Unsteady Natural Convection and Entropy Generation in Thermally Stratified Trapezoidal Cavities: A Comparative Study
Abstract
1. Introduction
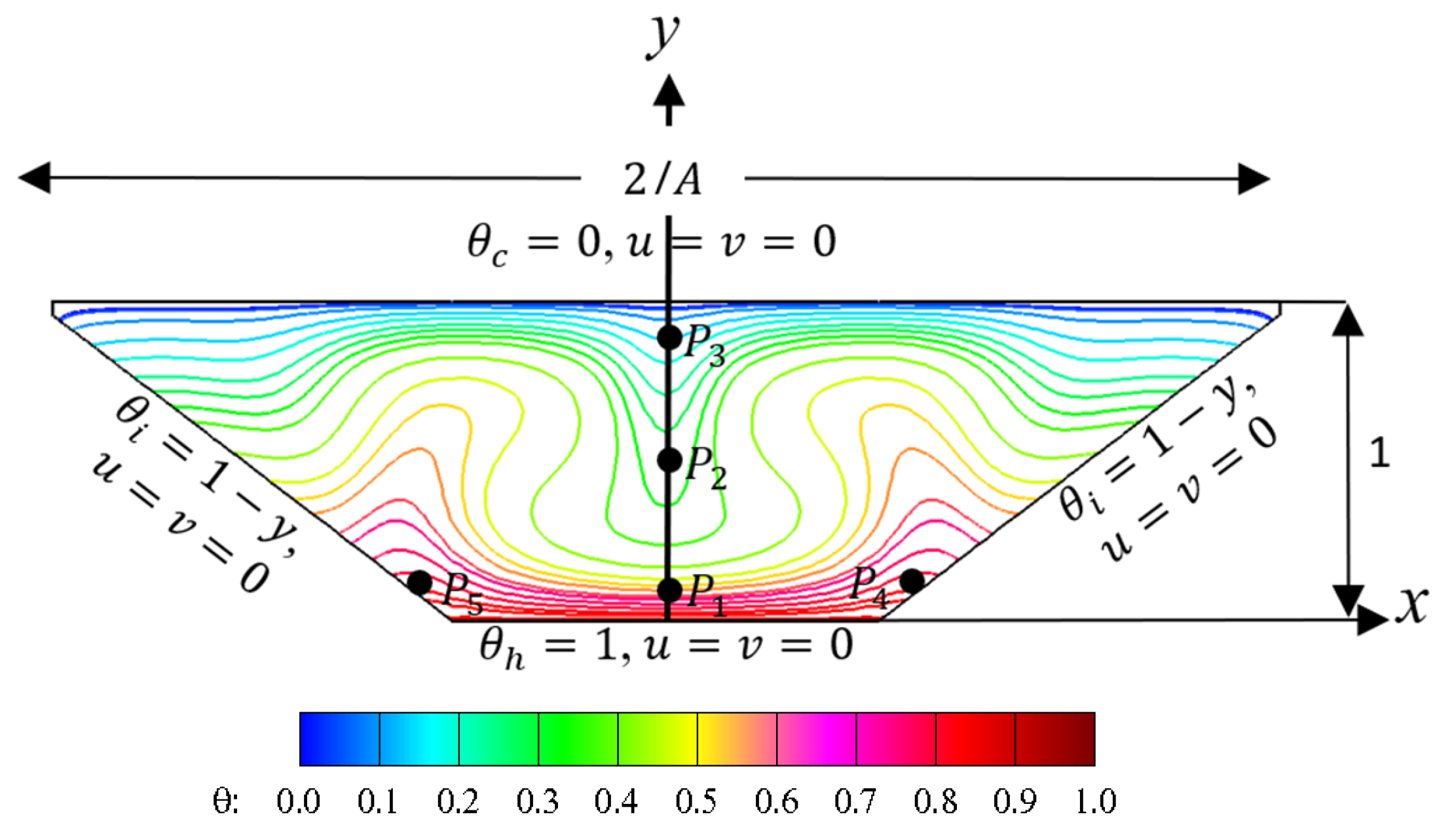
2. Mathematical Model Formulations
3. Grid Dependency Test

4. Validation
5. Results and Discussions
5.1. Transition from Symmetric to Asymmetric Flow
5.2. Transition from Steady to Chaotic Flow
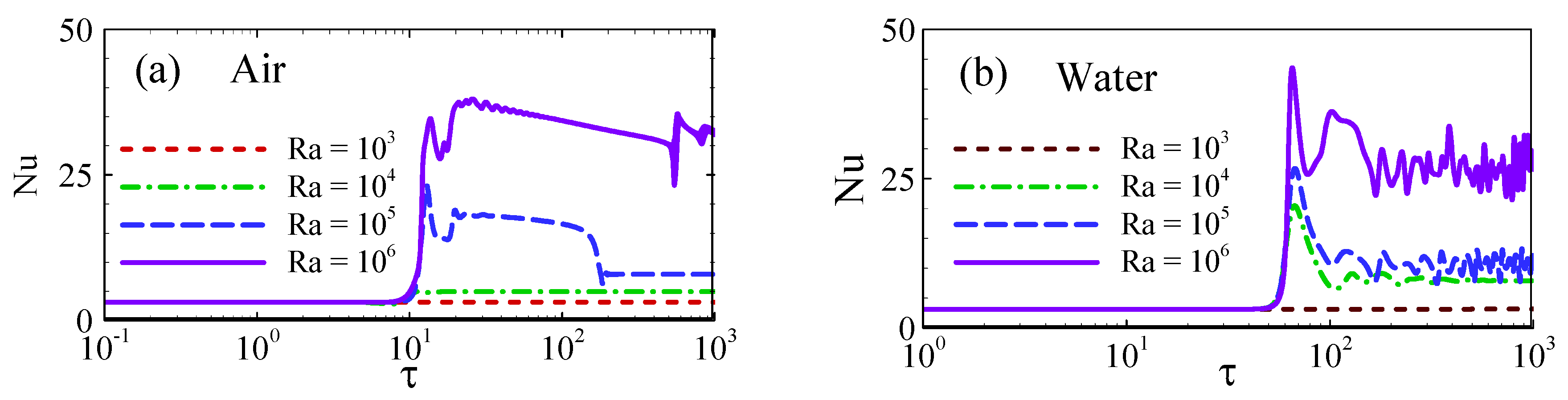
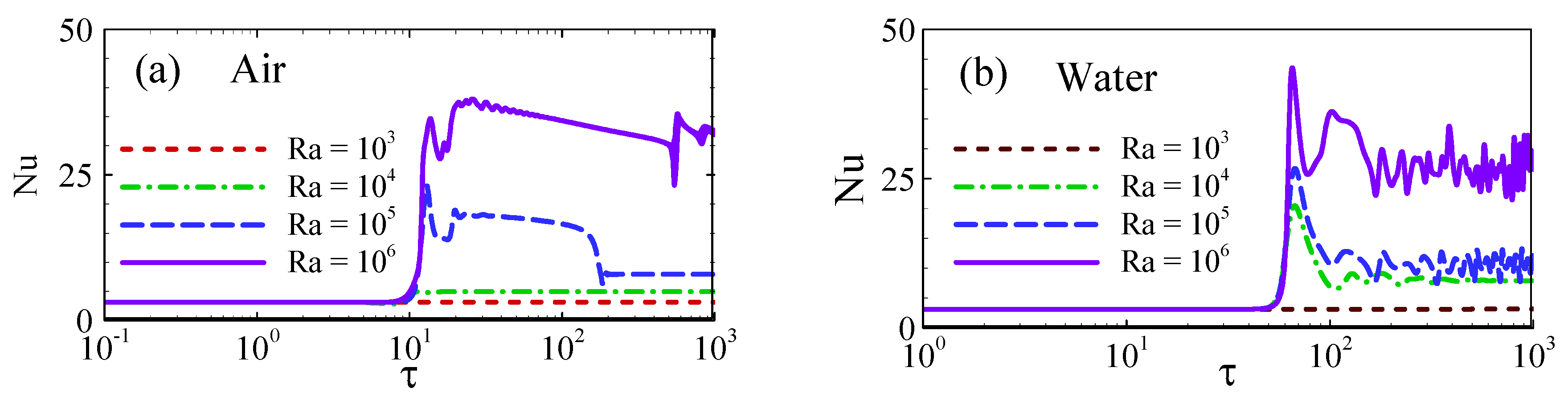
5.3. Heat Transfer
5.4. Entropy Generation Analysis
6. Conclusions
- The transition from symmetric to asymmetric, steady to periodic, and periodic to chaotic states were analyzed for both air-filled and water-filled cavities. All these transitions were observed to occur at comparatively lower Ra values in the water-filled enclosure than in the air-filled one.
- Transition from a symmetric to an asymmetric state occurs in the air-filled cavity between the Ra values of Ra = 105 and 2 × 105, and in the water-filled cavity between Ra = 9 × 104 and 105.
- Transition from a steady to a periodic state occurs in the air-filled cavity between the Ra values of Ra = 4.8 × 105 and 3 × 107, and in the water-filled cavity between Ra = 2 × 105 and 4 × 105.
- Transition from a periodic to a chaotic state occurs in the air-filled cavity between the Ra values of Ra = 3 × 107 and 4 × 107, and in the water-filled cavity between Ra = 4 × 105 and 5 × 105.
- At Ra = 106, the HT rate at the bottom wall is 24.13% higher in the air-filled cavity than in the water-filled cavity.
- At Ra = 106, the average HT from the entire cavity is 85.35% greater in the air-filled enclosure than in the water-filled one.
- At Ra = 106, the average entropy production in the air-filled cavity is 94.54% higher than that in the water-filled cavity.
- At Ra = 10⁶, the average Bejan number in the enclosure filled with water is 20.56% lower than that of the enclosure filled with air.
- At Ra = 106, the thermal efficiency of the enclosure filled with water is 4.96% higher than that of the enclosure filled with air.
7. Limitations and Future Research
Author Contributions
Funding
Data Availability Statement
Conflicts of Interest
Nomenclature
| AR | aspect ratio | Bel | local Bejan number |
| L, H | half-length and height of the cavity (m) | Beavg | average Bejan number |
| g | gravitational force (m/s2) | k | thermal conductivity (W/(m·K)) |
| t | time (s) | X, Y | coordinates |
| Cp | specific heat (J/kg K) | x, y | dimensionless coordinates |
| P | pressure (N/m2) | U, V | velocity components (m/s) |
| p | dimensionless pressure | u, v | dimensionless velocity components |
| T | temperature (K) | Greek symbols | |
| T∞ | environmental temperature (K) | κ | thermal diffusivity (m2/s) |
| Th | temperature of the bottom wall (K) | θ | dimensionless temperature |
| Tc | temperature of the top wall (K) | ν | kinematic viscosity (m2/s) |
| Ti | temperature of the inclined walls (K) | φ | irreversibility distribution ratio |
| ψ | inclination angle | ||
| ΔT | temperature difference, (Th−Tc) | ρ | density (kg/m3) |
| Eht | entropy generation due to heat transfer | τ | dimensionless time |
| Pr | Prandtl number | Δτ | dimensionless time step |
| Egen | entropy generation | θh | dimensionless temperature of the bottom wall |
| Ra | Rayleigh number, gβ(Th − Tc)H3/νκ | ||
| Nu | average Nusselt number | θi | dimensionless temperature of the inclinedwalls |
| Eff | entropy generation due to fluid friction | ||
| El | local entropy generation | θc | dimensionless temperature of the top wall |
| Eavg | average entropy generation | ||
References
- Nourdanesh, N.; Hossainpour, S.; Adamiak, K. Numerical simulation and optimization of natural convection heat transfer enhancement in solar collectors using electrohydrodynamic conduction pump. Appl. Therm. Eng. 2020, 180, 115825. [Google Scholar] [CrossRef]
- Chen, H.T.; Hsieh, Y.L.; Chen, P.C.; Lin, Y.F.; Liu, K.C. Numerical simulation of natural convection heat transfer for annular elliptical finned tube heat exchanger with experimental data. Int. J. Heat Mass Transf. 2018, 127, 541–554. [Google Scholar] [CrossRef]
- Letan, R.; Dubovsky, V.; Ziskind, G. Passive ventilation and heating by natural convection in a multi-storey building. Build. Environ. 2003, 38, 197–208. [Google Scholar] [CrossRef]
- Rath, S.; Dash, S.K. Thermal performance of a wavy annular finned horizontal cylinder in natural convection for electronic cooling application. Int. Commun. Heat Mass Transf. 2021, 128, 105623. [Google Scholar]
- Vogel, J.; Felbinger, J.; Johnson, M. Natural convection in high temperature flat plate latent heat thermal energy storage systems. Appl. Energy 2016, 184, 184–196. [Google Scholar] [CrossRef]
- Bhavsar, H.P.; Patel, C.M. Performance investigation of natural and forced convection cabinet solar dryer for ginger drying. Mater. Today Proc. 2021, 47, 6128–6133. [Google Scholar] [CrossRef]
- Bhowmick, S.; Saha, S.C.; Qiao, M.; Xu, F. Transition to a chaotic flow in a V-shaped triangular cavity heated from below. Int. J. Heat Mass Transf. 2019, 128, 76–86. [Google Scholar] [CrossRef]
- Chen, C.C.; Eichhorn, R. Natural convection from a vertical surface to a thermally stratified fluid. ASME J. Heat Transf. 1976, 98, 446–451. [Google Scholar] [CrossRef]
- Eichhorn, R. Natural convection in a thermally stratified fluid. Prog. Heat Mass Transf. 1969, 2, 41–53. [Google Scholar]
- Eichhorn, R.; Lienhard, J.H.; Chen, C.C. Natural convection from isothermal spheres and cylinders immersed in a stratified fluid. In International Heat Transfer Conference Digital Library; Begel House Inc.: Danbury, CT, USA, 1974. [Google Scholar]
- Angirasa, D.; Peterson, G.P. Natural convection heat transfer from an isothermal vertical surface to a fluid saturated thermally stratified porous medium. Int. J. Heat Mass Transf. 1997, 40, 4329–4335. [Google Scholar] [CrossRef]
- Tripathi, R.K.; Nath, G. Unsteady natural convection flow over a vertical plate embedded in a stratified medium. Int. J. Heat Mass Transf. 1993, 36, 1125–1128. [Google Scholar] [CrossRef]
- Lin, W.; Armfield, S.W.; Morgan, P.L. Unsteady natural convection boundary-layer flow along a vertical isothermal plate in a linearly stratified fluid with Pr > 1. Int. J. Heat Mass Transf. 2002, 45, 451–459. [Google Scholar] [CrossRef]
- Shapiro, A.; Fedorovich, E. Prandtl number dependence of unsteady natural convection along a vertical plate in a stably stratified fluid. Int. J. Heat Mass Transf. 2004, 47, 4911–4927. [Google Scholar] [CrossRef]
- Shapiro, A.; Fedorovich, E. Unsteady convectively driven flow along a vertical plate immersed in a stably stratified fluid. J. Fluid Mech. 2004, 498, 333–352. [Google Scholar] [CrossRef]
- Shapiro, A.; Fedorovich, E. Natural convection in a stably stratified fluid along vertical plates and cylinders with temporally periodic surface temperature variations. J. Fluid Mech. 2006, 546, 295–311. [Google Scholar] [CrossRef]
- Patterson, J.; Imberger, J. Unsteady natural convection in a rectangular cavity. J. Fluid Mech. 1980, 100, 65–86. [Google Scholar] [CrossRef]
- Kuhn, D.; Oosthuizen, P.H. Unsteady natural convection in a partially heated rectangular cavity. J. Heat Transf. 1987, 109, 798–801. [Google Scholar] [CrossRef]
- Lei, C.; Armfield, S.W.; Patterson, J.C. Unsteady natural convection in a water-filled isosceles triangular enclosure heated from below. Int. J. Heat Mass Transf. 2008, 51, 2637–2650. [Google Scholar] [CrossRef]
- Ma, J.; Xu, F. Unsteady natural convection and heat transfer in a differentially heated cavity with a fin for high Rayleigh numbers. Appl. Therm. Eng. 2016, 99, 625–634. [Google Scholar] [CrossRef]
- Xu, F.; Patterson, J.C.; Lei, C. Unsteady flow and heat transfer adjacent to the sidewall wall of a differentially heated cavity with a conducting and an adiabatic fin. Int. J. Heat Fluid Flow 2011, 32, 680–687. [Google Scholar] [CrossRef]
- Elkhazen, M.I.; Hassen, W.; Gannoun, R.; Hussein, A.K.; Borjini, M.N. Numerical study of electroconvection in a dielectric layer between two cofocal elliptical cylinders subjected to unipolar injection. J. Eng. Phys. Thermophys. 2019, 92, 1318–1329. [Google Scholar] [CrossRef]
- Hassen, W.; Elkhazen, M.I.; Traore, P.; Borjini, M.N. Charge injection in horizontal eccentric annuli filled with a dielectric liquid. Eur. J. Mech.-B/Fluids 2018, 72, 691–700. [Google Scholar] [CrossRef]
- Elkhazen, M.I.; Hassen, W.; Öztop, H.F.; Kolsi, L.; Al-Rashed, A.A.; Borjini, M.N.; Ali, M.E. Electro-thermo-convection in dielectric liquid subjected to partial unipolar injection between two eccentric cylinders. Int. J. Numer. Methods Heat Fluid Flow 2019, 29, 78–93. [Google Scholar] [CrossRef]
- Akrour, D.; Elkhazen, M.I.; Hassen, W.; Kriaa, K.; Maatki, C.; Hadrich, B.; Kolsi, L. Numerical Investigation of the Electro-Thermo Convection in an Inclined Cavity Filled with a Dielectric Fluid. Processes 2023, 11, 2506. [Google Scholar] [CrossRef]
- Iyican, L.; Bayazitoglu, Y.; Witte, L.C. An analytical study of natural convective heat transfer within a trapezoidal enclosure. J. Heat Transf. 1980, 102, 640–647. [Google Scholar] [CrossRef]
- Iyican, L.; Witte, L.C.; Bayazitoglu, Y. An experimental study of natural convection in trapezoidal enclosures. J. Heat Transf. 1980, 102, 648–653. [Google Scholar] [CrossRef]
- Kuyper, R.A.; Hoogendoorn, C.J. Laminar natural convection flow in trapezoidal enclosures. Numer. Heat Transf. Part A Appl. 1995, 28, 55–67. [Google Scholar] [CrossRef]
- Moukalled, F.; Darwish, M. Natural convection in a partitioned trapezoidal cavity heated from the side. Numer. Heat Transf. Part A Appl. 2003, 43, 543–563. [Google Scholar] [CrossRef]
- Moukalled, F.; Darwish, M. Natural convection in a trapezoidal enclosure heated from the side with a baffle mounted on its upper inclined surface. Heat Transf. Eng. 2004, 25, 80–93. [Google Scholar] [CrossRef]
- Basak, T.; Roy, S.; Pop, I. Heat flow analysis for natural convection within trapezoidal enclosures based on heatline concept. Int. J. Heat Mass Transf. 2009, 52, 2471–2483. [Google Scholar] [CrossRef]
- Rahaman, M.M.; Titab, R.; Bhowmick, S.; Mondal, R.N.; Saha, S.C. Unsteady 2D flow in an initially stratified air-filled trapezoid. Jagannath Univ. J. Sci. 2022, 8, 1–6. [Google Scholar]
- Rahaman, M.M.; Bhowmick, S.; Mondal, R.N.; Saha, S.C. Unsteady natural convection in an initially stratified air-filled trapezoidal enclosure heated from below. Processes 2022, 10, 1383. [Google Scholar] [CrossRef]
- Rahaman, M.M.; Bhowmick, S.; Mondal, R.N.; Saha, S.C. A Computational Study of Chaotic Flow and Heat Transfer within a Trapezoidal Cavity. Energies 2023, 16, 5031. [Google Scholar] [CrossRef]
- Rahaman, M.M.; Bhowmick, S.; Mondal, R.N.; Saha, S.C. Unsteady Natural Convection Flow Within a Trapezoidal Enclosure. 2024. Available online: https://papers.ssrn.com/sol3/papers.cfm?abstract_id=4951897 (accessed on 12 February 2025).
- Bejan, A. Second law analysis in heat transfer. Energy 1980, 5, 720–732. [Google Scholar] [CrossRef]
- Bejan, A. Entropy generation minimization: The new thermodynamics of finite-size devices and finite-time processes. J. Appl. Phys. 1996, 79, 1191–1218. [Google Scholar] [CrossRef]
- Biswal, P.; Basak, T. Entropy generation vs energy efficiency for natural convection based energy flow in enclosures and various applications: A review. Renew. Sustain. Energy Rev. 2017, 80, 1412–1457. [Google Scholar] [CrossRef]
- Goh, L.H.K.; Hung, Y.M.; Chen, G.M.; Tso, C.P. Entropy generation analysis of turbulent convection in a heat exchanger with self-rotating turbulator inserts. Int. J. Therm. Sci. 2021, 160, 106652. [Google Scholar] [CrossRef]
- Magherbi, M.; Abbassi, H.; Brahim, A.B. Entropy generation at the onset of natural convection. Int. J. Heat Mass Transf. 2003, 46, 3441–3450. [Google Scholar] [CrossRef]
- Ilis, G.G.; Mobedi, M.; Sunden, B. Effect of aspect ratio on entropy generation in a rectangular cavity with differentially heated vertical walls. Int. Commun. Heat Mass Transf. 2008, 35, 696–703. [Google Scholar] [CrossRef]
- Varol, Y.; Oztop, H.F.; Koca, A. Entropy generation due to conjugate natural convection in enclosures bounded by vertical solid walls with different thicknesses. Int. Commun. Heat Mass Transf. 2008, 35, 648–656. [Google Scholar] [CrossRef]
- Varol, Y.; Oztop, H.F.; Pop, I. Entropy generation due to natural convection in non-uniformly heated porous isosceles triangular enclosures at different positions. Int. J. Heat Mass Transf. 2009, 52, 1193–1205. [Google Scholar] [CrossRef]
- Basak, T.; Kaluri, R.S.; Balakrishnan, A.R. Entropy generation during natural convection in a porous cavity: Effect of thermal boundary conditions. Numer. Heat Transf. Part A Appl. 2012, 62, 336–364. [Google Scholar] [CrossRef]
- Siavashi, M.; Yousofv, R.; Rezanejad, S. Nanofluid and porous fins effect on natural convection and entropy generation of flow inside a cavity. Adv. Powder Technol. 2018, 29, 142–156. [Google Scholar] [CrossRef]
- Rahaman, M.M.; Bhowmick, S.; Saha, G.; Xu, F.; Saha, S.C. Transition to chaotic flow, bifurcation, and entropy generation analysis inside a stratified trapezoidal enclosure for varying aspect ratio. Chin. J. Phys. 2024, 91, 867–882. [Google Scholar] [CrossRef]
- Rahaman, M.M.; Bhowmick, S.; Ghosh, B.P.; Xu, F.; Mondal, R.N.; Saha, S.C. Transient natural convection flows and heat transfer in a thermally stratified air-filled trapezoidal cavity. Therm. Sci. Eng. Prog. 2024, 47, 102377. [Google Scholar] [CrossRef]
- Rahaman, M.M.; Bhowmick, S.; Saha, S.C. Thermal performance and entropy generation of unsteady natural convection in a trapezoid-shaped cavity. Processes 2025, 13, 921. [Google Scholar] [CrossRef]
- Lasfer, K.; Bouzaiane, M.; Lili, T. Numerical study of laminar natural convection in a side-heated trapezoidal cavity at various inclined heated sidewalls. Heat Transf. Eng. 2010, 31, 362–373. [Google Scholar] [CrossRef]
- Ridouane, E.H.; Campo, A. Formation of a pitchfork bifurcation in thermal convection flow inside an isosceles triangular cavity. Phys. Fluids 2006, 18, 074102. [Google Scholar] [CrossRef]














| Property (Unit) | Stratified Air | Stratified Water |
|---|---|---|
| ρ (kg/m3) | 1.177 | 998.4 |
| Cp (J/kg K) | 1012 | 4182 |
| k (W/m K) | 0.0257887 | 0.566 |
| β (1/K) | 0.008045 | 3.109 × 10−4 |
| μ (kg/m s) | 1.8093 × 10−5 | 9.4748 × 10−4 |
| Grids and Time Steps | Air | Water | ||
|---|---|---|---|---|
| Average Temperature | Variance | Average Temperature | Variance | |
| 225 × 75 and Δτ = 0.01 | 0.2007 | 0.89% | 0.2889 | 0.73% |
| 300 × 100 and Δτ = 0.01 | 0.2025 | – | 0.2924 | – |
| 300 × 100 and Δτ = 0.005 | 0.2036 | 0.54% | 0.2937 | 0.44% |
| 375 × 125 and Δτ = 0.01 | 0.2030 | 0.25% | 0.2931 | 0.24% |
| Ra | Experimental [27] | Numerical [49] | Present Study |
|---|---|---|---|
| 103 | – | 1.66 | 1.56 |
| 104 | 2.20 | 2.33 | 2.31 |
| 105 | 5.20 | 6.09 | 5.99 |
| 106 | 12.50 | 13.40 | 13.10 |
| 107 | 29.52 | – | 29.21 |
| Cavity: | Rayleigh Numbers | Flow Regimes | Applications |
|---|---|---|---|
| Air-filled cavity | Ra ≤ 105 | Symmetric steady | in fluid transport, cooling, microfluidics, and aerodynamics. |
| Ra = 2 × 105 to 4.7 × 105 | Asymmetric steady | in transport systems, biomedical devices, thermal management, and aerodynamics. | |
| Ra = 4.8 × 105 to 3 × 107 | Periodic | in biological systems, engineering devices, and natural phenomena. | |
| Ra ≥ 4 × 107 | Chaotic | in biomedical flows, thermal systems, chemical reactors, and natural environments. | |
| Water-filled cavity | Ra ≤ 9 × 104 | Symmetric steady | in fluid flow systems, heat dissipation technologies, microfluidic devices, and aerodynamic analysis. |
| Ra = 105 | Asymmetric steady | within transportation design, medical device development, thermal systems engineering, and aerodynamic analysis. | |
| Ra = 2 × 105 to 4 × 105 | Periodic | in living organisms, technological applications, and environmental systems. | |
| Ra ≥ 5 × 105 | Chaotic | in biological fluid systems, thermal management, industrial reactors, and environmental processes. |
Disclaimer/Publisher’s Note: The statements, opinions and data contained in all publications are solely those of the individual author(s) and contributor(s) and not of MDPI and/or the editor(s). MDPI and/or the editor(s) disclaim responsibility for any injury to people or property resulting from any ideas, methods, instructions or products referred to in the content. |
© 2025 by the authors. Licensee MDPI, Basel, Switzerland. This article is an open access article distributed under the terms and conditions of the Creative Commons Attribution (CC BY) license (https://creativecommons.org/licenses/by/4.0/).
Share and Cite
Rahaman, M.M.; Bhowmick, S.; Saha, S.C. Unsteady Natural Convection and Entropy Generation in Thermally Stratified Trapezoidal Cavities: A Comparative Study. Processes 2025, 13, 1908. https://doi.org/10.3390/pr13061908
Rahaman MM, Bhowmick S, Saha SC. Unsteady Natural Convection and Entropy Generation in Thermally Stratified Trapezoidal Cavities: A Comparative Study. Processes. 2025; 13(6):1908. https://doi.org/10.3390/pr13061908
Chicago/Turabian StyleRahaman, Md. Mahafujur, Sidhartha Bhowmick, and Suvash C. Saha. 2025. "Unsteady Natural Convection and Entropy Generation in Thermally Stratified Trapezoidal Cavities: A Comparative Study" Processes 13, no. 6: 1908. https://doi.org/10.3390/pr13061908
APA StyleRahaman, M. M., Bhowmick, S., & Saha, S. C. (2025). Unsteady Natural Convection and Entropy Generation in Thermally Stratified Trapezoidal Cavities: A Comparative Study. Processes, 13(6), 1908. https://doi.org/10.3390/pr13061908

