Next Article in Journal
Photolysis, Photocatalysis, and Sorption of Caffeine in Aqueous Media in the Presence of Chitosan Membrane and Chitosan/TiO2 Composite Membrane
Next Article in Special Issue
Solid Oxide Electrolyzers Process Integration: A Comprehensive Review
Previous Article in Journal
A Transient Combustion Study in a Brick Kiln Using Natural Gas as Fuel by Means of CFD
Previous Article in Special Issue
Study of Energy Distribution in a Photovoltaic Park in Tulcea County, Romania
 
 
Font Type:
Arial Georgia Verdana
Font Size:
Aa Aa Aa
Line Spacing:
Column Width:
Background:
Article

A Vulnerability Identification Method for Distribution Networks Integrating Fuzzy Local Dimension and Topological Structure

1
School of Automation, Wuhan University of Technology, Wuhan 430070, China
2
Beijing Panzi Electric Co., Ltd., Haidian, Beijing 100000, China
3
College of Electrical Engineering, Northwest Minzu University, Lanzhou 730124, China
*
Author to whom correspondence should be addressed.
Processes 2025, 13(8), 2438; https://doi.org/10.3390/pr13082438
Submission received: 17 June 2025 / Revised: 12 July 2025 / Accepted: 15 July 2025 / Published: 1 August 2025

Abstract

As the scale of shipboard power systems expands, their vulnerability becomes increasingly prominent. Identifying vulnerable points in ship power grids is essential for enhancing system stability, optimizing overall performance, and ensuring safe navigation. To address this issue, this paper proposes an algorithm based on fuzzy local dimension and topology (FLDT). The algorithm distinguishes contributions from nodes at different radii and within the same radius to a central node using fuzzy sets, and then derives the final importance value of each node by combining the local dimension and topology. Experimental results on nine datasets demonstrate that the FLDT algorithm outperforms degree centrality (DC), closeness centrality (CC), local dimension (LD), fuzzy local dimension (FLD), local link similarity (LLS), and mixed degree decomposition (MDD) algorithms in three metrics: network efficiency (NE), largest connected component (LCC), and monotonicity. Furthermore, in a ship power grid experiment, when 40% of the most important nodes were removed, FLDT caused a network efficiency drop of 99.78% and reduced the LCC to 2.17%, significantly outperforming traditional methods. Additional experiments under topological perturbations—including edge addition, removal, and rewiring—also show that FLDT maintains superior performance, highlighting its robustness to structural changes. This indicates that the FLDT algorithm is more effective in identifying and evaluating vulnerable points and distinguishing nodes with varying levels of importance.

1. Introduction

With the increase in the amount of ship equipment and the expansion of the power grid’s scale, its energy management technology and load control technology are also developing, which puts forward higher requirements for the actual operation. At the same time, with the increasing automation of ship electrics, the complexity and variability of the topology and the load types make power systems more and more demanding in terms of power quality [1,2]. Unlike land-based power systems, ship-based power systems are typically independent, and the ship can only rely on its power supply system to supply the entire ship’s electrical equipment during navigation [3]. The capacity and redundancy of their generator sets are smaller and more sensitive to faults and damages, so the main task is to ensure a stable, continuous, and reliable power supply [4,5].
However, when expanding in size, the ship’s power grid system also faces a higher risk of system vulnerability to various cyber-attacks or malfunctions, which poses a serious risk to the safe navigation of the ship [6]. Failure of a single component may propagate rapidly along the power grid in a series of chain reactions and eventually lead to the cessation of ship’s navigation or operation. In this process, the topological characteristics of the grid itself often play a critical role.
With the widespread application of complex network theory, an increasing number of studies have begun to focus on the vulnerability analysis of ship power systems. In land-based power grids, complex network-based research has been applied to analyze characteristics such as stability, vulnerability, and cascading failures [7,8,9,10,11]. Similarly, ship power grids can be analyzed using complex network theory by abstracting equipment as nodes and the connections between them as edges to construct the network. Therefore, conducting in-depth topological analyses of ship power grids to identify critical nodes and vulnerabilities has become a key research direction.
Complex network structures permeate various domains of the real world, manifesting in diverse forms such as electrical power grids, transportation systems, and equipment networks. These networks commonly manifest small-world and scale-free attributes, which result in important nodes usually having more connections and greater influence, and their actions and state changes will have important impacts on the function and structure [12,13,14]. Hence, the efficient and precise identification of critical nodes in a ship’s power grid is a hot spot in current research, which can effectively monitor the system operation status and improve the anti-interference ability of ships.
Ships, as a vital mode of transportation, are widely used in human society, and their power systems play a central role in ensuring normal navigation and mission execution. With the increasing complexity of ships’ operating conditions, ships’ electrical systems must adapt to varying demands, while the electrical parameters of shipboard equipment often fluctuate accordingly. These fluctuations may lead to power instability, short circuits, and other operational issues. Such problems not only compromise the stable operation of ship systems but may also result in equipment failure, navigation interruption, and even severe safety issues and economic losses [15,16]. Extensive research has produced various node centrality algorithms, including degree centrality [17], semi-local centrality [18], betweenness centrality [19], closeness centrality [20], K-shell [21], PageRank [22], and H-index [23,24]. While degree centrality is widely used, it struggles to distinguish nodes with the same degree. Similarly, K-shell is easy to compute but cannot differentiate nodes within the same shell. The H-index also suffers from coarse granularity, prompting the development of the K-index for finer node distinction [25].
Despite the development of numerous classical node importance algorithms, traditional methods often fail to fully capture the actual positional differences among nodes, especially in shipboard networks where local topology plays a critical role. Accurate node importance assessment remains challenging yet crucial for understanding network dynamics and optimizing system interventions [26]. To address these limitations, researchers have proposed a range of improved algorithms. For example, Zhong et al. [27] introduced the local degree dimension, considering the dynamics of neighboring nodes, and validated it on six real networks. A node shrinkage method based on network aggregation was developed in [28]. Yang et al. [29] proposed a Tsallis entropy-based approach with a time complexity of O(n2). Reference [30] reformulated key node identification as a regression problem inspired by graph convolutional networks, while Zhang et al. [31] introduced a method based on local fuzzy information.
Within this context, shipboard power systems, as highly coupled and structurally compact independent power supply systems, exhibit particularly pronounced vulnerability issues. Due to limited generator capacity and low structural redundancy, the failure of any critical component may trigger cascading failures, further threatening the overall supply security. Therefore, investigating the vulnerability characteristics of shipboard power systems at the topological structure level and identifying potential vulnerable points is of great significance for enhancing system robustness and operational reliability. Taylor and Hover [32] investigated the robustness of all-electric ships using complex networks and compared them with random networks and scale-free networks. Reference [33] analyzed the characteristics of ship power systems with different structures. Mei et al. [34] studied the vulnerability of ship power systems and evaluated it with largest connected component. Reference [35] used a multi-attribute decision-making method to comprehensively evaluate the ship power grid based on its structural vulnerability and validated it with a ring ship power grid. Du et al. [36] investigated the structural vulnerability of ship power grids concerning their operational characteristics and requirements, and they identified the key components. Tian and Liu [37] proposed a complex network-based method for identifying the source of the fragility of ship power grids, determining the weights of five indicators through the game combination assignment method, obtaining a comprehensive fragility indicator, and verifying it in a typical four-station ship ring power grid. He et al. [38] analyzed the characteristics of ship power networks and applied the complex network in the study of their survivability.
However, these methods still have limitations in ship power grids, which are highly dependent on topological structures and local features. They are unable to accurately capture the differences in node importance, and some algorithms still rely on parameter settings or cannot effectively adapt to the topology of ship power grids when identifying node importance. Therefore, how to accurately identify vulnerable points in ship power grids without additional parameter tuning remains an urgent research gap to be addressed.
To address the aforementioned gaps, this paper focuses on the vulnerability of shipboard power grids. The main contributions are as follows:
(1)
This paper proposes a node importance identification algorithm (FLDT) that integrates local fuzzy dimension and node status difference information. Based on traditional local structural analysis, this method introduces the distance attenuation relationship between nodes and their neighbors of various orders, the heterogeneity of neighbor node degrees, and local topological information. This enables a more precise characterization of the actual influence of nodes within the network, thereby improving the identification of critical nodes.
(2)
To comprehensively evaluate the performance of the proposed method, experiments were conducted on five real-world public networks and four typical artificial network models. FLDT was compared with six mainstream node importance algorithms, and three commonly used evaluation metrics were selected to validate its effectiveness from multiple perspectives.
(3)
The FLDT algorithm does not require external hyperparameters and can perform node ranking and critical node extraction based solely on the network’s own topological information, offering good generalizability and practicality for complex network analysis.
(4)
The proposed method was applied to a shipboard power grid system, and case studies verified its effectiveness in identifying vulnerable nodes and analyzing topological weaknesses.
(5)
The research framework proposed in this paper provides theoretical support and technical reference for the planning, design, operation management, and structural reconfiguration of shipboard power grids, which are of practical significance for improving the operational reliability and anti-interference capability of ship systems.
The structure of the remaining sections is as follows: Section 2 presents the theoretical background, providing a detailed description of the proposed FLDT algorithm and explaining the evaluation metrics. The experimental results are reported in Section 3, while Section 4 is dedicated to detailed discussions and analysis of the main findings. Finally, Section 5 concludes this paper and outlines the directions for future research.

2. Materials and Methods

2.1. Ship Power Grid

The evolution of marine electrical systems has led to an increase in both the quantity and diversity of shipboard loads, resulting in increasingly complex architectures of ship power distribution networks. The integrated power system (IPS) of a ship is the core system that ensures the safe and efficient operation of the vessel. According to the IEEE std. 1709-2018 standard [39], three typical connection configurations are mainly used in IPS distribution systems: the radial structure, which is simple and easy to control; the zonal structure, which enhances power supply reliability and flexibility; and the ring structure, which, although more complex to control, offers higher power supply reliability. Among these, the radial and zonal structures are the main design solutions recommended by the standard.
The selection of the topology for the IPS of a ship directly affects the system’s reliability, economy, and scalability. From a technical perspective, the radial structure excels in simplicity and cost-effectiveness but has limitations in power supply reliability and flexibility in power distribution. The ring structure significantly improves the system’s reliability through closed-loop power supply, but it also increases the complexity of control. The zonal structure, on the other hand, enhances power supply reliability and fault isolation capabilities through an innovative regional management strategy. In practical engineering applications, the choice of topology must be made by considering multiple factors, such as ship type, mission characteristics, load characteristics, cost-effectiveness, and maintainability. For instance, military vessels, due to their high reliability requirements, typically adopt ring or zonal structures, whereas commercial vessels tend to prefer simpler and more cost-effective radial structures.
However, ships’ power systems are prone to many random or deliberate disturbances; therefore, starting from the topology, studying its vulnerability, identifying the vulnerable points in it, and the protection of these systems are crucial for enhancing the reliability of maritime navigation and vessel operations.
Carrying out a vulnerability study requires constructing its equivalent topology. A complex network is used to abstract each device as a node, the connections between devices are represented by edges, and the ship power grid is abstracted as a network G = (V, E), where V denotes the nodes set and E donates the edges set. A denotes the adjacency matrix of G, and Aij = 1 when nodes i and j are connected; otherwise, Aij = 0. After the equivalent model, the statistical characteristics of the ship power grid can be analyzed, which helps to better understand the operational characteristics of the ship’s power grid.

2.2. Complex Network Theory

In the study of complex networks, there are various algorithms to assess the importance of nodes. The following section introduces several comparison algorithms used in this paper.
(1)
Degree centrality (DC) is the number of edges to which a node is directly connected [40]. It is calculated by Equation (1):
D C ( i ) = j = 1 N A i j
(2)
Closeness centrality (CC) is measured by the distance between nodes [20]. It is calculated by Equation (2):
C C ( i ) = N 1 j Γ ( i ) d i j
where Γ(i) is the set of neighboring nodes of node i, and dij is the shortest distance from node i to node j.
(3)
Local link similarity (LLS) reflects the importance of nodes by measuring their topological overlap [41]. The procedure is shown in Equations (3) and (4):
s i m ( b , c ) = | Γ b Γ c | | Γ b Γ c | , b   and   c   no   edge 1 , otherwize
L L S ( i ) = b , c Γ ( i ) ( 1 s i m ( b , c ) )
where |Γ(b)∩Γ(c)| is the number of common neighbors of node b and node c, while |Γ(b)∪Γ(c)| represents all neighbor nodes of node b and node c.
(4)
Mixed degree decomposition (MDD) considers the information of the nodes removed in the K-shell [42]. It is calculated by Equation (5):
M D D ( i ) = k r i + λ k e i
where λ is a tunable parameter of [0,1], and according to [42] it was set to 0.7 in this study; kri and kei are the residual degree and exhausted degree of node I, respectively.
(5)
Local dimension: To represent the local properties of nodes, researchers have proposed the local dimension (LD) to describe the macroscopic properties of nodes [43]. This method obtains different properties by different radii r. Related studies have shown that many networks follow a power-law distribution, which implies that the relationship between its r and the number of nodes within all r-order neighbors of node i is calculated by Equation (6):
B i ( r ) = μ r D i
where Di is the local dimension of node i.
Taking the logarithm of Equation (6) and solving for the derivative yields Equation (7):
D i = d d log r log B i ( r )
where r is the radius starting from 1 to the diameter, and these values of r are not continuous, which leads to Equations (8) and (9):
D i = r B i ( r ) d d r B i ( r )
D i r n i ( r ) B i ( r )
where ni(r) is the number of nodes where the dij of node i is equal to r, and Bi(r) is the total number of nodes within radius r.
(6)
Fuzzy local dimension: In reality, the boundaries between categories are often indistinct or overlapping. Therefore, it is not certain that the input variables belong to the subset completely, the second-order neighbor nodes do not all belong to the node, and the closer node will contribute more to the central node. To solve this problem, fuzzy sets are combined with local dimensions to differentiate the contribution of nodes in different radii [44]. Fuzzy local dimension (FLD) is an indicator parameter for nodes, and fuzzy sets can be applied to study the effect of the node center distance on the local dimension. FLD is calculated by Equations (10)–(14):
D f u z z y ( i ) = d d ln ( r t ) ln ( N i ( r t , ε ) )
D f u z z y ( i ) = r t N i ( r t , ε ) d d r t N i ( r t , ε )
D f u z z y ( i ) r n i ( r t ) N i ( r t , ε )
N i ( r t , ε ) = j = 1 N A i j ( ε ) N i ( r )
A i j ( ε ) = e d i j 2 ε 2
where ε is a scale corresponding one-to-one with the radius rt; rt is the radius of node i, rt = {1,2,…,dmax}; ni(rt) is the number of fuzzy nodes with the shortest distance equal to ε; Ni(rt, ε) is the number of fuzzy nodes with the shortest distance smaller than ε; Aij(ε) is the affiliation function when the distance from node j to i is less than ε; and Ni(r) is the number of nodes with dij less than or equal to ε. Through the fuzzy function, the neighboring nodes to the central node can be weighted between [0,1], rather than a definite 0 or 1, so that it can distinguish between nodes with different distances from the central node: the closer to the central node, the greater its affiliation, and the more it tends to 1; the further away from the central node, the smaller its affiliation, and the more it tends to 0. For each ε (rt), all Ni(rt, ε) values of node i are obtained using Equation (13), and then linear fitting is performed under the logarithmic scale. The slope of the fitted line is taken as the FLD value of node i.

2.3. Proposed Algorithm: FLDT

In complex network analysis, traditional node importance algorithms such as DC, BC, and K-shell mainly evaluate nodes based on their global or local structural features. Although these methods perform well in general networks, they suffer from limitations such as coarse identification granularity and insufficient information utilization in shipboard power grids, which are characterized by closed structures, limited resources, and strong dependencies. The ship power grid is not only compact in structure and low in redundancy but its topological characteristics also make it more susceptible to amplified impacts from local disturbances or node failures. Therefore, there is an urgent need for a method capable of finely characterizing local structural features and capturing the heterogeneity of neighboring nodes.
The fuzzy local dimension and topology (FLDT) method proposed in this paper integrates fuzzy set theory with local structural analysis, introducing a distance attenuation factor between nodes and their neighbors, as well as the heterogeneity of neighbor degrees, to enhance the representation of a node’s structural role. By using the fuzzy local dimension to measure the fuzzy coupling degree between a node and its neighborhood at different scales, and further combining LLS to distinguish the topological position differences of nodes, the FLDT method improves the resolution and accuracy of key node identification.
In FLDT, nodes with different distances from the center node are given different weights according to the fuzzy set. Based on FLD, Equations (13) and (14) can be rewritten as Equations (15) and (16), respectively:
X i j ( r ) = e d i j 2 r 2
f i ( r ) = j Γ i ( r ) X i j ( r ) N i ( r )
where Γi(r) denotes the set of neighbor nodes when the shortest distance is less than or equal to r.
Although it is possible to distinguish between nodes at different distances by fuzzy number, there is still a problem for nodes within the same distance. Nodes within the same distance have different degrees of importance to the central node, and nodes with the same distance from the central node may play different roles and functions and have different influence on the central node. In the network, nodes with large degrees tend to bear more connections, their resources to each neighboring node are relatively less, and their contribution to the neighboring nodes is smaller, whereas nodes with smaller degrees tend to be able to pay better attention to their neighboring nodes and, thus, contribute more to the neighboring nodes. For this reason, the inverse of the degree is introduced to further distinguish the contribution of nodes at the same distance to the central node. At this point, Equation (16) is improved to obtain Equation (17), as shown below:
F i ( r ) = j Γ i ( r ) X i j ( r ) N i ( r ) × 1 k j
In this way, the set of fuzzy numbers at different r of the nodes can be obtained by Equation (18):
B ( i ) = ( 1 , F i ( 1 ) ) , ( 2 , F i ( 2 ) ) , . ( r max , F i ( r max ) )
The B under ln is then fitted, and the FLD value of the node is the slope of the fitted straight line, which is calculated by Equation (19):
F L D ( i ) = f i t ( B ( i ) )
To portray the importance of nodes more accurately, the difference in status between a node and its first-order neighbors is considered here. For example, in social networks, Netroots is connected to a large number of ordinary users, who contribute more to Netroots nodes, while Netroots users contribute less to ordinary nodes. However, to avoid the excessive impact of the status difference, it is necessary to reduce the gap between the nodes. The calculation process is Equation (20):
S ( x ) = e x 1 + e x , x > 0 e x 1 , x 0
The new importance value will then be obtained based on the combination of fuzzy local dimension and topology, according to Equation (21):
F L D T ( i ) = j Γ ( i ) ( S ( F L D ( i ) F L D ( j ) ) + S ( L L S ( i ) L L S ( j ) ) )
The difference in the status of nodes in the network is better reflected by the method of distinguishing between positive and negative differences. Emphasizing the status of important nodes while attenuating the influence of relatively unimportant nodes allows for a finer portrayal of the importance of the nodes.
It should be noted that, when modeling neighbor nodes at different distances, no fixed weights or threshold limits are artificially set in this paper. Instead, a fuzzy membership function is employed to achieve a natural decay based on the distance to the central node. Specifically, the closer a neighbor is to the central node, the higher its membership degree, approaching 1. This function is defined at each discrete radius ε, requiring no additional parameter tuning or weight pruning, thereby providing good adaptability and interpretability.
Time Complexity Analysis: Let the network G = (V,E) have n = ∣V∣ nodes and m = ∣E∣ edges, with node ii having the degree ki, average degree K, and network diameter D. The FLDT algorithm consists of three main stages, with the following time complexity:
(1) Improved Fuzzy Local Dimension: For each node, a single-source shortest path search and radius-incremental statistics must be performed. Dijkstra’s algorithm incurs a cost of O(mlog n). Subsequently, in the worst case, all shortest path results for radii r = 1,…,D are traversed, costing O(Dn). Thus, the total complexity for all nodes is O(nmlog n + n2D). (2) LLS: For node i, all unordered neighbor pairs must be enumerated, with a time complexity of O(ki2). When calculating the similarity of each pair, the neighbors of both nodes are typically accessed, which can be approximated by the network’s average degree K. Therefore, the complexity per node is O(ki2K), and summing over all nodes yields O(Kki2). (3) Adjacency Traversal: This stage only requires constant-time access to each edge, giving a complexity of O(m).
In summary, the overall time complexity of FLDT can be expressed as O(nmlog n + n2D + Kki2 + m).
Table 1 provides a comparison of the strengths and weaknesses of various algorithms. In summary, while existing algorithms each have their own characteristics in node importance assessment, they generally suffer from issues such as coarse granularity, high parameter dependency, or insufficient information utilization. The FLDT method proposed here integrates fuzzy local dimension and node status differentiation, not only considering the topological distance between nodes and their neighbors but also incorporating the structural attributes of the neighbors, thereby improving the recognition accuracy. At the same time, this method does not rely on external parameter settings, making it applicable to various network structures and possessing strong generalizability and scalability.

2.4. Evaluation Metrics

To effectively identify the key nodes, three evaluation metrics are used: monotonicity, largest connected component, and network efficiency decline rate. Among them, attacking nodes or edges is required when evaluating using the largest connected component and network efficiency decline rate, and the process is shown in Figure 1.
(1)
Monotonicity: If there are few nodes with the same importance value, their monotonicity value tends to 1, indicating that the method can distinguish node importance well [45]. It is calculated by Equation (22):
M ( R ) = [ 1 1 N ( N 1 ) ( r a n k R n r a n k ( n r a n k 1 ) ) 2 ]
where R denotes the node importance ranking sequence, and nrank denotes the number of nodes in the sequence with the same ranking rank.
(2)
Largest Connected Component: The largest connected component (LCC) is the largest connected part of the network [46]. It is calculated by Equation (23):
L C C = N N
where N′ is the number of nodes with the largest connected part in the current network.
(3)
Network Efficiency: Network efficiency is a measure of the efficiency of information dissemination in a network [47]. It is calculated by Equations (24) and (25):
E = 1 N ( N 1 ) i j 1 d i j
N E = 1 E E
where E is the initial network efficiency and E′ is the current network efficiency.

3. Analysis of Experimental Results

The experimental environment for this study was as follows: 11th Gen Intel(R) Core (TM) i5-11400 @ 2.60 GHz processor (Intel Corporation, Santa Clara, CA, USA), 32.0 GB RAM, NVIDIA GeForce GTX 1660 SUPER (6 GB) (NVIDIA Corporation, Santa Clara, CA, USA), Windows 10 Home Edition operating system (Microsoft Corporation, Washington, DC, USA), Python 3.11, and Visual Studio Code 1.100.

3.1. Simulation Test

To validate the effectiveness and adaptability of the proposed FLDT algorithm in identifying critical nodes and assessing structural vulnerability in networks, this section presents the results of simulation experiments on several typical networks. The experiments are divided into two parts: first, the real-world network datasets and artificial network models used in this study are introduced; second, the results of vulnerability tests on these networks are presented, and the performance of FLDT is evaluated through comparative experiments.

3.1.1. Dataset

Five real-world complex network datasets and four typical artificial network models were selected for the experiments, covering various types such as social networks, biological networks, and language networks. Table 2 presents the network topological parameters of the real-world datasets, where <K> represents the average degree, <cc> denotes the average clustering coefficient, ρ indicates the density, and L signifies the average shortest path length. The parameters of the network models are detailed in Table 3, including the commonly used ER, BA, WS, and NW.

3.1.2. Results of Simulation Experiments

(1)
Network Efficiency: Based on the above nine datasets, six different algorithms from Section 2.2 were compared with the FLDT algorithm, and based on the sequence of nodes obtained from these seven algorithms, the nodes were removed using a static attack to simulate the change in the network efficiency degradation rate (NE) when the network is under attack. Figure 2 shows the variation in NE for different networks. The abscissa P represents the fraction of nodes removed, while the ordinate indicates the variation in NE. In Figure 2a, the best results were obtained by FLDT. In Figure 2b–e, although the curves obtained by the FLDT algorithm are slightly lower than those of some algorithms in some parts, overall, the FLDT algorithm is generally the optimal case, and it is the first one that makes the network efficiency drop to zero. In Figure 2f–i of ER, WS, NW, and BA, the FLDT algorithm is the optimal case and is the first to make the network efficiency drop to 0, while the worst is the LD algorithm, followed by the CC algorithm.
To further validate the stability and generalization ability of the proposed algorithm across different networks, we statistically analyzed the impact of seven node importance evaluation methods on NE when the node removal ratio was set to 20% and 40%, as shown in Table 4. The comparative results demonstrate that FLDT achieves the most significant decrease in NE in the majority of datasets and removal ratios, indicating that the critical nodes identified by FLDT have the greatest impact on the overall information transmission efficiency of the network.
For example, in typical networks such as Polbooks, Adjnoun, Power, WS, and BA, when the removal ratio reaches 40%, the NE decline caused by FLDT is the largest, even surpassing that of other centrality algorithms (such as DC, CC, and LD) by varying degrees. This trend is especially pronounced in the BA and NW networks, indicating that FLDT can more effectively capture core nodes that control information propagation in complex structures. By contrast, traditional degree centrality can also lead to a marked decrease in NE in some networks (such as Power and ER), but its effectiveness gradually diminishes in networks with more complex or heterogeneous structures (such as WS and Adjnoun). Methods such as LD and CC generally perform poorly across most networks, with limited ability to identify nodes with global influence.
(2)
Largest Connected Component: Based on the above eight datasets, six different algorithms in Section 2.2 were compared with the FLDT algorithm, and based on the sequence of nodes obtained from these seven algorithms, the nodes were removed using a static attack to simulate the change in the largest connected component (LCC) when the network is under attack. Figure 3 shows the variation in LCC metrics for different networks. Its vertical coordinate represents the change in LCC. In Figure 3a (Karate), both FLDT algorithms are in the optimal case, while the LD algorithm has the worst effect. In Figure 3b (Dolphins), although the curves obtained by the FLDT algorithm are partially lower than those of some algorithms, the FLDT algorithm is still optimal. In Figure 3c (Polbooks), FLDT is slightly worse than the MDD, DC, and LLS algorithms in removing the first 15–25% of nodes, but after 25% of nodes are removed, the FLDT algorithm is generally in the optimal case. In Figure 3d,e, FLDT is considerably better than the other algorithms in some regions, but there are some cases where it is slightly worse than the other algorithms. In Figure 3f–i (ER, WS, NW, and BA), the FLDT algorithm is in the optimal case.
Table 5 presents a comparison of the LCC values of various algorithms after removing the top 20% and 40% most important nodes across different network datasets. Quantitative comparison reveals that the proposed FLDT algorithm consistently demonstrates a stronger destructive effect in most cases; that is, the network connectivity decreases most significantly after removing the same proportion of critical nodes.
In typical real-world networks, the nodes identified by FLDT can more effectively undermine the overall network connectivity. For example, in the Polbooks network, after removing 40% of the nodes, the LCC value resulting from FLDT is the lowest (only 0.0857), outperforming traditional methods such as DC (0.1333) and LD (0.2952), thus demonstrating higher recognition accuracy and structural sensitivity. Similarly, in power system networks like Power, as well as model networks such as ER, WS, NW, and BA, FLDT also shows a clear advantage under 40% node removal. For example, in the ER network, the LCC value of FLDT is only 0.0321, much lower than that of CC (0.4799) and LD (0.5944); in the NW network, this value further drops to 0.0160, significantly outperforming all comparison algorithms.
(3)
Monotonicity: When the algorithm is analyzed for node importance, if the nodes all have different importance values, then the algorithm can effectively differentiate the importance of different nodes. The results obtained by the algorithm are normalized and sorted from smallest to largest. The closer the color is to red, the more important the node is; the closer the color is to blue, the less important the node is. The sorting results are shown in Figure 4. The curve of the FLDT algorithm is smoother and the color distribution is more uniform, which indicates that the FLDT algorithm is more discriminating than the DC, CC, LD, FLD, LLS, and MDD algorithms.
Table 6 shows the monotonicity values of different node importance algorithms on the dataset. The DC, CC, LD, FLD, LLS, and MDD algorithms in Section 2.2 were compared with the FLDT algorithm, and they were used to identify the importance of the nodes in different networks to obtain the importance ranking sequence of the nodes, while the M(R) values of the ranking results of each algorithm were calculated through Equation (22), to evaluate the different algorithms’ ability to differentiate the nodes. Except in the ER network, the M(R) value of the FLDT algorithm in the network was higher than or equal to that of the other algorithms, which indicates that the FLDT algorithm makes the nodes have different importance values, and that it can distinguish the nodes of different importance.
In summary, the monotonicity value of the FLDT algorithm is maximal in all of the networks except the ER network, which indicates that it is more capable of distinguishing the nodes with different importance, and the LCC and NE metrics are in the optimal situation in most of the networks, which suggests that it is capable of identifying the key nodes.
Comprehensive analysis shows that FLDT possesses stable and robust key node identification capabilities across various network structures and can effectively detect nodes that are crucial to network connectivity. Compared with other algorithms, FLDT not only maintains its advantage in real-world networks but also demonstrates good generalization ability in model networks, indicating its strong adaptability and robustness. Therefore, FLDT is a powerful tool for assessing network vulnerability and formulating defense strategies.

3.2. Vulnerability Identification and Analysis of Ship Power Grid

The ship’s electrical power network assumes the role of transporting electrical energy from the generator to the load. The ship’s power system consists of four important parts: the power supply, the distribution unit, the power network, and the load. In ships, equipment is relatively centrally placed in cabins, but this layout increases the risk of chain failures in the system, and the failure of one device may trigger chain failures in other devices, leading to the collapse of the whole system. In addition, unlike land-based power systems, the limited capacity of ships’ generators, their short transmission lines, and the influence of the marine environment and other characteristics can lead to changes in the topology of the ship’s power grid having a greater impact on the stability of the system, and the system needs to be adapted to the impact of the ocean and other factors.
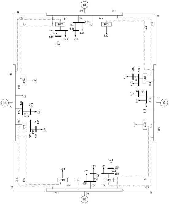
Figure 5 shows the structure of a typical four-station ring-type ship power grid. This ship power grid contains generators, distribution boards, loads, generator cables, jumper cables, and transfer switches, where G stands for generators, S stands for distribution boards, L stands for centralized loads, D stands for generator cables, F stands for feeder cables, J stands for jumper cables, and BT stands for the two power transfer switches.
The equivalent model of this ship power grid is shown in Figure 6. Figure 7 shows the degree distribution and node degree of the ship power grid; there are four different degrees, which are degrees 1, 2, 3, and 9. Combined with Figure 5 and Figure 6, it can be seen that the nodes with degree 9 are S11, S21, S31, and S41.
Table 7 shows the monotonicity value for different algorithms in the ship power grid. Table 8 shows the number of distinctions of the different algorithms in the ship power grid. Combining Table 7 and Table 8 shows that the monotonicity value of the FLDT algorithm is 0.9342, which is the highest among the seven algorithms; DC has only 4 different values, MDD has 6 different values, and LLS has 10 different values, while CC, LD, and FLD have 21 different values, and FLDT has 29 different values, which suggests that the FLDT algorithm is more capable of distinguishing between ship power grids with respect to the components’ importance.
Figure 8 shows the monotonicity distribution of different algorithms in the ship power grid. Figure 9 shows the heat map of different algorithms in the ship’s power grid; the more important the node is, the brighter the color of the node is in the ship’s power grid. As can be seen from Figure 9, the FLDT algorithm can identify the core nodes in the network.
Table 9 shows the results of vulnerability point identification for ship power grids with different algorithms. According to the vulnerability identification results, it can be seen that except for the differences identified by the LD algorithm, the top four ranked components for the other algorithms (S11, S41, S31, and S21) are all the main distribution boards. However, in the subsequent ranking of nodes, while the sequences obtained by different algorithms are not the same, this is because different algorithms consider different perspectives.
To identify the core nodes in the ship’s power grid, the robustness of the ship’s power grid can be strengthened by targeting the protection of these critical components. The node sequences obtained from each node importance algorithm were removed through a deliberate attack, and the effects of removing the nodes on the LCC and NE metrics were compared. The experimental results are shown in Figure 10. From Figure 10a, it can be seen that according to the node sequences obtained by the FLDT algorithm, after removing five nodes, the LCC of the ship’s power grid decreased to below 20% of the original network, and the NE decreased by more than 80%, but as a whole, the FLDT algorithm made the LCC decrease the fastest, and it was the first to make the network efficiency decrease by 100%. Also, Figure 10b–d show the change in network topology by removing different node proportions, and it can be seen that the network collapses faster after the nodes are removed by the FLDT algorithm.
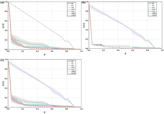
To further verify the robustness and stability of the proposed FLDT algorithm under different network perturbations, this study conducted simulation experiments in three scenarios of topological changes: edge addition, edge removal, and edge rewiring. For each type of perturbation, 5% of the existing edges in the ship power grid were manipulated, and the process was repeated 100 times to minimize the impact of randomness. For each algorithm, the mean and standard deviation at each time step were recorded to evaluate the performance of different methods under multiple perturbations, with the error bands visually illustrating the range of fluctuation.
Figure 11 and Figure 12 present the performance of different algorithms on the LCC and NE metrics under the three perturbation scenarios. It can be observed that, under edge addition, although the overall connectivity of the network increases, FLDT can still stably identify key nodes and maintain a high level of attack effectiveness. Under edge removal, the network connectivity decreases rapidly, and the nodes identified by FLDT have the most significant impact on LCC and NE, indicating that the nodes that it locates are the most critical to structural connectivity. Under edge rewiring, although the number of edges remains unchanged, the rearrangement of the structure interferes with the propagation paths; FLDT likewise demonstrates the strongest key node identification capability and the lowest volatility, highlighting its robustness.
Based on the results in Table 10 and Table 11, it is evident that the FLDT algorithm consistently achieves the largest decline in both LCC and NE across all network scenarios—original network, edge addition, edge removal, and edge rewiring. Specifically, after removing 40% of the most important nodes, FLDT reduces the LCC to as low as 2.17% in the original network and 2.17–2.48% in the disturbed topologies, outperforming all baseline algorithms. In NE, FLDT achieves a decline of 99.78% in the original network and maintains similarly high performance in networks subjected to edge addition, removal, and rewiring. These results indicate that FLDT is highly effective and robust in identifying the most critical nodes in ship power grids, regardless of structural perturbations, and can substantially weaken the network connectivity and efficiency by targeting these nodes.

4. Discussion

In the real world, mining important nodes is of great significance. After mining the important nodes, the network can be protected or destroyed by protecting or striking the important nodes according to the actual situation [48,49,50]. For example, in traffic networks, key road sections can be identified and controlled, which can effectively reduce congestion during peak hours. In public opinion networks, some individuals or organizations with strong influence may become the key force to guide the direction of public opinion, and mining these key nodes can help the government and relevant departments to better grasp the social dynamics, formulate targeted policies, and maintain social stability. In the field of network security, it is crucial to identify and monitor key nodes that may become the target of network attacks or the source of virus propagation. Identifying and monitoring these nodes can help improve the overall level of cybersecurity. In addition, it plays a role in areas such as device networks, infectious disease networks, social networks, financial networks, supply chain networks, and energy networks [51,52,53,54,55].
Traditional node importance algorithms (such as DC and K-shell) often face significant limitations in distinguishing nodes within the same topological “layer” or “shell” of a network. These algorithms primarily focus on a node’s immediate topological information and are unable to effectively capture subtle differences in local network structure, resulting in an inability to differentiate the importance of nodes at the same level. To address this limitation, the FLDT algorithm proposed in this paper integrates improvements of the FLD and LLS, capturing node importance differences from the perspectives of multi-scale topological structural information and neighbor structural similarity, respectively. On the one hand, improved FLD analyzes a node’s topology at multiple scales, leveraging neighbor distribution information within different radii to more comprehensively quantify local structural differences around each node. On the other hand, LLS further refines the differentiation of nodes in local structures by considering the topological similarity among node neighbors. Even for nodes located in the same “layer” or “shell,” differences in their neighbor structures yield more accurate evaluations of their distinctiveness. Meanwhile, Equation (21) can be further utilized to differentiate node values. Through these strategies, the FLDT algorithm effectively overcomes the major limitation of traditional metrics in distinguishing nodes at the same topological level, enabling more precise identification and ranking of truly critical nodes in the network, and significantly improving the accuracy and reliability.
With the continuous development of modern ship technology, ship power grid systems are becoming increasingly complex, exposing them to more potential risks and challenges. In a ship’s power system, the main switchboard is the hub that connects the generator set and the load. The power generated by the genset is first distributed through the main switchboard and then delivered to each power-using device through the distribution lines. As key equipment in a ship power system, the main switchboard plays an irreplaceable role in power distribution, protection, monitoring and control, etc. Its reliable operation directly affects the safety and stability of the whole ship’s power system.
Aiming at the problem of vulnerability in a ship’s power grid, this paper proposes a new vulnerability identification method, which can identify the vulnerable points and improve the reliability and stability of the ship’s power grid by optimizing the grid design and fault diagnosis. The effectiveness of the algorithm was verified by comparing it with six different algorithms using three different metrics in different datasets, and the results show that the FLDT algorithm performs optimally in the metrics of these datasets. FLDT was then used to identify vulnerable points in ship power networks, comparing the top 10 nodes ranked by the seven algorithms, and the results obtained by the algorithms were visualized by heat maps to further demonstrate the identification ability of different algorithms, where it was found that the FLDT algorithm has the best distinguishing ability and obtains the fastest decrease in LCC and NE metrics.
In fact, in ships, the main switchboard, as the main connection point between the power source and the loads, assumes the important responsibility of power distribution and management. It distributes power from the generator set to various electrical equipment and systems through distribution lines. The generator is the main source of power supply for the ship’s power grid and is responsible for providing stable power to the grid. Meanwhile, generator cables are responsible for efficiently and safely transmitting the power generated by the generators to the ship’s main switchboard. Although generators and generator cables occupy a central position in a ship’s power system, their location is relatively peripheral and may be easily overlooked when complex networks are employed to identify vulnerable points. The fact that generators and generator cables are subjected to significant loads and vibrations during ship voyages puts them at some risk of damage and failure. Once a problem occurs with a generator or generator cable, it will not only have a serious impact on the normal operation of the ship’s power system but may even paralyze the ship or cause a major accident.
The FLDT algorithm is not only suitable for offline analysis of network structural features but can also be effectively integrated into real-time monitoring or fault management systems, enabling dynamic assessment of node importance and network vulnerability. In practical applications, it is first necessary to acquire the network topology and real-time operational data through the ship power grid’s real-time monitoring platform, and update the network topology in real time. The FLDT index for each node is dynamically calculated, resulting in a node importance ranking and corresponding vulnerability analysis. Furthermore, the real-time node vulnerability indicators output by the FLDT algorithm can be linked to the fault management system. When the FLDT value of a node rises abnormally or undergoes a significant change, the system automatically triggers an early warning mechanism, assisting maintenance personnel in quickly locating potential fault areas and taking preventive measures in advance, thereby improving the safety and reliability of network operation.
In addition, the application scope of FLDT is by no means limited to ship power grids but can also be extended to other complex network domains. In air traffic networks, the congestion level of airports or airway nodes and the cascading delay effects caused by node failures can be quantified using FLDT, thereby helping airlines and traffic management departments to optimize route layout and formulate real-time emergency strategies. For railway systems, the FLDT method can be used to identify key stations and lines; in the event of a failure or temporary closure, it can estimate the overall impact on the network in advance, assisting the scheduling department in promptly implementing diversion and detour plans to effectively mitigate the impact of failures. At the same time, FLDT is also applicable to smart grids, communication networks, social networks, and ecological networks.

5. Conclusions

This paper addresses the vulnerability of shipboard power systems operating in complex environments and proposes a fuzzy local dimension and topology-based node importance identification algorithm. The vulnerability of shipboard power systems is mainly reflected in their sensitivity to external disturbances and internal failures; for example, during navigation, factors such as severe weather, electromagnetic interference, equipment aging, and power fluctuations may all lead to system faults or failures. Therefore, accurately identifying critical nodes and vulnerable links in shipboard power networks is of great significance for ensuring the safe and stable operation of ships.
Through experimental evaluation on nine network datasets, the proposed FLDT algorithm was comprehensively compared with several node importance evaluation methods (DC, CC, LD, FLD, LLS, and MDD). The experimental results show that the FLDT algorithm demonstrates significant advantages in three key evaluation indicators: NE, LCC, and monotonicity. For example, after removing 40% of the most critical nodes, FLDT achieved a network efficiency drop of up to 99.59% and 99.93% on the BA and Power networks, respectively, which is significantly better than that of the other methods. This indicates that the FLDT algorithm is more accurate and efficient in identifying core nodes. In the experiments on shipboard power networks, when 40% of the critical nodes were removed, the NE decline value of FLDT reached 99.78%, which is superior to that of DC (98.12%), CC (93.87%), and FLD (94.09%), and other algorithms. At the same time, in LCC, the FLDT algorithm also performed outstandingly; after removing 40% of the critical nodes, the LCC in the original network dropped to 2.17%, which is significantly lower than that of the other methods, reflecting the accuracy of FLDT in identifying the impact of critical nodes on network connectivity. Furthermore, through topological perturbation experiments (including edge addition, edge removal, and edge rewiring) in actual shipboard power networks, FLDT still maintains a significant advantage. Under edge addition, removal, and rewiring perturbations, the LCC values after removing 40% of critical nodes with FLDT were reduced to 2.48%, 2.17%, and 2.43%, respectively, and the NE values were reduced to 99.60%, 99.76%, and 99.57%, respectively, all of which are superior to the values achieved by other comparative algorithms.
Although this paper verifies the stability and discrimination capability of the proposed method on multiple typical network models and public datasets, and demonstrates its effectiveness in shipboard power networks, there are still certain research limitations. The current model mainly conducts vulnerability analysis based on the topological structure of the shipboard power system and does not fully consider the influence of other key factors, such as information networks, terminal devices, and management systems. However, in practical applications, the stability of shipboard power networks depends not only on the power network itself but is also affected by the interaction of multiple factors, such as information transmission, equipment status, and control strategies. Therefore, future research could further expand the application scope of the algorithm, incorporate more real operational data, and carry out dynamic simulation and empirical analysis in real shipboard power networks or industrial control networks to enhance the practical applicability and engineering value of the model. In addition, multilayer network modeling methods could be introduced to treat the power system and information network as interconnected network layers, simulating the coupling relationship and its composite effect on system vulnerability. Constructing an integrated power–information multilayer network framework would help to achieve a more comprehensive and detailed vulnerability assessment of shipboard power networks, thereby enhancing their stability and resilience in complex operating environments.

Author Contributions

Conceptualization, K.H., W.Z., Y.X., C.W. and W.L.; data curation, K.H.; methodology, K.H., W.Z. and W.L., software, K.H. and Y.X.; writing (original draft preparation), K.H., W.Z. and Y.X.; writing (review and editing), K.H. and W.L., supervision, W.Z., Y.X., C.W. and W.L. All authors have read and agreed to the published version of the manuscript.

Funding

This research was funded by the Department of Science and Technology of Hubei Province (2024BAB067).

Data Availability Statement

The data presented in this study are available upon request from the corresponding author.

Acknowledgments

We are grateful to our families, friends, and laboratory colleagues for their unwavering understanding and encouragement.

Conflicts of Interest

Weichuan Zhang, Yongsheng Xu and Chenkai Wu were employed by the Beijing Panzi Electric Co., Ltd. The remaining authors declare that the research was conducted in the absence of any commercial or financial relationships that could be construed as a potential conflict of interest.

References

  1. Yuan, Y.; Wang, J.; Yan, X.; Shen, B.; Long, T. A Review of Multi-Energy Hybrid Power System for Ships. Renew. Sustain. Energy Rev. 2020, 132, 110081. [Google Scholar] [CrossRef]
  2. Fan, A.; Li, Y.; Liu, H.; Yang, L.; Tian, Z.; Li, Y.; Vladimir, N. Development Trend and Hotspot Analysis of Ship Energy Management. J. Clean. Prod. 2023, 389, 135899. [Google Scholar] [CrossRef]
  3. Xie, P.; Guerrero, J.M.; Tan, S.; Bazmohammadi, N.; Vasquez, J.C.; Mehrzadi, M.; Al-Turki, Y. Optimization-Based Power and Energy Management System in Shipboard Microgrid: A Review. IEEE Syst. J. 2022, 16, 578–590. [Google Scholar] [CrossRef]
  4. Wang, Z.; Hu, Z.; Yang, X. Multi-Agent and Ant Colony Optimization for Ship Integrated Power System Network Reconfiguration. J. Syst. Eng. Electron. 2022, 33, 489–496. [Google Scholar] [CrossRef]
  5. Mahmud, K.; Rahman, M.S.; Ravishankar, J.; Hossain, M.J.; Guerrero, J.M. Real-Time Load and Ancillary Support for a Remote Island Power System Using Electric Boats. IEEE Trans. Ind. Inf. 2020, 16, 1516–1528. [Google Scholar] [CrossRef]
  6. Maqsood, A.; Oslebo, D.; Corzine, K.; Parsa, L.; Ma, Y. STFT Cluster Analysis for DC Pulsed Load Monitoring and Fault Detection on Naval Shipboard Power Systems. IEEE Trans. Transp. Electrific. 2020, 6, 821–831. [Google Scholar] [CrossRef]
  7. Liu, F.; Xie, G.; Zhao, Z. Importance Evaluation of Power Network Nodes Based on Community Division and Characteristics of Coupled Network. Electr. Power Syst. Res. 2022, 209, 108015. [Google Scholar] [CrossRef]
  8. Li, Y.; Zhao, Y.; Xu, T.; Wu, S. Node Importance Research of Temporal CPPS Networks for Information Fusion. IEEE Trans. Reliab. 2024, 73, 1291–1301. [Google Scholar] [CrossRef]
  9. Gao, X.; Ye, Y.; Su, W.; Chen, L. Assessing the Comprehensive Importance of Power Grid Nodes Based on DEA. Int. J. Crit. Infrastruct. Prot. 2023, 42, 100614. [Google Scholar] [CrossRef]
  10. Wu, G.; Li, M.; Steven Li, Z. A Gene Importance Based Evolutionary Algorithm (GIEA) for Identifying Critical Nodes in Cyber–Physical Power Systems. Reliab. Eng. Syst. Saf. 2021, 214, 107760. [Google Scholar] [CrossRef]
  11. Meng, Y.; Zhang, H. Recovery Strategy of Virtual Power Plant with Resilience Improvement under Cascaded Failure Scenarios. Int. J. Electr. Power Energy Syst. 2023, 148, 108918. [Google Scholar] [CrossRef]
  12. Liu, D.; Huang, K.; Zhang, C.; Wu, D.; Wu, S. Study on Discovery Method of Cooperative Research Team Based on Improved Louvain Algorithm. Sci. Program. 2021, 2021, 3234280. [Google Scholar] [CrossRef]
  13. Huang, K.; Li, W.; Gao, F. Barabási-Albert Model-Enhanced Genetic Algorithm for Optimizing LGBM in Ship Power Grid Fault Diagnosis. Measurement 2025, 249, 116954. [Google Scholar] [CrossRef]
  14. Parastvand, H.; Chapman, A.; Bass, O.; Lachowicz, S. The Impact of Graph Symmetry on the Number of Driver Nodes in Complex Networks. J. Frankl. Inst. 2021, 358, 3919–3942. [Google Scholar] [CrossRef]
  15. Mazumder, S.K.; Kulkarni, A.; Sahoo, S.; Blaabjerg, F.; Mantooth, H.A.; Balda, J.C.; Zhao, Y.; Ramos-Ruiz, J.A.; Enjeti, P.N.; Kumar, P.R.; et al. A Review of Current Research Trends in Power-Electronic Innovations in Cyber–Physical Systems. IEEE J. Emerg. Sel. Top. Power Electron. 2021, 9, 5146–5163. [Google Scholar] [CrossRef]
  16. Xu, L.; Guerrero, J.; Lashab, A.; Wei, B.; Bazmohammadi, N.; Vasquez, J.; Abusorrah, A. A Review of DC Shipboard Microgrids—Part II: Control Architectures, Stability Analysis, and Protection Schemes. IEEE Trans. Power Electron. 2022, 37, 4105–4120. [Google Scholar] [CrossRef]
  17. Krnc, M.; Skrekovski, R. Group Degree Centrality and Centralization in Networks. Mathematics 2020, 8, 1810. [Google Scholar] [CrossRef]
  18. Chen, D.; Lü, L.; Shang, M.; Zhang, Y.; Zhou, T. Identifying Influential Nodes in Complex Networks. Phys. A 2012, 391, 1777–1787. [Google Scholar] [CrossRef]
  19. Lee, J.; Lee, Y.; Oh, S.M.; Kahng, B. Betweenness Centrality of Teams in Social Networks. Chaos 2021, 31, 061108. [Google Scholar] [CrossRef] [PubMed]
  20. Wei, B.; Deng, Y. A Cluster-Growing Dimension of Complex Networks: From the View of Node Closeness Centrality. Phys. A 2019, 522, 80–87. [Google Scholar] [CrossRef]
  21. Kitsak, M.; Gallos, L.K.; Havlin, S.; Liljeros, F.; Muchnik, L.; Stanley, H.E.; Makse, H.A. Identification of Influential Spreaders in Complex Networks. Nat. Phys. 2010, 6, 888–893. [Google Scholar] [CrossRef]
  22. Zhang, P.; Wang, T.; Yan, J. PageRank Centrality and Algorithms for Weighted, Directed Networks. Phys. A 2021, 586, 126438. [Google Scholar] [CrossRef]
  23. Hirsch, J. An Index to Quantify an Individual’s Scientific Research Output. Proc. Natl. Acad. Sci. USA 2005, 102, 16569–16572. [Google Scholar] [CrossRef] [PubMed]
  24. Lü, L.; Zhou, T.; Zhang, Q.; Stanley, H.E. The H-Index of a Network Node and Its Relation to Degree and Coreness. Nat. Commun. 2016, 7, 10168. [Google Scholar] [CrossRef] [PubMed]
  25. Anania, G.; Caruso, A. Two Simple New Bibliometric Indexes to Better Evaluate Research in Disciplines Where Publications Typically Receive Less Citations. Scientometrics 2013, 96, 617–631. [Google Scholar] [CrossRef]
  26. Maji, G.; Mandal, S.; Sen, S. A Systematic Survey on Influential Spreaders Identification in Complex Networks with a Focus on K-Shell Based Techniques. Expert Syst. Appl. 2020, 161, 113681. [Google Scholar] [CrossRef]
  27. Zhong, S.; Zhang, H.; Deng, Y. Identification of Influential Nodes in Complex Networks: A Local Degree Dimension Approach. Inf. Sci. 2022, 610, 994–1009. [Google Scholar] [CrossRef]
  28. Kunt, A.A.; Berberler, Z.N. Efficient Identification of Node Importance Based on Agglomeration in Cycle-Related Networks. Int. J. Found. Comput. Sci. 2020, 31, 969–978. [Google Scholar] [CrossRef]
  29. Yang, S.; Jiang, Y.; Tong, T.; Yan, Y.; Gan, G. A Method of Evaluating Importance of Nodes in Complex Network Based on Tsallis Entropy. Acta Phys. Sin. 2021, 70, 216401. [Google Scholar] [CrossRef]
  30. Yu, E.; Wang, Y.; Fu, Y.; Chen, D.; Xie, M. Identifying Critical Nodes in Complex Networks via Graph Convolutional Networks. Knowl.-Based Syst. 2020, 198, 105893. [Google Scholar] [CrossRef]
  31. Zhang, H.; Zhong, S.; Deng, Y.; Cheong, K.H. LFIC: Identifying Influential Nodes in Complex Networks by Local Fuzzy Information Centrality. IEEE Trans. Fuzzy Syst. 2022, 30, 3284–3296. [Google Scholar] [CrossRef]
  32. Taylor, J.A.; Hover, F.S. Statistically Robust Design for the All-Electric Ship from a Network Theoretic Perspective. In Proceedings of the 2009 IEEE Electric Ship Technologies Symposium, Baltimore, MD, USA, 20–22 April 2009; IEEE: Baltimore, MD, USA; pp. 23–27. [Google Scholar]
  33. Mei, D.; Wang, G.; Ye, Z.; Shen, J. Research on Complex Network Characteristic of Shipboard Power System. J. Nav. Univ. Eng. 2016, 28, 10–14. (In Chinese) [Google Scholar]
  34. Mei, D.; Wang, G.; Ye, Z.; Jiang, Z. Analysis of Vulnerability to Ship Electric Power Network According to Theory of Complex Networks. J. Nav. Univ. Eng. 2015, 27, 28–32. (In Chinese) [Google Scholar]
  35. Mei, D.; Wang, G.; Ye, Z.; Shen, J. Comprehensive Vulnerability Analysis of Shipboard Power Network Based on Component Reliability. Electr. Mach. Control 2017, 21, 70–74+82. [Google Scholar] [CrossRef]
  36. Du, J.; Jin, J.; Ji, X. Recognization Method of Critical Elements of Shipboard Electric Grid Based on Complex Network Theory. Ship Eng. 2016, 38, 61–65+96. [Google Scholar] [CrossRef]
  37. Tian, X.; Liu, Z. Brittle Source Identification Method for Ship Power Grid Based on Complex Network. Chin. J. Ship Res. 2024, 19, 325–336. [Google Scholar] [CrossRef]
  38. He, H.; Li, H.; Chen, S.; Xiong, H. Warship Power System Survivability Evaluation Based on Complex Network Theory. In Proceedings of the 2015 International Industrial Informatics and Computer Engineering Conference, Xi’an, China, 10–11 January 2015. [Google Scholar] [CrossRef]
  39. IEEE Std 1709-2018; IEEE Recommended Practice for 1 kV to 35 kV Medium-Voltage DC Power Systems on Ships. IEEE: Piscataway, NJ, USA, 2018; ISBN 978-1-5044-5201-4.
  40. Huang, W.; Wang, D. Systemic Importance Analysis of Chinese Financial Institutions Based on Volatility Spillover Network. Chaos Solitons Fractals 2018, 114, 19–30. [Google Scholar] [CrossRef]
  41. Ruan, Y.-R.; Lao, S.-Y.; Wang, J.-D.; Bai, L.; Chen, L.-D. Node importance measurement based on neighborhood imilarity in complex network. Acta Phys. Sin. 2017, 66, 038902. [Google Scholar] [CrossRef]
  42. Zhang, A.; Zhang, C. Ranking Spreaders by Decomposing Complex Networks. Phys. Lett. A 2013, 377, 1031–1035. [Google Scholar] [CrossRef]
  43. Pu, J.; Chen, X.; Wei, D.; Liu, Q.; Deng, Y. Identifying Influential Nodes Based on Local Dimension. EPL 2014, 107, 10010. [Google Scholar] [CrossRef]
  44. Wen, T.; Jiang, W. Identifying Influential Nodes Based on Fuzzy Local Dimension in Complex Networks. Chaos Solitons Fractals 2019, 119, 332–342. [Google Scholar] [CrossRef]
  45. Yang, Q.; Wang, Y.; Yu, S.; Wang, W. Identifying Influential Nodes through an Improved K-Shell Iteration Factor Model. Expert Syst. Appl. 2024, 238, 122077. [Google Scholar] [CrossRef]
  46. Chen, W.; Zou, S.; Qiu, C.; Dai, J.; Zhang, M. Invulnerability Analysis of Nuclear Accidents Emergency Response Organization Network Based on Complex Network. Nucl. Eng. Technol. 2024, 56, 2923–2936. [Google Scholar] [CrossRef]
  47. Jiao, L.; Luo, Q.; Lu, H.; Huo, X.; Zhang, Y.; Wu, Y. Research on the Urban Rail Transit Disaster Chain: Critical Nodes, Edge Vulnerability and Breaking Strategy. Int. J. Disaster Risk Reduct. 2024, 102, 104258. [Google Scholar] [CrossRef]
  48. Huang, K.; Xie, Y.; Peng, H.; Li, W. Study on Dynamic Evolution Characteristics of Wuhan Metro Network Based on Complex Network. Phys. A 2024, 648, 129945. [Google Scholar] [CrossRef]
  49. Song, J.; Gong, Z. Insight into a New Perspective on the Complex Propagation Processes in Networks: Dynamic Link Equations. Phys. Scr. 2024, 99, 115250. [Google Scholar] [CrossRef]
  50. Park, N.-J.; Kim, Y.-U.; Ahn, H.-S. Fixed Node Determination and Analysis in Directed Acyclic Graphs of Structured Networks. J. Frankl. Inst. 2024, 361, 106995. [Google Scholar] [CrossRef]
  51. Li, Y.; Zhang, S.; Xu, T.; Zhu, M.; Zhu, Q. Relatively Important Node Identification for Cyber–Physical Power Systems Based on Relatively Weighted Entropy. Int. J. Electr. Power Energy Syst. 2024, 160, 110050. [Google Scholar] [CrossRef]
  52. Yao, Z.; Zhu, Q.; Zhang, Y.; Huang, H.; Luo, M. Minimizing Long-Term Energy Consumption in RIS-Assisted AAV-Enabled MEC Network. IEEE Internet Things J. 2025, 12, 20942–20958. [Google Scholar] [CrossRef]
  53. Jaouadi, M.; Ben Romdhane, L. A Survey on Influence Maximization Models. Expert Syst. Appl. 2024, 248, 123429. [Google Scholar] [CrossRef]
  54. Li, Y.; Ge, Y.; Zhao, Y.; Xu, T.; Abdennebi, M.; Zhu, M. Methods for Evaluating Critical Lines and Nodes in Cyber–Physical Power Systems From Three Network Perspectives. IEEE Syst. J. 2024, 18, 1987–1998. [Google Scholar] [CrossRef]
  55. Zhang, S.; Liu, D.; Cui, X.; Zhou, K.; Wang, B. Distributed Adaptive Finite-Time and Fixed-Time Cluster Synchronization of Complex Networks. J. Frankl. Inst. 2025, 362, 107533. [Google Scholar] [CrossRef]
Figure 1. Original network and attacked network.
Figure 1. Original network and attacked network.
Processes 13 02438 g001
Figure 2. Trend of NE for each network: (a) Karate; (b) Dolphins; (c) Polbooks; (d) Adjnoun; (e) Power; (f) ER; (g) WS; (h) NW; (i) BA.
Figure 2. Trend of NE for each network: (a) Karate; (b) Dolphins; (c) Polbooks; (d) Adjnoun; (e) Power; (f) ER; (g) WS; (h) NW; (i) BA.
Processes 13 02438 g002
Figure 3. Trend of LCC for each network: (a) Karate; (b) Dolphins; (c) Polbooks; (d) Adjnoun; (e) Power; (f) ER; (g) WS; (h) NW; (i) BA.
Figure 3. Trend of LCC for each network: (a) Karate; (b) Dolphins; (c) Polbooks; (d) Adjnoun; (e) Power; (f) ER; (g) WS; (h) NW; (i) BA.
Processes 13 02438 g003
Figure 4. Node ordering distribution in nine datasets: (a) Karate; (b) Dolphins; (c) Polbooks; (d) Adjnoun; (e) Power; (f) ER; (g) WS; (h) NW; (i) BA.
Figure 4. Node ordering distribution in nine datasets: (a) Karate; (b) Dolphins; (c) Polbooks; (d) Adjnoun; (e) Power; (f) ER; (g) WS; (h) NW; (i) BA.
Processes 13 02438 g004
Figure 5. Typical four-station ring ship power grid.
Figure 5. Typical four-station ring ship power grid.
Processes 13 02438 g005
Figure 6. Corresponding equivalent topology model.
Figure 6. Corresponding equivalent topology model.
Processes 13 02438 g006
Figure 7. Degree distribution and node degrees in the ship power grid.
Figure 7. Degree distribution and node degrees in the ship power grid.
Processes 13 02438 g007
Figure 8. Monotonicity distribution in the ship power grid.
Figure 8. Monotonicity distribution in the ship power grid.
Processes 13 02438 g008
Figure 9. Heat maps of different algorithms for the ship’s power grid.
Figure 9. Heat maps of different algorithms for the ship’s power grid.
Processes 13 02438 g009
Figure 10. Changes in LCC and NE of the ship power grid. (a) Results of the vulnerability experiments; (bd) Network topological structures under different removal proportions.
Figure 10. Changes in LCC and NE of the ship power grid. (a) Results of the vulnerability experiments; (bd) Network topological structures under different removal proportions.
Processes 13 02438 g010
Figure 11. Variation in LCC in the ship power grid under different perturbations: (a) edge addition; (b) edge removal; (c) edge rewiring.
Figure 11. Variation in LCC in the ship power grid under different perturbations: (a) edge addition; (b) edge removal; (c) edge rewiring.
Processes 13 02438 g011
Figure 12. Variation in NE in the ship power grid under different perturbations: (a) edge addition; (b) edge removal; (c) edge rewiring.
Figure 12. Variation in NE in the ship power grid under different perturbations: (a) edge addition; (b) edge removal; (c) edge rewiring.
Processes 13 02438 g012
Table 1. Comparison of the advantages and disadvantages of various algorithms.
Table 1. Comparison of the advantages and disadvantages of various algorithms.
AlgorithmAdvantagesDisadvantages
DCSimple calculation, high efficiency, suitable for rapid estimation in large-scale networks.Cannot distinguish nodes with the same degree; ignores the importance of neighboring nodes.
CCReflects the average distance from nodes to the whole network; suitable for evaluating information propagation ability.Sensitive to network structural changes; high computational complexity; less efficient in large-scale networks.
LLSConsiders overlap among neighbors and can better capture local structural differences among nodes.Ignores hierarchical relationships between nodes and their neighbors; depends on neighbor distribution.
MDDCombines node core and boundary characteristics, comprehensively reflecting structural position.Depends on the parameter λ for adjustment, requires manual setting, and is highly sensitive.
LDIntroduces scale r, enabling influence evaluation within different neighborhood ranges, reflecting the fractal characteristics of the network.Only counts the number of nodes; does not consider distance weights between nodes; limited discriminative power.
FLDIntroduces distance weights using fuzzy sets, distinguishes the influence of nodes at different radii, and measures importance more precisely.Does not consider the structural attributes of neighboring nodes.
FLDTIntegrates neighbor distance attenuation, same-level neighbor nodes, and structural differences; strong discriminative power; no need for parameter tuning.Slightly higher computational complexity compared to traditional methods.
Table 2. Topological characterization parameters of real datasets.
Table 2. Topological characterization parameters of real datasets.
DatasetNM<K><cc>ρL
Karate34784.58820.57060.13902.0325
Dolphins621595.12900.25990.08412.6370
Polbooks1054418.40000.48750.08082.5184
Adjnoun1124257.58930.17280.06842.2622
Power494165942.66910.08040.000515.9038
Table 3. Network model parameters.
Table 3. Network model parameters.
ModelParameter
ER networkN = 500, p = 0.01
BA networkN = 500, m = 4
WS networkN = 500, p = 0.5, k = 4
NW networkN = 500, p = 0.5, k = 3
Table 4. Comparison of NE decline under node removal for different algorithms.
Table 4. Comparison of NE decline under node removal for different algorithms.
AlgorithmPDCCCLDFLDLLSMDDFLDT
Karate20%0.93210.87290.34060.9380.9380.93210.9384
40%0.98910.94780.62260.96740.98910.96740.9891
Dolphins20%0.68950.54780.30450.56000.70220.66200.7181
40%0.91900.82130.57280.80060.96220.90870.9623
Polbooks20%0.74990.5890.36100.69770.70560.74990.6926
40%0.95290.90950.72930.94900.96230.94890.9719
Adjnoun20%0.70270.64220.31020.62880.69040.69040.6953
40%0.93960.89300.57290.96210.97510.91910.9747
Power20%0.99450.86550.35570.95000.99430.99220.9961
40%0.99870.94790.62520.98370.99880.99840.9993
ER20%0.61750.54060.33110.55450.61100.58400.6636
40%0.97920.87630.61740.91050.96450.94640.9913
WS20%0.62760.50860.36900.57650.64590.57940.6812
40%0.96440.82810.67460.91190.96510.92380.9867
NW20%0.74590.55360.35870.58760.72620.70780.7980
40%0.95570.85640.67670.92100.94510.94430.9878
BA20%0.77860.66020.34710.73520.78410.77860.7847
40%0.99210.89420.62370.98190.99220.98890.9959
Table 5. Comparison of LCC decline under node removal for different algorithms.
Table 5. Comparison of LCC decline under node removal for different algorithms.
AlgorithmPDCCCLDFLDLLSMDDFLDT
Karate20%0.17650.23530.79410.14710.14710.17650.1471
40%0.05880.14710.58820.14710.05880.14710.0588
Dolphins20%0.67740.79030.80650.77420.66120.66120.5968
40%0.27420.30650.59680.43550.11290.29030.1452
Polbooks20%0.60000.72380.79050.72380.72380.60000.7333
40%0.13330.20950.29520.13330.09520.13330.0857
Adjnoun20%0.69640.71430.79460.72320.69640.69640.7054
40%0.28570.40180.58930.16070.11610.34820.0804
Power20%0.00930.41210.79170.17120.00930.02350.0051
40%0.00220.15240.59180.04070.00200.00380.0010
ER20%0.76310.77910.79520.77510.76310.77310.7450
40%0.12650.47990.59440.44180.20080.32930.0321
WS20%0.73000.77800.7900.75000.74400.76200.7140
40%0.16000.50800.59800.41000.15600.30200.0580
NW20%0.67400.79200.80000.79200.72000.72000.6620
40%0.20200.50800.59000.38000.19200.26200.0160
BA20%0.72600.76800.80000.73400.72000.72600.7240
40%0.06200.49600.60000.15800.07200.10000.0200
Table 6. Monotonicity (M) values of different node importance algorithms on the network.
Table 6. Monotonicity (M) values of different node importance algorithms on the network.
DatasetM(DC)M(CC)M(LD)M(FLD)M(LLS)M(MDD)M(FLDT)
Karate0.70790.89930.94380.94380.77230.75360.9542
Dolphins0.83120.97370.99680.99680.96230.90410.9979
Polbooks0.82520.98471.00001.00000.99740.90771.0000
Adjnoun0.86610.98370.99970.99970.97890.91810.9997
Power0.59270.99980.99990.99990.81510.69280.9999
ER0.75380.99630.99990.99990.99120.87370.9998
WS0.57600.99591.00001.00000.99280.72871.0000
NW0.44420.99791.00001.00000.93200.56211.0000
BA0.67680.99500.99990.99991.00000.71881.0000
Table 7. Monotonicity values for different algorithms for the ship power grid.
Table 7. Monotonicity values for different algorithms for the ship power grid.
M(DC)M(CC)M(LD)M(FLD)M(LLS)M(MDD)M(FLDT)
0.42720.92040.92040.92040.70070.61400.9342
Table 8. Number of distinctions between different algorithms for ship power grid.
Table 8. Number of distinctions between different algorithms for ship power grid.
DCCCLDFLDLLSMDDFLDT
421212110629
Table 9. Vulnerable point identification results for different algorithms.
Table 9. Vulnerable point identification results for different algorithms.
RankDCCCLDFLDLLSMDDFLDT
1S11S11G1S11S11S11S11
2S41S41G4S41S41S41S41
3S31S31G3S31S31S31 S31
4S21 S21G2S21S21S21S21
5BT1J1L12J1BT1BT1S13
6S12J2L42J2BT7S12S43
7S13J4L32J4BT5BT7S33
8BT2J3L22J3BT3S42S23
9BT7F11L15F11S12BT5BT1
10S42F55L45F55S42S32BT7
RankDCCCLDFLDLLSMDDFLDT
Table 10. Comparison of LCC decline under node removal for different algorithms in the ship power grid.
Table 10. Comparison of LCC decline under node removal for different algorithms in the ship power grid.
NetworkPDCCCLDFLDLLSMDDFLDT
Original network20%0.04350.06520.79340.06520.04350.04350.0543
40%0.03260.05430.58700.05430.03260.03260.0217
Edge addition20%0.05960.15640.79350.15640.05960.05960.0698
40%0.04530.10460.58700.10320.05160.05150.0248
Edge removal20%0.04220.06520.74350.06520.04220.04220.0505
40%0.03260.05430.56630.05430.03260.03260.0217
Edge rewiring20%0.05920.13460.75470.13450.05920.05920.0641
40%0.04430.0980.56890.09610.04890.04890.0243
Table 11. Comparison of NE decline under node removal for different algorithms in the ship power grid.
Table 11. Comparison of NE decline under node removal for different algorithms in the ship power grid.
NetworkPDCCCLDFLDLLSMDDFLDT
Original network20%0.96840.90440.30750.90440.96840.96840.9691
40%0.98120.93870.54760.94090.97340.97340.9978
Edge addition20%0.96270.88210.31460.88210.96270.96270.9629
40%0.97870.93050.56180.93310.97040.97040.9960
Edge removal20%0.96610.89870.29130.89870.96610.96610.9671
40%0.97980.93520.52160.93760.97150.97150.9976
Edge rewiring20%0.96060.88100.31190.88100.96060.96060.9616
40%0.97770.92830.54850.93140.96910.96910.9957
Disclaimer/Publisher’s Note: The statements, opinions and data contained in all publications are solely those of the individual author(s) and contributor(s) and not of MDPI and/or the editor(s). MDPI and/or the editor(s) disclaim responsibility for any injury to people or property resulting from any ideas, methods, instructions or products referred to in the content.

Share and Cite

MDPI and ACS Style

Huang, K.; Zhang, W.; Xu, Y.; Wu, C.; Li, W. A Vulnerability Identification Method for Distribution Networks Integrating Fuzzy Local Dimension and Topological Structure. Processes 2025, 13, 2438. https://doi.org/10.3390/pr13082438

AMA Style

Huang K, Zhang W, Xu Y, Wu C, Li W. A Vulnerability Identification Method for Distribution Networks Integrating Fuzzy Local Dimension and Topological Structure. Processes. 2025; 13(8):2438. https://doi.org/10.3390/pr13082438

Chicago/Turabian Style

Huang, Kangzheng, Weichuan Zhang, Yongsheng Xu, Chenkai Wu, and Weibo Li. 2025. "A Vulnerability Identification Method for Distribution Networks Integrating Fuzzy Local Dimension and Topological Structure" Processes 13, no. 8: 2438. https://doi.org/10.3390/pr13082438

APA Style

Huang, K., Zhang, W., Xu, Y., Wu, C., & Li, W. (2025). A Vulnerability Identification Method for Distribution Networks Integrating Fuzzy Local Dimension and Topological Structure. Processes, 13(8), 2438. https://doi.org/10.3390/pr13082438

Note that from the first issue of 2016, this journal uses article numbers instead of page numbers. See further details here.

Article Metrics

Back to TopTop