Next Article in Journal
Marine Algae: A Potential Resource of Anti-HSV Molecules
Next Article in Special Issue
Role of Ionic Headgroups on the Thermal, Rheological, and Foaming Properties of Novel Betaine-Based Polyoxyethylene Zwitterionic Surfactants for Enhanced Oil Recovery
Previous Article in Journal
CoFe2O4 Nanomaterials: Effect of Annealing Temperature on Characterization, Magnetic, Photocatalytic, and Photo-Fenton Properties
Previous Article in Special Issue
The Effect of Fines on Hydraulic Conductivity of Lawrencepur, Chenab and Ravi Sand
 
 
Font Type:
Arial Georgia Verdana
Font Size:
Aa Aa Aa
Line Spacing:
Column Width:
Background:
Article

Transport and Deposition of Large Aspect Ratio Prolate and Oblate Spheroidal Nanoparticles in Cross Flow

by
Hans O. Åkerstedt
Department of Engineering Sciences and Mathematics, Luleå University of Technology, S-97187 Luleå, Sweden
Processes 2019, 7(12), 886; https://doi.org/10.3390/pr7120886
Submission received: 31 October 2019 / Revised: 21 November 2019 / Accepted: 23 November 2019 / Published: 28 November 2019

Abstract

The objective of this paper was to study the transport and deposition of non-spherical oblate and prolate shaped particles for the flow in a tube with a radial suction velocity field, with an application to experiments related to composite manufacturing. The transport of the non- spherical particles is governed by a convective diffusion equation for the probability density function, also called the Fokker–Planck equation, which is a function of the position and orientation angles. The flow is governed by the Stokes equation with an additional radial flow field. The concentration of particles is assumed to be dilute. In the solution of the Fokker–Planck equation, an expansion for small rotational Peclet numbers and large translational Peclet numbers is considered. The solution can be divided into an outer region and two boundary layer regions. The outer boundary layer region is governed by an angle-averaged convective-diffusion equation. The solution in the innermost boundary layer region is a diffusion equation including the radial variation and the orientation angles. Analytical deposition rates are calculated as a function of position along the tube axis. The contribution from the innermost boundary layer called steric- interception deposition is found to be very small. Higher order curvature and suction effects are found to increase deposition. The results are compared with results using a Lagrangian tracking method of the same flow configuration. When compared, the deposition rates are of the same order of magnitude, but the analytical results show a larger variation for different particle sizes. The results are also compared with numerical results, using the angle averaged convective-diffusion equation. The agreement between numerical and analytical results is good.

1. Introduction

Transport of particles in cross-flow configurations has many important applications in natural, biomedical, and industrial systems such as groundwater flows, filtering techniques, flows in the processing of composite materials, flows in the body, protein separations, and tissue engineering. Often the cross-flow geometry consists of a fluid flowing in a tube containing particles with porous walls. The porous walls act as a membrane to separate for instance large particles from the flow. This is the process of for instance water purification and filtration techniques of particles on the micro- and nano-particle level. Larger particles are then too large to pass through the pores of the membrane. Studies of particle transport in this context are however mainly based on spherical particle shape, but transport processes in general may include biological macromolecules and colloids which have basically a non-spherical shape. So any improvement in these theories naturally involves also taking into account the shape of the particles.
In studies of a dilute concentration of particles, the transport of non-spherical particles in given fluid flow geometry can be studied mainly by two different techniques for the analysis. One method, the Lagrangian tracking method is to solve the equations of motion for each individual particle, including the forces acting on the particle such as the force and torque due to drag, due to Brownian motion, as well as gravitational and electrostatic effects. To include effects of Brownian motion then a stochastic force is introduced. A large number N of particles is then released and particle statistics can be inferred by averaging. The error of this method is O ( N 1 / 2 ) so a large number of particles is necessary for convergence. This method has been successfully used to obtain the deposition of micro- and nanofibers for a fully developed pipe flow, representing the airways of the human lung (Högberg et al. [1]). The second approach is to directly consider the equation describing the evolution of the probability density, usually called the Fokker–Planck equation or the Convective-diffusion equation, which has the advantage of directly providing the statistical averages. This method has been used to study, (Åkerstedt et al. [2]) the deposition of nanofibers in the same flow geometry as in reference [1]. The agreement between the methods is quite good.
The Lagrangian tracking method has recently also been used in a study of transport and deposition of non-spherical micro- and nano-particles related to composites manufacturing (Holmstedt et al. [3]). During manufacturing micro- and nanoscale particles may be added to the resin to give the final product additional properties. There are two length scales of this flow, a microscale in which fluid flows within a region with bundles and a mesoscale flow between the regions of the bundles, see Figure 1. Typical length scales for the flows are less than 10 μm and greater than 100 μm, respectively, Lundström et al. [4].
For the case when the applied pressure gradient is stronger than capillary action, the channels between the bundles are first filled and the capillary pressure force fills the fluid in the bundles. In experiments mimicking composites manufacturing it is found that the injection of non-spherical particles together with a liquid resin are strongly filtered by fabrics preventing a homogeneous distribution of the particles in the final product, see Fernberg et al. [5] and Nordlund et al. [6].
To gain some understanding of this transport of particles a highly simplified geometry is considered consisting of fluid filled tube bounded by an annulus-shaped porous media. The effect from the porous media is then to provide a radial suction flow out from the tube. In the study in reference [3] it is assumed that all particles deposit when they reach the border between the channel and the annular fiber bundle. The amount of deposition found therefore denotes which particles are transported to the bundles and can be seen as the maximum possible deposition.
Although the geometry in focus in this work originally mimicked composite manufacturing, Holmstedt et al. [3] the simplified geometry, with flow in a tube surrounded by a membrane porous medium, is perhaps more relevant in connection to cross-flow filtration techniques mentioned above. In cross-flow, filtration particles and fluid stream tangential in the axial direction of a tube, while in the ideal case only the fluid flows into the filter membrane, the porous medium. Here problems arise due to the creation of so called fouling boundary layers with a high concentration of particles. These particles deposit on the membrane surface and a cake is formed leading to pore blocking of the membrane with a decreased filter efficiency. In tissue-engineering bio-rector applications extremely good filtration properties are necessary due to highly expensive solute particles. Therefore, the design and understanding of filtering membranes is of large importance. Some relevant works on cross-flow filtration are the numerical and experimental works by Ma et al. [7] and Huang et al. [8] and also the theoretical work by Griffiths et al. [9]. These models only treat the transport of spherical particles, therefore developing a theory that brings the ideas of cross-flow filtration together with the transport of non-spherical particles should be of some interest.
The purpose of the present work is to develop a theory for the transport of non-spherical nano-sized particles in cross-flow geometry using the Fokker–Planck approach and with an application to the flow configuration considered in the work of reference [3]. It extends and corrects some of the results of that paper. As in that paper [3] in this first work the effect of the porous medium is only to provide a radial suction out of the tube. This means that the much more complicated case of transport of the non-spherical particles into the porous medium is not considered here and will be left for further studies. The present work is a development of the theory of Åkerstedt et al. [2] in which the transport and deposition of large aspect ratio nanofibers in pipe flow geometry is considered. The theory is based on the Fokker–Planck equation describing the probability density function N ( x , r , θ , ϕ ) for a dilute suspension, where x is the stream-wise coordinate, r the radial coordinate, while θ and ϕ are the Euler angles describing the particle orientation. Solutions are found using an expansion for the small ratio of semi-major axis to pipe radius. The novelty of the paper is a treatment of oblate as well as prolate particles together with an expansion to higher order including effects from curvature and the inclusion of a radial suction velocity field. The theory is then applied to the composite manufacturing example described above.
The outline of the paper is as follows. In Section 2 a statement of the problem and the objectives of the paper are presented. In this paper we extend the work by Åkerstedt et al. [2] to include both prolate and oblate particles, and a suction velocity field. The velocity field together with the radial suction field are calculated for small Reynolds numbers using the lubrication approximation. The size of the suction velocity in the lubrication approximation is considered small and of the order of the pipe radius over the pipe length. To find the appropriate radial velocity, an analysis including the physics of the surrounding porous medium is necessary. In this first study however the size of the suction velocity is considered small but otherwise treated as a free parameter. A discussion of the modifications needed to include a porous medium is given in Section 7.
In Section 3 we specify the fluid flow velocity field and the equation governing the transport of non-spherical particles, a convective-diffusion equation sometimes called the Fokker–Planck equation. Here we also specify the main assumptions regarding the size of the dimensionless parameters.
In Section 4 the Fokker–Planck equation is solved using boundary layer techniques treating the translational Peclet number as large and the rotational Peclet number as small. To satisfy the boundary condition of a perfectly absorbing boundary it is necessary to introduce a triple-deck structure of layers for the probability density. After simplification the middle deck approximation is governed by an angle averaged equation of the convective-diffusion type. In the lower deck close to the boundary a diffusion type of equation is derived containing the radial coordinate and the two orientation angles. In the work by reference [2] a lowest order asymptotic matching is considered which in this paper is extended to the next order. Similarity solutions including the effect of weak suction and higher order effects of curvature are derived. In Section 5 analytical expressions for the amount of deposition on the wall are provided. Here it is shown that the effect of the lower deck boundary layer on deposition (sterical interception effect) is very small. The effect of suction and the higher order curvature effects are shown to increase the deposition rate.
In Section 6 the analytical results are compared with results obtained by utilizing the Lagrangian tracking method for the calculation of deposition rates in the application to composites manufacturing [3]. Here deposition rates of prolate and oblate particles with the same volume are compared. Although the order of magnitude of deposition of the Lagrangian tracking method and the analytical expressions are comparable, there are several details which do not match. In the Lagrangian case the deposition is almost the same for all particles even for different aspect ratios β, with a slightly larger deposition for oblate particles. The analytical expressions show agreement with the tracking method with somewhat larger deposition for oblate particles, while a greater variation for different aspect ratios β is found. The analytical expressions for deposition are also compared with a numerical study of the angle averaged convective-diffusion equation using the commercial software Comsol Multiphysics (5.4 Version, Comsol AB, Stockholm, Sweden, 2019). Here the agreement between the analytical results and the numerical study is quite good. The paper is concluded in Section 7 with a discussion centered on including the physics of the surrounding porous medium in the analysis.

2. Statement of the Problem

The main objective of this paper was the development of a transport model of non-spherical nano- particles, especially prolate and oblate spheroidal particles, in fluid flow in a tube with a radial suction flow velocity. The suction velocity is assumed to originate from a surrounding porous media. We consider a small Re-number flow together with a lubrication approximation, meaning that the radius of the tube is small compared to the length of the tube. The model geometry is chosen from experiments mimicking composites manufacturing but may also be relevant to cross-flow filtration. The goal is to study transport and especially deposition of nano-sized particles at the tube wall in the context of composites manufacturing.
In Section 3 we specify the fluid flow velocity field and the equation governing the transport of non-spherical particles, a convective-diffusion equation sometimes called the Fokker–Planck equation. Here we also specify the main assumptions regarding the size of dimensionless parameters. In Section 4 the Fokker–Planck equation is solved using boundary layer techniques treating the translational Peclet number as large and the rotational Peclet number as small. In Section 5 the deposition of particles to the tube wall is considered, in which general analytical deposition rates are presented. In Section 6 the analytical results are compared with results obtained by utilizing the Lagrangian tracking method, previously used for the calculation of deposition rates in the application to composites manufacturing [3]. The paper is finalized in Section 7 with a discussion on the possibilities of including the surrounding porous medium in the analysis.

3. Governing Equations for Particle Transport and Fluid Flow

Transport of particles in the shape of prolate and oblate spheroids in pipe flow are considered. The orientation of the particles is described in relation to a fixed Cartesian geometry (X, Y, Z). The flow field with main flow direction in the x-direction is formulated in a cylindrical coordinate system ( x , r , α ) as in Figure 2a. The orientation vector n is defined as the direction of the symmetry axis of the particle, Figure 2b. Euler angles are introduced to describe the components of the orientation vector as
n X = sin θ cos ϕ n Y = sin θ sin ϕ n Z = cos θ
The particle aspect ratio β, is defined as the ratio between the major and minor radius of the particle. We define β = b / a for oblate particles and β = a / b for prolate particles, see Figure 3.
The concentration of particles is assumed to be dilute so that the equation of motion for a single particle can be applied. The angular equation of motion for an axisymmetric particle in a Stokes flow is given by Jeffery [10] as
n ˙ = A n + Λ S n Λ ( n T S n ) n
where
Λ = β 2 1 β 2 + 1
Here S and A are the symmetric and antisymmetric parts of the gradient of the velocity field respectively
S = 1 2 ( u + u T ) A = 1 2 ( u u T )
The velocity field is chosen as a cross flow in pipe flow geometry. We make use of the lubrication approximation treating the pipe radius as small compared to its length while also considering a small Reynolds number. A weak uniform radial suction velocity of the order of the ratio of the pipe radius to the length is assumed. The velocity field then becomes
u = u ( r , x ) x ^ + v ( r , x ) r ^ = U 0 ( 1 δ x R ) ( 1 ( r R ) 2 ) x ^ + δ U 0 1 2 ( r R 1 2 ( r R ) 3 ) r ^
The suction velocity at the boundary is then V 0 = δ U 0 1 / 4 so the small dimensionless parameter δ is a measure of the suction strength. From the theory developed by Nietzsche and Brenner [11], a Fokker–Planck equation describing the stationary probability density distribution can be derived as
( u N ) + n ( ω N ) ( ( n n D t + ( I n n ) D t ) N ) n ( ( I n n ) D r N n ) = 0
Here D t and D t are the translational diffusion coefficients for a particle diffusing parallel and perpendicular to the particle symmetry axis, respectively, and D r is the rotational diffusion coefficient. The angular velocity ω is defined from the relation n ˙ = ω × n . In terms of the coordinates of the probability density N ( x , r , α , θ , ϕ ) this equation can be written as
u ( r , x ) N x + v ( r , x ) N r + ( D t ( sin α cos θ + cos α sin θ sin ϕ ) 2 + D t ( 1 ( sin α cos θ + cos α sin θ sin ϕ ) 2 ) ) ( 2 N r 2 + 1 r N r ) D r 1 sin θ ( θ ( sin θ N θ ) + 1 sin θ 2 N ϕ 2 ) 1 sin θ ( ϕ ( N ϕ ˙ sin θ ) + θ ( N θ ˙ sin θ ) ) = 0
Since we assume that N varies strongly only in a boundary layer near the wall we neglect the second order derivative with respect to x and α in the spatial diffusion term. By normalizing the spatial coordinates with the pipe radius R and introducing dimensionless quantities the following Peclet numbers can be defined
P e t = U 0 R D t P e t = U 0 R D t P e r = U 0 R D r
In dimensionless units Equation (7) becomes
P e r ( ( 1 δ x ¯ ) ( 1 r ¯ 2 ) N x ¯ + δ 2 ( r ¯ r ¯ 3 2 ) N r ¯ ) ( P e r P e t K ( α , θ , ϕ ) 2 + P e r P e t ( 1 K ( α , θ , ϕ ) 2 ) ) ( 2 N r ¯ 2 + 1 r N r ¯ ) + 1 sin θ ( θ ( sin θ N θ ) + 1 sin θ 2 N ϕ 2 ) + P e r sin θ ( ϕ ( N ϕ ˙ sin θ ) + θ ( N θ ˙ sin θ ) ) = 0
in which K ( α , θ , ϕ ) = sin α cos θ + cos α sin θ sin ϕ . The interest is in particles with large aspect ratio β > > 1 . Exact expressions for the diffusion coefficients for prolate and oblate particles are provided in Appendix A. In the limit of large β the expressions for the diffusion coefficients for prolate particles become
D t = κ T ( ln ( 2 β ) 1 / 2 ) 4 π μ β b D t = κ T ( ln ( 2 β ) + 1 / 2 ) 8 π μ β b D r = 3 κ T ( ln ( 2 β ) 1 / 2 ) 8 π μ β 3 b 3
For large β the diffusion coefficients for oblate particles become
D t = κ T 16 μ b ( 1 1 2 β 2 + ) D t = 3 κ T 32 μ b ( 1 32 12 β + ) D r = 3 κ T 32 μ b 3 ( 1 3 2 β 2 + )
Here κ is Boltzmann’s constant, T the temperature, and μ the dynamic viscosity of the fluid. Here l is defined as the semi-major axis of the particle which for prolate particles is l = β b and for oblate particles l = b . To estimate the order of magnitude in Equation (9) we consider the ratio between the following Peclet numbers which for prolate particles become
D t D r R 2 = P e r P e t = 2 3 β 2 b 2 R 2 = l 2 R 2 2 3 = 2 3 ε 2 D t D r R 2 = P e r P e t = 1 3 ln ( 2 β ) + 1 / 2 ln ( 2 β ) 1 / 2 l 2 R 2 = τ 3 ε 2
The corresponding ratios for oblate particles are
D t D r R 2 = P e r P e t = 2 3 b 2 R 2 ( 1 + 1 β 2 ) = l 2 R 2 2 3 ( 1 + 1 β 2 ) = 2 3 ε 2 + O ( β 2 ) D t D r R 2 = P e r P e t = b 2 R 2 ( 1 32 12 β ) = l 2 R 2 ( 1 32 12 β ) = ε 2 + O ( β 1 )
Equation (9) can then be written for prolate particles as
P e r ( ( 1 δ x ¯ ) ( 1 r ¯ 2 ) N x + δ 2 ( r ¯ r ¯ 3 2 ) N r ) ( 2 3 ε 2 K ( α , θ , ϕ ) 2 + τ 3 ε 2 ( 1 K ( α , θ , ϕ ) 2 ) ) ( 2 N r ¯ 2 + 1 r ¯ N r ¯ ) 1 sin θ ( θ ( sin θ N θ ) + 1 sin θ 2 N ϕ 2 ) + P e r sin θ ( ϕ ( N ϕ ˙ sin θ ) + θ ( N θ ˙ sin θ ) ) = 0
with a similar expression for oblate particles. In the following the discussion is based upon prolate particles. The theory for oblate particles is similar and the essential details are therefore given in Appendix A.

4. Asymptotic Solutions to the Fokker–Planck Equation

For the solution of the Fokker–Planck equation we consider the limit of small ε . According to equation (12) this is equivalent to a small rotational Peclet-number and a large translational Peclet number. At the inlet of the pipe we assume a uniform probability density N ( 0 , r ¯ , α , θ , ϕ ) = N 0 o , corresponding to complete random orientation and the position of the particles. Considering P e r small and P e t , large, a natural approximation is to neglect the translational diffusion term in Equation (14), which is of the order O ( ε 2 ) . As boundary condition we assume that the pipe wall is a perfect sink of the particles so that the boundary condition for the probability density for prolate particles with large β and half-length l becomes
N ( x ¯ , r ¯ = 1 ε | n ^ r ^ | , α , θ , ϕ ) = N ( x ¯ , r ¯ = 1 ε | K ( α , θ , ϕ | , α , θ , ϕ ) = 0
Expanding (15) for small ε
N ( x ¯ , r ¯ = 1 , θ , ϕ ) N r ¯ | r ¯ = 1 ε | cos θ sin α + sin θ sin ϕ cos α | = 0
To satisfy this boundary condition it is necessary to keep the translational diffusion term in a boundary layer close to the wall. An outer solution N o , valid in the main part of the pipe, can however be given by solutions of the equation
P e r ( ( 1 δ x ¯ ) ( 1 r ¯ 2 ) N o x + δ 2 ( r ¯ r ¯ 3 2 ) N o r ¯ ) 1 sin θ ( θ ( sin θ N o θ ) + 1 sin θ 2 N o ϕ 2 ) + P e r sin θ ( ϕ ( N o ϕ ˙ sin θ ) + θ ( N o θ ˙ sin θ ) ) + O ( ε 2 ) = 0
Since P e r is considered small we expand the solution in powers of this parameter as
N o = N 0 o + N 1 o P e r + O ( ( P e r ) 2 ) + O ( ε 2 )
Assuming uniform conditions at entry we have random orientation of the angles and position so that N o ( x ¯ = 0 , r ¯ , θ , ϕ ) = N 0 o = constant . The angular velocities ϕ ˙ and θ ˙ in the convective term in Equation (17) can be obtained from Equation (2). In the outer region we neglect the influence of suction. For the case of infinite β the angular velocities for prolate particles become
ϕ ˙ = 2 r ¯ sin 2 ϕ cos α + 2 r ¯ cot θ sin ϕ sin α θ ˙ = 2 r ¯ cos ϕ cos 2 θ sin α 2 r ¯ sin 2 θ sin 2 ϕ cos α
If α = 0 the equations corresponds to the case of a simple velocity shear in the y-direction, and α = π / 2 the case with simple shear in the z-direction, both corresponding to Jeffery orbits. The general motion is then a linear combination of the two. Inserting this expression into Equation (17) without the effect from suction we get
P e r ( 1 r ¯ 2 ) N o x = 1 sin θ ( θ ( sin θ N o θ ) + 1 sin θ 2 N o ϕ 2 ) 3 P e r N 0 o ( 2 r ¯ sin 2 θ sin 2 ϕ cos α + 2 r ¯ sin 2 θ cos ϕ sin α ) + O ( ε 2 )
If uniform conditions are assumed at entry, there is a thin layer in which the solution varies quickly for P e r small. We therefore introduce a multiple length scale analysis in which we define X o = x ¯ / P e r as the quick scale and x ¯ an ordinary length scale so that Equation (20) transforms into
( 1 r ¯ 2 ) ( P e r N o x ¯ + N o X o ) = 1 sin θ ( θ ( sin θ N o θ ) + 1 sin θ 2 N o ϕ 2 ) 3 P e r N 0 o ( 2 r ¯ sin 2 θ sin 2 ϕ cos α + 2 r ¯ sin 2 θ cos ϕ sin α )
The solution is then assumed to be of the form
N o = N 0 o + P e r N 1 o ( x ¯ , X o , r ¯ , α , θ , ϕ ) +
so to order O ( P e r ) Equation (21) becomes
( 1 r ¯ 2 ) N 1 o X o = 1 sin θ ( θ ( sin θ N 1 o θ ) + 1 sin θ 2 N 1 o ϕ 2 ) + 3 N 0 o ( 2 r ¯ sin 2 θ sin 2 ϕ cos α + 2 r ¯ sin 2 θ cos ϕ sin α )
The solution to this equation can be expressed in terms of spherical harmonics [12] in the form
N 1 o ( x ¯ , X o , r ¯ , θ , ϕ ) = n = 0 A n ( x ¯ , X o , r ¯ ) P n ( cos θ ) + + n = 1 m = 1 n ( A n m ( x ¯ , X o , r ¯ ) cos m ϕ + B n m ( x ¯ , X o , r ¯ ) sin m ϕ ) P n m ( cos θ )
This type of solution is valid as long as the particles are freely rotating, with no interception at the wall of the pipe. Inserting the solution into Equation (23) and using the orthogonal properties of the spherical harmonics leads to a set of first order differential equations
( 1 r ¯ 2 ) A n X o + n ( n + 1 ) A n = 0 ( 1 r ¯ 2 ) A n m X o + n ( n + 1 ) A n m = 2 N 0 o r ¯ δ n , 2 δ m , 1 sin α ( 1 r ¯ 2 ) B n m X o + n ( n + 1 ) B n m = N 0 o r ¯ δ n , 2 δ m , 2 cos α
with the corresponding solutions
A n ( x ¯ , X o , r ¯ ) = a n ( x ¯ , r ¯ ) e n ( n + 1 ) X o ( 1 r ¯ 2 ) A n m ( x ¯ , X o , r ¯ ) = a n m ( x ¯ , r ¯ ) e n ( n + 1 ) X o ( 1 r ¯ 2 ) N 0 o 1 3 r ¯ δ n , 2 δ m , 1 sin α B n m ( x ¯ , X o , r ¯ ) = b n m ( x ¯ , r ¯ ) e n ( n + 1 ) X o ( 1 r ¯ 2 ) N 0 o 1 3 r ¯ δ n , 2 δ m , 2 cos α
The arbitrary functions a 2 n ( x ¯ , r ¯ ) , a 2 n m ( x ¯ , r ¯ ) and b 2 n m ( x ¯ , r ¯ ) can with the present order be replaced by the functions a 2 n ( 0 , r ¯ ) , a 2 n m ( 0 , r ¯ ) and b 2 n m ( 0 , r ¯ ) with an error of higher order O ( P e r X o ) within the initial layer. The entry condition gives N 1 o ( x ¯ = 0 , X o = 0 , r ¯ , θ , ϕ ) = 0 , so the complete solution is found to be
N o = N 0 o P e r N 0 o r ¯ ( 1 e 6 X o ( 1 r ¯ 2 ) ) ( 1 3 P 2 1 ( cos θ ) cos ϕ sin α + 1 6 P 2 2 ( cos θ ) sin 2 ϕ cos α ) + O ( ( P e r ) 2 )
Here the second term shows the rapid initial transient from the uniform conditions at entry. After this initial transient the solution settles into a state in which the lowest order distribution N o varies according to
N o = N 0 o 1 / 2 P e r N 0 o r ¯ ( sin 2 θ sin 2 ϕ cos α + sin 2 θ cos ϕ sin α ) + O ( ( P e r ) 2 )
So that the preferential orientation depends on the position of the particle. For a particle at α = 0 the preferential orientation is given by θ = π / 2 , ϕ = π / 4 , 3 π / 4 , 5 π / 4 , 7 π / 4 and for a particle at α = π / 2 the preferential orientation is with θ = π / 4 , 3 π / 4 , ϕ = 0 , 2 π .
Since the solution Equation (26) cannot satisfy the absorbing boundary condition at the wall, the neglected translational diffusion term here becomes important and a rescaling by introducing a boundary layer coordinate R ¯ = ( 1 r ¯ ) ( P e t ) ν is therefore considered.
In the scaling of Equation (9) we wish to keep the convective term to be of the same order as the translational diffusion term. The convective term is of importance when we want to find the evolution of the flow in the stream-wise direction. Considering a balance of the order of magnitude of the translational convective and diffusion terms, then gives ν = 1 / 3 , corresponding to boundary layer thickness of order O ( ( P e t ) 1 / 3 ) . To fulfil the entry conditions we need as for the outer solution to introduce a quick length scale, in this boundary layer becomes X i = x ¯ ( P e t ) 1 / 3 / P e r = x ¯ / Δ , corresponding to an even quicker initial transient when compared with the outer solution. Here it is convenient to use Δ as the small parameter. The following equation for N i is then obtained
( 1 δ x ¯ ) ( 2 R ¯ ( P e t ) 1 / 3 R ¯ 2 ) ( Δ N i x ¯ + N i X i ) Δ δ 4 ( P e t ) 2 / 3 N i R ¯ = Δ ( K 2 + P e t P e t ( 1 K 2 ) ) ( 2 N i R ¯ 2 ( P e t ) 1 / 3 N i R ¯ ) + 1 sin θ ( θ ( sin θ N i θ ) + 1 sin θ 2 N i ϕ 2 ) P e r 1 sin θ ( ϕ ( N i ϕ ˙ sin θ ) + θ ( N i θ ˙ sin θ ) )
The boundary condition Equation (15) can now be written as
N i ( x ¯ , r ¯ = 1 , θ , ϕ ) 3 / 2 Δ 1 / 2 N i R ¯ | R ¯ = 0 | cos θ sin α + sin θ sin ϕ cos α | = 0
To fulfil this boundary condition with a term of order O ( Δ 1 / 2 ) we assume an expansion for the boundary layer solution of the form
N i = N 0 i ( x ¯ , R ¯ ) + Δ 1 / 2 N 1 / 2 i ( x ¯ , X i , R ¯ , θ , ϕ ) + Δ N 1 i ( x ¯ , X i , R ¯ , θ , ϕ ) + P e r n 1 i ( x ¯ , X i , R ¯ , θ , ϕ ) +
The O ( P e r ) correction n 1 i can be obtained in the same manner as the corresponding term in the outer solution with the result
n 1 i = 1 3 N 0 i ( x ¯ , R ¯ ) ( 1 e ( 6 X i 2 R ¯ ) ) P 2 1 ( cos θ ) sin ϕ
Inserting the expansion Equation (31) into Equation (29) and selecting the O ( 1 ) terms we have
2 R ¯ ( 1 δ x ¯ ) N 0 i X i = 1 sin θ ( θ ( sin θ N 0 i θ ) + 1 sin θ 2 N 0 i ϕ 2 )
Assuming a solution of the form
N 0 i ( x ¯ , X , R ¯ , θ , ϕ ) = n = 0 C n ( x ¯ , X , R ¯ ) P n ( cos θ ) + n = 1 m = 1 n ( D n m ( x ¯ , X , R ¯ ) cos m ϕ + E 2 n m ( x ¯ , X , R ¯ ) sin m ϕ ) P n m ( cos θ )
and proceeding as above by inserting this expression into Equation (29) and using the orthogonal properties of the spherical harmonics gives a sequence of differential equations. From the isotropic entry conditions it follows that all coefficients C n , D n m and E n m are zero, except C 0 = F 0 ( x ¯ , R ¯ ) . We therefore have a solution N 0 i ( x ¯ , R ¯ ) = F 0 ( x ¯ , R ¯ ) which is determined later from a solvability condition of the problem at order O ( Δ 3 / 2 ) . The present analysis shows that since N 0 i does not have any angular dependence the solution does not fulfil the absorbing boundary condition at the wall. Next considering the problem to order O ( Δ 1 / 2 ) , the same analysis again shows that N 1 / 2 i = N 1 / 2 i ( x ¯ , R ¯ ) . The conclusion is therefore that a further rescaling of the problem with an inner boundary layer of smaller size than the present is necessary. Before we discuss this rescaling, however we proceed with the problem to O ( Δ ) . For this order we have the equation
2 R ¯ ( 1 δ x ¯ ) ( N 0 i x ¯ + N 1 i X i ) δ 4 ( P e t ) 2 / 3 N 0 i R ¯ = ( K ( α , θ , ϕ ) 2 + P e t P e t ( 1 K ( α , θ , ϕ ) 2 ) ) 2 N 0 i R ¯ 2 + + 1 sin θ ( θ ( sin θ N 1 i θ ) + 1 sin θ 2 N 1 i ϕ 2 )
in which the suction term is considered at present to be of order δ P e 2 / 3 = O ( 1 ) . Using a similar treatment as before a solution of the form below is assumed
N 1 i ( x ¯ , X i , r ¯ , θ , ϕ ) = n = 0 α n ( x ¯ , X i , R ¯ ) P n ( cos θ ) + n = 1 m = 1 n ( β n m ( x ¯ , X i , R ¯ ) cos m ϕ + γ n m ( x ¯ , X i , R ¯ ) sin m ϕ ) P n m ( cos θ )
Inserting this solution into Equation (35) the same procedure as above yields equations for all the non- zero coefficients in (36)
2 R ¯ ( 1 δ x ¯ ) α 0 X i = 2 R ( 1 δ x ¯ ) N 0 i x ¯ + ( 1 3 + 2 3 P e t P e t ) 2 N 0 i R ¯ 2 + δ 4 ( P e t ) 2 / 3 N 0 i R ¯
( 1 δ x ¯ )   2 R ¯ α 2 X i + 6 α 2 = ( 1 P e t P e t ) ( sin 2 α 1 3 ) 2 N 0 i R ¯ 2
( 1 δ x ¯ )   2 R ¯ β 2 2 X i + 6 β 2 2 = 1 6 ( 1 P e t P e t ) cos 2 α 2 N 0 i R ¯ 2
( 1 δ x ¯ )   2 R ¯ γ 2 1 X i + 6 γ 2 1 = 2 3 ( 1 P e t P e t ) sin α cos α 2 N 0 i R ¯ 2
All other coefficients are zero due to the conditions at entry i.e., N 1 i ( x ¯ = 0 , X i = 0 , R , θ , ϕ ) = 0 . The solution given by Equation (37) grows linearly in X i as a secular term, therefore the right hand side of Equation (37) must be zero and so an equation determining N 0 i ( x ¯ , R ) of the following form is obtained
2 R ¯ ( 1 δ x ¯ ) N 0 i x ¯ δ 4 ( P e t ) 2 / 3 N 0 i R ¯ = ( 1 3 + 2 3 P e t P e t ) 2 N 0 i R ¯ 2
This equation can be considered as a solvability condition and can also be obtained by multiplying Equation (35) by sin θ and integrating over the angles. From Equations (38)–(40) we find the complete solution for N 1 i of the form
N 1 i ( x ¯ , X i , R ¯ , α , θ , ϕ ) = ( 1 P e t P e t ) ( 1 e 3 X i R ¯ ) 2 N 0 i R ¯ 2 ( 1 6 ( sin 2 α 1 / 3 ) P 2 ( cos θ ) + 1 36 cos 2 α P 2 2 ( cos θ ) cos 2 ϕ 1 9 sin α cos α P 2 1 ( cos θ ) sin ϕ )
Proceeding to O ( Δ 3 / 2 ) and using a solvability condition some new higher order terms due to curvature of order of magnitude Δ ( P e t ) 1 / 3 = P e r ( P e t ) 2 / 3 appear, which are different from Δ 3 / 2 = ( P e r ) 3 / 2 ( P e t ) 1 / 2 so that
Δ 3 / 2 ( 2 R ¯ ( 1 δ x ¯ ) N 1 / 2 i x ¯ δ 4 ( P e t ) 2 / 3 N 1 / 2 i R ¯ ( 1 3 + 2 3 P e t P e t ) 2 N 1 / 2 i R ¯ 2 ) = Δ ( P e t ) 1 / 3 ( R ¯ 2 ( 1 δ x ¯ ) N 0 i x ¯ ( 1 3 + 2 3 P e t P e t ) N 0 i R ¯ )
If P e r > > ( P e t ) 1 / 3 the terms on the right-hand side can be neglected and the equation of this order becomes identical with Equation (41)
2 R ¯ ( 1 δ x ¯ ) N 1 / 2 i x ¯ δ 4 ( P e t ) 2 / 3 N 1 / 2 i R ¯ = ( 1 3 + 2 3 P e t P e t ) 2 N 1 / 2 i R ¯ 2
However to make the theory more general, adopting the principle of least degeneracy, these extra terms due to curvature are incorporated by choosing P e r = P e r ¯ ( P e t ) 1 / 3 with P e r ¯ = O ( 1 ) . Of course, this only works if P e r and P e t 1 / 3 are of comparable magnitude. Equation (43) then becomes
( P e r ¯ ) 1 / 2 ( 2 R ¯ ( 1 δ x ¯ ) N 1 / 2 i x ¯ δ 4 ( P e t ) 2 / 3 N 1 / 2 i R ¯ ) ( 1 3 + 2 3 P e t P e t ) 2 N 1 / 2 i R ¯ 2 ) = ( R ¯ 2 N 0 i x ¯ ( 1 3 + 2 3 P e t P e t ) N 0 i R ¯ )
If this scaling is correct the perturbation scheme only includes one single small parameter ( P e t ) 1 / 3 .
As mentioned it is obvious that the solutions N 0 i ( x ¯ , R ¯ ) and N 1 / 2 i ( x ¯ , R ¯ ) cannot satisfy the boundary condition at the wall. Therefore, a further rescaling is necessary with a second boundary layer inside the outer boundary layer. To determine the thickness of this inner boundary layer a coordinate ρ = 2 / 3 R ¯ / Δ ν is introduced in Equation (35). A balance of the order of magnitude of the terms in this equation with the rescaling gives ν = 1 / 2 . With this scaling the dominant terms are the translational and the rotational diffusion terms, which situation is quite natural for this region of smallest length scale. The thickness of this boundary layer is then of order O ( ( P e r / P e t ) 1 / 2 ) = O ( ε ) corresponding to the ratio between the length of a prolate particle and the pipe radius. Equation (35) then reduces to
( K ( α , θ , ϕ ) 2 + P e t P e t ( 1 K ( α , θ , ϕ ) 2 ) ) ( 2 N I ρ 2 ) + 1 sin θ ( θ ( sin θ N I θ ) + 1 sin θ 2 N i ϕ 2 ) = 0
Equation (46) cannot be solved analytically so a numerical treatment is necessary. It is then convenient to introduce the variables t = cos θ and u = sin ϕ so that Equation (46) yields
( K 2 ( α , t , u ) + P e t P e t ( 1 K 2 ( α , t , u ) ) 2 N I ρ 2 + t ( ( 1 t 2 ) N I t ) + u ( 1 u 2 1 t 2 N I u ) + u 1 t 2 N I u = 0
Note that in this diffusion equation the only parameters are the angle α and the aspect ratio β . The boundary condition for the inner solution at the wall is according to the boundary condition Equation (15) then
N I ( ρ = | n ^ r ^ | = | K ( α , t , u | ) = 0
It is also required that for large ρ the solution provided by Equation (47) should fulfil an asymptotic matching condition with the outer solution given by Equation (41). Equation (47) was solved numerically using the Mathematics module in the commercial software Comsol Multiphysics (5.4 Version, Comsol AB, Stockholm, Sweden, 2019). The computational domain becomes quite complicated which is seen in Figure 4 where the boundary surface for the value of α = π / 4 is presented.
To find the appropriate asymptotic matching we consider the solution of Equation (41). We now consider the case of small suction so that δ / 4 ( P e t ) 2 / 3 N 0 i / R ¯ = O ( Δ 1 / 2 ) . Equation (41) then provides a similarity solution of the form
N 0 i ( x ¯ , R ¯ ) = C 1 0 R ¯ / g ( x ¯ ) e τ 3 d τ + C 2 = C 1 ( 1 Γ ( 1 / 3 , ( R ¯ / g ( x ¯ ) ) 3 ) Γ ( 1 / 3 ) ) + C 2
where the boundary layer thickness g ( x ¯ ) evolves according to
g ( x ¯ ) = ( ( 3 2 + 3 P e t P e t ) x ¯ ) ) 1 / 3
To match the solutions from Equation (49) with solutions of Equation (47) we use the matching principles of van Dyke [13]. This procedure can be done as follows. First, we write the outer boundary layer solution in the inner boundary layer variable ρ . This gives
N 0 i ( x ¯ , ( 3 2 ) 1 / 2 Δ 1 / 2 ρ ) = N 0 o ( 1 C 2 0 e τ 3 d τ 0 Δ 1 / 2 ( 3 2 ) 1 / 2 ρ / g ( x ¯ ) e τ 3 d τ + C 2 )
Expanding for small Δ we find the inner limit
( N 0 i ) I = N 0 o ( 1 C 2 0 e τ 3 d τ ( 3 2 ) 1 / 2 Δ 1 / 2 ρ / g ( x ¯ ) + C 2 + O ( Δ 2 ) ) = N 0 o ( 1 C 2 0 e τ 3 d τ R ¯ / g ( x ¯ ) + C 2 + O ( Δ 2 ) )
The inner solution for large values of ρ is found from solving Equation (47) numerically. Since Expression (52) gives a linear variation in ρ the asymptotic dependence of N I is chosen as linear in ρ for large ρ . Introducing the normalization N ^ I = N I / k ( x ¯ , Δ ) where k ( x ¯ , Δ ) is to be determined from the matching condition, the matching condition can then be written as
N ^ I / ρ 1 as ρ
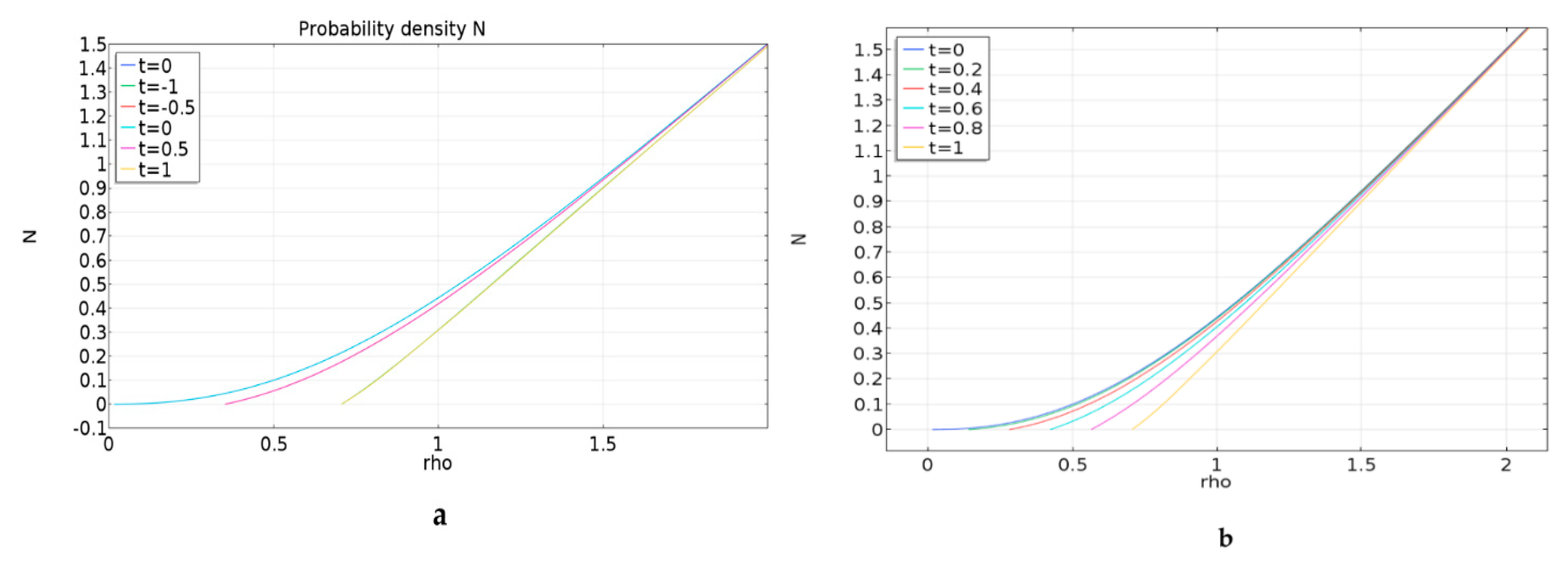
The result of the numerical solution of N ^ I as a function of ρ is presented in Figure 5 and Figure 6, for different values of ( α , t , u ) .
For large ρ the behavior of N ^ I is given by N ^ I ρ b , where b is a numerically evaluated constant that does not depend upon the angle variables ( α , θ , ϕ ) . Expressing N I in terms of the outer variables then gives the matching condition
( N I ) i = k ( x ¯ , Δ ) ( ρ b ) = k ( x ¯ , Δ ) 2 / 3 R ¯ Δ 1 / 2 b k ( x ¯ , Δ ) = ( N i ) I = N 0 o ( 1 C 2 0 e τ 3 d τ R ¯ / g ( x ¯ ) + C 2
From this condition it follows that
k ( x ¯ , Δ ) = N 0 o 3 / 2 0 e τ 3 d τ g ( x ¯ ) Δ 1 / 2 and   C 2 = 0
Then there is a mismatch term since
( N I ) i = N 0 o 0 e τ 3 d τ R ¯ / g ( x ¯ ) b N 0 o 3 / 2 0 e τ 3 d τ g ( x ¯ ) Δ 1 / 2 ( N i ) I = N 0 o 0 e τ 3 d τ R ¯ / g ( x ¯ )
But this term is of order O ( Δ 1 / 2 ) and therefore should be considered as the matching value between the solution N 1 / 2 i and the solution N I . So the boundary condition for the solution of Equation (44) is therefore given by
N 1 / 2 i ( x ¯ , 0 ) = b ( 3 2 ) 1 / 2 N 0 o 0 e τ 3 d τ g ( x ¯ )
Due to the linearity, Equation (45) can be solved by finding the homogenous solution with the in-homogenous boundary condition (57) and the in-homogenous Equation (45) together with a homogenous boundary condition N 1 / 2 ( x ¯ , 0 ) = 0 . The first part of this solution, solving Equation (44) with in-homogenous boundary condition is presented in the Appendix B.
To find the total flux of particles to the wall we consider Equation (6) keeping only the diffusion terms and writing in a dimensionless form as
( ( n n + ( I n n ) P e t P e t ) N ) n ( ( I n n ) N n ) = 0
Using the variables of the inner boundary layer and the appropriate scaling this equation is identical to Equation (46). Equation (58) can be written as a total divergence in configuration space and integrating Expression (58) over the complete volume in configuration space of all the variables of the inner boundary layer it can be written as a surface integral with unit normal N pointing out of this volume. If the surfaces of integration are the real boundary S 0 and the boundary corresponding to the outer edge of the inner boundary layer S we have
S + S 0 N { ( n n + ( I n n ) P e t P e t ) N I + ( I n n ) N I n } d S = 0
The total flux to the wall is given by
Q = S 0 N { ( n n + ( I n n ) P e t P e t ) N I + ( I n n ) N I n } d S
Due to Equation (59) this value of Q is the same as the value at the outer edge of the inner boundary layer
Q = S N { ( n n + ( I n n ) P e t P e t ) N I + ( I n n ) N I n } d S
But since the angular part of N I in this region is of order O ( Δ ) this part can be neglected up to O ( Δ 1 / 2 ) . The total flux to the wall is therefore approximately given by
Q = S N { ( n n + ( I n n ) P e t P e t ) N I } d S
This is a considerable simplification when compared with the general expression of deposition given by Equation (61). In Expression (62) N I can be replaced according to the matching with the value N 0 i ( x ¯ , 0 ) + Δ 1 / 2 N 1 / 2 i ( x ¯ , 0 ) .
Next consider the in-homogenous part of Equation (45) with homogenous boundary condition i.e., corrections of order O ( Δ 1 / 2 ) . To do this, Equation (45) is rewritten as
2 R ¯ ( 1 δ x ¯ ) N i x ¯ δ 4 ( P e t ) 2 / 3 N i R ¯ ( 1 3 + 2 3 P e t P e t ) 2 N i R 2 = Δ 1 / 2 ( P e r ¯ ) 1 / 2 ( ( 1 δ x ¯ ) R 2 N i x ¯ ( 1 3 + 2 3 P e t P e t ) N i R )
An approximate similarity solution can then be obtained by first introducing the new coordinates
ζ = R ¯ g ( x ¯ ) g ( x ¯ ) = ( 9 2 δ ( 1 3 + 2 3 P e t P e t ) | ln ( 1 δ x ¯ ) | ) 1 / 3
Here, for convenience, the suction effect on the mean axial velocity is included in the expression for g ( x ¯ ) . Taking the limit δ 0 Equation (50) is recovered. Equation (63) is then written as
3 ζ 2 N i ζ + 3 ζ g N i g 2 N i ζ 2 = 3 2 ζ 3 g N i ζ ( Δ ( P e r ) ¯ ) 1 / 2 + 3 2 ζ 2 g 2 N i g ( Δ ( P e r ) ¯ ) 1 / 2 g N i ζ ( Δ ( P e r ) ¯ ) 1 / 2 + δ P e t 4 g ( 1 3 + 2 3 P e t P e t ) N i ζ ( Δ ( P e r ) ¯ ) 1 / 2
where the suction term is now treated as small of the order O ( Δ 1 / 2 ) and therefore it is written as δ ( P e t ) 2 / 3 δ P e t ( Δ / P e r ¯ ) 1 / 2 . An approximate solution can then be obtained as an expansion
N i = f 0 ( ζ ) + g Δ 1 / 2 f 1 ( ζ ) + g 2 Δ f 2 ( ζ ) +
Inserting Equation (66) into Equation (65) the lowest order equation is
f 0 + 3 ζ 2 f 0 = 0
with the boundary conditions f 0 ( 0 ) = 0 and f 0 ( ) = 1 , the solution is the same solution as in Equation (49)
f 0 ( ζ ) = 1 Γ ( 1 / 3 , ζ 3 ) Γ ( 1 / 3 , 0 ) = 1 Γ ( 1 / 3 , ζ 3 ) Γ ( 1 / 3 )
For the next order the equation to solve is
f 1 + 3 ζ 2 f 1 3 ζ f 1 = ( P e r ¯ ) 1 / 2 ( 3 2 ζ 3 + 1 δ / 4 P e t ( 1 3 + 2 3 P e t P e t ) ) f 0
with a solution fulfilling boundary conditions f 1 ( 0 ) = 0 and f 1 ( ) = 0 given by
f 1 ( ζ ) = 9 Γ ( 2 / 3 ) ( P e r ) 1 / 2 ¯ 2 π 3 10 ( ζ 2 e ζ 3 + ζ 3 ( 6 5 δ / 4 P e t ( 1 3 + 2 3 P e t P e t ) ) Γ ( 1 / 3 , ζ 3 ) )

5. Analytic Formulas for Deposition

The total deposition is calculated using the dimensional form of Equation (62). Explicitly this gives
Q = 0 x 0 π 0 2 π 0 2 π sin θ ( ( 1 K ( α , θ , ϕ ) 2 ) D t + K ( α , θ , ϕ ) 2 D t ) r ( N 0 i + Δ 1 / 2 N 1 / 2 i ) | r = R R d x d θ d ϕ d α
Deposition is defined as the total particle flux given by Equation (71) divided by the particle influx of the pipe which is N 0 o U 0 2 π 2 R 2 . After some calculations adding all the effects together there are three contributions to the total deposition
P 0 = 6 4 / 3 Γ ( 1 / 3 ) ( P e t ) 2 / 3 ( 1 / 3 + 2 / 3 P e t / P e t ) 2 / 3 ( x ¯ 2 / 3 δ 15 x ¯ 5 / 3 )
P 1 = 12 b 2 2 / 3 9 2 Γ ( 2 / 3 ) 5 16 π 3 ( P e t ) 1 ( 1 / 3 + 2 / 3 P e t / P e t ) 1 / 3 x ¯ 1 / 3
P 2 = ( P e t ) 1 ( 1 / 3 + 2 / 3 P e t / P e t ) ( 12 / 5 + δ / 2 P e t ( 1 / 3 + 2 / 3 P e t / P e t ) ) x ¯
The lowest order result P 0 has been derived earlier in reference [2], P 1 and P 2 are novelties in which P 1 is the correction due to the inner boundary layer called steric interception deposition and P 2 is the correction due to curvature effects and suction. In Equation (73) it is noted that for very small x ¯ the effect of the inner boundary layer grows the strongest, but for larger x ¯ the effect of this term is very small. The contribution from P 2 is however significant for large x ¯ This term also includes the effect from suction which naturally increases the deposition rate. Note that the contribution from the suction term can be simplified to δ / 2 x ¯ . One should however note that the terms in Equation (74) are a result of the expansion in small g ( x ¯ ) Δ 1 / 2 x ¯ 1 / 3 Δ 1 / 2 x ¯ 1 / 3 ( P e t ) 1 / 3 an expansion which breaks down for sufficiently large x ¯ .
Before we apply the theory to some specific examples the restrictions of the validity of the theory are summarized. First, it is required that P e r < < 1 and that P e t , P e t > > 1 . It is also required that P e r > > ( P e t ) 1 / 3 or P e r = P e r ¯ ( P e t ) 1 / 3 with P e r ¯ = O ( 1 ) .

6. Applications and Numerical Results of Deposition

It is interesting to compare the analytical results with the results obtained by utilizing a completely different method for the calculation of deposition [3]. These results come from a study of transport and deposition of non-spherical micro- and nano-particles related to composites manufacturing. In the liquid molding processes such as Resin Transfer molding and Vacuum Infusion a liquid resin is forced to penetrate a fiber reinforcement that has been loaded into a closed cavity. The fiber reinforcements are formed by fibers clustered in bundles and a mesoscale flow between the bundles. This results in two scales of the flow, a microscale within the bundles and a mesoscale flow between the bundles. Typical length scales for the flows are less than 10 μm and greater than 100 μm, respectively. For the case when the applied pressure gradient is stronger than the capillary action, the channels between the bundles are first filled and the capillary pressure force fills the fluid in the bundles. To gain some insight into this problem a simplified geometry is considered consisting of resin filled tube bounded by an annulus-shaped porous media. The effect from the porous media is then to provide a radial suction flow out from the tube. During manufacturing micro- and nanoscale particles may be added to the resin to give the final product additional properties. Therefore, a study of the transport and deposition of the particles in this particular flow field was conducted in reference [3]. The particle motion was treated by Lagrangian tracking of a large number of particles in the given velocity field calculated from the Stokes equations together with the assumption of a small pipe radius to its length. The forces acting on a particle are the drag force together with the force from the Brownian motion, the latter treated by introducing a stochastic force. If launching a large number N of particles, particle deposition studies can be inferred, statistics can be inferred, and the error of the method is then O ( N 1 / 2 ) . This method has been used to obtain the deposition of micro- and nanofibers for a fully developed pipe flow [1]. In a later study in reference [2] the same problem was treated with the method used in the present paper using the deposition formula (72) above with rather good agreement.
In the numerical set-up for the Lagrangian tracking method a tube with radius R = 0.1 mm and length L = 0.4 m was chosen. The resin fluid velocity was set to U0 = 0.2 mm/s with a uniform radial suction velocity at the boundary V0 = 2.5 × 10−9 m/s. The viscosity of the fluid was 0.1 Pas and the density 1000 kg/m3. The mean free path of the medium was 0.2 nm. The particles studied were prolate and oblate spheroids with a different aspect ratio. For comparison between oblates and prolates the particles were assumed to have the same volume as an equivalent sphere with diameter d. For a prolate particle the largest semi-axis length is then aP = d/2β2/3 and the corresponding largest semi-axis for an oblate particle is bO = d/2β1/3, defining the aspect ratio β to be always greater than unity. The particle sizes studied were d = 10 nm, 100 nm, and 1000 nm.
The results of the Lagrangian tracking method are summarized in Figure 7 where deposition along the axis of the tube is plotted. In general, it is found that for particles with the same volume the deposition of oblate particles is somewhat greater than for prolate particles. Only two cases are considered by reference [3], one without and one with suction. The deposition rates with no suction are unrealistically very low and are therefore not reproduced here. The results with suction velocity are given in Figure 7. A remarkable result is that the deposition rates are almost the same for different equivalent diameters and different aspect ratios.
Comparing these results with results from the present theory using the analytical expressions (72)–(74), the deposition rates for the case d = 10 nm, combined with different aspect ratios β = 10, 50, 75, and 100 and suction velocities V0 = 0 m/s, 2.5 × 10−9 m/s, and 5.0 × 10−9 m/s. are shown in Figure 8a–d. The deposition rates as a function of the distance along the tube vary in the same manner as in the work by reference [3]. Common to both methods is that the deposition rates for oblates are somewhat larger when compared with prolate particles, which is reasonable because the diffusion coefficient is slightly larger for oblate particles when considering the same particle volume. The result in reference [3] in Figure 7 is for the case with a suction velocity equal to V0 = 2.5 × 10−9 m/s (δ = 5 × 10−5). Even though the order of magnitude of the deposition rates in the two studies are comparable the deposition rates in Figure 7 are almost the same, largely independent of size and aspect ratio of the particles. Considering the large variation in the diffusion coefficients when varying the size and aspect ratio this result must be considered as somewhat doubtful.
Next, consider the validity of the present theory. One must check whether the condition P e r < < 1 is fulfilled. For particles with equivalent diameter d = 10 nm this condition is easy to fulfil for oblates with large values of aspect ratio β even above 200 while for prolates for β = 200 the value of P e r is larger than 0.3. For larger particles d = 20 nm and β = 100 the value of P e r for oblates is 0.05 while for prolates this value is 0.9 which then violates the condition P e r < < 1 . For the assumed scaling P e r = P e r ¯ ( P e t ) 1 / 3 used in Equation (45), the values for P e r ¯ in the examples vary between 0.1 and 5 so this assumption then seems to be justified.
Another limitation of the theory may be the expansion leading to the analytic expressions (72)–(74) which is based upon g ( x ¯ ) Δ 1 / 2 x ¯ 1 / 3 Δ 1 / 2 x ¯ 1 / 3 ( P e t ) 1 / 3 being small. Whether this condition is fulfilled or not must be checked by a numerical solution of Equation (63). However if we put Δ 1 / 2 = ( P e t ) 1 / 3 (the explicit numerical value of P e r ¯ cancels out in the end) in Equation (63), it can be considered as an expanded approximation to the exact convective-diffusion equation for a sphere with diffusion coefficient D = D t ( 1 / 3 + 2 / 3 P e t / P e t ) expanded in terms of ( P e t ) 1 / 3 . But expanding in ( P e t ) 1 / 3 or P e 1 / 3 = ( U 0 R / D ) 1 / 3 is immaterial in the end so therefore instead of solving the expanded approximate convective-diffusion equation the numerical solution of the exact convective-diffusion for a sphere is considered i.e., the equation
( u ) N = 1 P e 2 N
This equation is considered together with the Navier–Stokes equation. For this purpose, the commercial software Comsol Multiphysics (5.4 Version, Comsol AB, Stockholm, Sweden, 2019) is utilized in which the CFD (computational fluid dynamic) Module is used together with the Transport of Diluted Species model in the Chemical Engineering Module.
A comparison between the analytical result and numerical results is presented in Figure 9a–d.
The physical conditions are the same as in Figure 8a–d. It is seen that there is good agreement for all aspect ratios for the case of no suction. In the case of suction there is a slight disagreement especially for large δ and x ¯ . This is expected since the suction term δ x ¯ is considered small, a condition which for larger x ¯ is violated. A theory valid for larger δ can be obtained by rescaling δ as δ = δ ¯ ( P e t ) 1 / 2 and decreasing the boundary layer thickness so that R ˜ = R ¯ ( P e t ) 1 / 6 . In this limit Equation (44) becomes of lowest order somewhat simpler in the form
δ ¯ 4 N i R ˜ = ( 1 3 + 2 3 P e t P e t ) 2 N i R ˜ 2 .
Using Equation (76) as a starting point the deposition rate in the limit of large Peclet-number simply becomes δ x ¯ . This is the type of convective-diffusion boundary layer equation that is often referred to in theories of cross-flow filtration.

7. Discussion

The model considered in this paper can only be seen as a first step towards a description of the transport of non-spherical particles in a cross-flow type in pipe geometry with a surrounding annular porous medium. Therefore, let us discuss some essential steps needed for further development of the theory. First the suction velocity is assumed to be uniform along the x-axis, whether this is a correct assumption can only be understood if the physics of the surrounding porous medium is taken into account. A theoretical model for this kind of flow was presented by Griffiths et al. [9] leading to a Stokes flow in the pipe similar to the flow given by Equation (5) in the present paper. The flow is however modified by a thin surrounding porous medium described by Darcy’s law. Using their model the velocity in the pipe can be written in dimensionless form as
u ¯ = 1 4 d p ¯ d X ( 1 r ¯ 2 + 2 A ) v ¯ = ε 16 d 2 p ¯ d X 2 ( r ¯ 3 + 2 r ¯ + 4 A )
where X = ε x ¯ and A = α ε L / k contains properties of the porous medium, k being the permeability, α a parameter connected to a slip boundary condition between the pipe flow and porous medium boundary, ε = R / L the pipe aspect ratio. Choosing the pressure variation as d 2 p ¯ / d X 2 = 4 δ / ε i.e., a constant leads to the case of a uniform suction velocity considered in the present paper. In the work in reference [9] it is assumed that the pressure at the outer edge r ¯ = R ¯ 2 is atmospheric. An equation for the pressure variation along the pipe can then be obtained as
d 2 p ¯ / d X 2 = 16 ϕ ¯ α 2 ε 2 ln ( R ¯ 2 ) A ( A + 4 ) p ¯ = p ¯ λ 2
leading to a pressure distribution of hyperbolic type. To obtain a more optimal solute distribution in connection to tissue engineering Griffiths et al. [6] introduced the concept of space dependent permeability. In the application of composites manufacturing, the boundary condition in the annular porous medium is chosen as p ¯ / r ¯ = 0 at the outer edge of the porous medium and a condition of the pressure at the end x ¯ = L of the annular porous medium, modified by capillary action. The pressure at the end of the annular porous part is then smaller than in the inner pure fluid part. This also leads to a hyperbolic variation of the pressure along the stream-wise direction, see Frishfelds et al. [14] and Holmstedt [15]. This is the modification needed to find the appropriate pressure distribution and in turn a more correct radial suction velocity. The treatment of the transport of particles into the porous medium is probably most easily performed using a macroscopic description. As a starting point the simplified angular averaged convective-diffusion Equation (41) should be appropriate. The velocity field is then taken as the solutions of the Darcy equations. A modification of the diffusion coefficient for the porous medium is then necessary using the appropriate tortuosity. Finally, the occurrence of deposition in the porous medium should also be modeled, including a reaction term, see Boccardio et al. [16].

Funding

This research received no external funding.

Acknowledgments

Discussions with Staffan Lundström are greatly acknowledged.

Conflicts of Interest

The authors declare no conflict of interest.

Appendix A

The expressions used for the diffusion coefficient of prolate particles are given by
D t = κ T ( 2 β 2 1 β 2 1 ln ( β + β 2 1 ) β ) 8 π μ b ( β 2 1 ) D t = κ T ( 2 β 2 3 β 2 1 ln ( β + β 2 1 ) + β ) 16 π μ b ( β 2 1 ) D r = 3 κ T ( 2 β 2 1 β 2 1 ln ( β + β 2 1 ) β ) 16 π μ b 3 ( β 4 1 )
The corresponding expressions for oblate particles are given by
D t = κ T ( β ( β 2 2 ) arctan ( β 2 1 ) + β β 2 1 ) ) 8 π μ b ( β 2 1 ) 3 / 2 D t = κ T ( β ( 3 β 2 2 ) arctan ( β 2 1 ) β β 2 1 ) 16 π μ b ( β 2 1 ) 3 / 2 D r = 3 κ T β ( 2 β 2 ) arctan ( β 2 1 ) β β 2 1 ) 16 π μ b 3 ( 1 β 2 β 2 ) β 2 1
The perfectly absorbing boundary condition for prolate particles, Equation (15), is for oblate particles modified to
N ( x ¯ , r ¯ = 1 ε | n ^ θ r ^ | , α , θ , ϕ ) = 0

Appendix B

Here we provide results for the in-homogenous boundary condition applied to the homogenous part of Equation (44) given by the solution of the problem
2 R ¯ N 1 / 2 i x ¯ = ( 1 3 + 2 3 P e t P e t ) 2 N 1 / 2 i R ¯ 2 N 1 / 2 i ( x ¯ , R ¯ ) = 0 N 1 / 2 i ( x ¯ = 0 , R ¯ ) = 0 N 1 / 2 i ( x ¯ , 0 ) = k X ¯ 1 / 3
where
X ¯ = 1 2 ( 1 3 + 2 3 P e t P e t ) x ¯ k = b ( 3 2 ) 1 / 2 N 0 o ( 9 / 2 ) 2 / 3 Γ ( 2 / 3 ) π 3 1 / 2 2 1 / 3
The problem is solved using Laplace transformation in the x ¯ coordinate. The solution can then be written as
N 1 / 2 i ( X , R ¯ ) = k Γ ( 2 / 3 ) A i ( 0 ) 1 2 π i γ i γ + i p 2 / 3 A i ( p 1 / 3 R ¯ ) e p X d p
For integration a branch cut is chosen along the negative Re ( p ) axis and the integration contour is deformed starting at p = e i π following the branch cut around the origin and ending at p = e i π . The Airy function is written in terms of modified Bessel functions and the resulting integrals can be performed using reference [17]. The solution of the problem is then given by.
N 1 / 2 ( x ¯ , R ¯ ) = b N 0 o 9 6 8 π 2 Γ ( 2 / 3 ) 3 R ¯ 1 e R ¯ 3 / 18 X ¯ ( Γ ( 1 / 3 ) Γ ( 2 / 3 ) M 0 , 1 / 6 ( R ¯ 3 / 9 X ¯ ) Γ ( 2 / 3 ) Γ ( 4 / 3 ) M 0 , 1 / 6 ( R ¯ 3 / 9 X ¯ ) )
Where M 0 , 1 / 6 ( x ) is the Whittaker M-function [17]. Of interest for calculation of deposition is the derivative of (A7) in the limit R ¯ 0
N 1 / 2 R ¯ | R ¯ = 0 = b N 0 o 9 4 / 3 2 Γ ( 2 / 3 ) 16 π 3 2 2 / 3 ( 1 3 + 2 3 P e t P e t ) 2 / 3 x ¯ 2 / 3

References

  1. Högberg, S.M.; Åkerstedt, H.O.; Lundström, T.S.; Freund, J.F. Respiratory deposition of fibers in the non-inertial regime: Development and application of a semi-analytical model. Aerosol Sci. Technol. 2010, 44, 847–860. [Google Scholar] [CrossRef]
  2. Åkerstedt, H.O.; Hogberg, S.M.; Lundström, T.S. An asymptotic approach of the deposition of Brownian nanofibers in pipe flow. Theor. Comput. Fluid Dyn. 2013, 27, 561–575. [Google Scholar] [CrossRef]
  3. Holmstedt, E.; Åkerstedt, H.O.; Lundström, T.S. Modelling transport and deposition ofnon-spherical micro- and nano-particles in composites manufacturing. J. Reinf. Plast. Compos. 2018, 37, 507–519. [Google Scholar] [CrossRef]
  4. Lundström, T.S.; Stenberg, R.; Bergström, R.; Partanen, H.; Birkeland, P. In-plane permeability measurements: A nordic round-robin study. Compos. Part A 2000, 31, 29–43. [Google Scholar] [CrossRef]
  5. Fernberg, S.P.; Sandlund, E.J.; Lundström, T.S. Mechanisms controlling particle distribution in infusion molded composites. J. Reinf. Plast. Compos. 2006, 42, 59–70. [Google Scholar] [CrossRef]
  6. Nordlund, M.; Sandlund, E.J.; Lundström, T.S. Particle deposition mechanisms during processing of advanced composite materials. Compos. Part A 2007, 38, 2182–2193. [Google Scholar] [CrossRef]
  7. Ma, R.P.; Gooding, C.H.; Alexander, W.K. A dynamic model for low-pressure, hollow-fiber ultrafiltration. AIChEJ 1985, 31, 1728–1732. [Google Scholar] [CrossRef]
  8. Huang, L.; Morrissey, M.T. Finite element analysis as a tool for crossflow membrane simulation. J. Membr. Sci. 1999, 155, 19–30. [Google Scholar] [CrossRef]
  9. Griffiths, I.M.; Howell, P.D.; Shipley, R.J. Control and optimization of solute transport in a thin porous tube. Phys. Fluids 2013, 25, 033101. [Google Scholar] [CrossRef]
  10. Jeffery, G.B. The motion of ellipsoidal particles immersed in a viscous fluid. Proc. R. Soc. Lond. 1922, 102, 161–179. [Google Scholar] [CrossRef]
  11. Nitsche, J.M.; Brenner, H. On the formulation of boundary conditions for rigid nonspherical Brownian particles near solid walls: Application to orientation-specific reactions with immobilized enzymes. J. Colloid Interface Sci. 1990, 38, 21–41. [Google Scholar] [CrossRef]
  12. Duff, G.F.D.; Naylor, D. Differential Equations of Applied Mathematics; John Wiley Sons: New York, NY, USA, 1966. [Google Scholar]
  13. Van Dyke, M. Perturbation Methods in Fluid Mechanics; Academic press: New York, NY, USA, 1975. [Google Scholar]
  14. Frishfelds, V.; Lundström, T.S.; Jakovics, A. Lattice gas analysis of liquid front in non-crimp fabrics. Transp. Porous Media 2010, 84, 75–93. [Google Scholar] [CrossRef]
  15. Holmstedt, E. Modelling Transport of Non-Spherical Particles in Small Channels. Ph.D. Thesis, Luleå University of Technology, Luleå, Sweden, 2016. [Google Scholar]
  16. Boccardio, G.; Crevacore, E.; Sethi, R.; Icardi, M. A robust upscaling of the effective particle deposition rate in porous media. J. Contam. Hydrol. 2018, 212, 3–13. [Google Scholar] [CrossRef] [PubMed]
  17. Gradshteyn, I.S.; Ryzhik, I.M. Table of Integrals Series and Products; Academic press: New York, NY, USA, 1965. [Google Scholar]
Figure 1. Cross section of composites reinforcements showing the channels formed in the material. To the left: Intra-bundle channels, with gaps formed between individual fibers. To the right: Inter-bundle channels, the area marked by the red rectangle is about 0.5 mm × 0.2 mm.
Figure 1. Cross section of composites reinforcements showing the channels formed in the material. To the left: Intra-bundle channels, with gaps formed between individual fibers. To the right: Inter-bundle channels, the area marked by the red rectangle is about 0.5 mm × 0.2 mm.
Processes 07 00886 g001
Figure 2. (a) Coordinate system (x, r, α). (b) Coordinate system describing the symmetry axis of the particle with orientation vector n.
Figure 2. (a) Coordinate system (x, r, α). (b) Coordinate system describing the symmetry axis of the particle with orientation vector n.
Processes 07 00886 g002
Figure 3. Oblate and prolate particles.
Figure 3. Oblate and prolate particles.
Processes 07 00886 g003
Figure 4. The boundary domain for Equation (47) in hyperspace ρ = | n ^ r ^ | = | K ( π / 4 , t , u ) | .
Figure 4. The boundary domain for Equation (47) in hyperspace ρ = | n ^ r ^ | = | K ( π / 4 , t , u ) | .
Processes 07 00886 g004
Figure 5. Probability density in boundary layer for α = π / 4 β = 100 . (a). u = sin ϕ = 0 . (b). u = sin ϕ = π / 2 .
Figure 5. Probability density in boundary layer for α = π / 4 β = 100 . (a). u = sin ϕ = 0 . (b). u = sin ϕ = π / 2 .
Processes 07 00886 g005
Figure 6. Probability density in boundary layer for α = π / 4 β = 100 α = π / 4 u = sin ϕ = 1 .
Figure 6. Probability density in boundary layer for α = π / 4 β = 100 α = π / 4 u = sin ϕ = 1 .
Processes 07 00886 g006
Figure 7. Deposition rates from Holmstedt et al. [3]. V0 = 2.5 × 10−9 m/s. Reproduced with permission from Holmstedt, Åkerstedt, Lundström, Journal of Reinforced Plastics and Composites, published by SAGE Publishing, 2018.
Figure 7. Deposition rates from Holmstedt et al. [3]. V0 = 2.5 × 10−9 m/s. Reproduced with permission from Holmstedt, Åkerstedt, Lundström, Journal of Reinforced Plastics and Composites, published by SAGE Publishing, 2018.
Processes 07 00886 g007
Figure 8. Deposition rates from analytical expressions for different aspect ratios β and δ.
Figure 8. Deposition rates from analytical expressions for different aspect ratios β and δ.
Processes 07 00886 g008aProcesses 07 00886 g008b
Figure 9. Comparison between analytical (solid) and numerical (circle) deposition rates. (a). β = 10, δ = 0, δ = 10 × 10−5. (b). β = 50, δ = 0, δ = 10 × 10−5. (c). β = 75, δ = 0, δ = 10 × 10−5. (c). β = 75, δ = 0, δ = 10 × 10−5. (d). β = 100, δ = 0, δ = 10 × 10−5.
Figure 9. Comparison between analytical (solid) and numerical (circle) deposition rates. (a). β = 10, δ = 0, δ = 10 × 10−5. (b). β = 50, δ = 0, δ = 10 × 10−5. (c). β = 75, δ = 0, δ = 10 × 10−5. (c). β = 75, δ = 0, δ = 10 × 10−5. (d). β = 100, δ = 0, δ = 10 × 10−5.
Processes 07 00886 g009

Share and Cite

MDPI and ACS Style

Åkerstedt, H.O. Transport and Deposition of Large Aspect Ratio Prolate and Oblate Spheroidal Nanoparticles in Cross Flow. Processes 2019, 7, 886. https://doi.org/10.3390/pr7120886

AMA Style

Åkerstedt HO. Transport and Deposition of Large Aspect Ratio Prolate and Oblate Spheroidal Nanoparticles in Cross Flow. Processes. 2019; 7(12):886. https://doi.org/10.3390/pr7120886

Chicago/Turabian Style

Åkerstedt, Hans O. 2019. "Transport and Deposition of Large Aspect Ratio Prolate and Oblate Spheroidal Nanoparticles in Cross Flow" Processes 7, no. 12: 886. https://doi.org/10.3390/pr7120886

APA Style

Åkerstedt, H. O. (2019). Transport and Deposition of Large Aspect Ratio Prolate and Oblate Spheroidal Nanoparticles in Cross Flow. Processes, 7(12), 886. https://doi.org/10.3390/pr7120886

Note that from the first issue of 2016, this journal uses article numbers instead of page numbers. See further details here.

Article Metrics

Back to TopTop