.; Meier, M.A.R. Renewable polymers from itaconic acid by polycondensation and ring-opening-metathesis polymerization. Macromolecules 2015, 48, 1398–1403. [Google Scholar] [CrossRef]
- Bai, Y.; De bruyn, M.; Clark, J.H.; Dodson, J.R.; Farmer, T.J.; Honore, M.; Ingram, I.D.V.; Naguib, M.; Whitwood, A.C.; North, M. Ring opening metathesis polymerization of a new bio-derived monomer from itaconic anhydride and furfuryl alcohol. Green Chem. 2016, 18, 3945–3948. [Google Scholar] [CrossRef]
- Lv, A.; Li, Z.-L.; Du, F.-S.; Li, Z.-C. Synthesis, functionalization, and controlled degradation of high molecular weight polyester from itaconic acid via ADMET polymerization. Macromolecules 2014, 47, 7707–7716. [Google Scholar] [CrossRef]
- Nagai, S.; Yoshida, K. Polymerization of itaconic acid derivatives. Part III: Rate of polymerization of dialkyl itaconates. Kobunshi Kagaku 1960, 17, 79–82. [Google Scholar] [CrossRef]
- Braun, V.D.; Ahn, T.-O. Copolymerisation von Itaconsauredialkylestern mit Styrol. Kolloid Z. 1963, 188, 1–4. [Google Scholar] [CrossRef]
- Sato, T.; Morita, N.; Tanaka, H.; Ota, T. Solvent effect on the radical polymerization of di-n-butyl itaconate. J. Polym. Sci. A Polym. Chem. 1989, 27, 2497–2508. [Google Scholar] [CrossRef]
- Otsu, T.; Watanabe, H. Radical polymerization reactivity of dialkyl itaconates and characterization of their polymers. Eur. Polym. J. 1993, 29, 167–174. [Google Scholar] [CrossRef]
- Fernandez-Garcia, M.; Madruga, E.L. Glass transition in dimethyl and di-n-butyl poly(itaconate ester)s and their copolymers with methyl methacrylate. Polymer 1997, 38, 1367–1371. [Google Scholar] [CrossRef]
- Madruga, E.L.; Fernandez-Garcia, M. Free-radical homopolymerization and copolymerization of di-n-butyl itaconate. Polymer 1994, 35, 4437–4442. [Google Scholar] [CrossRef]
- Veličković, J.; Filipović, J.; Djakov, D.P. The synthesis and characterization of poly(itaconic) acid. Polym. Bull. 1994, 32, 169–172. [Google Scholar] [CrossRef]
- Hirano, T.; Takeyoshi, R.; Seno, M.; Sato, T. Chain-transfer reaction in the radical polymerization of di-n-butyl itaconate at high temperatures. J. Polym. Sci. A Polym. Chem. 2002, 40, 2415–2426. [Google Scholar] [CrossRef]
- Hirano, T.; Higashi, K.; Seno, M.; Sato, T. Radical polymerization of di-n-butyl itaconate in the presence of Lewis acids. Eur. Polym. J. 2003, 39, 1801–1808. [Google Scholar] [CrossRef]
- Hirano, T.; Higashi, K.; Seno, M.; Sato, T. Reaction control in radical polymerization of di-n-butyl itaconate utilizing a hydrogen-bonding interaction. J. Polym. Sci. A Polym. Chem. 2004, 42, 4895–4905. [Google Scholar] [CrossRef]
- Rangel-Rangel, E.; Torres, C.; Rincon, L.; Loteich-Khatib, S.; Lopez-Carrasquero, F. Copolymerizations of long side chain di n-alkyl itaconates and methyl n-alkyl itaconates with styrene: Determination of monomers reactivity ratios by NMR. Rev. Latinoam. Metal. Mater. 2012, 32, 79–88. [Google Scholar]
- Lopez-Carrasqero, F.; Rangel-Rangel, E.; Cardenas, M.; Torres, C.; Dugarte, N.; Laredo, E. Copolymers of long-side-chain di-n-alkyl itaconates or methyl m-alkyl itaconates with styrene: Synthesis, characterization, and thermal properties. Polym. Bull. 2013, 70, 131–146. [Google Scholar] [CrossRef]
- Sarkar, P.; Bhowmick, A.K. Green approach toward sustainable polymer: Synthesis and characterization of poly(myrcene-co-dibutyl itaconate). ACS Sustain. Chem. Eng. 2016, 4, 2129–2141. [Google Scholar] [CrossRef]
- Lei, W.; Russell, T.P.; Hu, L.; Zhou, X.; Qiao, H.; Wang, W.; Wang, R.; Zhang, L. Pendant Chain effect on the synthesis, characterization, and structure–property relations of poly (di-n-alkyl itaconate-co-isoprene) biobased elastomers. ACS Sustain. Chem. Eng. 2017, 5, 5214–5223. [Google Scholar] [CrossRef]
- Szablan, Z.; Toy, A.A.; Terrenoire, A.; Davis, T.P.; Stenzel, M.H.; Müller, A.H.E.; Barner-Kowollik, C. Living free-radical polymerization of sterically hindered monomers: Improving the understanding of 1,1 di-substituted monomer systems. J. Polym. Sci. A Polym. Chem. 2006, 44, 3692–3710. [Google Scholar] [CrossRef]
- Satoh, K.; Lee, D.-H.; Nagai, K.; Kamigaito, M. Precision Synthesis of Bio-Based Acrylic Thermoplastic Elastomer by RAFT Polymerization of Itaconic Acid Derivatives. Macromol. Rapid Commun. 2014, 35, 161–167. [Google Scholar] [CrossRef] [PubMed]
- Fernandez-Garcia, M.; Fernandez-Sanz, M.; De la Fuente, J.L.; Madruga, E.L. Atom-transfer radical polymerization of dimethyl itaconate. Macromol. Chem. Phys. 2001, 202, 1213–1218. [Google Scholar] [CrossRef]
- Okada, S.; Matyjaszewski, K. Synthesis of bio-based poly(N-phenylitaconimide) by atom transfer radical polymerization. J. Polym. Sci. A Polym. Chem. 2015, 53, 822–827. [Google Scholar] [CrossRef]
- Inciarte, H.; Orozco, M.; Fuenmayor, M.; López-Carrasquero, F.; Oliva, H. Comb-like copolymers of n-alkyl monoitaconates and styrene. e-Polymers 2006, 6. [Google Scholar] [CrossRef]
- Nagai, S. The polymerization and polymers of itaconic acid derivatives. VI. The polymerization and copolymerization of itaconic anhydride. Bull. Chem. Soc. Jpn. 1964, 37, 369–373. [Google Scholar] [CrossRef]
- Wallach, J.A.; Huang, S.J. Copolymers of itaconic anhydride and methacrylate-terminated poly(lactic acid) macromonomers. Biomacromolecules 2000, 1, 174–179. [Google Scholar] [CrossRef]
- Shang, S.; Huang, S.J.; Weiss, R.A. Synthesis and characterization of itaconic anhydride and stearyl methacrylate copolymers. Polymer 2009, 50, 3119–3127. [Google Scholar] [CrossRef]
- Javakhishvili, I.; Kasama, T.; Jankova, K.; Hvilsted, S. RAFT copolymerization of itaconic anhydride and 2-methoxyethyl acrylate: A multi-functional scaffold for preparation of “clickable” gold nanoparticles. Chem. Commun. 2013, 49, 4803–4805. [Google Scholar] [CrossRef]
- Nicolas, J.; Guillaneuf, Y.; Lefay, C.; Bertin, D.; Gigmes, D.; Charleux, B. Nitroxide mediated polymerization. Prog. Polym. Sci. 2013, 38, 63–235. [Google Scholar] [CrossRef]
- Willcock, H.; O’Reilly, R.K. End group removal and modification of RAFT polymers. Polym. Chem. 2010, 1, 149–157. [Google Scholar] [CrossRef]
- Su, X.; Jessop, P.G.; Cunningham, M.F. ATRP catalyst removal and ligand recycling using CO2-switchable materials. Macromolecules 2018, 51, 8156–8164. [Google Scholar] [CrossRef]
- Wang, Y.; Lorandi, F.; Fantin, M.; Chmielarz, P.; Isse, A.A.; Gennaro, A.; Matyjaszewski, K. Miniemulsion ARGET ATRP via interfacial and ion-pair catalysis: From ppm to ppb of residual copper. Macromolecules 2017, 50, 8417–8425. [Google Scholar] [CrossRef]
- Vinas, J.; Chagneux, N.; Gigmes, D.; Trimaille, T.; Favier, A.; Bertin, D. SG1-based alkoxyamine bearing a N-succinimidyl ester: A versatile tool for advanced polymer synthesis. Polymer 2008, 49, 3639–3647. [Google Scholar] [CrossRef]
- Szablan, Z.; Stenzel, M.H.; Davis, T.P.; Barner, L.; Barner-Kowollik, C. Depropagation kinetics of sterically demanding monomers: A pulsed laser size exclusion chromatography study. Macromolecules 2005, 38, 5944–5954. [Google Scholar] [CrossRef]
- Buback, M.; Gilbert, R.G.; Hutchinson, R.A.; Klumperman, B.; Kuchta, F.D.; Manders, B.G.; O’Driscoll, K.F.; Russell, G.T.; Schweer, J. Critically evaluated rate coefficients for free-radical polymerization, 1. Propagation rate coefficient for styrene. Macromol. Chem. Phys. 1995, 196, 3267–3280. [Google Scholar] [CrossRef]
- Kassi, E.; Loizou, E.; Porcar, L.; Patrickios, C.S. Di(n-butyl) itaconate end-functionalized polymers: Synthesis by group transfer polymerization and solution characterization. Eur. Polym. J. 2011, 47, 816–822. [Google Scholar] [CrossRef]
- Kassi, E.; Constantinou, M.S.; Patrickios, C.S. Group transfer polymerization of bio-based monomers. Eur. Polym. J. 2013, 49, 761–767. [Google Scholar] [CrossRef]
- Tomić, S.L.; Filipović, J.M.; Velicković, J.S.; Katsikas, L.; Popović, I.G. The polymerisation kinetics of lower dialkyl itaconates. Macromol. Chem. Phys. 1999, 200, 2421–2427. [Google Scholar] [CrossRef]
- Benoit, D.; Grimaldi, S.; Robin, S.; Finet, J.P.; Tordo, P.; Gnanou, Y. Kinetics and mechanism of controlled free-radical polymerization of styrene and n-butyl acrylate in the presence of an acyclic-phosphonylated nitroxide. J. Am. Chem. Soc. 2000, 122, 5929–5939. [Google Scholar] [CrossRef]
- Fukuda, T.; Ma, Y.-D.; Inagaki, H. Free radical copolymerization. 3. Determination of rate constants of propagation and termination for styrene/methyl methacrylate system. A critical test of terminal-model kinetics. Macromolecules 1985, 18, 17–26. [Google Scholar] [CrossRef]
- Fischer, H. The persistent radical effect in controlled radical polymerizations. J. Polym. Sci. A Polym. Chem. 1999, 37, 1885–1901. [Google Scholar] [CrossRef]
- Charleux, B.; Nicolas, J.; Guerret, O. Theoretical expression of the average activation-deactivation equilibrium constant in controlled/living free-radical copolymerization operating via reversible termination. Application to a strongly improved control in nitroxide-mediated polymerization of methyl methacrylate. Macromolecules 2005, 38, 5484–5492. [Google Scholar]
- Ma, Y.D.; Sung, K.S.; Tsujii, Y.; Fukuda, T. Free-radical copolymerization of styrene and diethyl fumarate. Penultimate-unit effects on both propagation and termination processes. Macromolecules 2001, 34, 4749–4756. [Google Scholar] [CrossRef]
- Lessard, B.; Marić, M. Effect of acrylic acid neutralization on ‘livingness’ of poly[styrene-ran-(acrylic acid)] macro-initiators for nitroxide-mediated polymerization of styrene. Polym. Int. 2008, 57, 1141–1151. [Google Scholar] [CrossRef]
- Buback, M.; Egorov, M.; Junkers, T.; Panchenko, E. Termination kinetics of dibutyl itaconate free-radical polymerization studied via the SP–PLP–ESR technique. Macromol. Chem. Phys. 2005, 206, 333–341. [Google Scholar] [CrossRef]
- Buback, M.; Kuchta, F.D. Termination kinetics of free-radical polymerization of styrene over an extended temperature and pressure range. Macromol. Chem. Phys. 1997, 198, 1455–1480. [Google Scholar] [CrossRef]
- Yee, L.H.; Heuts, J.A.P.; Davis, T.P. Copolymerization propagation kinetics of dimethyl itaconate and styrene: Strong entropic contributions to the penultimate unit effect. Macromolecules 2001, 34, 3581–3586. [Google Scholar] [CrossRef]
- Szablan, Z.; Toy, A.A.; Davis, T.P.; Hao, X.; Stenzel, M.H.; Barner-Kowollik, C. Reversible addition fragmentation chain transfer polymerization of sterically hindered monomers: Toward well-defined rod/coil architectures. J. Polym. Sci. A Polym. Chem. 2004, 42, 2432–2443. [Google Scholar] [CrossRef]
- Marque, S.; Le Mercier, C.; Tordo, P.; Fischer, H. Factors influencing the C–O–bond homolysis of trialkylhydroxylamines. Macromolecules 2000, 33, 4403–4410. [Google Scholar] [CrossRef]
- Veličković, J.; Ćoseva, S.; Fort, R.J. Solution properties of poly(dicyclohexyl itaconate). Eur. Polym. J. 1975, 11, 377–380. [Google Scholar] [CrossRef]
- Strazielle, C.; Benoit, H.; Vogl, O. Preparation et characterisation des polymers tete-a-tete—VI: Proprieties physicochimiques du polystyrene tete-a-tete en solution diluee. Comparaison avec des polystyrenes de structure differente. Eur. Polym. J. 1978, 14, 331–334. [Google Scholar] [CrossRef]
- Andrews, R.J.; Grulke, E.A. Glass transition temperatures of polymers. In Polymer Handbook, 4th ed.; Brandrup, J., Immergut, E.H., Grulke, E.A., Abe, A., Bloch, D.R., Eds.; Wiley: New York, NY, USA, 1999; Volume 1, pp. 181–308. [Google Scholar]
- Arrighi, V.; Holmes, P.F.; McEwen, I.J.; Qian, H.; Terrill, N.J. Order in amorphous di-n-alkyl itaconate polymers, copolymers, and blends. J. Polym. Sci. B Polym. Phys. 2004, 42, 4000–4016. [Google Scholar] [CrossRef]
- Cowie, J.M.G. Physical properties of polymers based on itaconic acid. Pure Appl. Chem. 1979, 51, 2331–2343. [Google Scholar] [CrossRef]
© 2019 by the authors. Licensee MDPI, Basel, Switzerland. This article is an open access article distributed under the terms and conditions of the Creative Commons Attribution (CC BY) license (http://creativecommons.org/licenses/by/4.0/).










