Abstract
The presence of acetaminophen (ACTP) in aquatic environments has become a significant concern due to its environmental persistence and the potential formation of toxic transformation products. This study systematically compares the performance of three electrochemical advanced oxidation processes (EAOPs), electro-oxidation (EO), electro-Fenton (EF), and solar photo-electro-Fenton (SPEF), for the degradation and mineralization of ACTP in aqueous media using boron-doped diamond (BDD) electrodes. Reactions were conducted under varying operational parameters, including current densities (15–60 mA cm−2), initial ACTP concentrations (10–30 mg L−1), and Fe2+ dosages. In the SPEF system, natural sunlight was utilized as the source of UV-A irradiation (30–35 W m−2). Among the evaluated processes, SPEF exhibited the highest degradation efficiency, achieving up to 97% ACTP removal and 78% chemical oxygen demand (COD) reduction within 90 min. High-performance liquid chromatography (HPLC) analysis identified phenol and catechol as major intermediates, suggesting a degradation pathway involving hydroxylation, aromatic ring cleavage, and subsequent oxidation into low-molecular-weight carboxylic acids. Kinetic modeling revealed pseudo-first-order behavior, with a maximum rate constant of 0.0865 min−1 under optimized conditions determined via Box–Behnken experimental design. Additionally, SPEF demonstrated enhanced energy efficiency (~0.052 kWh gCOD−1) and improved oxidant regeneration under solar radiation, highlighting its potential as an environmentally friendly and cost-effective alternative for pharmaceutical wastewater treatment. These results support the implementation of SPEF as a sustainable strategy for mitigating the environmental impact of emerging contaminants, especially in regions with high solar availability and limited technological resources.
1. Introduction
Currently, the increasing presence of persistent organic pollutants (POPs) in water bodies is causing significant concern in the scientific community due to their harmful effects on health and their poor treatability with conventional treatments [1,2,3,4]. Among these POPs, one of the most prominent is ACTP, due to its high global consumption, which is frequently found in considerable concentrations in urban and hospital wastewater [5,6].
ACTP is classified as an analgesic medication. When ingested, it is not completely metabolized. It is wholly or partially excreted without modifying its chemical structure. It then reaches conventional treatment plants, which are not designed to eliminate it [7].
This compound has been detected in concentrations ranging from ng/L to μg/L, and one of the primary concerns is that its partial degradation can produce more toxic or persistent compounds [6,8].
Advanced oxidation processes (AOPs) emerge as a promising solution to this type of problem, offering a viable alternative for the degradation of drugs [9,10]. These processes focus on the generation of highly oxidizing species, such as the hydroxyl radical (•OH), with an excellent capacity for the mineralization of persistent organic pollutants (POPs) [11,12,13,14,15,16,17]. Among the AOPs, electrochemical processes such as electro-oxidation (EO), electro-Fenton (EF), and solar photo-electro-Fenton (SPEF) have been demonstrated to be efficient in removing ACTP, as shown in Equations (1)–(5):
Recent studies have achieved good results using different anode materials, such as boron-doped diamond (BDD), Ti/Pt, Ti/PbO2, and Ti/IrO2-SnO2-Sb2O5 electrodes, as well as various radiation sources, such as UV and solar radiation, to enhance •OH generation and improve process efficiency [18,19,20,21,22,23]. Other research has employed experimental designs, such as Box–Behnken and multivariate methodologies, to optimize operating conditions [18,24,25,26,27,28,29]. In our previous research, we applied EO, EF, and SPEF processes for the removal of various contaminants, including dyes used in the textile and tanning industries [26,30], pesticides [31], and treatment of real effluents [30]. In all cases, we have achieved good results.
Here, we present a proposal for an integrated approach to the degradation of ACTP using EO, EF, and SPEF in a BDD/graphite system for EO and BDD/BDD for EF and SPEF, evaluating different pH values, current densities, and Fe(II) concentrations. Additionally, the SPEF utilizes natural solar radiation as a complementary energy source to evaluate its impact on process efficiency.
Unlike other studies, this work emphasizes the efficient removal of the contaminant at low operating costs, utilizing solar radiation without the need for concentrating devices, while considering feasible scenarios for environments with technological and energy resource limitations. Analytical techniques, including UV-Vis spectrophotometry, high-performance liquid chromatography (HPLC), and chemical oxygen demand (COD), were employed to monitor ACTP and total organic matter. This approach enables a detailed assessment of degradation, mineralization, and byproduct formation, thereby contributing to the design of more sustainable and efficient treatments for pharmaceutical contaminants in water [32,33].
2. Materials and Methods
2.1. Materials
ACTP (acetaminophen, C8H9NO2) degradations were performed using synthetic solutions prepared with ultrapure water (resistivity of 18.2 MΩ cm, Milli-Q system). The contaminant was purchased from Sigma-Aldrich (Darmstadt, Germany) with a 98% or higher purity. Anhydrous sodium sulfate (Na2SO4, Merck (Darmstadt, Germany), ≥99.5%) was used as the supporting electrolyte at two different concentrations: 0.05 and 0.1 mol L−1. All materials were purchased from local stores in León, Guanajuato, Mexico.
In the EF and SPEF processes, ferrous sulfate heptahydrate (FeSO4 7H2O, Sigma-Aldrich) was used as the Fe(II) source, with concentrations ranging from 0.1 to 0.5 mmol L−1. The pH of the solutions was adjusted to values between 3.0 and 7.0 using 0.1 mol L−1 H2SO4 or NaOH.
2.2. Experimental Setup
The tests were conducted in a 250 mL stirred-tank reactor, Figure 1, continuously stirring at 60 rpm and with a constant oxygen supply to the system using an AQUAKRILL model 1588 air pump. The current applied to the electrodes was supplied by a BK PRECISION MODEL 1665 (Yorba Linda, CA, USA) power source. The working solutions were maintained at room temperature (25 °C) using 0.05 M Na2SO4 as the supporting electrolyte, at a pH of 3.0, adjusted with a concentrated H2SO4 solution. The interelectrode distance was approximately 2 cm to reduce system resistance. Electro-oxidation and Fenton reaction tests were run to evaluate the system’s behavior. For EO, BDD, and graphite, electrodes were used as anode and cathode, respectively (BDD/Graphite), while for the EF and SPEF tests, the solutions were treated with boron-doped diamond (BDD) electrodes as anode and cathode (BDD/BDD). The SPEF processes were conducted on sunny days during the summer of 2023, with natural UV radiation (300–400 nm) measured at 30–35 W/m2 using a Kipp & Zonen CUV 5 radiometer (Sterling, VA, USA). The assays were performed in triplicate, and the average data are reported with a 95% confidence interval.
Figure 1.
Electrochemical system scheme.
2.3. Analytical Methods
A Cintra 1010 UV-Vis spectrophotometer (GBC, Melbourne, Australia) was used to monitor the residual concentration of ACTP by measuring the absorbance at a wavelength of 243 nm, corresponding to the drug’s maximum absorbance peak.
Ion-exclusion high-performance liquid chromatography (HPLC) using an Agilent 1260 Infinity (Santa Clara, CA, USA) series was employed to detect and quantify ACTP concentration, but with a Zorbax SB-C18 column (Santa Clara, CA, USA) (25 mm × 4.6 mm, five μm particle size). The mobile phase comprised acetonitrile and water (50:50 v/v, pH 3.0 with H3PO4) and detection at 243 nm. Elution was carried out using an isocratic method, with a flow rate of 1.0 mL min−1 at a temperature of 30 °C. ACTP exhibited a retention time of approximately 4.35 min, while two additional peaks were identified, corresponding to its central intermediates: catechol (tr ≈ 6.26 min) and phenol (tr ≈ 3.29 min).
The quantity of oxidizable material was estimated through chemical oxygen demand (COD) assays, following the 5220D method outlined in Standard Methods [34]. Hach DRB200 digestion tubes (Naucalpan de Juárez, Estado de México, México) and low and mid-range COD premeasured tubes (0–150 and 0–1500 mgO2 L−1) were used.
2.4. Experimental Design
The investigation into the efficacy of SPEF involved the exploration of operational parameters, specifically the time of electrolysis (Et), initial ACTP concentration (Co ACTP), and applied current density (j). A three-level Box–Behnken design was implemented, including 15 runs, each with 3 replicates, and randomized using a free version of a statistical software. Statistical analysis and modeling of the response variable, namely the degradation rate constant (KC), were carried out using analysis of variance (ANOVA) with a 95% confidence level, Pareto charts, and response surface modeling (RSM).
RSM assessed potential relationships between experimental factors and response variables based on selected criteria and determined optimal operational conditions. Further details regarding this methodology can be found elsewhere [19,35]. The parameter ranges were established by considering preliminary experimental results and information from the literature [19,36] resulting in a time of electrolysis ranging from 30 to 90 min, initial ACTP concentration from 10 to 30 mg L−1, and applied current density from 20 to 60 mA cm−2. Other variables were maintained at constant conditions, including supporting electrolyte concentration, volume, pH, and Fe2+ concentration.
RSM involved adjusting experimental results to a second-order multivariable polynomial model for analysis:
where β0, βi, βii, and βij are the regression coefficients for the intercept, linear, square, and interaction terms, respectively; Yi is the response variable, and xi and xj are independent variables [24,27,29,32,36]. The models’ quality and prediction capacity were evaluated based on the variation coefficient of determination (R2).
3. Results and Discussion
3.1. Effect of Applied Current Density
The current density (j) proved to be one of the most influential parameters affecting process efficiency and the kinetic degradation constant. An increase in j led to an enhanced generation rate of oxidizing radicals (such as •OH), both at the surface of the BDD anode (adsorbed M(•OH) species) and in the bulk solution, due to Fenton-type reactions in the presence of Fe2+ and cathodic generation of H2O2 in EF/SPEF processes. In our direct EO experiments using BDD/Graphite electrodes (without Fe2+ addition), increasing j from 20 to 60 mA cm−2 significantly accelerated the removal of 10 mg L−1 ACTP. For instance, at j = 60 mA cm−2, ~92% degradation was achieved in 50 min, compared to only ~80% at j = 20 mA cm−2, and in the SPEF process, we obtain a 90% and 99% degradation in 50 min with 20 and 60 mA cm−2, respectively (see Figure 2). Accordingly, the pseudo-first-order rate constant ranged from ~0.0360 min−1 (at 20 mA cm−2) to ~0.0545 min−1 (at 60 mA cm−2) in the EO process and 0.0526 (at 20 mA cm−2) to 0.0835 (at 60 mA cm−2) for the SPEF process. This notable enhancement can be attributed to the increased formation of oxidizing species with higher current density.

Figure 2.
Applied current density effect in (a) EO, ACTP 10 mg L−1, 0.5 M Na2SO4, pH 3 (BDD/Graphite), and (b) SPEF, ACTP 10 mg L−1, 0.5 M Na2SO4, pH 3.0, and 0.05 Fe2+ under (BDD/BDD) arrangement.
Furthermore, operating at high current densities in diamond electrodes under acidic sulfate media may promote additional oxidative pathways. Our results suggest that at elevated j values, BDD not only generates more hydroxyl radicals but may also facilitate the formation of secondary oxidizing species, such as sulfate radicals. Previous studies have proposed that stable anodes, such as BDD, can oxidize sulfate ions (SO42−) to peroxydisulfate (S2O82−) at sufficiently high potentials. Although weaker than •OH, the S2O82− species can still contribute to the homogeneous degradation of organic pollutants in solution. The possible generation of peroxydisulfate in our EO trials with 0.5 M Na2SO4 at pH 3.0 could partially explain the enhanced removal of ACTP at higher current densities, in agreement with the prior literature reporting S2O82− formation mediated by hydroxyl radicals at non-active anodes.
3.2. Effect of Initial ACTP Concentration
The initial concentration of the pollutant (C0) is another critical factor influencing degradation performance. Higher degradation percentages and slightly improved kinetic constants were obtained when treating more diluted ACTP solutions, while higher initial concentrations tended to slow down the relative removal rate. For instance, in electro-Fenton (EF) experiments (BDD/BDD, j = 20 mA cm−2, pH 3.0), the degradation percentages after 60 min were approximately 86.2%, 92.8%, and 97.5% for initial ACTP concentrations of 10, 20, and 30 mg L−1, respectively (Figure 3). Accordingly, the apparent pseudo-first-order rate constant decreased as C0 increased, with values of approximately 0.0619, 0.044, and 0.033 min−1, respectively.
Figure 3.
Initial concentration of ACTP effect in EF process, 20 mA cm−2, 0.5 M Na2SO4, pH 3.0, and 0.05 Fe2+, under (BDD/BDD).
This inverse relationship can be attributed to several factors:
(i) At higher concentrations, the same absolute amount of hydroxyl radicals (•OH) results in a lower fractional removal of ACTP, as predicted by pseudo-first-order kinetics.
(ii) More ACTP molecules generate more intermediate byproducts, some of which can act as radical scavengers, competing with the ACTP compound for oxidizing species. Indeed, phenolic intermediates can react rapidly with hydroxyl radicals, reducing the availability of oxidants.
3.3. Effect of Electrolysis Time
Electrolysis time naturally influences the extent of pollutant removal: longer treatment periods allow for higher degradation levels, although the marginal returns tend to decrease over time. In our experiments, treatment times typically extended to 60 or 90 min. Most of ACTP was removed within 30–45 min, particularly during electro-Fenton (EF) and SPEF processes. Extending the reaction time from 60 to 90 min provided additional benefits, mainly in enhanced mineralization (i.e., COD removal).
From a kinetic standpoint, an interesting effect was observed in both EO and EF processes: the apparent pseudo-first-order rate constant calculated using data up to 60 min was slightly higher than that calculated using the full 90 min dataset. This suggests a decrease in the average reaction rate over longer intervals, possibly due to the accumulation of intermediate species that scavenge oxidants or a decline in system reactivity. For example, in EF, the effective concentration of Fe2+ might gradually decrease due to slow precipitation or other side reactions.
In contrast, no such decline was observed in the SPEF process. The COD value at 60 min was nearly identical to that at 90 min (≈0.0395 min−1), indicating that the continuous irradiation sustains oxidant production and prevents passivation effects even at later stages of treatment. These results suggest that for SPEF, 60 min is typically sufficient to remove most of the ACTP, and additional treatment time primarily targets persistent residuals affecting COD rather than significantly increasing the degradation rate.
On the other hand, for EF and EO, extending the treatment duration from 60 to 90 min did improve final removal percentages, although with reduced efficiency, as evidenced by the slight decrease in the sign that degradation reactions slow down as the process progresses.
From a process optimization perspective, minimizing the required electrolysis time to meet a target removal efficiency is desirable for energy savings and to preserve electrode longevity. Boron-doped diamond (BDD) electrodes have a finite lifespan, which depends on the operational conditions. Prior studies by our group [31,37] estimated a median lifetime of approximately 782 h for BDD electrodes operated at current densities between 10 and 50 mA cm−2. Thus, a single 90 min experiment conducted at 60 mA cm−2 consumes less than 0.2% of the estimated electrode lifespan, suggesting that the treatment durations employed in this study (≤90 min) are safe and do not significantly compromise electrode integrity.
3.4. Reaction Order and Kinetic Constants
The ACTP concentration profiles as a function of time, determined by HPLC, were fitted to kinetic models of various orders. In all cases, the degradation of ACTP followed a pseudo-first-order kinetic model concerning its concentration. This was evidenced by the linear behavior of the plots versus time (Figure 4), which yielded correlation coefficients (R2) typically between 0.97 and 0.99.
Figure 4.
Degradation constant rate of different oxidation processes, ■ Electro-Oxidation (EO), ■ Electro-Fenton (EF), and ■ Photo-Electro-Fenton (PEF).
The apparent kinetic constants varied depending on the operational parameters (electrochemical process, current density, initial concentration, etc.) and ranged from approximately 0.036 to 0.084 min−1. Specifically, for the electrochemical degradation of ACTP (30 mg L−1, pH 3.0, 0.5 M Na2SO4) at different current densities (20–60 mA cm−2), values between 0.036 and 0.0545 min−1 were obtained. This broad range highlights the influence of process variables on reaction rate.
The pseudo-first-order behavior suggests that, under our experimental conditions, the concentration of oxidizing radicals (e.g., •OH) remains approximately constant during most of the treatment period, indicating a mass-transport-controlled regime. Consequently, the degradation rate of ACTP is proportional to its residual concentration throughout this phase of the reaction.
3.5. Comparison Between EO, EF, and SPEF Processes
The results establish a clear efficiency hierarchy among the studied electrochemical processes: SPEF > EF > EO. This trend was consistently observed across reaction rates (kinetic constants), ACTP removal percentages, and COD reduction.
For instance, under identical operating conditions (pH 3.0, 30 mg L−1 ACTP, j = 20 mA cm−2, 60 min), the SPEF process achieved up to ~97% ACTP removal in 60 min, compared to ~90.6% with EF and ~82.9% with EO. The corresponding kinetic constants were 0.084 min−1 (SPEF), 0.0619 min−1 (EF), and 0.045 min−1 (EO), indicating that the oxidation rate in SPEF was nearly twice that of EF and almost three times that of EO. Similarly, COD removal was higher with SPEF: ~78% mineralization was achieved in 60 min under SPEF conditions, compared to typical values of 50–60% for EF and <50% for EO under similar starting conditions (based on our COD data and the extrapolated literature values).
The superior performance of SPEF stems from the synergistic action of multiple oxidative mechanisms operating simultaneously:
(i) Direct anodic oxidation at the BDD electrode, which produces highly reactive adsorbed hydroxyl radicals (BDD(•OH)) at the electrode surface (heterogeneous oxidation);
(ii) Electro-Fenton oxidation, in which dissolved oxygen is electrochemically reduced at the cathode (graphite or BDD) to generate H2O2 in situ, which in the presence of catalytic Fe2+ yields homogeneous •OH radicals in solution;
(iii) UV/solar photoactivation enhances degradation through multiple pathways: direct photolysis of conjugated intermediates, photocatalytic degradation of Fe3-organic complexes, and photoreduction of Fe3+ to regenerate Fe2+, maintaining the Fenton cycle via light-assisted reactions.
In our SPEF trials, the inclusion of solar UV radiation markedly accelerated the degradation rate of ACTP compared to equivalent systems without irradiation. Solar light promoted the photoreduction of Fe3+ to Fe2+ (via Fe(OH)2+ and aqueous Fe3+ complexes), maintaining the catalytic cycle and preventing Fe(III) accumulation. Additionally, solar irradiation facilitated the photodegradation of aromatic intermediates, such as quinones, which absorb UV and can be photoconverted to more easily oxidizable carboxylic acids. As a net effect, SPEF led to faster ACTP removal, improved mineralization, and reduced accumulation of colored intermediates compared to EF or EO.
These findings align with previous studies showing that photo-Fenton (solar or UV) outperforms dark Fenton and simple electrochemical oxidation. For example, ref. [33] photo-Fenton was the most effective among various AOPs tested for ACTP degradation, consistently achieving >90% removal where other processes fell short.
Regarding the comparison between EF and EO, our results demonstrate the advantage of incorporating the Fenton system into the electrochemical treatment. EF outperformed EO in both degradation and mineralization. This is attributed to the dual-pathway oxidation in EF, which involves heterogeneous anodic oxidation at BDD (similar to EO) and homogeneous oxidation via radicals generated within the bulk solution. In direct EO, degradation relies exclusively on surface-generated hydroxyl radicals and secondary electrochemical oxidants (e.g., persulfates). While BDD is a powerful electrode material, mass transport of pollutants to the surface may limit the overall rate (diffusion control), and some intermediates may not be effectively oxidized solely at the interface.
Conversely, EF enables the generation of •OH throughout the solution volume (via H2O2 + Fe2+), allowing for efficient bulk-phase degradation of parent compounds and soluble intermediates that may not reach the anode. As a result, EF demonstrated higher reaction rates and more complete mineralization than EO under identical conditions, as reflected by our measurements (%COD SPEF, %COD EF > %COD EO). The literature consistently supports this trend. For instance, ref. [38] demonstrated that anodic oxidation alone using a Ti4O7 electrode achieved complete ACTP degradation but resulted in lower mineralization (~19% TOC removal), highlighting the persistence of oxidation-resistant byproducts. In contrast, the integration of electro-Fenton conditions significantly enhanced both degradation kinetics and mineralization yield (~44%), confirming that combining homogeneous and heterogeneous oxidation pathways is more effective in addressing stable intermediates such as p-benzoquinone and short-chain carboxylic acids.
3.6. HPLC Analysis
A high-performance liquid chromatography (HPLC) method with UV detection was developed and optimized to enable more specific monitoring of ACTP and the formation of intermediate byproducts. HPLC analysis of a standard mixture containing ACTP, catechol (CAT), and phenol (PHE), each at 15 mg L−1, was performed, obtaining well-defined and non-overlapping peaks.
In untreated samples, only the ACTP peak was observed. In contrast, treated samples, particularly those subjected to the more aggressive SPEF processes, showed an almost complete disappearance of the ACTP peak, indicating high conversion efficiency. Simultaneously, the transient formation of phenol and catechol was detected in chromatograms of samples collected at intermediate reaction times (Figure 5). These intermediates appeared in moderate concentrations, reached a relative maximum during mid-treatment, and then declined, suggesting they were further oxidized by the advanced oxidation processes (AOPs). This behavior indicates that phenol and catechol act as degradable intermediates: formed from ACTP, temporarily accumulated, and ultimately removed upon prolonged treatment, especially under the more oxidative SPEF conditions involving solar UV radiation.
Figure 5.
The time course of the evolution of intermediates during the decrease in 10 mg L−1 of ACTP. Catechol (■) and Phenol (●), under SFEP processes.
The identification of catechol and phenol agrees with the literature on ACTP degradation. Previous studies on advanced oxidation have reported the formation of hydroxylated aromatic compounds as key intermediates. For example, Periyasamy group [39] reported that electro-oxidation of ACTP using graphite anodes primarily yields hydroquinone (1,4-dihydroxybenzene) and benzoquinone, while other studies have also detected 4-aminophenol and aniline in partially treated water. In our case, the HPLC method was sensitive to phenol and catechol. However, it did not directly detect 4-aminophenol or other derivatives, likely due to the detection wavelengths employed (243 and 475 nm) or because these species were present at very low or transient concentrations.
Nevertheless, the detection of phenol and catechol provides clear evidence of hydroxylation and ring-opening reactions occurring on the aromatic structure of ACTP during treatment. These simpler aromatic species were also eventually degraded, consistent with the significant decrease and eventual disappearance of their HPLC signals at longer electrolysis times (e.g., after 90 min, phenol and catechol peaks were no longer detectable, particularly under SPEF conditions).
3.7. COD Analysis
In general, COD removal was lower than ACTP concentration removal, which was expected due to the formation of refractory organic byproducts during the oxidative process. Under the most oxidative conditions, specifically, in SPEF treatments at j = 60 mA cm−2, [Fe2+] = 0.05 mM, and pH 3.0, mineralization was significant but incomplete. Figure 6 shows that up to ~63.5% of COD was removed after 60 min of a 10 mg L−1 ACTP solution treatment. This indicates that approximately three-quarters of the total organic carbon was converted into CO2 within one hour of SPEF treatment, with the remaining ~22% persisting in solution as resistant organic intermediates.
Figure 6.
Time evolution of the current efficiency index (ICE), energy oxidation index (EOI), and COD removal during a solar photo-electro-Fenton (SPEF) treatment. Experiments were performed at pH 3, current density of 60 mA cm−2, [Fe2+] = 0.05 mM, and [ACTP] = 10 mg L−1.
These findings are consistent with those reported by other researchers. For instance, [40] observed this while working at pH 2.6 with a magnetite catalyst. Total degradation was found in the assays with 500 mL of 100 mg L−1 ACTP with 6 g L−1 catalyst at 60 °C after a long treatment time of 300 min, but TOC was only reduced by 50%. This supports the idea that the complete mineralization of ACTP requires extended treatment times or more aggressive oxidative conditions due to the persistence of relatively stable byproducts.
From the COD decay data in SPEF, mineralization kinetics were fitted to a pseudo-first-order model, as evidenced by the linear plot versus time, with a correlation coefficient of R2 ≈ 0.973. The corresponding apparent rate constant was ≈0.017 min−1. This value is of the same order of magnitude as the degradation constants for ACTP determined by HPLC, though slightly lower, reflecting the slower oxidation rate of intermediate compounds. The pseudo-first-order behavior for COD suggests that overall mineralization is limited by the diffusion of organic molecules to the anodic surface and reaction zone, as commonly observed in electrochemical oxidation using non-active electrodes.
Additionally, based on COD data, the current efficiency index (ICE), specific energy consumption (SEC), and energy oxidation index (EOI) were calculated (Figure 6). Initially, the ICE was relatively high, reaching 5.97 at the beginning of the reaction. This value gradually decreased as the more readily oxidizable compounds were consumed, reaching ~3.2 after 90 min of treatment. The current efficiency decline is consistent with the accumulation of less reactive intermediates and the decrease in substrate concentration, which lowers the fraction of current effectively used in organic oxidation while increasing losses due to parasitic reactions such as oxygen evolution.
Nevertheless, an ICE of 3.2 after 90 min indicates a reasonably good energy utilization toward mineralization. Regarding energy consumption, the process required approximately 0.052 kWh per gram of COD removed after 90 min, which is relatively low for an advanced electrochemical oxidation process. This result highlights the efficiency of the SPEF process, which demonstrated strong oxidative power at a relatively low energy cost compared to alternative treatments.
Comparable mineralization efficiencies have been reported in the literature. For example, in a pilot-scale SPEF system (10 L, 157 mg L−1 ACTP, Pt anode), a current efficiency of ~71% and TOC reduction in ~75% were achieved after 150 min, values that align well with our results when accounting for differences in scale and initial concentration [41].
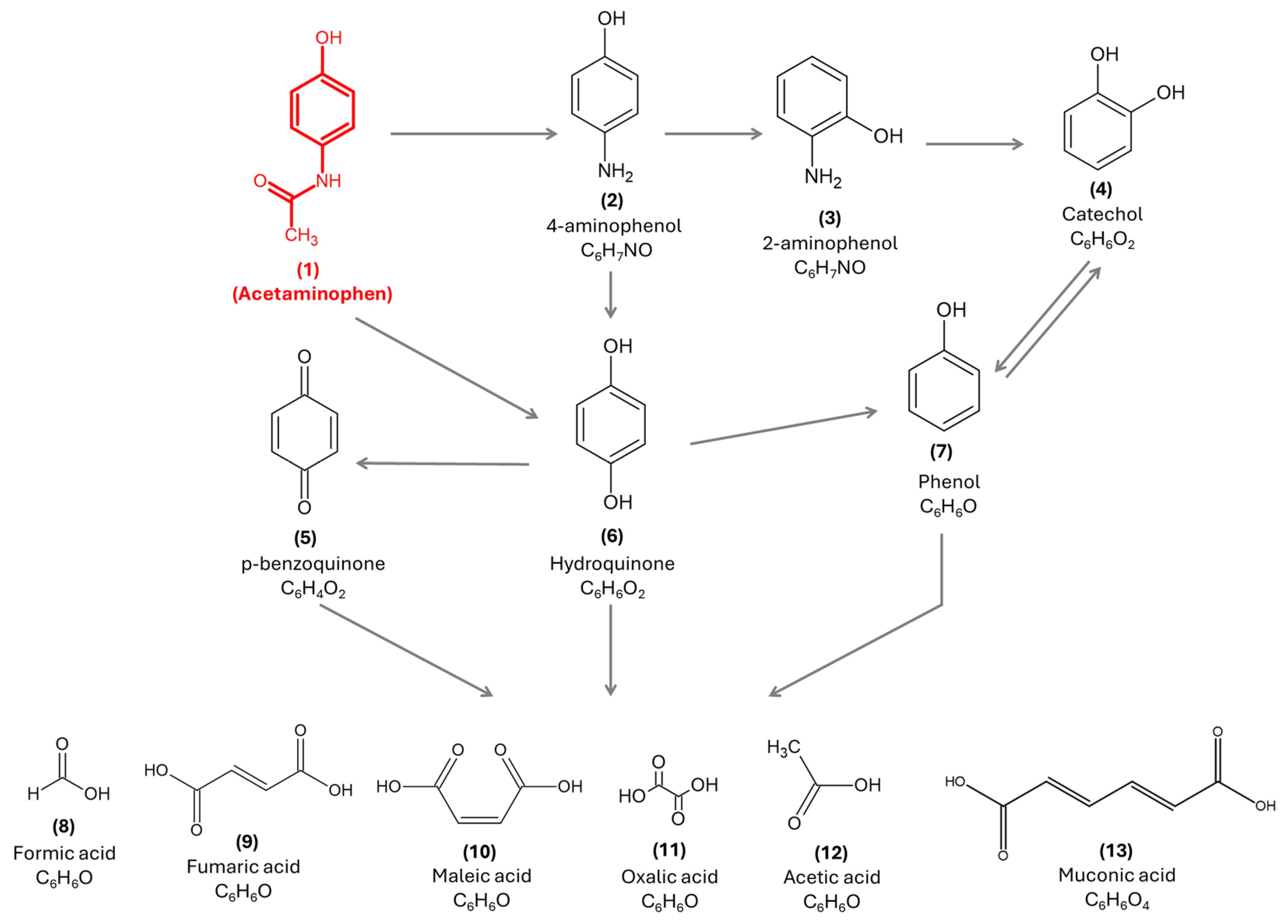
4. Identification of Transformation Products and Proposed Degradation Mechanism
Based on experimental evidence, including HPLC identification of intermediates, voltametric observations, and COD/color changes, a tentative mechanism can be proposed for the advanced electrochemical degradation of ACTP using BDD/Fe2+ electrodes under solar irradiation (Figure 7). In general, ACTP undergoes initial oxidative attacks at both the aromatic ring and the amide group, leading to ring cleavage and the formation of lower-molecular-weight compounds, ultimately resulting in mineralization into CO2, H2O, and oxidized nitrogen species (primarily nitrates).
Figure 7.
Proposed degradation pathway of acetaminophen during the electrochemical advanced oxidation process.
Step 1—Amide cleavage and formation of 4-aminophenol:
A plausible primary pathway is the oxidative cleavage of the amide N–C bond by hydroxyl radicals, either at the nitrogen or the adjacent carbon atom. This leads to the formation of 4-aminophenol (2) (PAP) and acetic acid. Although PAP (2) was not directly detected by our HPLC setup (possibly due to its rapid conversion or detector limitations), it has been reported in Fenton-based ACTP degradation, often alongside aniline. Therefore, we assume that part of the ACTP is transiently converted to PAP (2).
Step 2—Aromatic hydroxylation and formation of hydroquinone/catechol:
•OH radicals further hydroxylate the ACTP (1) (or PAP (2)) aromatic ring. Two main routes are possible:
(a) Para-hydroxylation leads to hydroquinone (1,4-dihydroxybenzene) (6) if the amino group is replaced by –OH.
(b) Ortho-hydroxylation yields catechol (1,2-dihydroxybenzene) (4), either from phenol or via transformation of 2-aminophenol (3) (from PAP).
Our HPLC data confirmed the presence of catechol (4) and phenol (7), suggesting that both aromatic deamination and hydroxylation occurred. The presence of phenol (7) implies the complete loss of the para-substituent (–NHCOCH3 or –NH2), possibly through formation and subsequent oxidation of aniline. Aniline yields phenol (7) through oxidative deamination (–NH2 → –OH + NH4+). Catechol (4) is likely formed via ortho-hydroxylation of phenol (7), whereas hydroquinone (6) may arise from para-hydroxylation. Although hydroquinone (6) was not explicitly detected in our chromatograms, it may have rapidly converted to benzoquinone (5) or coeluted with catechol (4), preventing its precise identification.
Step 3—Ring-opening and formation of organic acids:
Once phenolic derivatives (catechol (4), hydroquinone (6)) or p-benzoquinone (5) form, the benzene ring becomes more susceptible to further oxidative cleavage. •OH radicals can open the ring, forming oxygenated open-chain compounds, typically short-chain dicarboxylic acids such as oxalic (11), maleic (10), fumaric (9), acetic (12), and formic acids (8). While we did not specifically identify these acids by HPLC (which would require ion chromatography or LC-MS), the significant COD removal observed, especially in SPEF, suggests their formation. These acids form in ACTP degradation and can chelate Fe3+, inhibiting Fenton reactions if they accumulate. However, UV irradiation in SPEF promotes the photodegradation of Fe3+-carboxylate complexes, regenerating Fe2+ and enabling continued oxidation. This contributes to the higher mineralization observed in SPEF than in EF or EO.
We postulate that catechol (4) and hydroquinone (6) are sequentially oxidized to ortho and p-benzoquinone (5), respectively, then to maleic (10)/muconic (13) acid derivatives, and, finally, to oxalic (11), formic (8), and acetic acids (12), eventually yielding CO2 and H2O. This cascade of reactions is consistent with the ~78% COD removal observed in SPEF and the previous literature reports, indicating 70–80% mineralization and nitrogen predominantly converted to nitrate (NO3−).
Fate of nitrogen:
The nitrogen atom in ACTP and its derivatives (PAP, aniline) can undergo various oxidative transformations. Under strongly oxidative aerobic conditions, conversion to nitrate (NO3−) is typically favored. Although nitrates were not quantified in our study, previous work has shown 50–100% N to NO3− conversion, depending on the process. The oxidative strength of BDD and high •OH flux strongly support this pathway. A minor fraction may have formed NH4+ via incomplete oxidation, but this, too, can be further oxidized to NO3− under excess •OH. Volatilization of nitrogen as NOx gases was unlikely, as no odor or visible release was noted. Thus, it is reasonable to assume that most nitrogen was mineralized to aqueous nitrate.
This proposed mechanism aligns well with the experimental findings. The initial formation of 4-aminophenol and/or aniline explains the need for sufficient oxidant, as these species can slow degradation. The confirmed presence of catechol (4) and phenol (7) validates the aromatic degradation pathways. Previous HPLC-MS studies have reported up to seven aromatic intermediates, including hydroxylated compounds and quinones, supporting the complex degradation pathway described here. Each oxidation step increases polarity and decreases molecular weight, consistent with the staged COD decay observed in our experiments; quick at early times, and slower at later stages due to increasingly recalcitrant intermediates.
5. Optimization via Experimental Design
Results of the regression analysis were presented for MMO and BDD anodes, providing expressions for the discoloration rate degradation of ACTP.
The Box–Behnken design results for SPEF showed KC values ranging from ~0.016 to 0.084 min−1 depending on the factors tested. ANOVA analysis revealed that initial concentration and current density were the most influential variables, followed by some second-order interactions. At the same time, electrolysis time had a less pronounced effect within the studied range. At least five terms were found to be statistically significant (p < 0.05) concerning KC.
The fitted quadratic model explained ~97.47% of the variability in the kinetic constant (R2 = 0.9747), with an adjusted R2 = 0.9409, indicating excellent fit and minimal overfitting. This confirms that a response surface methodology (RSM) approach is well-suited to describe the behavior of KC as a function of operational parameters in the SPEF process.
Figure 8.
Response surface (left) and contour plot (right) showing the effect of current density and electrolysis time on the kinetic degradation constant during the SPEF process, at a fixed ACTP concentration of 20 mg L−1.
Figure 9.
Estimated response surface (left) and corresponding contour plot (right) illustrating the effect of electrolysis time and initial ACTP concentration on the kinetic degradation constant during the SPEF process at a fixed current density of 40 mA cm−2.
(1) Higher current densities and lower initial concentrations resulted in higher kinetic constants, with surfaces ascending toward the high-j, low-C0 corner.
(2) The effect of electrolysis time was neither linear nor monotonic: increasing the duration from 30 to ~60 min enhanced KC, but beyond ~60–75 min, the benefit plateaued or slightly declined, at least in the absence of light. However, under continuous solar irradiation (as in SPEF), time ceased to be a limiting factor once a threshold was reached. This is consistent with our experimental observations, which showed that 60 min was generally sufficient to maximize the reaction rate in SPEF, and longer times did not significantly increase KC.
Pareto analysis confirmed that quadratic terms (e.g., C02) and interaction terms such as concentration × current (BC) also played significant roles (Figure 10). These effects reflect the curvature of the response surface, possibly due to saturation effects at very high current densities or very low initial concentrations.
Figure 10.
Standardized Pareto chart showing the effects of process variables and their interactions on the kinetic degradation constant in the SPEF process.
By applying the desirability function to maximize KC, an optimal parameter set was identified with a desirability value close to 1 (0.9998). The optimal conditions corresponded to approximately 89–90 min, 10 mg L−1 of ACTP, and 60 mA cm−2, with a predicted kinetic constant of COD ≈ 0.062 min−1. Notably, while the model suggests an optimum slightly above 60 min, the incremental increase in KC beyond 60 min is marginal (from 0.058 to 0.072 min−1). Thus, 60 min can be practically chosen as the treatment time in SPEF to save energy while accepting a negligible reduction in KC. The optimal prediction was validated experimentally, yielding KC values close to the model predictions and within the 95% confidence interval.
6. Conclusions
This study confirms that the solar photo-electro-Fenton (SPEF) process is a highly efficient and sustainable electrochemical technology for the removal of acetaminophen (ACTP) from aqueous media. Compared to electro-oxidation (EO) and electro-Fenton (EF), SPEF exhibited superior degradation and mineralization performance, achieving up to 97% ACTP removal and 78% COD reduction within 90 min under optimized operational conditions (current density = 60 mA cm−2, [Fe2+] = 0.05 mM, pH 3.0). Kinetic analysis revealed pseudo-first-order behavior, and the Box–Behnken design highlighted the initial pollutant concentration and current density as key process parameters.
The identification of phenol and catechol as primary intermediates via HPLC analysis supported a degradation pathway involving hydroxylation, aromatic ring cleavage, and progressive oxidation to low-molecular-weight acids. Importantly, the use of natural solar irradiation in SPEF enhanced oxidant regeneration and intermediate breakdown, significantly improving energy efficiency (~0.052 kWh gCOD−1).
These findings demonstrate the potential of SPEF as a cost-effective, environmentally friendly alternative for the treatment of pharmaceutical contaminants, especially in decentralized or resource-constrained regions. The integration of solar energy into electrochemical advanced oxidation not only improves process performance but also aligns with sustainable engineering principles, offering a scalable solution for the remediation of emerging pollutants in water treatment applications.
Author Contributions
S.H.-C. (Research, data analysis, and review and editing), S.G. (Review and editing), M.A.S. (Review and editing), E.B. (Conceptualization, and review and editing), M.P.-Á. (Writing, review, editing, and conceptualization), J.M.P.-H. (Writing, review, conceptualization, data analysis, and project management). All authors have read and agreed to the published version of the manuscript.
Funding
This work is supported by the CONAHCYT National Laboratory for Water Science and Technology (LNCyTA), number 101, as the National Laboratory for Conahcyt.
Data Availability Statement
The original contributions presented in this study are included in the article. Further inquiries can be directed to the corresponding author.
Conflicts of Interest
The authors declare no conflicts of interest.
References
- Cabrera Reina, A.; Santos-Juanes Jordá, L.; García Sánchez, J.L.; Casas López, J.L.; Sánchez Pérez, J.A. Modelling photo-Fenton process for organic matter mineralization, hydrogen peroxide consumption and dissolved oxygen evolution. Appl. Catal. B Environ. 2012, 119–120, 132–138. [Google Scholar] [CrossRef]
- Carrasco-Díaz, M.R.; Castillejos-López, E.; Cerpa-Naranjo, A.; Rojas-Cervantes, M.L. Efficient removal of paracetamol using LaCu1−xMxO3 (M = Mn, Ti) perovskites as heterogeneous Fenton-like catalysts. Chem. Eng. J. 2016, 304, 408–418. [Google Scholar] [CrossRef]
- Costa, E.P.; Roccamante, M.; Plaza-Bolaños, P.; Oller, I.; Agüera, A.; Amorim, C.C.; Malato, S. Aluminized surface to improve solar light absorption in open reactors: Application for micropollutants removal in effluents from municipal wastewater treatment plants. Sci. Total Environ. 2021, 755, 142624. [Google Scholar] [CrossRef]
- Khumalo, S.M.; Makhathini, T.P.; Bwapwa, J.K.; Bakare, B.F.; Rathilal, S. The occurrence and fate of antibiotics and nonsteroidal anti-inflammatory drugs in water treatment processes: A review. J. Hazard. Mater. Adv. 2023, 10, 100330. [Google Scholar] [CrossRef]
- Vo Phong, H.N.; Le, G.K.; Nguyen, T.M.H.; Bui, X.-T.; Nguyen, K.H.; Rene, E.R.; Vo, T.D.H.; Cao, N.-D.T.; Mohan, R. Acetaminophen micropollutant: Historical and current occurrences, toxicity, removal strategies and transformation pathways in different environments. Chemosphere 2019, 236, 124391. [Google Scholar] [CrossRef]
- Lee, W.J.; Goh, P.S.; Lau, W.J.; Ismail, A.F. Removal of Pharmaceutical Contaminants from Aqueous Medium: A State-of-the-Art Review Based on Paracetamol. Arab. J. Sci. Eng. 2020, 45, 7109–7135. [Google Scholar] [CrossRef]
- Jiménez-Bambague, M.E.; Cuervo Lumbaque, E.; Lumbaque, C.; Sergienko, N.; Radjenović, J. Advanced Oxidation Process-Mediated Removal of Pharmaceuticals from Water: A Review of Recent Advances. Environ. Sci. Pollut. Res. 2025, 32, 36547–36565. [Google Scholar] [CrossRef]
- Su, C.C.; Chang, A.T.; Bellotindos, L.M.; Lu, M.C. Degradation of acetaminophen by Fenton and electro-Fenton processes in aerator reactor. Sep. Purif. Technol. 2012, 99, 8–13. [Google Scholar] [CrossRef]
- Chu, Y.; Liu, C.; Wang, R.; Chen, H. Development of heterogeneous electro-Fenton process with immobilized FeWO4 catalyst for degradation of tetracycline and crude-oil tank cleaning wastewater. Chem. Eng. J. 2023, 465, 142964. [Google Scholar] [CrossRef]
- Durán, A.; Monteagudo, J.M.; Carnicer, A.; Ruiz-Murillo, M. Photo-Fenton mineralization of synthetic municipal wastewater effluent containing acetaminophen in a pilot plant. Desalination 2011, 270, 124–129. [Google Scholar] [CrossRef]
- Frigulio, M.A.P.; Valério, A.S.; Forti, J.C. An Overview of Electrochemical Advanced Oxidation Processes for Pesticide Removal. Processes 2025, 13, 2227. [Google Scholar] [CrossRef]
- Comninellis, C.; Kapalka, A.; Malato, S.; Parsons, S.A.; Poulios, I.; Mantzavinos, D. Advanced oxidation processes for water treatment: Advances and trends for R&D. J. Chem. Technol. Biotechnol. 2008, 83, 769–776. [Google Scholar] [CrossRef]
- Fu, F.; Wang, Q.; Tang, B. Effective degradation of, C.I. Acid Red 73 by advanced Fenton process. J. Hazard. Mater. 2010, 174, 17–22. [Google Scholar] [CrossRef] [PubMed]
- Huang, C.P.; Dong, C.; Tang, Z. Advanced chemical oxidation: Its present role and potential future in hazardous waste treatment. Waste Manag. 1993, 13, 361–377. [Google Scholar] [CrossRef]
- Oller, I.; Malato, S.; Sánchez-Pérez, J.A. Combination of Advanced Oxidation Processes and biological treatments for wastewater decontamination-A review. Sci. Total Environ. 2011, 409, 4141–4166. [Google Scholar] [CrossRef]
- Zhu, X.; Ni, J.; Lai, P. Advanced treatment of biologically pretreated coking wastewater by electrochemical oxidation using boron-doped diamond electrodes. Water Res. 2009, 43, 4347–4355. [Google Scholar] [CrossRef]
- Attri, P.; Garg, S.; Ratan, J.K.; Giri, A.S. Comparative study using advanced oxidation processes for the degradation of model dyes mixture: Reaction kinetics and biodegradability assay. Mater. Today Proc. 2022, 57, 1533–1538. [Google Scholar] [CrossRef]
- GilPavas, E.; Dobrosz-Gómez, I.; Gómez-García, M.Á. Optimization of solar-driven photo-electro-Fenton process for the treatment of textile industrial wastewater. J. Water Process Eng. 2018, 24, 49–55. [Google Scholar] [CrossRef]
- Sánchez-Montes, I.; Salmerón, I.; Aquino, J.M.; Polo-López, M.I.; Malato, S.; Oller, I. Solar-driven free chlorine advanced oxidation process for simultaneous removal of microcontaminants and microorganisms in natural water at pilot-scale. Chemosphere 2022, 288, 132493. [Google Scholar] [CrossRef]
- Lozano, I.; Cervantes-Avilés, P.; Keller, A.; López Aguilar, C. Removal of pharmaceuticals and personal care products from wastewater via anodic oxidation and electro-Fenton processes: Current status and needs regarding their application. Water Sci. Technol. 2023, 88, 1143–1154. [Google Scholar] [CrossRef]
- Shu, Y.; Hu, M.; Zhou, M.; Yin, H.; Liu, P.; Zhang, H.; Zhao, H. Emerging electrocatalysts for electrochemical advanced oxidation processes (EAOPs): Recent progress and perspectives. Mater. Chem. Front. 2023, 7, 2528–2553. [Google Scholar] [CrossRef]
- Malato, S.; Fernández-Ibáñez, P.; Maldonado, M.I.; Blanco, J.; Gernjak, W. Decontamination and disinfection of water by solar photocatalysis: Recent overview and trends. Catal. Today 2009, 147, 1–59. [Google Scholar] [CrossRef]
- Alalm, M.G.; Tawfik, A.; Ookawara, S. Degradation of four pharmaceuticals by solar photo-Fenton process: Kinetics and costs estimation. J. Environ. Chem. Eng. 2015, 3, 46–51. [Google Scholar] [CrossRef]
- Zhang, H.; Ran, X.; Wu, X.; Zhang, D. Evaluation of electro-oxidation of biologically treated landfill leachate using response surface methodology. J. Hazard. Mater. 2011, 188, 261–268. [Google Scholar] [CrossRef] [PubMed]
- GilPalvas, E.; Gómez, C.M.; Rynkowski, J.M.; Dobrosz-Gómez, I.; Gómez-García, M.Á. Decolorization and mineralization of yellow 5 (E102) by UV/Fe2+/H2O2 process. Optimization of the operational conditions by response surface methodology. Comptes Rendus Chim. 2015, 18, 1152–1160. [Google Scholar] [CrossRef]
- Cruz-González, K.; Torres-Lopez, O.; García-León, A.M.; Brillas, E.; Hernández-Ramírez, A.; Peralta-Hernández, J.M. Optimization of electro-Fenton/BDD process for decolorization of a model azo dye wastewater by means of response surface methodology. Desalination 2012, 286, 63–68. [Google Scholar] [CrossRef]
- El-Ghenymy, A.; Garcia-Segura, S.; Rodríguez, R.M.; Brillas, E.; El Begrani, M.S.; Abdelouahid, B.A. Optimization of the electro-Fenton and solar photoelectro-Fenton treatments of sulfanilic acid solutions using a pre-pilot flow plant by response surface methodology. J. Hazard. Mater. 2012, 221–222, 288–297. [Google Scholar] [CrossRef]
- GilPavas, E.; Medina, J.; Dobrosz-Gómez, I.; Gómez-García, M.A. Statistical optimization of industrial textile wastewater treatment by electrochemical methods. J. Appl. Electrochem. 2014, 44, 1421–1430. [Google Scholar] [CrossRef]
- Ferreira, S.L.C.; Bruns, R.E.; Ferreira, H.S.; Matos, G.D.; David, J.M.; Brandão, G.C.; da Silva, E.G.P.; Portugal, L.A.; dos Reis, P.S.; Souza, A.S.; et al. Box-Behnken design: An alternative for the optimization of analytical methods. Anal. Chim. Acta 2007, 597, 179–186. [Google Scholar] [CrossRef]
- Villaseñor-Basulto, D.L.; Picos-Benítez, A.; Pacheco-Alvarez, M.; Pérez, T.; Bandala, E.R.; Peralta-Hernández, J.M. Tannery wastewater treatment using combined electrocoagulation and electro-Fenton processes. J. Environ. Chem. Eng. 2022, 10. [Google Scholar] [CrossRef]
- Bravo-Yumi, N.P.; Espinoza-Montero, P.; Brillas, E.; Peralta-Hernández, J.M. Electrochemical abatement of atrazine solutions using an undivided stirred tank cell with pt or BDD anode. J. Mex. Chem. Soc. 2018, 62, 295–304. [Google Scholar] [CrossRef]
- Midassi, S.; Bedoui, A.; Bensalah, N. Efficient degradation of chloroquine drug by electro-Fenton oxidation: Effects of operating conditions and degradation mechanism. Chemosphere 2020, 260, 127558. [Google Scholar] [CrossRef]
- do Nascimento, G.E.; Oliveira, M.A.S.; da Rocha Santana, R.M.; Ribeiro, B.G.; Sales, D.C.S.; Rodríguez-Díaz, J.M.; Napoleão, D.C.; Sobrinho, M.A.d.M.; Duarte, M.M.M.B. Investigation of paracetamol degradation using LED and UV-C photo-reactors. Water Sci. Technol. 2020, 81, 2545–2558. [Google Scholar] [CrossRef]
- Standard Methods Committee of the American Public Health Association; American Water Works Association; Water Environment Federation. Part 4000 inorganic nonmetallic constituents of water and wastewater. In Standard Methods for the Examination of Water and Wastewater; Lipps, W.C., Baxter, T.E., Braun-Howland, E., Eds.; APHA Press: Washington, DC, USA, 1999; Available online: https://www.standardmethods.org/doi/10.2105/SMWW.2882.067 (accessed on 20 July 2025).
- Das, A.K.; Chen, L. A Review on Electrochemical Advanced Oxidation Treatment of Dairy Wastewater. Environments 2024, 11, 124. [Google Scholar] [CrossRef]
- Pacheco-Álvarez, M.O.A.; Bravo-Yumi, N.; Oller, I.; Peralta-Hernández, J.M. Solar-photoelectro-Fenton process as a cost-efficient alternative for removal of industrial dyes in sulfate and chloride media: Pilot scale evaluation. Appl. Catal. O Open 2025, 202, 207037. [Google Scholar] [CrossRef]
- Pacheco-Álvarez, M.O.A.; Serrano-Torres, O.; Kadier, A.; Brillas, E.; Peralta-Hernández, J.M. Some approximations on the effect of the supporting electrolyte towards electrochemical advanced oxidation degradation of Reactive Orange 84 (RO84). J. Electroanal. Chem. 2023, 943, 117626. [Google Scholar] [CrossRef]
- Olvera-Vargas, H.; Rouch, J.C.; Coetsier, C.; Cretin, M.; Causserand, C. Dynamic cross-flow electro-Fenton process coupled to anodic oxidation for wastewater treatment: Application to the degradation of acetaminophen. Sep. Purif. Technol. 2018, 203, 143–151. [Google Scholar] [CrossRef]
- Periyasamy, S.; Muthuchamy, M. Electrochemical oxidation of paracetamol in water by graphite anode: Effect of pH, electrolyte concentration and current density. J. Environ. Chem. Eng. 2018, 6, 7358–7367. [Google Scholar] [CrossRef]
- Velichkova, F.; Julcour-Lebigue, C.; Koumanova, B.; Delmas, H. Heterogeneous Fenton oxidation of paracetamol using iron oxide (nano)particles. J. Environ. Chem. Eng. 2013, 1, 1214–1222. [Google Scholar] [CrossRef]
- Almeida, L.C.; Garcia-Segura, S.; Bocchi, N.; Brillas, E. Solar photoelectro-Fenton degradation of paracetamol using a flow plant with a Pt/air-diffusion cell coupled with a compound parabolic collector: Process optimization by response surface methodology. Appl. Catal. B 2011, 103, 21–30. [Google Scholar] [CrossRef]
Disclaimer/Publisher’s Note: The statements, opinions and data contained in all publications are solely those of the individual author(s) and contributor(s) and not of MDPI and/or the editor(s). MDPI and/or the editor(s) disclaim responsibility for any injury to people or property resulting from any ideas, methods, instructions or products referred to in the content. |
© 2025 by the authors. Licensee MDPI, Basel, Switzerland. This article is an open access article distributed under the terms and conditions of the Creative Commons Attribution (CC BY) license (https://creativecommons.org/licenses/by/4.0/).