Next Article in Journal
Utilization of Calorimetric Analysis and Fire Dynamics Simulator (FDS) to Determine the Cause of Plant Fire in Taiwan: Thermogravimetric Analyzer (TGA), Differential Scanning Calorimetry (DSC), and FDS Reconstruction
Next Article in Special Issue
6-DoF Grasp Detection Method Based on Vision Language Guidance
Previous Article in Journal
Research on Electromagnetic Control Technology for the Roll Profile of Wide-Width Electrode Roll Press Rolls
Previous Article in Special Issue
Research on Lightweight Citrus Leaf Pest and Disease Detection Based on PEW-YOLO
 
 
Font Type:
Arial Georgia Verdana
Font Size:
Aa Aa Aa
Line Spacing:
Column Width:
Background:
Article

An Improved Approach for Vehicle Routing Problem with Three-Dimensional Loading Constraints Based on Genetic Algorithm and Residual Space Optimized Strategy

1
School of Mechanical Engineering, Hubei University of Technology, Wuhan 430000, China
2
Key Laboratory of Modern Manufacture Quality Engineering, Wuhan 430070, China
3
School of Mechanical Engineering, Wuhan Vocational College of Software and Engineering, Wuhan 430205, China
4
Hubei Standardization and Quality Institute, Wuhan 430060, China
*
Author to whom correspondence should be addressed.
Processes 2025, 13(5), 1449; https://doi.org/10.3390/pr13051449
Submission received: 31 March 2025 / Revised: 25 April 2025 / Accepted: 7 May 2025 / Published: 9 May 2025
(This article belongs to the Special Issue Transfer Learning Methods in Equipment Reliability Management)

Abstract

To duly and correctly deliver parcels, both the capacity and the delivery route of a delivery vehicle need to be considered. Thus, the delivery process of a delivery vehicle can be characterized as a capacitated vehicle routing problem with three-dimensional loading constraints (3L-CVRP), which is an NP-hard problem. To solve the problem, a mathematical model is established in this paper to minimize the total delivery distance and maximize the loading rate, simultaneously. Additionally, a hybrid algorithm that combines a three-dimensional (3D) packing algorithm based on the residual space optimized (RSO) strategy and an improved genetic algorithm (IGA) is proposed. Initially, the proposed hybrid algorithm employs a modified Clarke–Wright savings algorithm to generate a feasible set of route solutions. Furthermore, building upon the traditional genetic algorithm, an elite retention strategy is introduced, and an enhanced order crossover method is utilized to improve the stability of the hybrid algorithm and its global search capability for optimal solutions. Finally, during each iteration of the algorithm, the RSO algorithm is integrated to verify the feasibility of 3D packing scheme. Two comparative experiments are conducted on 22 modified benchmark instances and actual logistics data of a university against two other algorithms, demonstrating that the proposed RSO-IGA algorithm achieves superior solutions in delivery efficiency.

1. Introduction

Over the past five years, the global logistics industry has undergone a revolutionary digitalization transformation. According to Statista (2024) [1], the global parcel delivery quantity exceeded 150 billion in 2024, with an annual growth rate of 18.7%, and is projected to surge to 350 billion by 2030. In this trend, the optimization goals of logistics systems have shifted from traditional large-scale transportation to high-precision resource coordination [2]. The logistics industry now needs to improve the loading efficiency of individual delivery vehicles while optimizing delivery routes, as the synergy between these two factors directly impacts cost-saving potential.
The parcels delivery problem is a common problem of logistics task in factories, hospitals, universities, communities, etc. Raw materials, medicines, and commodities need to be duly and correctly delivered to their destination by a delivery vehicle. Since the capacity and quantity of the delivery vehicles in a delivery center is limited, the delivery scheme should be properly planned to achieve a high delivery efficiency, especially when the parcels are numerous. Generally, as the shape, size, and destination of parcels are different, it is difficult to fully utilize the volume of the delivery vehicle while making sure the vehicle is driving along the shortest delivery route. Therefore, the capacitated vehicle routing problem with three-dimensional loading constraints (3L-CVRP) is an NP-hard problem [3].
The 3L-CVRP research dates back to 2006 when Gendreau et al. [4] proposed a two-stage tabu search algorithm to introduce the rule of last-in-first-out (LIFO) and stability of parcels into route planning. The core value of 3L-CVRP research is achieving Pareto optimality in resource efficiency with limited space and time, and many researchers focused on this point from the aspects of three-dimensional (3D) loading and vehicle route planning. Chi et al. [5] developed two improved relocation constraints to achieve the balance between transportation cost and operational complexity in 3L-CVRP, and the results demonstrate the significance of relocation allowances in reducing overall costs and improving the capacity utilization of the delivery vehicle. Jiang et al. [6] utilized a deep reinforcement learning (DRL) approach to solve the 3D bin packing problem, meaning the parcels loading problem can be solved by sequence, orientation, and position, independently. Similarly, Que et al. [7] proposed a DRL approach to solve the 3D packing problem, and presented a novel state representation of a packing environment. Küçük et al. [8] proposed an approach to program constraints in 3L-CVRP, and improved the results of 36 of 93 benchmark problems. Ribeiro et al. [9] developed a software toolbox to assist in solving the 3D bin packing problem in some specific industries. Li et al. [10,11] deemed that the routing problem is superior to the packing problem, and proposed an adaptive genetic algorithm with elastic strategy to solve the 3L-CVRP for many dynamic demands.
The 3L-CVRP research is significant in the logistics industry, and many constraints can be considered, such as time windows [12,13,14], resource sharing [15], the stability of parcels [16], the heterogeneity of parcels [17], etc. These constraints affect the loading scheme and route planning. Therefore, to simplify the modeling and computing process, many researchers adopt a step-by-step optimization strategy of route planning followed by parcels loading [5] or parcels loading followed by route planning [18]. However, the traditional step-by-step optimization strategy exhibits low efficiency in both steps and low global suboptimality in high-density delivery scenarios (e.g., campus logistics), as the loading sequence and the route topology are nonlinearly correlated [19]. Thus, 3L-CVRP is a multidimensional coupled optimization problem influenced by multiple constraints, and requires a dynamic balance between physical feasibility in 3D space and economic efficiency in the time dimension [20]. Moreover, the complexity of the 3L-CVRP mathematical model grows as O(n3) with the number of customers n. Existing heuristic algorithms face a dilemma: enhancing global search capabilities (e.g., expanding population size) increases the number of 3D packing verifications, while focusing on local search efficiency (e.g., strengthening mutation operators) risks premature convergence. To address 3L-CVRP challenges, existing approaches can be broadly categorized into metaheuristics and hybrid algorithms. The artificial bee colony (ABC) algorithm [21], as a representative swarm intelligence method, has demonstrated promising performance in vehicle routing problems due to its strong global exploration capability. However, its convergence speed tends to degrade when handling multi-layer constraints. Another notable approach is the GA-TS hybrid algorithm, which combines genetic algorithms’ evolutionary mechanisms with tabu search’s local intensification [22]. While this integration improves solution quality, it introduces increased computational complexity that may hinder real-time applications. These inherent limitations in current methodologies motivate our development of the RSO-IGA framework, which aims to synergize the explorative strengths of swarm intelligence with adaptive local search mechanisms while maintaining computational efficiency. Therefore, RSO-IGA is compared with these two algorithms in the following case analysis. The results show that RSO-IGA performs better in express delivery scenarios.
Although the solution set of path length and loading rate can be obtained by using multi-objective optimization, and the internal relationship between path length and loading rate can be clearly seen, the efficiency of this method is low and the calculation time is long. In the actual logistics scenario, we need to obtain a specific optimal delivery scheme (path scheme and packing scheme) in an acceptable calculation time, especially in the circumstances in which the customers have individual requirements. Therefore, this paper adopts the method of multi-objective normalization to solve the problem. This method has a short calculation time and accurate optimal solution, which is suitable for the problem to be solved in this paper. To address these challenges, this study proposes a collaborative optimization framework based on the residual space optimization (RSO) strategy and an improved genetic algorithm (IGA). The innovations of this research are as follows: (1) Introducing a linear weighting method to construct a multi-objective transformation model that integrates packing and route topology features, balancing route economy and loading efficiency. (2) Designing a three-layer encoding system that includes route layer R_chrom, loading layer L_chrom, and orientation layer P_chrom, combining an improved Clarke–Wright algorithm to generate initial solutions and using the Gaode Maps API to obtain real road network distances instead of Manhattan distances. (3) Enhancing the RSO packing scheme through dynamic space partitioning rules and the LIFO constraint reverse verification to ensure the feasibility of 3D loading. Two experiments are conducted based on 22 extended test cases derived from the Cordeau standard dataset and the real logistics data of a Chinese university on a shopping festival. The results show that the proposed approach to 3L-CVRP has practical value in large-scale scenarios.

2. Problem Description and Modeling

2.1. Problem Description

The 3L-CVRP problem can be described as follows: parcels are delivered by delivery vehicles to various customer points (i.e., destinations), all of which constitute a set. Daily orders are fixed and consist of a collection of parcels. The daily delivery plan is determined by the orders and includes multiple delivery routes, each with a unique packing scheme. Each route consists of a group of customer points, and the packing scheme for that route is composed of all the parcels from those customer points. The delivery vehicle departs from the distribution center and executes multiple delivery trips according to the delivery plan. For each trip, the vehicle loads parcels based on the packing scheme and visits the customer points in sequence. After completing a delivery trip (i.e., serving all the customer points assigned to that trip), the vehicle returns to the distribution center and proceeds to the next trip until all the parcels are delivered. Both the parcels and the vehicle compartment are defined as cuboids with three physical dimensions: length, width, and height. As shown in Figure 1, the delivery vehicle performs two delivery trips, serving two and three customer points, respectively. The parcel loading situation is represented by a red rectangle. Parcels of the same color belong to the same customer point, and parcels of different colors belong to different customer points.
Based on this problem, the following assumptions are proposed:
(1)
Single distribution center with multiple trips. There is only one distribution center and one delivery vehicle, and the delivery vehicle can perform multiple delivery trips;
(2)
Static network with fixed daily orders. The vehicle routing network is static, meaning daily order data are fixed and known in advance;
(3)
Regular cuboid shapes for parcels and vehicle compartment. Both the vehicle compartment and parcels are regular cuboids, and the dimensions of any single parcel do not exceed those of the vehicle compartment;
(4)
Orthogonal and non-overlapping packing. Parcels must be placed orthogonally in the compartment without overlapping;
(5)
Vehicle capacity constraint. The total volume of parcels loaded for each trip must not exceed the volume capacity of the vehicle compartment;
(6)
Known distances. The distances between arbitrary two customer points or the distribution center are known;
(7)
No backtracking. To minimize the total travel distance, each customer point is served only once per trip, avoiding “backtracking”;
(8)
Constant speed. Energy consumption and travel costs are not considered, and vehicles travel at a constant speed without traffic delays;
(9)
No time window constraints. Customers can retrieve their parcels from temporary storage areas at customer points, eliminating the need for time window constraints;
(10)
No weight constraints. All the parcels only contain daily necessities, and there are no heavy items, so weight constraints are not considered;
(11)
The shortest path can enable customers to get parcels as soon as possible, which also increases customer satisfaction. The time for customers to take parcels is relatively concentrated, and the traffic situation is smooth during the delivery period, so other soft constraints are not considered.

2.2. Mathematical Model

The goal of this paper is to optimize the delivery distance and vehicle average loading rate simultaneously. Recording a single vehicle loading only increases the algorithm time, so this paper only considers the average loading rate. The symbol definitions are shown in Table 1.
The mathematical model is as follows:
(a)
Equation (1) represents the minimization of the total travel distance, as follows:
min f = i M j M k K x i j k y k i D i j , i j
(b)
Equation (2) represents the maximization of the average loading rate, as follows:
max V = k K i N b B i l i b w i b h i b y k i V k
(c)
Equations (3)–(12) are the constraint conditions; Equation (3) ensures that each customer point is served only once per trip, as follows:
i N M k K x i j k = 1 , j N , i j
(d)
Equation (4) specifies that the number of vehicle trips used by the distribution center cannot exceed the total number of elements in set K, as follows:
k K i N x 0 i k = k K j N x j 0 k K
(e)
Equation (5) represents the flow balance constraint, meaning the inflow and outflow of the same node must be equal, as follows:
i M x i a k j M x a j k = 0 ,   a M , k K , i j o
(f)
Equations (6) and (7) represent the uniqueness constraint for flow direction, as follows:
i N , i j x i j k = y k j ,   j N , k K
j N , j i x i j k = y k i , i N , k K
(g)
Equation (8) ensures that the total volume of parcels loaded for each trip does not exceed the volume capacity of the vehicle compartment, as follows:
b B i y k i l i b w i b h i b L W H α ,   i N , b = 1 , 2 , 3 , , B i , k K
(h)
Equation (9) represents the orthogonal placement constraint, where ψ x ( l i b , w i b , h i b , o r t ) denotes the length of the edge parallel to the X-axis when the parcel is placed in a specific orientation, as follows:
Z i b k = Z i b k + ψ Z ( l i b , w i b , h i b , o r t ) ,   i N , b 1 , 2 , 3 , , B i , k K
(i)
Equation (10) ensures that parcels are placed inside the compartment and do not exceed its three-dimensional dimensions, as follows:
X i b k < W , Y i b k < H , Z i b k < L ,   i M , b 1 , 2 , 3 , , B i , k K
(j)
Equation (11) ensures that no two parcels overlap during loading, as follows:
X i b k X o d k X o d k X i b k Y i b k Y o d k Y o d k Y i b k Z i b k Z o d k Z o d k Z i b k , k K , i , o M , b , d 1 , 2 , 3 , , B i
(k)
Equation (12) represents the LIFO principle, meaning parcels are loaded in the reverse order of customer visits, with the assumption that customer point o is served later than customer point i, as follows:
X i b k X o d k w i b Y i b k Y o d k l i b Z i b k Z o d k h i b , k K , i , o M , b , d 1 , 2 , 3 , , B i
The placement method when ort = 1 is shown by the parcel on the left side of Figure 2, and the placement method when ort = 2 is shown by the parcel on the right side of Figure 2. The bottom-left-back corner point and the diagonal corner point of the parcel within the compartment are illustrated in Figure 2.
In this paper, the two objective functions are transformed into a single objective function. First, Equation (1) is normalized by introducing an initial distance, which is half of the sum of the distances between any two points (including the distribution center and all customer points), denoted as dtotal. The total distance saving ratio is then incorporated into the objective function (1). Since the original objective function (1) aims to minimize the total distance, the introduction of the distance saving ratio transforms the objective into maximizing the distance saving ratio. Thus, the objective function is reformulated as follows:
max u = d t o t a l i M j M k K x i j k y k i D i j d t o t a l
This paper adopts the linear weighting method to simplify the multi-objective optimization problem. By introducing the weighting coefficients λ 1 and λ 2 , the transformed single-objective function can be expressed as follows:
max q = λ 1 u + λ 2 V

2.3. AHP-Based Weighting

We structured the weighting process using AHP [23] to formalize the prioritization of objectives, The specific implementation steps are as follows:
Step 1: Expert evaluation and pairwise comparison matrix
We invited a panel of 10 logistics experts from the distribution center of H University to prioritize the objectives, minimizing the total distance and maximizing the average loading rate, and each expert scored independently using Saaty’s 1–9 scale [24]. The details of the specific rating ratio are shown in Appendix A.3. The mean ratings indicate that minimizing examples is considered more critical than maximizing the loading rate, with a consensus ratio of waggA/waggB = 2.33. The resulting pairwise comparison matrix (A) is as follows:
A = 1 2.33 1 / 2.33 1
Step 2: Weight Calculation and Eigenvalue Validation
The weight vector is derived using the geometric mean method [25], as follows:
1. Compute the geometric mean for each objective, as follows:
g 1 = 1 × 2.33 = 1.526 , g 2 = 1 2.33 × 1 = 0.655
2. Normalize the geometric means to obtain final weights, as follows:
α = g 1 g 1 + g 2 = 1.526 2.181 0.699 , β = g 2 g 1 + g 2 = 0.655 2.181 0.301
To validate the consistency, we calculated the maximum eigenvalue (λmax), as follows:
1. Compute the weighted sum vector, as follows:
A w = 1 × 0.699 + 2.33 × 0.301 1 2.33 × 0.699 + 1 × 0.301 = 1.400 0.601
2. Derive λmax, as follows:
λ max = 1 2 ( 1.400 0.699 + 0.601 0.301 ) = 1.999
3. Verify the consistency, as follows:
C I = λ max n n 1 = 1.999 2 2 1 = 0.001
The negative CI value (−0.001) arises from rounding the computed weights (0.699→0.7, 0.301→0.30.) and is mathematically benign for the following reasons:
In AHP, pairwise comparison matrices of size n = 2 are inherently fully consistent if the normalized weights align with the expert-assigned ratio [26]. Here, α/β = 0.7/0.3 ≈ 2.33, directly matching the original pairwise ratio a12 = 2.33. Saaty’s framework does not require a consistency ratio (CR) validation for n = 2, as the random index (RI) is undefined for such cases [27]. In addition, this confirms a perfect consistency. The minor discrepancy (CI = −0.001) solely reflects controlled numerical simplification for practical implementation.
Although the precise AHP calculations yielded weights of α = 0.699 and β = 0.301, these were adjusted to 0.7 and 0.3 to harmonize mathematical rigor with practical feasibility. First, H University’s logistics team advocated for a simplified “70–30” heuristic, reflecting their empirical prioritization of minimizing distance over loading rate. Second, numerical simulations confirmed that rounding introduced negligible deviations (<0.5%) in total distance and loading rate outcomes, ensuring algorithmic robustness. Finally, integer-like coefficients enhance interpretability in industrial settings, avoiding computational complexities associated with fractional weights in real-time routing systems. This adjustment balances precision with usability, maintaining alignment between theoretical methodology and operational realities.

3. Hybrid Algorithm—RSO-IGA

The RSO-IGA algorithm establishes an intrinsic connection between the two subproblems of 3D bin packing and route planning, enabling a more holistic solution for 3L-CVRP. Initially, an improved Clarke–Wright savings algorithm generates route set Pt with 3D constraints as the initial population for the IGA. This enhanced CW algorithm accelerates convergence to optimal solutions, thereby improving computational efficiency.
Set g = 1. Use the roulette wheel selection method in the IGA algorithm to perform selection operations. The selected solutions undergo crossover with probability Pe. The crossed solutions are then subjected to 3D constraint validation. If the constraints are not satisfied, the crossover is repeated; if satisfied, mutation is performed with probability Pm. After mutation, another 3D constraint validation is conducted. Note that the 3D constraints here are distinct from 3D loading constraints. Even if a path plan satisfies Equations (9)–(12), it may not guarantee that all the packages can fit into the delivery vehicle. Therefore, after crossover and mutation in the IGA algorithm, the RSO method is applied to validate 3D loading constraints and eliminate invalid solutions. This step enhances algorithm efficiency by avoiding infeasible solutions that fail loading requirements. The offspring population Ot is merged with parent population Pt, followed by objective function evaluation. An elitism selection mechanism then identifies N elite individuals to form the new parent population. Then, set g = g + 1, and the process iterates until termination criterion ggmax is met, ultimately outputting the optimized solution. This dual-phase validation mechanism and elite retention strategy effectively balance solution quality and computational efficiency while maintaining 3D feasibility constraints, and the algorithm flow is illustrated in Figure 3.
The specific pseudo-code steps of the hybrid Algorithm 1 are shown below.
Algorithm 1 RSO-IGA Hybrid Algorithm for 3L-CVRP
Input: Customer points D, vehicle dimensions (L, W, H), AHP weights (w1, w2)
   Genetic params: pop_size, max_gen, Pc, Pm
Output: Optimized routes R_best with feasible 3D packing schemes
1:Initialize:
2: Generate initial population P0 using Improved CW savings algorithm (Algorithm 3)
3: Decode each individual to routes R_chrom and packing layers (L_chrom, P_chrom)
4: Validate packing feasibility via RSO Algorithm (Algorithm 2)
5:for gen = 1 to max_gen do:
6:# IGA Phase
7:  Elite selection: Preserve top 10% individuals unchanged
8:  Crossover: Improved Order Crossover on P_genoffspring_Q
9:  Mutation: Swap mutation on offspring_Qmutated_Q
10:# RSO Validation Phase
11:  for each individual in mutated_Q:
12:   Decode R_chrom to routes
13:   Apply RSO Algorithm (Algorithm 2) to validate 3D packing feasibility
14:   If infeasible: discard or repair by re-generating L_chrom/P_chrom
15:# Fitness Evaluation
16:Calculate fitness via weighted sum:
17:  Fitness = w1 × (normalized_distance) + w2 × (loading_rate)
18:# Environmental Selection
19:Combine P_gen + mutated_Q → select next_gen via tournament selection
20:Return: Best fitness

3.1. Three-Dimensional Bin Packing Algorithm Based on the Residual Space Optimization Strategy

The purpose of three-dimensional bin packing is to verify whether the goods at customer points along the planned route can be loaded into the vehicle under the LIFO constraint. This paper adopts a three-dimensional bin packing algorithm based on the residual space optimization strategy for verification. The packing rules are as follows:
1. Residual space segmentation: As shown in Figure 4, the red dashed lines represent the cutting planes. When horizontal or vertical cutting is applied, the remaining three subspaces are independent of each other. Among them, the subspace Space1 remains the same under both cutting methods, while Space2 and Space3 are subspaces with equal height. The optimization of the residual space segmentation method can be equivalent to the optimization of the residual space in two-dimensional bin packing with height constraints.
2. Parcel placement rules: placing boxes with larger base areas at the bottom ensures better loading capacity for subsequent items. Therefore, under the premise of optimizing residual space, the placement rules are described as follows:
(1)
Sort the parcels based on the size of their base area in descending order, prioritizing the loading of parcels with larger base areas;
(2)
When selecting a placement space, ensure that the space can fully accommodate the parcel, and the difference between the base area of the parcel and the base area of the space should be as small as possible;
(3)
If multiple spaces have base areas similar to that of the current parcel, choose the space that, after accommodating the current parcel, can be divided into the largest possible subspace.
A comprehensive evaluation metric for (2) and (3) is proposed as shown in the following equation:
S p a c e i l b o x l o c a l l , S p a c e i w b o x l o c a l w , S p a c e i h b o x l o c a l h
f b o x l o c a l , S p a c e i = S p a c e i l + b o x l o c a l l γ S p a c e i w b o x l o c a l w + γ
Equation (21) indicates that the placement space must be able to accommodate the box. In Equation (22), γ is a correction parameter for the comprehensive evaluation metric, and its value is a positive number significantly smaller than the shortest edge of the smallest parcel. This parameter is introduced to avoid the situation where the comprehensive evaluation metric cannot be optimized when any edge of the placement space equals any edge of the box.
As shown in Figure 5, two identical parcels, bi and bj, are loaded into a delivery vehicle. Without the correction parameter, the comprehensive evaluation metrics f(bj,Space1) and f(bj,Space3) would both be 0. According to placement rule (3), the spatial configuration shown in Figure 5a is obtained.
When the correction parameter is included, the comprehensive evaluation metrics are calculated as f(bj,Space1) = −γ2 and f(bj,Space3) = −γ∙(Space3 (l) − bj(l)). Clearly, the former is larger, resulting in the spatial configuration shown in Figure 5b. From Figure 5, it is evident that the corrected residual space set provides more valuable reference for subsequent packing.
The specific pseudocode steps of the remaining space optimization Algorithm 2 are as follows:
Algorithm 2 RSO 3D Packing Validation
Input: Route R, parcels list with dimensions, LIFO stack order
Output: Packing feasibility (True/False), loading rate V
1:Initialize:
2: Residual spaces: [Space0 = (L, W, H, corner = (0,0,0))]
3:Space_avi = True # Space availability flag, initially True
4:Plan_list = [] # List to store packing plans, initially empty
5:Sort parcels by base area (largest-first) and push to LIFO stack
6: Sort parcels: Sort by base area descending order, then push to LIFO stack
7:Update residual spaces and total space count:
8: Update Space_list (list of available spaces)
9: Total number of available spaces: num_S
10:Main Packing Loop:
11: while parcels exist in LIFO stack:
12:  a. Pop the next parcel p from stack
14:  b. For each Space in residual_spaces:
15:   Calculate placement score f(p, Space) based on Equations (15) and (16)
16:   f(p, Space) represents the placement score, a measure of how well parcel p fits in the given space
17:  c. If f > 0: # Placement is feasible
18:   Place parcel p in the space with the highest f value
19:   Split residual space into 3 subspaces (based on current parcel placement)
20:   Update residual_spaces with new subspaces (Figure 4)
21:   Increment placement counter (s = s + 1)
22:  d. If no further feasible placements are found for parcel p in the current residual spaces:
23:   Break out of the loop (to check the next parcel)
24:If no feasible placement (space) is found for a parcel:
25: Return False (packing not possible)
26:If all parcels are successfully placed:
27: Calculate the loading rate V = total_parcel_volume/(L × W × H)
28: Return True (packing is successful), V (loading rate)
29:End Algorithm
3. LIFO constraint: campus parcel delivery must consider the order of customer logistics distribution, so it is not possible to sort all goods uniformly. The path plan is reversed and then sequentially pushed onto a stack. When popping elements from the stack, they are removed starting from the top element, ensuring that the order of elements popped matches the sequence of customer points in the path plan.

3.2. IGA Algorithm

3.2.1. Encoding and Decoding

(1)
Encoding
The encoding part requires that the chromosome contains all the basic information of an individual. Currently, the most common encoding method for solving vehicle routing problems is real-number encoding, which encodes the visiting sequence of customer points. The solution space is the full permutation of the visiting sequence, and the corresponding space complexity is related to the number of customer points. However, this paper also needs to consider three-dimensional loading constraints and the practical conditions of campus delivery. Therefore, while considering the route as the visiting sequence, a three-layer real-number encoding method is adopted. As shown in Figure 6, a simple schematic diagram of the three-layer encoding method is provided.
The first layer, R_chrom, represents the route encoding. The sequence reflects the order in which the delivery vehicle visits the customer points, and the numbers correspond to the sequential indices of the customer points.
The second layer, L-chrom, represents the loading sequence. The sequence indicates the order in which parcels are loaded, and the numbers correspond to the parcel demand indices associated with R_chrom.
The third layer, P_chrom, represents the parcel placement encoding. The numbers correspond to the placement methods of the parcels in the vehicle, where only two placement methods are considered for the parcels in the vehicle.
(2)
Decoding
The decoding process involves transforming the solution represented by the encoding into specific executable operational steps. For the three-layer encoding method proposed in this paper, since the R_chrom layer represents the vehicle’s visiting sequence, the legality of the route must be ensured during the decoding of the R_chrom layer. This requires considering the impact of three-dimensional constraints on the route. Therefore, under loading constraints, the route needs to be divided into multiple sub-routes, and a “0 gene” is added at the beginning and end of each sub-route to represent a complete delivery route for the delivery vehicle. Additionally, to obtain valid solutions, the L_chrom and P_chrom layers must undergo three-dimensional constraint verification during each decoding step.
As shown in Figure 7, the red dashed line represents the pass segmentation. The first route is “0→6→1→2→4→0,” and the second route is “0→3→5→7→0.” By repeating the above decoding process, the route plan for each trip of the delivery vehicle under this individual can be restored.

3.2.2. Introduction of the Improved CW Savings Algorithm

To more effectively converge to the optimal solution, the CW savings algorithm is introduced, and the solution generated by the CW savings algorithm is used as the initial solution. The core idea of the CW algorithm is to calculate and compare the “savings” between different customer points, which refers to the distance saved by merging two customer points into the same route, thereby gradually constructing the optimal route. The initial solution is direct delivery, where a single vehicle serves each customer point separately. Although the initial solution can meet the required cargo demands, it results in excessive vehicle trips, long delivery routes, and low loading rates.
In the CW Algorithm, the “savings” are illustrated in Figure 8. Customer points s and t are served by the distribution center o. Here, l(o, s) and l(o, t) represent the shortest feasible distances from the distribution center to customer points s and t, respectively, and l(s, t) represents the shortest feasible distance between customer points s and t. The savings from merging customer points s and t is calculated as |l(s, t) + l(o, s) + l(o, t) − 2(l(o, s) + l(o, t))|.
In the traditional CW savings algorithm, l(o, s), l(o, t), and l(s, t) are calculated using the Manhattan distance equation. However, in the context of a campus environment, the routes are more complex. Therefore, this paper utilizes the Gaode Maps API to calculate the actual road distances based on latitude and longitude rather than simple straight-line distances. The improved CW savings algorithm is implemented as follows:
(1)
Initialization: calculate the distance matrix D for all customer points and set the initial solution as individual routes containing the distribution center and each customer point;
(2)
Calculate savings: based on the distance matrix D, compute the savings between all customer points and construct the savings matrix S;
(3)
Sort savings: sort the savings matrix S in descending order to obtain the savings list L;
(4)
Merge savings: randomly select a customer point and, following the order of the savings list L, sequentially check whether merging the next customer point satisfies the three-dimensional constraints. If not, skip that customer point and proceed to the next;
(5)
Update routes: after each successful merge, update the current route and the set of unvisited customer points;
(6)
Termination: the algorithm terminates when all customer points have been visited.
The improved CW savings algorithm generates feasible solutions during the route merging process and evaluates the distance savings. Simultaneously, it assesses the feasibility of merging routes based on three-dimensional constraints. As a result, the initial solutions generated by the improved CW savings algorithm are feasible and stable, facilitating the optimization of feasible solutions in the second stage using the improved GA.
Unlike the traditional GA, which employs a random strategy to generate the initial population, the introduction of the CW savings algorithm provides better initial solutions, aiding convergence to the optimal solution. Additionally, the elite retention strategy is incorporated to ensure that a certain number of elite individuals are preserved during the iteration process, thereby improving the accuracy of the optimization results. Therefore, compared to the traditional GA, the proposed IGA combines the improved CW savings algorithm and the elite retention strategy, enhancing the stability of the hybrid algorithm and its global search capability for finding optimal solutions.
The specific pseudocode of the improved CW savings Algorithm 3 is as follows:
Algorithm 3 Improved CW-Savings Algorithm
1:Calculate real-road distances using Gaode Maps API
2:Initialize: Each customer as separate route [0, i, 0]
3:Compute savings S_ij = distance(0,i) + distance(0,j) − distance(i,j)
4:Sort S_ij in descending order
5:For each S_ij in sorted list:
6: Merge routes containing i and j if:
7: Capacity constraint satisfied (Equation (8))
8: 3D packing validated by RSO (Algorithm 2)
9:Return: Feasible initial routes
Fitness Function Construction: The optimization objectives in this study are to minimize the route length and maximize the average loading rate. During the population iteration process, the route length is expected to decrease gradually until the optimal solution is reached. In the population evolution process, individuals with higher fitness values are more likely to be retained. The fitness function is defined as in Equation (23):
F = λ 1 u + λ 2 V

3.2.3. Crossover

This paper employs an improved order crossover method. The specific steps are as follows:
(1)
Select the same region on two parent chromosomes, P1 and P2;
(2)
Copy the genes from the selected region of P1 and P2 to the end of P1 and P2, respectively, resulting in P1′ and P2′;
(3)
Exchange the genes in the selected regions of P1′ and P2′, resulting in P1″ and P2″;
(4)
Remove the duplicate genes outside the selected regions in P1″ and P2″, yielding two offspring chromosomes, F1 and F2. The specific operation is illustrated in Figure 9.
In Figure 9, the red arrow represents the segmentation of chromosome fragments, and the white arrow represents the change process of chromosome. After completing the crossover operation, it is necessary to verify whether the loading plan of the delivery vehicle satisfies the three-dimensional constraints. If not, the crossover operation is repeated.

3.2.4. Mutation

A chromosome is randomly selected from the population generated after the crossover operation for mutation. The mutation process is illustrated in Figure 10, the red arrow indicates the exchange of fragments of two chromosomes, and the white arrow indicates the change process of the whole chromosome. The steps are as follows:
(1)
Select some chromosomes from the parent generation based on the mutation probability;
(2)
Randomly select two genes from the parent chromosome and exchange them to produce a new offspring chromosome;
(3)
Verify whether the loading plan of the delivery vehicle after the mutation operation satisfies the three-dimensional constraints. If not, the mutation operation is repeated.
The offspring generated after crossover and mutation are validated using the residual space-optimized three-dimensional bin packing algorithm to determine whether the plan can accommodate all parcels along the route. If successful, subsequent operations are performed; otherwise, the crossover and mutation operations are repeated.

3.3. Algorithm Comparison

This paper further modifies the experimental data based on the following instances designed by Cordeau:
(1)
The number of customer points is increased;
(2)
The types of boxes are expanded;
(3)
Time windows are removed, and the modified data are shown in Table 2.
The RSO-IGA algorithm is then compared with the artificial bee colony algorithm and the GA-TS algorithm. Table 2 presents the experimental data, and Table 3 shows the comparison results of the algorithms. The results indicate that the proposed RSO-IGA algorithm outperforms the others in terms of route length and average loading rate. In Table 3, f represents the shortest route length in meters (m) and V represents the average loading rate. This index can show the stability of the packing., and T indicates the algorithm’s running time in seconds (s).

3.4. Statistical Significance Analysis

In order to better reflect the evaluation effect of the RSO-IGA algorithm, ABC algorithm, and GA-TS algorithm, the Wilcoxon test is carried out, and the evaluation index includes the transportation distance (f) and loading rate (V). The test results are shown in Table 3, and the detailed analysis Table 4, is as follows:
Based on the Wilcoxon test results, the RSO-IGA algorithm showed statistically significant advantages in both aspects (all p < 0.01): In the optimization of transportation distance, RSO-IGA has extremely significant improvement compared with ABC algorithm and GA-TS algorithm (p = 2.384 × 10−6), indicating that its path planning ability is significantly better than the two comparison algorithms. In terms of loading rate, the difference between RSO-IGA and ABC algorithm was extremely significant (p = 1.6689 × 10−6), while the improvement between RSO-IGA and GA-TS algorithm was small but still significant (p = 0.0057). These results prove that RSO-IGA achieves statistically significant performance improvements on both key metrics of the logistics optimization problem. The distance optimization is more consistent (reaching 1 × 10−6 level significance in both comparisons), while the loading rate optimization is significant, but the difference is relatively limited in the GA-TS algorithm comparison.

4. Case Validation

4.1. Algorithm Parameter Determination

The case data are derived from the order data delivered on a certain day at H University, comprising a total of 472 parcels. After removing redundant information, details such as “quantity of goods”, “box dimensions”, and “delivery customer points” are retained. Specific parameters are provided in Appendix Table A1.
The delivery vehicle used by H University’s Cainiao Station has a cargo compartment size of 1800 mm × 1000 mm × 1200 mm. Based on the algorithm’s packing performance and practical considerations, the correction coefficient is set to 80%. The primary focus of this study is to improve the delivery efficiency of H University’s distribution center and ensure that campus students and staff receive their parcels as quickly as possible. Therefore, the priority of minimizing route length is higher than maximizing the three-dimensional packing loading rate. The weights λ 1 and λ 2 are set to 0.7 and 0.3, respectively. The comprehensive evaluation index correction parameter γ is set to 1. The maximum number of cycles is set to 10.
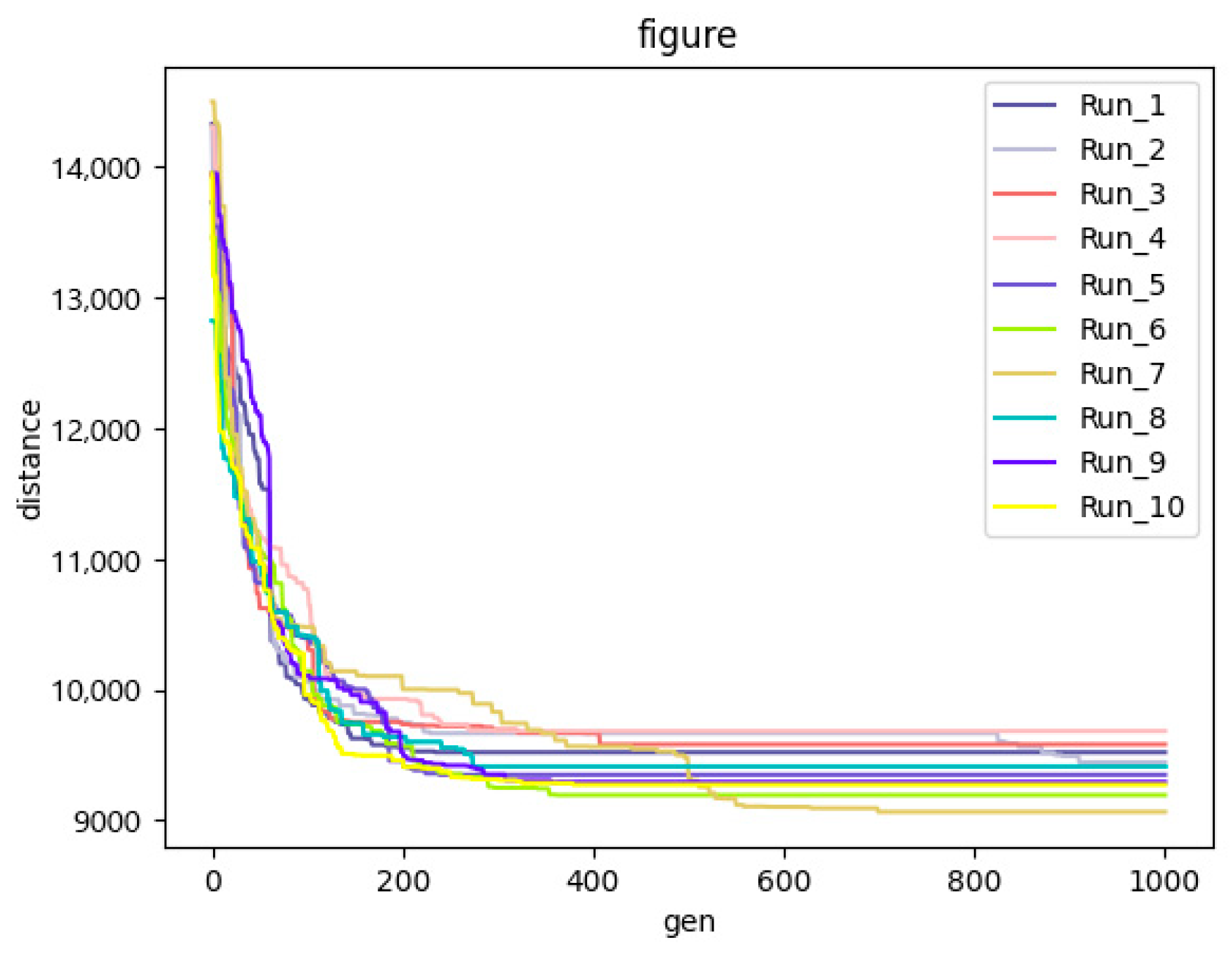
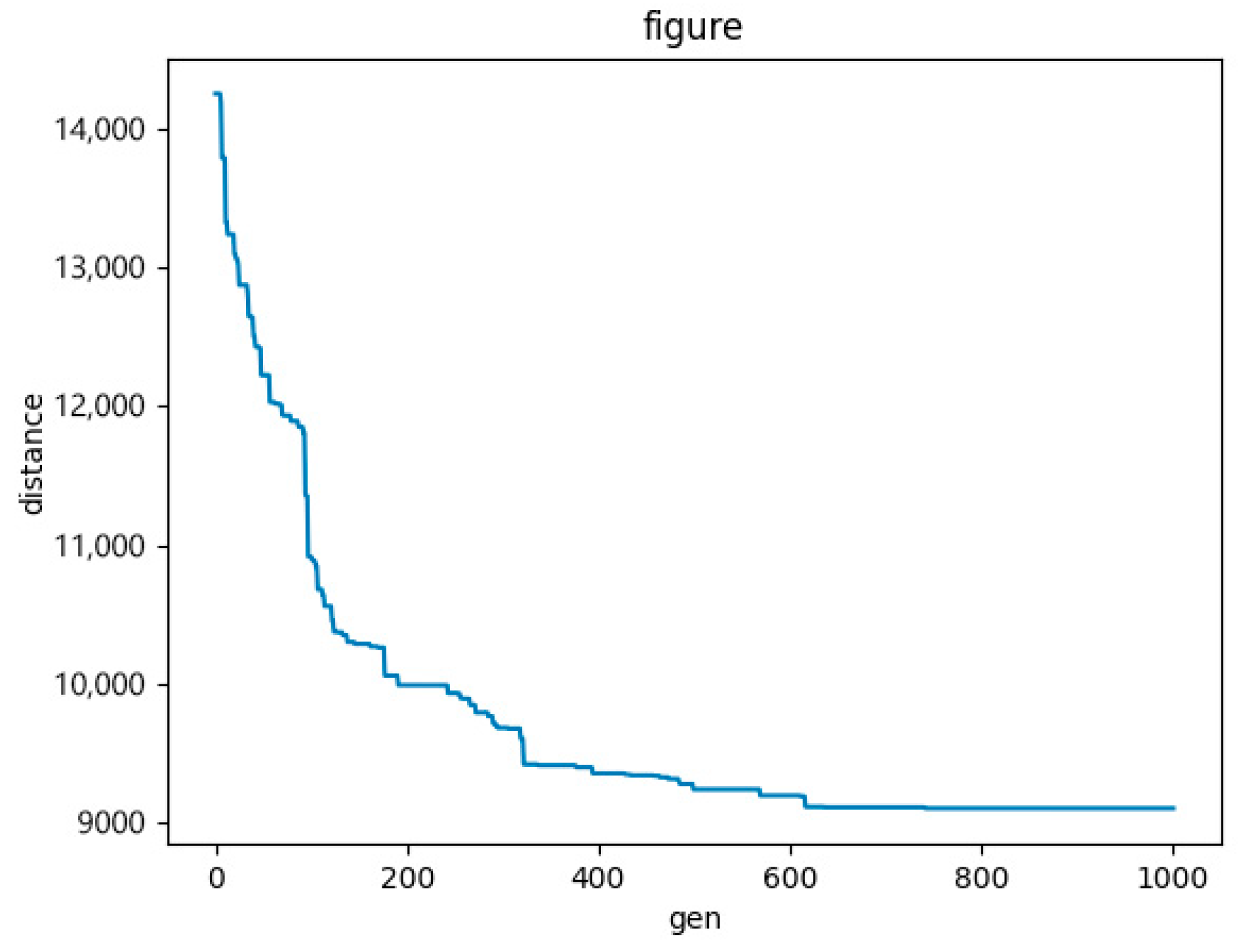
As shown in Figure 11, under the data context of the H University case, the improved genetic algorithm generally stabilizes within 1000 generations. The distance metric in the convergence curve (see Figure 11 and Figure 12) is defined as the total routing distance corresponding to the best-found solution per iteration. Therefore, the maximum number of iterations for solving the case is set to 1000. The crossover probability (Pc) and mutation probability (Pm) are set to 0.9 and 0.1, respectively.
Using the “Gaode API” function from Gaode Maps’ WebAPI, the latitude and longitude of customer points requiring delivery on a certain day at H University is obtained, as detailed in the Appendix A. For route visualization, the “Driving Route Planning” module of Gaode Maps’ “Route Planning API” was utilized to acquire the shortest road distances and route nodes between two points.

4.2. Solution Comparison

As shown in Figure 12, the objective function value converges after 627 iterations.
The optimal solution involves a total of four delivery trips: first trip: [0, 31, 15, 24, 11, 10, 0], second trip: [0, 13, 34, 1, 5, 0], third trip: [0, 21, 3, 2, 29, 26, 25, 17, 32, 12, 8, 14, 4, 7, 0], and fourth trip: [0, 33, 6, 16, 18, 19, 9, 27, 30, 28, 23, 22, 20, 0]. The average loading rate is 75.65%, and the total route length is 7501 m. The route diagram of the optimal solution computed by RSO-IGA is shown in Figure 13, where each color represents a delivery trip, totaling four trips.
The packing plans for each route are illustrated in Figure 14. The red lines outline the cargo space of the vehicle, and the different colors of the boxes inside each vehicle represent different customer points, meaning that parcels for each customer are assigned the same color.
Table 5 presents the delivery plan for H University on a certain day which involves a total of four delivery trips. The plan achieves an average loading rate of 75.65% and a total route length of 10,347 m.
Based on certain day order data from H University, this paper applies the artificial bee colony algorithm and the GA-TS algorithm for optimization. The results obtained from the ABC algorithm are shown in Figure 15, while those from the GA-TS algorithm are shown in Figure 16. Both algorithms yield solutions with five delivery routes, illustrated in Figure 15f and Figure 16f. The three-dimensional packing plans for each route are depicted in Figure 15a–e and Figure 16a–e.
A comparison of the proposed RSO-IGA, the original delivery plan, and the two algorithms (ABC algorithm and GA-TS algorithm) is presented in Table 6. In practical logistics scenarios, customers consistently prioritize rapid parcel retrieval, making the reduction of total distribution distance a critical determinant for enhancing delivery efficiency. The three-dimensional bin packing problem, as a spatial constraint, directly influences delivery sequencing and routing distance. As shown in Table 6, both the H university delivery plan and the RSO-IGA-optimized scheme required four trips, while the ABC algorithm and GA-TS algorithm strategies necessitated five trips. However, the total distances of ABC algorithm and GA-TS algorithm were shorter than those of the H university delivery plan, indicating no inherent correlation between delivery frequency and total routing distance. The RSO-IGA algorithm achieved the shortest routing configuration within a competitively compressed timeframe while maintaining a high average container utilization rate, thereby ensuring cargo stability during transportation. Additionally, it ensures the stability of parcels within the vehicle, making it a superior solution for campus logistics optimization.

5. Conclusions

In this paper, the IGA is combined with the residual space-optimized three-dimensional bin packing algorithm to propose the RSO-IGA. The parameters required for this algorithm are set after validation through computational examples. The RSO-IGA algorithm is used to solve the optimal path scheme and the corresponding packing scheme of the actual data of H University on a certain day. Compared with the original path scheme of H University and the other two algorithms, the advantages and disadvantages of the path scheme and the average loading rate are evaluated. Finally, the real-world route maps displayed on Gaode Maps demonstrate that the RSO-IGA algorithm can yield higher-quality solutions, providing a more efficient delivery plan for the campus distribution center of H University.
While this study considers geometric constraints and the LIFO constraint in three-dimensional bin packing, real-world scenarios may involve more complex constraints. Therefore, future research could explore more intricate packing constraints.

Author Contributions

X.Y.: resources, formal analysis, methodology, software, funding acquisition, and writing—original draft. Z.Y.: writing—review and editing. Y.L.: methodology, project administration, and funding acquisition. Y.C.: investigation and resources. A.G.: resources and formal analysis. All authors have read and agreed to the published version of the manuscript.

Funding

This work is supported by the following projects: the Research Starting Fund of Wuhan Vocational College of Software and Engineering (KYQDJF2023008) and the Research Starting Fund of Hubei University of Technology (BSQD2020009).

Data Availability Statement

The original contributions presented in this study are included in this article.

Conflicts of Interest

The authors declare no conflicts of interest.

Appendix A

Appendix A.1

Table A1. H University’s express order form on a certain day.
Table A1. H University’s express order form on a certain day.
NumberDimensions/mmQuantity (Corresponding Customer Point Number)
1520,520,2107(1), 2(3), 2(4), 2(5), 7(7), 2(9), 3(10), 3(13), 2(18), 2(19), 11(21), 2(22), 2(28), 12(31), 8(32), 5(33), 2(34)
2190,150,1203(34)
3350,230,1902(1), 4(3), 1(5), 1(7), 4(13), 2(16), 2(19), 2(20), 1(22), 10(23), 5(24), 1(24), 1(27), 7(33),
4150,120,1004(4), 10(13), 1(17), 4(18), 3(32), 10(34)
5220,180,15019(1), 9(3), 2(4), 2(5), 1(6), 1(8), 10(11), 1(12), 5(13), 7(14), 1(15), 2(17), 1(18), 1(20), 1(23), 5(24),
6150,110,1001(25), 3(27), 15(30), 1(32), 3(34)
7230,150,1302(5), 6(13), 4(34)
8185,120,902(3), 2(7), 2(13), 1(14), 2(15), 1(19), 2(20), 4(24), 3(25), 2(26), 2(28), 5(29), 1(33), 3(34)
9210,140,1102(13), 3(18), 13(19), 4(34)
10120,110,904(1), 5(2), 4(3), 6(4), 3(5), 15(7), 6(13), 1(16), 6(21), 2(22), 1(25), 18(30), 18(31), 1(32), 6(33), 3(34)
11200,110,1005(32)
12100,100,803(1), 1(3), 1(4), 1(8), 1(12), 1(13), 1(16), 3(20), 2(25), 1(27), 10(29), 3(34)

Appendix A.2

Table A2. Latitude and longitude of customer points.
Table A2. Latitude and longitude of customer points.
NumberLongitudeLatitudeCustomer Point
0114.30769330.482199Distribution center
1114.30843830.480748Building 7
2114.31247730.478904Strawberry dorm 1
3114.31250430.478520Strawberry dorms 2,3
4114.31225230.477840Strawberry dorms 4,5
5114.31239230.476574Strawberry dorms 6,7
6114.31239230.476192Strawberry dorm 8
7114.31046030.475959Building 3
8114.31016030.477387Science and technology building
9114.30990230.478696Administrative building
10114.30945230.479796Bioengineering building
11114.31155530.479935Building 1
12114.31070230.480910Electrical engineering building
13114.31101330.481807Sports college building
14114.30848630.479329Building 5
15114.30797130.477720Building 4
16114.30749430.478280Engineering building 1
17114.30762830.479244Engineering building 2
18114.30591130.478955West dorms 1,2
19114.30584230.479634West dorms 3,4
20114.30564330.480869West dorms 5,6
21114.30555230.481580West dorms 7,8
22114.30527830.482260West dorms 9,10
23114.30616930.482237Agricultural machinery building
24114.30884230.484196North dorm 4
25114.30758030.484138North dorm 5
26114.30787030.484429North dorm 6
27114.30972830.485097North dorm 12
28114.31179830.485356North dorm 15
29114.31072630.485056North dorm 16
30114.30931830.484756Building 2
31114.31028930.484276Solar building
32114.30966130.483841Civil building
33114.30959730.478657Training building
34114.31092230.483393School hospital

Appendix A.3

Table A3. Expert evaluation mark.
Table A3. Expert evaluation mark.
ExpertPairwise Rating(f1/f2)Geometric Mean (wA = (f1/f2)1/2)Geometric Mean (wB = (f2/f1)1/2)Normalized Weight (α = wA/(wA + wB))Normalized Weight (β = wB/(wA + wB))
142.0000 0.5000 0.8000 0.2000
221.4142 0.7071 0.6667 0.3333
311.0000 1.0000 0.5000 0.5000
42.51.5811 0.6325 0.7143 0.2857
521.4142 0.7071 0.6667 0.3333
61.51.2247 0.8165 0.6000 0.4000
752.2361 0.4472 0.8333 0.1667
81.51.2247 0.8165 0.6000 0.4000
94.22.0494 0.4880 0.8077 0.1923
102.51.5811 0.6325 0.7143 0.2857
AggregatedwaggA/waggB = 2.33waggA = 1.5266waggB = 0.6551α = 0.6903β = 0.3097
w A a g g = 2 × 1.4142 × 1 × 1.5811 × 1.4142 × 1.2247 × 2.2361 × 1.2247 × 2.0494 × 1.5811 10 1.5266 w B a g g = 0.5 × 0.7071 × 1 × 0.6325 × 0.7071 × 0.8165 × 0.4472 × 0.8165 × 0.488 × 0.6325 10 0.6511

References

  1. Parcel Shipping Volume Worldwide [EB/OL]. Available online: https://www.statista.com/statistics/1139910/parcel-shipping-volume-worldwide/ (accessed on 19 March 2025).
  2. Winkelhaus, S.; Grosse, E.H. Logistics 4.0: A systematic review towards a new logistics system. Int. J. Prod. Res. 2020, 58, 18–43. [Google Scholar] [CrossRef]
  3. Ali, S.; Ramos, A.G.; Carravilla, M.A.; Oliveira, J.F. On-line three-dimensional packing problems: A review of off-line and on-line solution approaches. Comput. Ind. Eng. 2022, 168, 108122. [Google Scholar] [CrossRef]
  4. Gendreau, M.; Iori, M.; Laporte, G.; Martello, S. A tabu search algorithm for a routing and container loading problem. Transp. Sci. 2006, 40, 342–350. [Google Scholar] [CrossRef]
  5. Chi, J.; He, S.; Song, R. Solving capacitated vehicle routing problem with three-dimensional loading and relocation constraints. Comput. Oper. Res. 2025, 173, 106864. [Google Scholar] [CrossRef]
  6. Jiang, Y.; Cao, Z.; Zhang, J. Learning to solve 3-D bin packing problem via deep reinforcement learning and constraint programming. IEEE Trans. Cybern. 2023, 53, 2864–2875. [Google Scholar] [CrossRef]
  7. Que, Q.; Yang, F.; Zhang, D. Solving 3D packing problem using Transformer network and reinforcement learning. Expert Syst. Appl. 2023, 214, 119153. [Google Scholar] [CrossRef]
  8. Küçük, M.; Yildiz, S.T. Constraint programming-based solution approaches for three-dimensional loading capacitated vehicle routing problems. Comput. Ind. Eng. 2022, 171, 108505. [Google Scholar] [CrossRef]
  9. Ribeiro, L.; Ananno, A.A. A software toolbox for realistic dataset generation for testing online and offline 3D bin packing algorithms. Processes 2023, 11, 1909. [Google Scholar] [CrossRef]
  10. Li, J.; Liu, R.; Wang, R. Elastic strategy-based adaptive genetic algorithm for solving dynamic vehicle routing problem with time windows. IEEE Trans. Intell. Transp. Syst. 2023, 24, 13930–13947. [Google Scholar] [CrossRef]
  11. Li, J.; Liu, R.; Wang, R. Handling dynamic capacitated vehicle routing problems based on adaptive genetic algorithm with elastic strategy. Swarm Evol. Comput. 2024, 86, 101529. [Google Scholar] [CrossRef]
  12. Wang, Y.; Luo, S.; Fan, J.; Zhen, L. The multidepot vehicle routing problem with intelligent recycling prices and transportation resource sharing. Transp. Res. Part E Logist. Transp. Rev. 2024, 185, 103503. [Google Scholar] [CrossRef]
  13. Wang, Y.; Wei, Y.; Wang, X.; Wang, Z.; Wang, H. A clustering-based extended genetic algorithm for the multidepot vehicle routing problem with time windows and three-dimensional loading constraints. Appl. Soft Comput. 2023, 133, 109922. [Google Scholar] [CrossRef]
  14. Wang, Y.; Wei, Z.; Luo, S.; Zhou, J.; Zhen, L. Collaboration and resource sharing in the multidepot time-dependent vehicle routing problem with time windows. Transp. Res. Part E Logist. Transp. Rev. 2024, 192, 103798. [Google Scholar] [CrossRef]
  15. Wang, Y.; Wei, Y.; Jiang, Q.; Xu, M. Vehicle routing problem based on transportation resource sharing under three-dimensional loading constraints. Comput. Integr. Manuf. Syst. 2023, 29, 3153. [Google Scholar]
  16. Yang, S.; Song, S.; Chu, S.; Song, R.; Cheng, J.; Li, Y.; Zhang, W. Heuristics integrated deep reinforcement learning for online 3d bin packing. IEEE Trans. Autom. Sci. Eng. 2023, 21, 939–950. [Google Scholar] [CrossRef]
  17. Zhang, D.; Gu, C.; Fang, H.; Ji, C.; Zhang, X. Multi-strategy hybrid heuristic algorithm for single container weakly heterogeneous loading problem. Comput. Ind. Eng. 2022, 170, 108302. [Google Scholar] [CrossRef]
  18. Huang, Y.; Lai, L.; Li, W.; Wang, H. A differential evolution algorithm with ternary search tree for solving the three-dimensional packing problem. Inf. Sci. 2022, 606, 440–452. [Google Scholar] [CrossRef]
  19. Filella, G.B.; Trivella, A.; Corman, F. Modeling soft unloading constraints in the multi-drop container loading problem. Eur. J. Oper. Res. 2023, 308, 336–352. [Google Scholar] [CrossRef]
  20. Chen, Z.; Yang, M.; Guo, Y.; Liang, Y.; Ding, Y.; Wang, L. The Split Delivery Vehicle Routing Problem with Three-Dimensional Loading and Time Windows Constraints. Sustainability 2020, 12, 6987. [Google Scholar] [CrossRef]
  21. Zhang, S.Z.; Lee, C.K.M. An Improved Artificial Bee Colony Algorithm for the Capacitated Vehicle Routing Problem. In Proceedings of the 2015 IEEE International Conference on Systems, Man, and Cybernetics, Hong Kong, China, 9–12 October 2015; pp. 2124–2128. [Google Scholar]
  22. Zhangqiong, W.; Xiaozhen, Q.I. Vehicle Routing Problem with Three Dimensional Loading Constraints Based on Milk-run in Automotive Parts Supply Logistics. J. Wuhan Univ. Technol. 2015, 39, 1161–1165. [Google Scholar]
  23. Saaty, T.L. Decision making with the analytic hierarchy process. Int. J. Serv. Sci. 2006, 1, 83–98. [Google Scholar] [CrossRef]
  24. Tavana, M.; Soltanifar, M.; Santos-Arteaga, F.J. Analytical hierarchy process: Revolution and evolution. Ann. Oper. Res. 2023, 326, 879–907. [Google Scholar] [CrossRef]
  25. Agarwal, A.; Ojha, R. Prioritizing implications of Industry-4.0 on the sustainable development goals: A perspective from the analytic hierarchy process in manufacturing operations. J. Clean. Prod. 2024, 444, 141189. [Google Scholar] [CrossRef]
  26. Kazibudzki, P.T. The uncertainty related to the inexactitude of prioritization based on consistent pairwise comparisons. PLoS ONE 2023, 18, e0290751. [Google Scholar] [CrossRef]
  27. Dodevska, Z.; Radovanović, S.; Petrović, A.; Delibašić, B. When fairness meets consistency in AHP pairwise comparisons. Mathematics 2023, 11, 604. [Google Scholar] [CrossRef]
Figure 1. The 3L-CVRP problem.
Figure 1. The 3L-CVRP problem.
Processes 13 01449 g001
Figure 2. Placement method and two points position diagram.
Figure 2. Placement method and two points position diagram.
Processes 13 01449 g002
Figure 3. Algorithm flow chart.
Figure 3. Algorithm flow chart.
Processes 13 01449 g003
Figure 4. (a,b) represent two cutting methods: (a) represents horizontal cutting and (b) represents vertical cutting.
Figure 4. (a,b) represent two cutting methods: (a) represents horizontal cutting and (b) represents vertical cutting.
Processes 13 01449 g004
Figure 5. (a) denotes the way of placing before correction and (b) denotes the way of placing after correction.
Figure 5. (a) denotes the way of placing before correction and (b) denotes the way of placing after correction.
Processes 13 01449 g005
Figure 6. One chromosome (taking 7 customer points as an example).
Figure 6. One chromosome (taking 7 customer points as an example).
Processes 13 01449 g006
Figure 7. Encoding and decoding.
Figure 7. Encoding and decoding.
Processes 13 01449 g007
Figure 8. (a,b) represent the principle of CW saving algorithm.
Figure 8. (a,b) represent the principle of CW saving algorithm.
Processes 13 01449 g008
Figure 9. Crossing.
Figure 9. Crossing.
Processes 13 01449 g009
Figure 10. Mutation.
Figure 10. Mutation.
Processes 13 01449 g010
Figure 11. RSO-IGA algorithm iteration curve diagram.
Figure 11. RSO-IGA algorithm iteration curve diagram.
Processes 13 01449 g011
Figure 12. Iteration curve diagram.
Figure 12. Iteration curve diagram.
Processes 13 01449 g012
Figure 13. The path scheme of the optimal solution of RSO-IGA algorithm.
Figure 13. The path scheme of the optimal solution of RSO-IGA algorithm.
Processes 13 01449 g013
Figure 14. (ad) are the first, second, third, and fourth path packing schemes of the optimal solution of RSO-IGA algorithm, respectively.
Figure 14. (ad) are the first, second, third, and fourth path packing schemes of the optimal solution of RSO-IGA algorithm, respectively.
Processes 13 01449 g014
Figure 15. (ae) are the packing schemes of the first, second, third, and fourth paths of the optimal solution of the artificial bee colony algorithm, respectively. (f) is the schematic diagram of path planning.
Figure 15. (ae) are the packing schemes of the first, second, third, and fourth paths of the optimal solution of the artificial bee colony algorithm, respectively. (f) is the schematic diagram of path planning.
Processes 13 01449 g015
Figure 16. (ae) are the packing schemes of the first, second, third, and fourth paths of the optimal solution of the GA-TS algorithm, respectively. (f) is the schematic diagram of path planning.
Figure 16. (ae) are the packing schemes of the first, second, third, and fourth paths of the optimal solution of the GA-TS algorithm, respectively. (f) is the schematic diagram of path planning.
Processes 13 01449 g016aProcesses 13 01449 g016b
Table 1. Symbol definitions.
Table 1. Symbol definitions.
ParametersMeaningParametersMeaning
i, j, oCustomer IDb, dParcel ID
BiNumber of parcels required by the i-th customer pointKSet of vehicle trips
kVehicle trip IDDijDistance from customer point i to customer point j
x i j k Binary variable: equal to 1 if the k-th vehicle trip is from point i to point j; otherwise, 0 y k i Binary variable: equal to 1 if customer point i is served by the k-th vehicle trip; otherwise, 0
fTotal travel distance of the delivery vehiclesMNode set (including the distribution center and N customer points)
ortEqual to 1 or 2, representing two placement orientationsNCustomer point set
L, W, HLength, width, and height of the delivery vehicle compartmentVAverage loading rate of delivery vehicles
lib, lodLength of the b-th parcel at customer point i and the d-th parcel at customer point ohib, hodHeight of the b-th parcel at customer point i and the d-th parcel at customer point o
wib, wodWidth of the b-th parcel at customer point i and the d-th parcel at customer point o X i b k , X i b k , X o d k , X o d k X-axis coordinates of the bottom-left-rear corner and the opposite corner of the b-th parcel at customer point i and the d-th parcel at customer point o on the k-th trip
Y i b k , Y i b k , Y o d k , Y o d k Y-axis coordinates of the bottom-left-rear corner and the opposite corner of the b-th parcel at customer point i and the d-th parcel at customer point o on the k-th trip Z i b k , Z i b k , Z o d k , Z o d k Z-axis coordinates of the bottom-left-rear corner and the opposite corner of the b-th parcel at customer point i and the d-th parcel at customer point o on the k-th trip
Table 2. Experimental data.
Table 2. Experimental data.
Serial NumberData IDNumber of Distribution CentersNumber of Customer PointsDemand Quantity at Customer Points
First Type of BoxSecond Type of BoxThird Type of BoxFourth Type of BoxFifth Type of BoxSixth Type of BoxTotal Number of Boxes
1Pr-011613168240061
2Pr-021615221060053
3Pr-0318241925170085
4Pr-04182330280063
5Pr-05110191627130075
6Pr-06110342118260099
7Pr-0711335292624180132
8Pr-0811325312414290123
9Pr-0912045523149270204
10Pr-1012039602136520208
11Pr-11129546021103218184
12Pr-1212931743426289202
13Pr-13136494531697136301
14Pr-14136367285465421314
15Pr-15145845349263728323
16Pr-16145546518213489343
17Pr-171802135120786524437
18Pr-1818010476125467118452
19Pr-19112089152131233449538
20Pr-2011202132134527924535
21Pr-2112001594756214576581
22Pr-2212005467504314634581
Table 3. Algorithm comparison.
Table 3. Algorithm comparison.
Serial NumberRSO-IGAArtificial Bee Colony AlgorithmGA-TS Algorithm
fVTfVTfVT
193465.21653133263.991055152368.75975
285268.56624124867.23672151967.96932
3107667.45859148264.63452155266.321245
495666.75954135163.85756167467.421287
5113472.651275184264.921064227869.321485
6157870.191386224367.241543235466.411536
7286769.231281354965.431461375667.411698
8267468.761475327662.831385354666.931985
9357468.151956482463.811572523868.522357
10398172.142045500367.351642532166.472573
11456973.562453529662.411782576464.322671
12485270.922674556164.861650593266.842845
13627570.563042687566.321546704566.892684
14675869.822975662463.422057692167.543541
15785471.683576843965.832267876568.243927
16729370.344021802164.593501823567.895076
17857471.094529943862.74307510,12265.424836
18936267.624213994159.84385012,45867.425241
1910,54265.85507212,06367.54371414,32869.215327
2010,29869.76526311,75668.37452311,98570.595371
2112,47670.82602412,67566.84476215,02171.566342
2212,64571.36621312,85367.21502315,53970.846475
Average5505.6369.652843.776167.8165.062243.27685867.833200.41
Table 4. p value comparison between different algorithms.
Table 4. p value comparison between different algorithms.
MetricComparisonp-Value
Distance (f)RSO-IGA and ABC algorithm2.384 × 10−6
Distance (f)RSO-IGA and GA-TS algorithm2.384 × 10−6
Average loading rate (V)RSO-IGA and ABC algorithm1.6689 × 10−6
Average loading rate (V)RSO-IGA and GA-TS algorithm5.7363 × 10−3
Table 5. A certain day order distribution plan for H University.
Table 5. A certain day order distribution plan for H University.
Path OrderRouteMileage
10,1,7,11,14,8,29,9,10,12,13,03714 m
20,2,3,4,5,6,15,16,02262 m
30,17,18,19,20,21,22,23,24,25,26,27,28,04148 m
40,30,31,32,33,34,02223 m
Table 6. Comparison of various methods for placing an order on a certain day at H University.
Table 6. Comparison of various methods for placing an order on a certain day at H University.
MethodNumber of TripsMileageRunning TimeAverage Loading Rate
H University delivery plan410,347 m0 s75.65%
Artificial bee colony algorithm59054 m2453 s60.52%
GA-TS algorithm58810 m3754 s60.52%
RSO-IGA47501 m2284 s75.65%
Disclaimer/Publisher’s Note: The statements, opinions and data contained in all publications are solely those of the individual author(s) and contributor(s) and not of MDPI and/or the editor(s). MDPI and/or the editor(s) disclaim responsibility for any injury to people or property resulting from any ideas, methods, instructions or products referred to in the content.

Share and Cite

MDPI and ACS Style

Yin, X.; Yu, Z.; Liu, Y.; Chen, Y.; Guo, A. An Improved Approach for Vehicle Routing Problem with Three-Dimensional Loading Constraints Based on Genetic Algorithm and Residual Space Optimized Strategy. Processes 2025, 13, 1449. https://doi.org/10.3390/pr13051449

AMA Style

Yin X, Yu Z, Liu Y, Chen Y, Guo A. An Improved Approach for Vehicle Routing Problem with Three-Dimensional Loading Constraints Based on Genetic Algorithm and Residual Space Optimized Strategy. Processes. 2025; 13(5):1449. https://doi.org/10.3390/pr13051449

Chicago/Turabian Style

Yin, Xiyan, Zihang Yu, Yi Liu, Yanming Chen, and Ao Guo. 2025. "An Improved Approach for Vehicle Routing Problem with Three-Dimensional Loading Constraints Based on Genetic Algorithm and Residual Space Optimized Strategy" Processes 13, no. 5: 1449. https://doi.org/10.3390/pr13051449

APA Style

Yin, X., Yu, Z., Liu, Y., Chen, Y., & Guo, A. (2025). An Improved Approach for Vehicle Routing Problem with Three-Dimensional Loading Constraints Based on Genetic Algorithm and Residual Space Optimized Strategy. Processes, 13(5), 1449. https://doi.org/10.3390/pr13051449

Note that from the first issue of 2016, this journal uses article numbers instead of page numbers. See further details here.

Article Metrics

Back to TopTop