Abstract
Carbon dioxide (CO2) storage in sandstones is vital for enhancing oil/gas recovery and reducing CO2 emissions. The introduction of CO2 into sandstone reservoirs leads to chemical reactions between CO2 and minerals present in sandstone, which changes the pore structure of the sandstone reservoir. Herein, tight sandstone samples from the Coal-Measure Strata of the Shanxi Formation in the Huxiang area, Henan Province, were selected for simulation in this experimental study under supercritical CO2 (ScCO2)–H2O treatment in reservoir conditions. Further, mercury intrusion porosimetry and low-pressure nitrogen adsorption/desorption methods were used to analyze the evolution of the pore structures of tight sandstones, and the mechanism of pore structure evolution was discussed. The results show that pore volumes and specific surface areas in the micropores and transitional pores decreased after the ScCO2–H2O treatment, while those in the mesopores and macropores increased. In the micropores and transitional pores, some of the pores changed from open pores and ink-bottle-shaped pores to semi-closed pores after the ScCO2–H2O treatment, and the pore morphology became narrower, which might have deteriorated the pore connectivity. A pore structure evolution model of ScCO2–H2O-treated tight sandstones was proposed. The evolution of pore structure is a result of the synergistic effect of pore enlargement caused by mineral dissolution and secondary mineral precipitation, which together play a controlling role in pore structure evolution. This study is conducive to understanding the pore structure evolution under ScCO2–H2O treatment and implementing CO2 storage and enhancing oil/gas recovery in sandstone reservoirs.
1. Introduction
With the continuous growth of global energy demand and enhanced awareness toward environmental protection, the geological sequestration of carbon dioxide (CO2) and development of tight sandstone oil and/or gas have become research hotspots in recent years [1,2]. Previous studies have shown that CO2 can react with minerals due to its dissolution in water (H2O) and the subsequent formation of carbonic acid, and it frequently exists in a supercritical (Sc) state (above 31.1 °C and 7.38 MPa) in deep tight sandstone reservoirs. The reactions between ScCO2–H2O and minerals alter the pore structure of the tight sandstone reservoir under Sc conditions [3]. Therefore, studying the pore structure evolution in tight sandstone under ScCO2–H2O treatment is crucial for achieving an effective strategy for the storage of CO2 and enhancement in sandstone oil/gas recovery.
To date, extensive research efforts have been devoted to understanding the pore structure evolution in shale, sandstone, and coal subjected to ScCO2–H2O treatment [4,5]. The research on pore structure can be traced back to the 1950s [6,7]. At that time, researchers began to utilize the low-pressure nitrogen adsorption/desorption method to describe the pore structure of various materials [8]. This method is capable of detecting the pore structure with the pore size range of 0.4–500 nm in solid materials. However, it fails to characterize pores larger than 500 nm in size. With technological advancements, mercury intrusion porosimetry was widely used in the 1970s [9]. Mercury intrusion porosimetry offers advantages in detecting pore structures with pore size ranging from tens of nanometers to tens of micrometers. Nevertheless, the application of high mercury intrusion pressure triggers matrix compression and subsequently gives rise to inaccuracies in the estimated pore size [10]. By the late 20th century, researchers started to explore the application of nuclear magnetic resonance (NMR) technology in geology, with a specific focus on reservoir pore structure assessment [11]. This technology can realize full aperture size detection. However, it lacks the ability to provide detailed parameters of pore structure. Moreover, when dealing with tight core samples, the presence of strong pore heterogeneity often leads to serious distortions within the internal magnetic field, which consequently causes relatively poor measurement accuracy for the nano-scale pore structure [12]. Considering that different detection methods have their own advantages and limitations, it is difficult to achieve a comprehensive detection of pore structure by using a single detection method. Nowadays, multiple detection methods, such as NMR spectroscopy, mercury intrusion porosimetry, and the low-pressure nitrogen adsorption/desorption method, are often combined to achieve accurate characterization of the full pore size range and to guarantee the precision and validity of the results [13].
Previous studies have shown that [14,15,16,17] the evolution of the pore structure under ScCO2–H2O treatment is the result of chemical reactions. Moreover, the effect of the ScCO2–H2O treatment on the pore structure shows two main mechanisms. On the one hand, carbonate minerals undergo congruent dissolution in an acidic environment, which is manifested as a significant pore-increasing effect and pore-expanding effect. On the other hand, the dissolution and subsequent reprecipitation of silicate minerals, accompanied by the formation of new minerals, may cause blockage of the pore space. Furthermore, according to the literature, a variation in experimental conditions leads to significant differences in the pore structures of the samples after ScCO2–H2O treatment [18,19,20,21,22]. For instance, Ren et al. [18] treated columnar tight sandstone samples with ScCO2–H2O under pressure gradients ranging from 15 to 25 MPa and temperature gradients from 44 to 64 °C. NMR detection revealed that the porosity of the samples increased by a range of 1.7% to 6.2%. They proposed that dissolution resulted in the enlargement of pore spaces and throat sizes. Moreover, a higher pressure led to a greater amount of mineral dissolution, whereas a higher temperature led to a smaller amount of mineral dissolution. By contrast, Ozotta et al. [19] treated granular shale samples with ScCO2–H2O at room temperature and at a pressure of 7.03 MPa. The total pore volume of the samples was found to decrease by the low-pressure nitrogen adsorption/desorption method. It is proposed that during the dissolution of the original minerals, new minerals are simultaneously generated, subsequently resulting in pore blockage. Furthermore, some studies have also centered on the fine modification of pores with different pore sizes by ScCO2–H2O treatment. For example, Chen et al. [20] treated granular coal samples with ScCO2–H2O at a temperature of 40 °C and a pressure of 9 MPa. The result of low-pressure nitrogen adsorption/desorption showed that the pore volume below 50 nm increased while that in the range of 50–500 nm decreased. It was proposed that the dissolution of minerals could expand the original pores, and precipitation might block specific pores. Huang et al. [21] treated columnar sandstone samples with ScCO2–H2O at a temperature of 100 °C and a pressure of 24 MPa. NMR detection showed that the pore volume in the range of 100–1000 nm increased while that above 1000 nm decreased. It was thus proposed that the dissolution of original minerals led to the expansion of small pores, whereas the precipitation of secondary minerals filled the large pore spaces, consequently resulting in a decrease in the size of large pores. However, Shi et al. [22] treated columnar tight sandstone samples with ScCO2–H2O at 50 °C and 25 MPa. The NMR spectroscopy results combined with the mercury intrusion porosimetry results revealed that the pore volume in the range of 10–100 nm decreased while that in the range of more than 100 nm increased. It was thus proposed that the dissolution, precipitation, and migration of minerals can jointly control the change in pores.
Notably, a number of studies have failed to achieve a comprehensive analysis of the full pore size range, and there are significant discrepancies in the understanding of the pore structure evolution of tight sandstone under ScCO2–H2O treatment. Moreover, few studies have combined the data of mercury intrusion porosimetry and the low-pressure nitrogen adsorption/desorption method to study the pore structure evolution of tight sandstones. Therefore, in this study, the tight sandstones from the Shanxi Formation in the Huxiang area, Henan Province, were selected as the research objects, and an experiment on the ScCO2–H2O treatment of tight sandstones under simulated reservoir conditions was carried out. Based on the pore structure test results obtained from mercury intrusion porosimetry and the low-pressure nitrogen adsorption/desorption method, the evolution of the pore structures of tight sandstones was analyzed, and the mechanism of pore structure evolution was discussed. This research can provide guidance for CO2 sequestration and tight sandstone oil and gas development.
2. Samples and Experiments
2.1. Samples’ Selection and Treatment
The experimental samples used in this study were obtained from the coal measures of the Permian Shanxi Formation in Huxiang area, Henan Province, China. Four tight sandstone cores at an average horizon of 1700 m were obtained by drilling. To avoid oxidation during the transportation of samples, the samples were stored via vacuum packaging and sealed in plastic bags. In the laboratory, the samples were crushed into 40–60 mesh particles for the ScCO2–H2O treatment experiment and pore structure detection.
2.2. ScCO2–H2O Treatment
In the experiment, a geochemical experimental simulation instrument (Model WYF-2, Hai’an Core Petroleum Instruments, Nantong, Jiangsu Province, China) was adopted for CO2 geological storage. Figure 1 presents a schematic illustration of the experimental instrument. This instrument is mainly composed of a pressurization system and a high-pressure reaction kettle body. It can effectively achieve a pressure range between 0 and 32 MPa, where the pressure gauge offers a high precision of 0.01 MPa. Moreover, the temperature can be achieved within the range of 0 to 180 °C, and the thermometer provides an accuracy level of 0.1 °C. The reaction kettle has a capacity of 1500 mL.
Figure 1.
Schematic illustration of the experimental setup.
In Huxiang area, Henan Province, the geothermal gradient and pressure gradient are 2.82 °C/100 m and 1 MPa/100 m, respectively. To simulate the reservoir conditions, the experimental conditions were set as follows: the experimental temperature was adjusted to 65 °C, the pressure was adjusted to 17 MPa, the water sample was a 200 mL NaCl solution with a mass concentration of 2.27 g·L−1, the mass of the tight sandstone sample was 20 g, and the treatment time was 5 days.
2.3. Mercury Intrusion Porosimetry
The mercury intrusion porosimetry test was conducted using a fully automatic mercury intrusion porosimeter (AutoPore IV-9500, Micromeritics Instrument Corporation, Atlanta, GA, USA, Figure 2a). This instrument enables pore size measurement within the range of 0.003–360 μm. Mercury intrusion porosimetry is based on the capillary flow governing liquid penetration in small pores [23]. The pore volume is derived from the capillary pressure equation (Equation (1)). Assuming that the pores are cylindrical, the pore-specific surface area is calculated using the integral method (Equation (2)) [24].
where is the pore radius, m; is the mercury injection pressure, Pa; is the surface tension of mercury, 480 erg·cm−2; and denotes the contact angle between mercury and the sample, taken as 140°.
where is the pore-specific surface, m2·g−1; V is the pore volume, cm3·g−1; is the pore radius, nm; and is the density of the material, g·cm−3.
Figure 2.
Schematic diagram of the experimental setup: (a) automatic mercury intrusion porosimeter; (b) automatic gas adsorption analyzer.
When mercury penetrates the nano-scale pores, the pressure in the high-pressure section can reach 8.84 MPa. Under high pressure, the nano-scale pores become deformed to some extent [25]. This may make the mercury withdrawal curve irregular with the emergence of anomalous inflection points, platforms, or slope changes. However, mesopores and macropores were not significantly affected by this factor. Therefore, the pore volume and pore-specific surface area data of mesopores and macropores can still be used normally.
2.4. Low-Pressure Nitrogen Adsorption/Desorption
The low-pressure nitrogen adsorption/desorption test was carried out using a fully automatic gas adsorption analyzer (Autosorb iQ, Quantachrome Instruments, Boynton Beach, FL, USA, Figure 2b). This instrument enables pore size measurement in the range of 0.35–500 nm. The testing principle is based on the Brunauer–Emmett–Teller (BET) theory [26]. This theory holds that there exists a specific relationship between the adsorption amount and the relative pressure (P/P0) within a certain range of relative pressures. The pore volume data are acquired according to the Kelvin equation (Equation (3)), and the principle of the pore-specific surface area test is based on the BET equation (Equation (4)) [27].
where is the surface tension of the adsorbate liquid, N·m−1; is the molar volume of the adsorbate, m3·mol−1; is the contact angle between the adsorbate liquid and the surface of the adsorbent, °; is the ideal gas constant, taken as 8.314 J·mol−1·K−1; and is the absolute temperature, K.
where is the equilibrium pressure, Pa; is the adsorption amount, cm3; denotes the saturated vapor pressure, Pa; is the saturated adsorption amount of the monolayer, cm3; and is a function of the heat of adsorption on the solid surface and the heat of liquefaction. In the experiment, the value of is regarded as constant and is dimensionless.
3. Results and Discussion
In this study, Hodot’s pore classification scheme [28] was used to divide the pores into four types: micropore (diameter ≤ 10 nm), transitional pore (10 nm < diameter ≤ 100 nm), mesopore (100 nm < diameter ≤ 1000 nm), and macropore (1000 nm < diameter). The pore structures of the samples were analyzed through mercury intrusion porosimetry and low-pressure nitrogen adsorption/desorption tests. The specific performances are as follows: the pore structures of micropore and transitional pore below 100 nm were analyzed by low-pressure nitrogen adsorption/desorption, and the pore structures of mesopore and macropore above 100 nm were analyzed by mercury intrusion porosimetry. Previous research pointed out that during mercury intrusion porosimetry of particle samples, the particle gaps were erroneously regarded as large pores [29,30]. In an attempt to reduce this error, in this study, the hole data with aperture greater than 10,000 nm were eliminated.
Herein, to determine the changes in pore volumes after ScCO2–H2O treatment, the pore volume change ΔV and the ratio of pore volume were adopted:
where is the change in the pore volume of the sample, cm3·g−1; is the pore volume after ScCO2–H2O treatment, cm3/g; and is the pore volume before ScCO2–H2O treatment, cm3·g−1
where is the ratio of pore volume, %; is the pore volume (mi, tr, me, ma), cm3·g−1; and is the total pore volume, cm3·g−1.
Herein, to determine the changes in pore volumes and pore-specific surface areas after ScCO2–H2O treatment, the pore volume change ΔV and ratio of pore-specific surface areas were adopted:
where is the change in the specific surface area of pores before ScCO2–H2O treatment, m2·g−1; is the specific surface area of pores after ScCO2–H2O treatment, m2·g−1; and denotes the specific surface area of pores before ScCO2–H2O treatment, m2·g−1
where is the ratio of pore-specific surface areas, %; is the specific surface areas (mi, tr, me, ma), m2·g−1; and is the total pore-specific surface areas, m2·g−1.
3.1. Pore Volume Distribution and Its Evolution
The pore volumes of the samples are listed in Table 1. The pore volume distributions of the tight sandstone samples are similar, with a more uniform distribution and a slight predominance of micropore volumes (Figure 3). Specifically, the micropore volumes range from 4 × 10−3 to 6.3 × 10−3 cm3·g−1, accounting for 25.46–37.23%. The transitional pore volumes range from 1.6 × 10−3 to 4.5 × 10−3 cm3·g−1, accounting for 12.82–26.68%. The mesopore volumes range from 2.1 × 10−3 to 4.7 × 10−3 cm3·g−1, accounting for 17.71–23.22%, and the macropore volumes range from 2.5 × 10−3 to 5.8 × 10−3 cm3·g−1, accounting for 17.73–32.24%.
Table 1.
Pore volumes of the samples before and after ScCO2–H2O treatment.
Figure 3.
Pore volumes of the raw tight sandstones.
After ScCO2–H2O treatment, the pore volumes of the samples changed significantly (Table 1). The pore size distribution (PSD) curves of the samples exhibited slight alterations in shape, and the PSD curves showed a trend of transition from micropores and transitional pores to mesopores and macropores, with similar changes noted across all samples (Figure 4). In the micropore and transitional pore ranges, the PSD curves of the samples generally trended downward. In the mesopore and macropore ranges, the PSD curves intersected and showed wave-like changes. This indicates that in the range of micropores and transition pores, the pore volume corresponding to each pore size decreased, while in the range of mesopores and macropores, the pore volume corresponding to each pore size alternately increased and decreased. Finally, the pore volume of micropores and transition pores decreased, and the pore volume of mesopores and macropores increased (Figure 5). Specifically, in the micropores, the pore volumes changed from 4 × 10−3–6.3 × 10−3 cm3·g−1 to 2.6 × 10−3–4 × 10−3 cm3·g−1, indicating a decrease. These changes, ranked in descending order, are as follows: XLS with −3.7 × 10−3 cm3·g−1, SS with −1.2 × 10−3 cm3·g−1, CGS with −7 × 10−4 cm3·g−1, and MGS with −5 × 10−4 cm3·g−1.
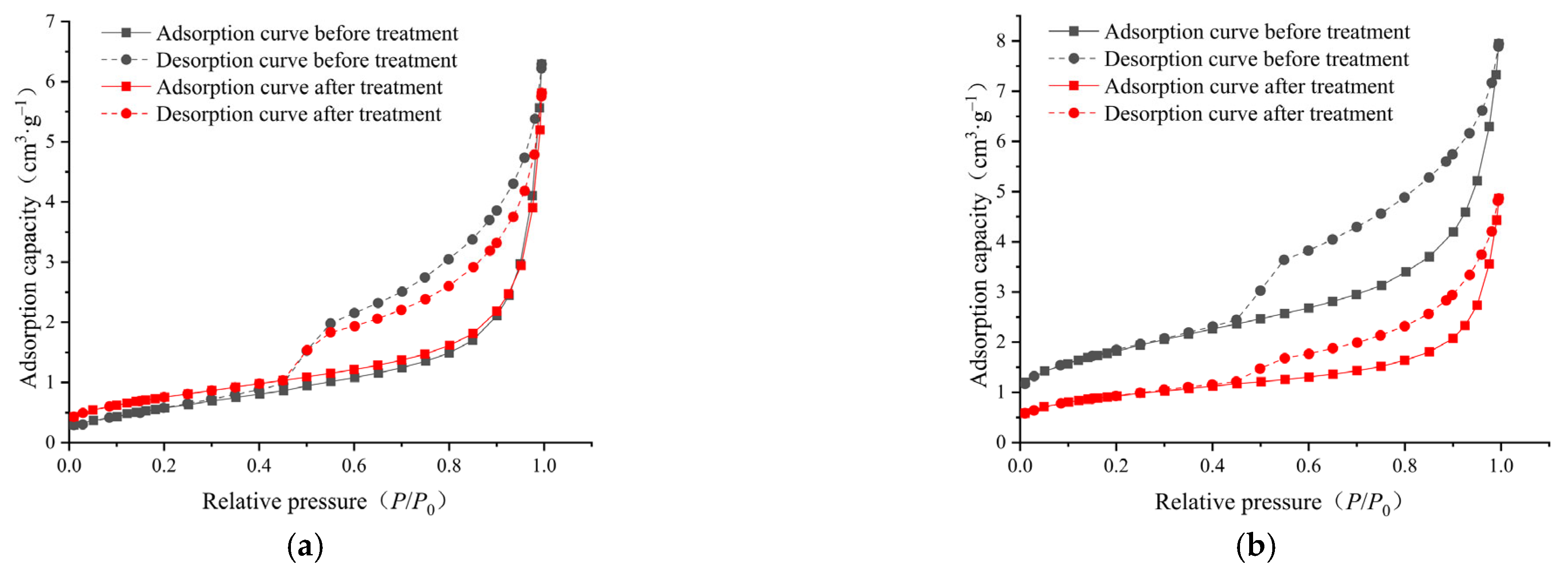
Figure 4.
Pore size distributions of the samples before and after ScCO2–H2O treatment: (a) SS sample; (b) XLS sample; (c) MGS sample; and (d) CGS sample.
Figure 5.
The change in pore volume of the samples after ScCO2–H2O treatment.
In the transitional pores, the pore volumes changed from 1.6 × 10−3–4.5 × 10−3 cm3·g−1 to 1.5 × 10−3–4.2 × 10−3 cm3·g−1, indicating a decrease. These changes, ranked in descending order, are as follows: CGS with –1.5 × 10−3 cm3·g−1, XLS with –8 × 10−4 cm3·g−1, SS with –3 × 10−4 cm3·g−1, and MGS with –1 × 10−4 cm3·g−1. In the mesopores, the pore volumes changed from 2.1 × 10−3–4.7 × 10−3 cm3·g−1 to 2.6 × 10−3–5.3 × 10−3 cm3·g−1. The pore volumes of the SS, MGS, and CGS samples increased, whereas those of the XLS sample decreased slightly. These changes, ranked in descending order, are as follows: CGS with 7 × 10−4 cm3·g−1, SS with 6 × 10−4 cm3·g−1, MGS with 5 × 10−4 cm3·g−1, and XLS with –1 × 10−4 cm3·g−1. In the macropores, the pore volumes changed from 2.5 × 10−3–5.8 × 10−3 cm3·g−1 to 3.3 × 10−3–7.9 × 10−3 cm3·g−1, indicating an increase. The corresponding changes, ranked in descending order, are as follows: SS with 2 × 10−3 cm3·g−1, XLS with 1.7 × 10−3 cm3·g−1, CGS with 8 × 10−4 cm3·g−1, and MGS with 5 × 10−4 cm3·g−1.
3.2. Pore-Specific Surface Area Distribution and Its Evolution
The pore-specific surface areas of the samples are listed in Table 2. The results reveal that the pore-specific surface area distributions of the tight sandstone samples are similar (Figure 6). The pore-specific surface areas of the samples are mainly concentrated in micropores and transitional pores, and the proportions of mesopores and macropores are minimal. Specifically, the micropore-specific surface areas range from 3.3754 to 5.1571 m2·g−1, accounting for 84.39–93.65%. The transitional pore-specific surface areas range from 0.2487 to 0.7273 m2·g−1, accounting for 5.75–14.55%. The mesopore-specific surface areas range from 0.0194 to 0.0611 m2·g−1, accounting for 0.45–1.23%. The macropore-specific surface areas range from 0.0033 to 0.0092 m2·g−1, accounting for 0.07–0.19%.
Table 2.
Pore-specific surface areas of the samples before and after ScCO2–H2O treatment.
Figure 6.
Pore-specific surface areas of the raw tight sandstones.
After ScCO2–H2O treatment, the pore-specific surface areas of the samples changed significantly (Table 2). On the whole, the pore-specific surface area distribution curves of the samples did not show significant fluctuation in shape, and similar changes were noted across all samples. Moreover, the specific surface area distribution was still dominated by micropores (Figure 7). The overall changes in pore-specific surface areas of the samples indicated that the pore-specific surface areas of micropores and transitional pores decreased while those of mesopores and macropores increased (Figure 8), and the change trends were basically consistent with the change trends of pore volumes. Specifically, in the micropores, the pore-specific surface areas changed from 3.3754 to 5.1571 m2·g−1 to 2.0492 to 3.6375 m2·g−1, indicating a decrease. These changes, ranked in descending order, are as follows: XLS with −3.1079 m2·g−1, SS with −0.8717 m2·g−1, CGS with −0.5533 m2·g−1, and MGS with −0.4138 m2·g−1.
Figure 7.
Pore-specific surface area distributions of the samples before and after ScCO2–H2O treatment: (a) SS sample; (b) XLS sample; (c) MGS sample; and (d) CGS sample.
Figure 8.
The change in pore-specific surface of the samples after ScCO2–H2O treatment.
In the transitional pores, the pore-specific surface areas changed from 0.2487 to 0.7273 m2·g−1 to 0.2369 to 0.6473 m2·g−1, indicating a decrease. These changes, ranked in descending order, are as follows: CGS with −0.2037 m2·g−1, XLS with −0.1637 m2·g−1, SS with −0.0578 m2·g−1, and MGS with −0.0118 m2·g−1. In the mesopores, the pore-specific surface areas changed from 0.0194 to 0.0611 m2·g−1 to 0.0307 to 0.0672 m2·g−1, indicating an increase. The corresponding changes, ranked in descending order, are as follows: MGS with 0.0113 m2·g−1, XLS with 0.0069 m2·g−1, SS with 0.0061 m2·g−1, and CGS with 0.0046 m2·g−1. In the macropores, the pore-specific surface areas changed from 0.0033 to 0.0092 m2·g−1 to 0.0055 to 0.0121 m2·g−1, indicating an increase. These changes, ranked in descending order, are as follows: SS with 0.0029 m2·g−1, XLS with 0.0022 m2·g−1, CGS with 0.0022 m2·g−1, and MGS with 0.0011 m2·g−1.
3.3. Pore Connectivity and Its Evolution
Low-pressure nitrogen adsorption/desorption curves and mercury intrusion–extrusion curves are commonly employed for the systematic exploration of pore morphology and connectivity [31,32]. Considering that the perspective that the tight sandstones used in this experiment have a wide range of pore throat diameters from nanometer to micrometer scale, the destruction of nano-scale pores by mercury injection severely interferes with the integrity and accuracy of the mercury intrusion–extrusion curves. As a result, it becomes impossible to accurately analyze the pore morphology. Therefore, this study uses only low-pressure nitrogen adsorption/desorption curves to characterize the nano-scale pore (micropores and transitional pores) morphology and connectivity of tight sandstones.
The low-pressure nitrogen adsorption/desorption curves (Figure 9) demonstrate that when the relative pressure P/P0 < 0.4, the adsorption–desorption curves are basically closed. This indicates that most of the pores with smaller pore sizes are composed of semi-closed pores, such as semi-closed wedge pores, cylindrical pores, parallel plate pores, and conical pores [33]. For the relative pressure P/P0 > 0.5, the adsorption curves diverge from the desorption curves, and hysteresis loops appear [34]. This phenomenon suggests the presence of pores with both ends or four sides open in the pores with larger pore size, such as cylindrical pores with both ends open and parallel plate pores with four sides open [35]. Moreover, the desorption curves exhibit a significant decline in the inflection point, indicating that the larger pores contain a certain amount of fine-necked bottle-like pores (also known as ink-bottle pores) [36]. The pore geometries are shown in Figure 10. Therefore, the pores of the samples before and after ScCO2–H2O treatment are mainly open pores and ink-bottle-like fine neck pores, and some semi-closed pores are also present.

Figure 9.
Low-pressure nitrogen adsorption/desorption regression curves before and after ScCO2–H2O treatment: (a) SS sample; (b) XLS sample; (c) MGS sample; and (d) CGS sample.
Figure 10.
The pore geometries [33,34,35,36].
After ScCO2–H2O treatment, when the relative pressure P/P0 < 0.4, the degree of closure of the adsorption/desorption curve increases. When the relative pressure P/P0 > 0.5, the inflection point on the desorption curve drops, and the hysteresis loop becomes smaller. For the relative pressure range of 0.8 < P/P0 < 1, the adsorption amount decreases, and the upward trend of the adsorption curve becomes gentle. This shows that after the ScCO2–H2O treatment, the pore space becomes smaller. Some of the open pores and ink-bottle-shaped pores change to semi-closed pores, and the pore morphology becomes narrower, possibly leading to the deterioration of the pore connectivity.
3.4. Mechanism of Pore Structure Evolution
Under reservoir conditions, the ScCO2–H2O treatment shows two main effects on the evolution of the reservoir pore structure [37,38,39,40]. Some studies have revealed that under reservoir conditions, CO2 dissolves in the reservoir water to form a solution of carbonic acid, which subsequently reacts with the carbonate minerals in the reservoir to generate water-soluble bicarbonates, consequently resulting in rock dissolution. This process enhances the porosity of the reservoir rocks, exhibiting remarkable pore-increasing and pore-enlarging effects [16]. Simultaneously, it has also been found that the aqueous solution of CO2 reacts with minerals such as feldspar and clay under reservoir conditions. When the original minerals are dissolved in the reservoir to increase and expand the porosity, the newly generated flocculent or solid precipitates invade the pore space. Consequently, the reservoir porosity may decrease and the connectivity may deteriorate [17]. The main reaction equations are shown in Table 3.
Table 3.
Main reactions between ScCO2–H2O and minerals.
Overall, in this study, the pore volumes and specific surface areas of micropores and transitional pores decreased, while those of mesopores and macropores increased. This differential response indicates that the relative impacts of pore-expanding and secondary mineral precipitation vary significantly across different pore size ranges. Given that the pore morphology of micropores and transitional pores has become narrower, it can be inferred that obvious secondary mineral precipitation blockage occurred in micropores and transitional pores. For mesopores and macropores, although direct evidence of secondary mineral precipitation is unavailable because of the absence of pore morphology characterization, the decrease in micropore and transitional pore volumes, along with the increase in mesopore and macropore volumes, suggests that the pore-expanding effect predominates over secondary mineral precipitation in these larger pores. These findings explain the observed differential changes in pore structure characteristics across various pore size ranges.
The evolution of pore structure under ScCO2–H2O treatment can be specifically characterized as follows: The dissolution of carbonate and silicate minerals induced a significant pore-expanding effect in tight sandstones. This process led to the enlargement of pore diameters in certain micropores and transitional pores, resulting in their transformation into mesopores and macropores, which might consequently enhance pore connectivity. Simultaneously, the dissolution and subsequent reprecipitation of silicate minerals, such as feldspar and clay, generated secondary mineral precipitates. These precipitates facilitated the transformation of some open pores and ink-bottle-like pores into semi-closed pores within micropores and transitional pores and might have narrowed the pore morphology, thus leading to the deterioration of pore connectivity. Additionally, previous studies have demonstrated that fluid flow pathways in rocks are predominantly governed by pores with diameters exceeding 100 nm [41], suggesting that permeability is primarily influenced by mesopores and macropores. Based on these findings, the pore connectivity of the coal-measure tight sandstones examined in this study was likely to be improved after ScCO2–H2O treatment, potentially leading to enhanced permeability.
Based on the above-mentioned analysis and results, this study proposes a pore structure evolution model of ScCO2–H2O-treated tight sandstones (Figure 11). In the original state, open pores (C), semi-closed pores (A), thin-necked pores (D), and closed pores (B) exist in tight sandstones (Figure 11a). When ScCO2 is injected into the reservoir, it is partially dissolved in the pore water to form carbonic acid. Subsequently, the ScCO2–H2O system reacts with minerals at the water–rock interface. Among these reactions, carbonate minerals such as calcite are completely dissolved to form Ca2⁺ and . Silicate minerals such as feldspar and clay undergo dissolution and precipitation processes, leading to the formation of secondary silicate and SiO2 minerals, with the concomitant release of some metal ions such as Na+ and Al3+ (Figure 11b). After the ScCO2–H2O treatment, the pore structures of tight sandstones are presented in Figure 11c. The dissolution of the original mineral particles allows the semi-closed pores and closed pores to connect (A, B), and the pore size of the open pores (C) also becomes enlarged. Moreover, blockages occur when the secondary minerals in the acidic fluid migrate to the narrower pores (D).
Figure 11.
Schematic illustration of pore structure evolution: (a) pore structure before the ScCO2–H2O treatment; (b) schematic showing mineral reaction patterns; and (c) pore structure after the ScCO2–H2O treatment.
The evolution of the pore structure of tight sandstones under ScCO2–H2O treatment in this study is consistent with the findings of Shi et al. [22] on tight sandstones. The discrepancies between our results and those of other researchers may be attributed to variations in experimental conditions, including temperature, pressure, and sample characteristics, which can lead to differential effects of mineral dissolution and precipitation on pores of different sizes. Consequently, the combined influence of mineral dissolution and precipitation results in distinct alterations in pore structure.
Based on the findings of this study regarding the evolution of tight sandstone pore structures under ScCO2–H2O conditions, it can be inferred that CO2 geological storage in the coal measures of the Huxiang area in Henan Province may benefit from enhanced pore connectivity and potentially improved permeability in tight sandstones under ScCO2–H2O treatment. These changes could create favorable conditions for CO2 injection and diffusion within the coal measures, optimizing reservoir conditions. However, achieving long-term CO2 storage will also depend on the effectiveness of mudstone caprocks. Furthermore, since the experiments conducted in this study were short-term, static simulations of CO2 geological storage, a comprehensive understanding of the long-term CO2 storage potential in this region will require further investigation. This should integrate geological data, laboratory experiments, and numerical simulations to provide a more robust assessment.
4. Conclusions
In this study, Coal-Measure Strata tight sandstones were selected to simulate the ScCO2–H2O treatment of tight sandstones under reservoir conditions. Through the combined application of mercury intrusion porosimetry and the low-pressure nitrogen adsorption/desorption method, the evolution mechanism of the tight sandstones in terms of pore structure after the ScCO2–H2O treatment was revealed, including changes in pore volume, specific surface area, and pore morphology. The main conclusions are as follows:
- (1)
- The pore volume distributions of the tight sandstone samples used in the experiment were relatively uniform. The pore-specific surface areas of the samples were mainly concentrated in micropore and transitional pore, while the proportions of mesopores and macropores were minimal. After the ScCO2–H2O treatment, specifically, the pore volumes and specific surface areas in the micropores and transitional pores decreased, while those in the mesopores and macropores increased. Moreover, the trends of pore volumes and pore-specific surface areas were found to be similar.
- (2)
- In the micropores and transitional pores, the pores of the samples before and after ScCO2–H2O treatment were mainly open pores and ink-bottle-like fine-necked pores, and some semi-open pores were also present. After the ScCO2–H2O treatment, some of the pores changed from open pores and ink-bottle-shaped pores to semi-closed pores, and the pore morphology became narrower. Consequently, the pore connectivity might have also deteriorated.
- (3)
- A pore structure evolution model of ScCO2–H2O-treated tight sandstones was proposed. The evolution of the pore structure was a consequence of chemical reactions. The pore-expanding effect brought about by mineral dissolution and the precipitation effect of secondary minerals cooperate with each other and jointly play a controlling role in the pore structure evolution.
Author Contributions
Methodology, X.S. and T.D.; software, X.S. and Q.Y.; formal analysis, T.D. and M.L.; writing—original draft preparation, T.D., X.S. and R.C.; writing—review and editing, Q.Y., M.L. and R.C.; supervision, R.C. and X.S. All authors have read and agreed to the published version of the manuscript.
Funding
This research was funded by the Henan Natural Resources Research Project (2022-382-12), Henan Geological Research Institute Geological Science and Technology Key Project (2024-331-XM09), Henan Atmospheric Pollution Prevention and Control Special Project (Yuchai Huanzi [2020] No. 9), and Henan Geological Research Institute Geological Science and Technology Key Project (2023-331-XM026-KT02).
Data Availability Statement
The original contributions presented in the study are included in the article. Further inquiries can be directed to the corresponding author.
Acknowledgments
We thank the Jiangsu Key Laboratory of Coal-based Greenhouse Gas Control and Utilization for supporting this experimental sample test.
Conflicts of Interest
Author Meng Lin was employed by the Henan Coalbed Methane Development and Utilization Co., Ltd. The remaining authors declare that the research was conducted in the absence of any commercial or financial relationships that could be construed as a potential conflict of interest.
References
- Fawad, M.; Mondol, N.H. Monitoring geological storage of CO2 using a new rock physics model. Sci. Rep. 2022, 12, 297. [Google Scholar] [CrossRef]
- Jia, A.L.; Wei, Y.S.; Guo, Z.; Wang, G.T.; Meng, D.W.; Hang, S.Q. Current status and prospects of tight sandstone gas development in China. Nat. Gas Ind. 2022, 42, 83–92. [Google Scholar]
- Seyyedi, M.; Mahmud, H.K.B.; Verrall, M.; Giwelli, A. Pore Structure Changes Occur During CO2 Injection into Carbonate Reservoirs. Sci. Rep. 2020, 10, 3624. [Google Scholar] [CrossRef]
- Ma, R.S.; Tian, S.X.; Lin, H.Y.; Xu, S.Q.; Su, W.W.; Xie, H.F. Comparative study on gas adsorption characteristics of outburst hole tectonic coal and primary structure coal. Saf. Coal Mines 2021, 52, 16–21. [Google Scholar]
- Zeng, H.B.; Wang, F.R.; Luo, J.; Tao, T.; Wu, S.Q. Characterization of pore structure characteristics of inter-salt shale oil reservoirs in Qianjiang Sag based on low-temperature nitrogen adsorption and high-pressure mercury intrusion. Bull. Geol. Sci. Technol. 2021, 40, 242–252. [Google Scholar]
- Chen, J.; Zhou, G.Y.; Zhao, X.L.; He, C. Review of research methods for pore structure characteristics of reservoir rocks. Spec. Oil Gas Reserv. 2005, 12, 11–14+103. [Google Scholar]
- Liu, Z.Y.; Yuan, H.B. Characteristics of microscopic pore structure of Chang 6-2 oil layer group reservoir in Well Block 294 of Nanniwan Oil Production Plant. Inn. Mong. Petrochem. Ind. 2017, 43, 121–124. [Google Scholar]
- Barrett, E.P.; Joyner, L.G.; Halenda, P.P. The Determination of Pore Volume and Area Distributions in Porous Substances. I. Computations from Nitrogen Isotherms. J. Am. Chem. Soc. 1951, 73, 373–380. [Google Scholar] [CrossRef]
- Davidson, J.A. Mercury porosimetry studies II. The application of mercury porosimetry to porous polymer powders. Powder Technol. 1979, 23, 239–244. [Google Scholar] [CrossRef]
- Zheng, S.J.; Yao, Y.B.; Zhang, S.S.; Liu, Y.; Yang, J.H. Insights into Multifractal Characterization of Coals by Mercury Intrusion Porosimetry. Energies 2019, 12, 4743. [Google Scholar] [CrossRef]
- Xiao, L.Z. Nuclear Magnetic Resonance Imaging Logging and Rock Nuclear Magnetic Resonance and Its Applications; Science Press: Beijing, China, 1998; pp. 22–41. [Google Scholar]
- Gao, Q.Y.; Wang, X.; Gao, J.Y.; Yan, W.C. Analysis of Influencing Factors of Nuclear Magnetic Resonance Porosity of Tight Cores. Well Logging Technol. 2021, 45, 424–430. [Google Scholar]
- Li, N.N.; Liu, H.H.; Sang, S.X. Comparative study on pore size distribution in coal based on combined mercury intrusion-low temperature liquid nitrogen pore connection and nuclear magnetic resonance analysis. Saf. Coal Mines 2024, 55, 1–9. [Google Scholar]
- Xiao, N.; Li, S.; Lin, M.Q. Variation Characteristics of the Apparent Morphology and Permeability of Rocks after the Interaction of CO2-Water-Calcite. Sci. Technol. Eng. 2017, 17, 38–44. [Google Scholar]
- Yang, S.G.; Cai, M.Y.; Zhang, K.F.; Cao, D.D.; Zhao, X.L.; Liu, S.X. Research Progress and Prospect of the Influence of CO2-Water-Rock Interaction on the Physical Properties of CO2 Geological Storage Bodies. Pet. Geol. Recovery Effic. 2023, 30, 80–91. [Google Scholar]
- Li, F.S. Study on the Dissolution Mechanism during CO2 Geological Storage. China Univ. Geosci. 2019, 2, 69. [Google Scholar]
- Hou, L.H.; Yu, Z.C.; Luo, X.; Wu, S.T. Self-sealing of caprocks during CO2 geological sequestration. Energy 2022, 252, 124064. [Google Scholar] [CrossRef]
- Ren, L.; Yu, Z.H.; Zhao, J.Z.; Lin, R.; Wu, J.F.; Song, Y.; Xie, M.K. Influence of carbonate dissolution on flow characteristics of tight sandstone reservoirs: A case study of Chang 6 tight sandstone in Ordos Basin. Pet. Geol. Oilfield Dev. Daqing 2023, 42, 50–58. [Google Scholar]
- Ozotta, O.; Liu, K.; Gentzis, T.; Carvajal-Ortiz, H.; Liu, B.; Rafieepour, S.; Ostadhassan, M. Pore Structure Alteration of Organic-Rich Shale with Sc-CO2 Exposure: The Bakken Formation. Energy Fuels 2021, 35, 5074–5089. [Google Scholar] [CrossRef]
- Chen, R.; Zhang, Y.J.; Hu, K.P.; Tu, G.L.; Dou, T.Z. Changes in Physicochemical Properties of Coal and Their Mechanism Due to Supercritical CO2–H2O Treatment. Minerals 2023, 13, 1262. [Google Scholar] [CrossRef]
- Huang, H.; Sun, Q.; Geng, J.; Pan, Y.; Yang, D.; Zhang, L. Effects of CO2–water–rock cycling cycles on sandstone pore structure. Front. Energy Res. 2024, 12, 1485241. [Google Scholar] [CrossRef]
- Shi, X.; Xiao, C.Y.; Ni, H.J.; Gao, Q.; Han, L.; Xiao, D.S.; Jiang, S. Pore structure and pore size change for tight sandstone treated with supercritical CO2 fluid. Energy Rep. 2023, 9, 2286–2299. [Google Scholar] [CrossRef]
- Qi, L.L.; Zhou, X.Q.; Peng, X.S.; Wang, Z.F.; Dai, J.H. Study on pore structure of coking coal based on low temperature nitrogen adsorption and mercury intrusion method. Saf. Coal Mines 2022, 53, 1–6+13. [Google Scholar]
- Lowell, S.; Shields, J.E.; Thomas, M.A. Characterization of Porous Solids and Powders: Surface Area, Pore Size, and Density; Springer: Berlin/Heidelberg, Germany, 2004. [Google Scholar]
- Tang, Y.Z.; Wang, P.F.; Sao, Z.D. Mercury injection experiment and error analysis. Exp. Technol. Manag. 2015, 32, 50–54. [Google Scholar]
- Vanerp, S.T.; Martens, A.J. A standardization for BET fitting of adsorption isotherms. Microporous Mesoporous Mater. 2011, 145, 188–193. [Google Scholar] [CrossRef]
- Zhong, L.W.; Zhang, H.; Yuan, Z.R. Influence of Specific Surface Area and Pore Volume of Coal on Its Adsorption Capacity. Coal Geol. Explor. 2002, 30, 26–29. [Google Scholar]
- Hodot, B.B. Coal and Gas Outburst; Song, S.Z.; Wang, Y.A., Translators; Coal Industry Press: Beijing, China, 1966; pp. 27–30. [Google Scholar]
- Chen, R.; Qin, Y.; Wei, C.T. Pore structure and adsorption difference of vitrain by two-stage extraction with organic solvents. Nat. Gas Geosci. 2014, 25, 1103–1110. [Google Scholar]
- Chen, Y.L.; Qin, Y.; Tian, H.; Tang, J.X. Grain size effect of anthracite pore structure based on mercury intrusion porosimetry. Nat. Gas Geosci. 2015, 26, 1629–1639. [Google Scholar]
- Yang, M.; Liu, L.; Liu, J.J.; Mao, R.J.; Cai, P. Study on joint characterization of structure of middle-rank coal by nitrogen adsorption-mercury intrusion-NMR. Coal Sci. Technol. 2021, 49, 67–74. [Google Scholar]
- Feng, X.L.; Huang, W.H.; Ao, W.H.; Lu, X.X.; Liu, B.; Xu, Q.L. Application of Q-type Principal Factor Analysis in the Evaluation of Coal Reservoir Characteristics in the Southern Qinshui Basin. Coal Geol. China 2015, 27, 18–21+39. [Google Scholar]
- Thommes, M.; Kaneko, K.; Neimark, A.V.; Olivier, J.P.; Rodriguez-Reinoso, F.; Rouquerol, J.; Sing, K. Physisorption of gases, with special reference to the evaluation of surface area and pore size distribution (IUPAC Technical Report). Pure Appl. Chem. 2015, 87, 1051–1069. [Google Scholar] [CrossRef]
- Chen, P.; Tang, X.Y. The research on the adsorption of nitrogen in low temperature and micro-pore properties in coal. J. China Coal Soc. 2001, 26, 552–556. [Google Scholar]
- Li, X.Y.; Shao, Y.B.; Zhu, Y.Z.; Zou, M.J.; Xu, X.T. Fractal characteristics of coal rock pores based on low-temperature liquid nitrogen adsorption method. Sci. Technol. Eng. 2022, 22, 65–70. [Google Scholar]
- Li, W.; Li, J.; Hu, C.; Xiao, Q. Research on Pore-Fracture Characteristics and Adsorption Performance of Main Coal Seams in Lvjiatuo Coal Mine. Processes 2023, 11, 1700. [Google Scholar] [CrossRef]
- Zhang, D.X.; Song, J. Mechanisms for geological carbon sequestration. Procedia IUTAM 2014, 10, 19–27. [Google Scholar] [CrossRef]
- Meng, F.Q.; Li, C.B.; Liu, L.; Zhou, B.; Zhao, S.; Wang, L.J.; Yu, M.; Yu, Z.C. Experiment on the interaction of CO2-saline water-calcite. Geol. Sci. Technol. Inf. 2013, 32, 171–176. [Google Scholar]
- Tutolo, M.B.; Luhmann, J.A.; Kong, X.Z.; Saar, O.M.; Seyfried, E.W. CO2 sequestration in feldspar-rich sandstone: Coupled evolution of fluid chemistry, mineral reaction rates, and hydrogeochemical properties. Geochim. Cosmochim. Acta 2015, 160, 132–154. [Google Scholar] [CrossRef]
- Harvey, O.R.; Qafoku, N.P.; Cantrell, K.J.; Lee, G.; Amonette, J.E.; Brown, C.F. Geochemical implications of gas leakage associated with geologic CO2 storage: A qualitative review. Environ. Sci. Technol. 2013, 47, 23–36. [Google Scholar] [CrossRef]
- Cai, Y.D.; Liu, D.M.; Pan, Z.J.; Che, Y.; Liu, Z.H. Investigating the effects of seepage-pores and fractures on coal permeability by fractal analysis. Transp. Porous Media 2016, 111, 479–497. [Google Scholar] [CrossRef]
Disclaimer/Publisher’s Note: The statements, opinions and data contained in all publications are solely those of the individual author(s) and contributor(s) and not of MDPI and/or the editor(s). MDPI and/or the editor(s) disclaim responsibility for any injury to people or property resulting from any ideas, methods, instructions or products referred to in the content. |
© 2025 by the authors. Licensee MDPI, Basel, Switzerland. This article is an open access article distributed under the terms and conditions of the Creative Commons Attribution (CC BY) license (https://creativecommons.org/licenses/by/4.0/).











