Research on the Harmless Treatment of Barium Slag Using Flue Gas Desulfurization Gypsum
Abstract
1. Introduction
2. Materials and Methods
2.1. Raw Material
2.2. Method
2.2.1. Experimental Mixture Design
2.2.2. Detection and Analysis Methods
3. Results
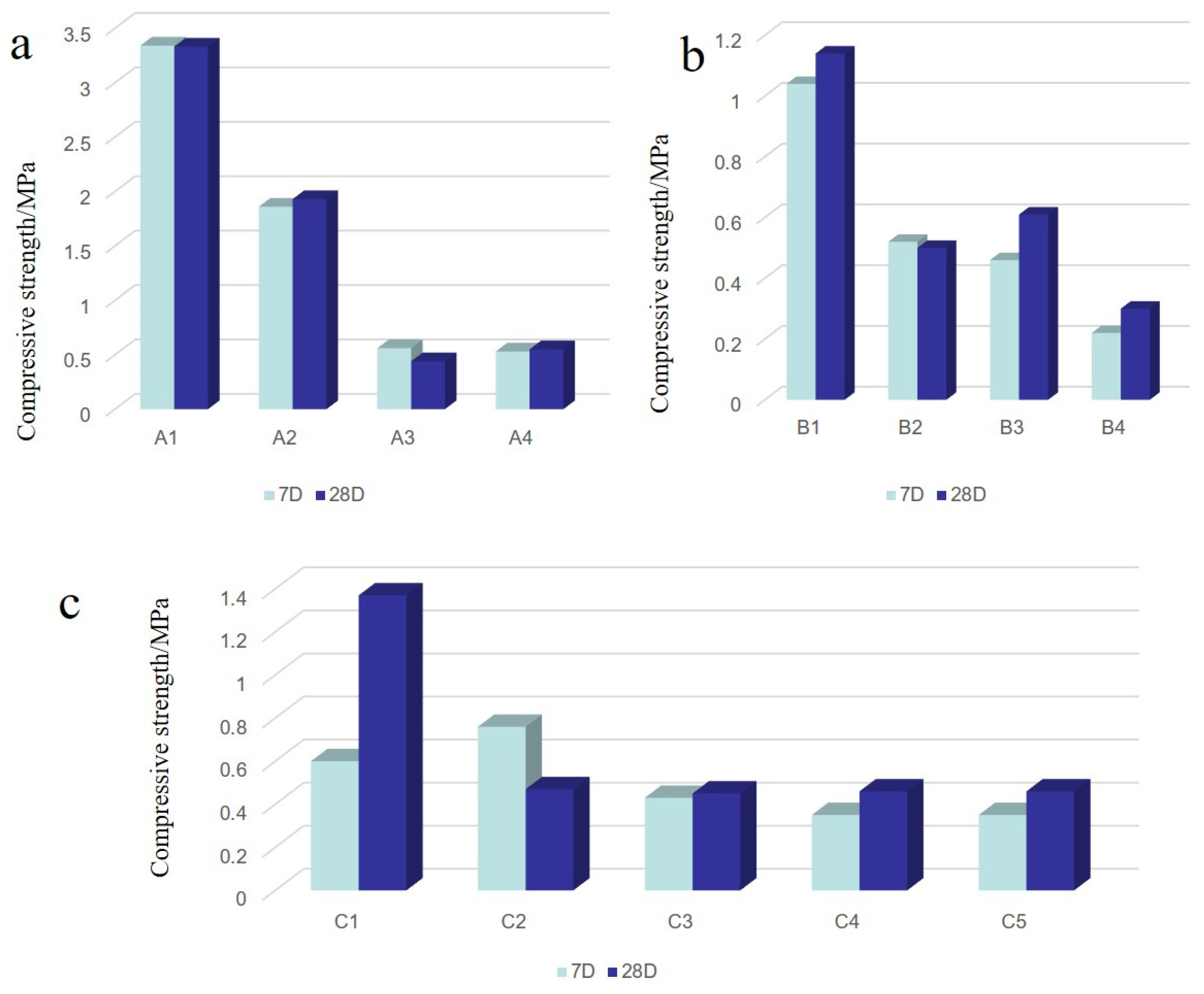
3.1. Mechanical Property Testing
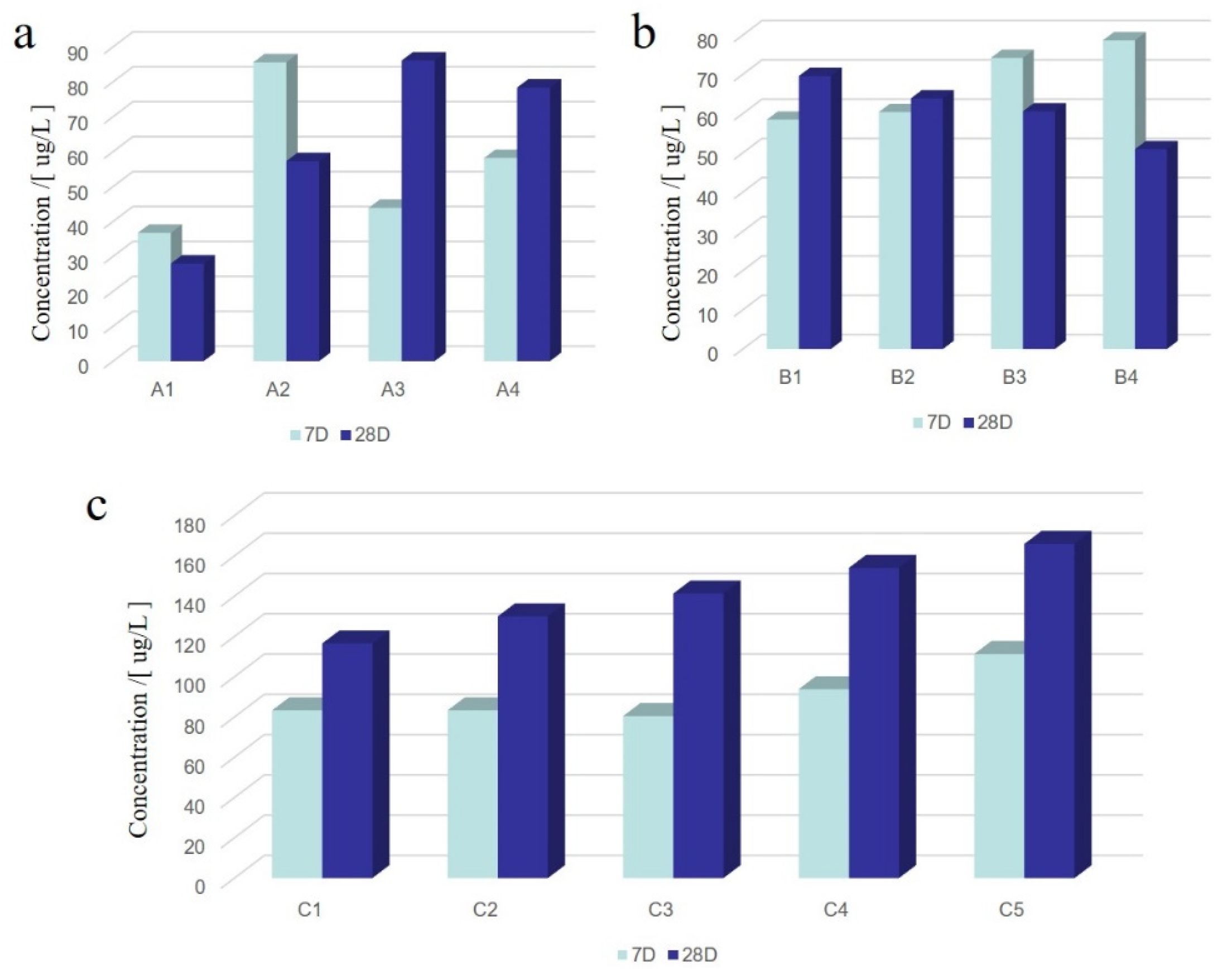
3.2. Leaching Toxicity Test
3.2.1. Horizontal Oscillation Method
3.2.2. Sulfuric–Nitric Acid Method
3.3. Microscopic Analysis
3.3.1. Chemical Elemental Analysis
3.3.2. Phase Composition Analysis
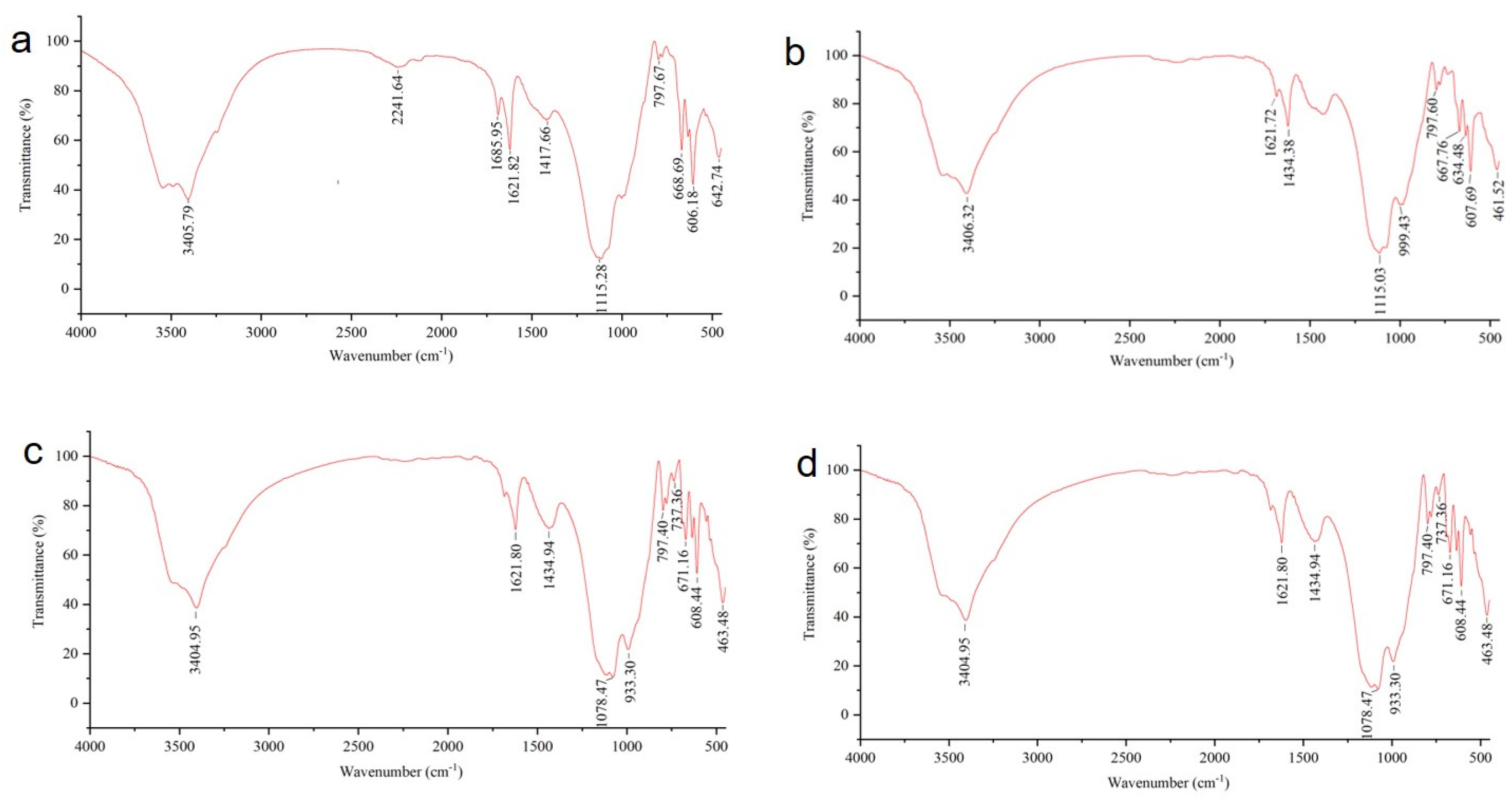
3.3.3. Chemical Bond Analysis
3.3.4. Microstructural Analysis
3.4. Analysis of Harmless Treatment Mechanism of FGD Gypsum on BS
4. Significance, Applicability, and Future Research Prospects of Using FGD Gypsum for Harmless Treatment of BS
5. Conclusions
Author Contributions
Funding
Data Availability Statement
Conflicts of Interest
References
- Yang, T.; Wang, N.; Gu, H.; Guo, T. Froth flotation separation of carbon from barium slag: Recycling of carbon and minimize the slag. Waste Manag. 2021, 120, 108–113. [Google Scholar] [CrossRef] [PubMed]
- Guzmán, D.; Fernández, J.; Ordoñez, S.; Aguilar, C.; Rojas, P.A.; Serafini, D. Effect of mechanical activation on the barite carbothermic reduction. Int. J. Miner. Process. 2012, 102–103, 124–129. [Google Scholar] [CrossRef]
- Gu, H.; Guo, T.; Dai, Y.; Wang, N. Non-hazardous Treatment for Barium Slag Using Phosphogypsum. Waste Biomass Valorization 2019, 10, 3157–3161. [Google Scholar] [CrossRef]
- Salem, A.; Osgouei, Y.T. The effect of particle size distribution on barite reduction. Mater. Res. Bull. 2009, 44, 1489–1493. [Google Scholar] [CrossRef]
- Zhang, W.; Zhou, Y.; Zhu, J.; Pan, Y. New Clean Process for Barium Sulfide Preparation by Barite Reduction with Elemental Sulfur. Ind. Eng. Chem. Res. 2014, 53, 5646–5651. [Google Scholar] [CrossRef]
- Murthy, J.S.N.; Reddy, P.V.V. Solid-state reaction between barium sulfate and carbon. Chem. Eng. Commun. 2012, 199, 966–990. [Google Scholar] [CrossRef]
- Jamshidi, E.; Ebrahim, H.A. A new clean process for barium carbonate preparation by barite reduction with methane. Chem. Eng. Process. Process Intensif. 2008, 47, 1567–1577. [Google Scholar] [CrossRef]
- Bálintová, M.; Demcak, S.; Eštoková, A.; Holub, M.; Pavlíková, P. Study of thermal reduction of barium sulphate for barium sulphide preparation. In Proceedings of the 2017 10th International Conference Vilnius Gediminas Technical University, Vilnius, Lithuania, 27–28 April 2017. [Google Scholar]
- Bafghi, M.; Yarahmadi Bafghi, A.; Ahmadi, A.; Mehrjoo, H. Effect of the type of carbon material on the reduction kinetics of barium sulfate. Iran. J. Mater. Sci. Eng. 2011, 8, 1–7. [Google Scholar]
- Agarwal, J. Effect of Nature of Coal on Carbothermal Reduction of Barites. Orient. J. Chem. 2014, 30, 1221–1225. [Google Scholar] [CrossRef]
- Abraham, E.I.; Bayode, B.L.; Olubambi, P.A.; Adetunji, A.R.; Onwualu, A.P. Characterization of barite ores from selected locations in Nigeria for drilling fluid formulation. Sci. Afr. 2021, 14, e01057. [Google Scholar] [CrossRef]
- Afolayan, D.O.; Adetunji, A.R.; Onwualu, A.P.; Ogolo, O.; Amankwah, R.K. Characterization of barite reserves in Nigeria for use as weighting agent in drilling fluid. J. Pet. Explor. Prod. Technol. 2021, 11, 2157–2178. [Google Scholar] [CrossRef]
- Pelovski, Y.; Ninova, K.; Gruncharov, I.; Dombalov, I. Isothermal reduction of barite with hydrogen. J. Therm. Anal. 1990, 36, 2037–2043. [Google Scholar] [CrossRef]
- Sohn, H.Y.; Savic, M.; Padilla, R.; Han, G. A novel reaction system involving BaS and BaSO4 for converting SO2 to elemental sulfur without generating pollutants: Part I. Feasibility and kinetics of SO2 reduction with BaS. Chem. Eng. Sci. 2006, 61, 5082–5087. [Google Scholar] [CrossRef]
- Hlabela, P.S.; Neomagus, H.W.J.P.; Waanders, F.B.; Bruinsma, O.S.L. Thermal reduction of barium sulphate with carbon monoxide—A thermogravimetric study. Thermochim. Acta 2010, 498, 67–70. [Google Scholar] [CrossRef]
- Vakilpour, S.; Ghaderi Hamidi, A. Effects of Temperature and Particle Size Distribution on Barite Reduction by Carbon monoxide Gas. J. Part. Sci. Technol. 2016, 2, 79–85. [Google Scholar]
- Zhang, W.; Zhang, F.; Ma, L.; Yang, J.; Yang, J.; Xiang, H. Reaction mechanism study of new scheme using elemental sulfur for conversion of barite to barium sulfide. Powder Technol. 2020, 360, 1348–1354. [Google Scholar] [CrossRef]
- Gokarn, A.N.; Gaikwad, A.G.; Phalak, C.A.; Bhandari, V.M. Studies in the Reaction–Separation Method for the Preparation of Barium Chloride from Barite Using Ion Exchange. Sep. Sci. Technol. 1999, 34, 1845–1858. [Google Scholar] [CrossRef]
- Suárez-Orduña, R.; Rivas-Vazquez, L.P.; Rendón-Angeles, J.C.; Yanagisawa, K. Kinetic study of the conversion of mineral barite to barium carbonate under alkaline hydrothermal conditions. Miner. Process. Extr. Metall. 2009, 118, 18–22. [Google Scholar] [CrossRef]
- Chen, P.; Ma, B.; Tan, H.; Liu, X.; Zhang, T.; Li, C.; Yang, Q.; Luo, Z. Utilization of barium slag to improve chloride-binding ability of cement-based material. J. Clean. Prod. 2021, 283, 124612. [Google Scholar] [CrossRef]
- Pan, K. Utilization of Barium Slag in Cement Production. Shandong Ind. Technol. 2018, 19, 1. (In Chinese) [Google Scholar]
- Dong, L. Performance Testing and Application Research on Modified Barium Slag doped with Phosphogypsum. Master’s Thesis, Guizhou University, Guizhou, China, 2022. (In Chinese). [Google Scholar]
- Li, X.; Yang, G.; Li, P.; Li, J. Study on Purification and Whitening Technology of Barite Powder Containing Mud and Iron Colorants. Non-Met. Mines 2010, 33, 4. (In Chinese) [Google Scholar]
- Wang, S. Preliminary Progress in Incineration Treatment Experiments of Barium Slag. Liaoning Chem. Ind. 1981, 3, 57+68. (In Chinese) [Google Scholar]
- Jing, X. Research on Waste Residue Treatment Technology in Barium Salt Production. Salt Ind. Chem. Ind. 2013, 12, 2. [Google Scholar]
- Vaidya, R.; Kodam, K.M.; Ghole, V.S.; Surya Mohan Rao, K. Validation of an in situ solidification/stabilization technique for hazardous barium and cyanide waste for safe disposal into a secured landfill. J. Environ. Manag. 2010, 91, 1821–1830. [Google Scholar] [CrossRef] [PubMed]
- Yuan, Z.; Li, Z.; Xia, J. Study on Pretreatment Process Conditions of Barium Slag before Landfill. J. Wuhan Univ. Technol. 2016, 9, 5. (In Chinese) [Google Scholar]
- Li, G.; Li, K.; Zhao, T.; Zhang, S.; Chen, D.; Wu, Z.; Zhang, B.; Yang, G.; Ni, W. Performance and hydration mechanism of MSWI FA-barium slag-based all-solid waste binder. Process Saf. Environ. Prot. 2024, 192, 588–599. [Google Scholar] [CrossRef]
- Wu, P.; Liu, X.; Liu, X.; Zhang, Z.; Wei, C. Effect of Industrial Byproduct Gypsum on the Mechanical Properties and Stabilization of Hazardous Elements of Cementitious Materials: A Review. Materials 2024, 17, 4183. [Google Scholar] [CrossRef]
- Guo, T. Study on the Harmless Treatment of Barium Slag with Phosphogypsum and Its Adsorption of Phosphorus; University of Chinese Academy of Sciences: Beijing, China, 2020. (In Chinese) [Google Scholar]
- Li, B.; Guo, L.; Li, S.; Xiong, J.; Wang, S.; Chang, H.; Xv, T.; Liu, P. A Method for Collaborative Harmless Treatment of Phosphogypsum and Barium Slag. CN117244904A, 19 December 2023. (In Chinese)
- Dai, Y.; Long, Z.; Chen, M.; Peng, X. A Method for Collaborative Harmless Treatment of Phosphogypsum and Barium Slag. Chem. Eng. Equip. 2024, 7, 12–15. (In Chinese) [Google Scholar]
- Zhou, C.; Chen, W.; Dai, Y.; Xiong, Y.; Wang, Y. A Synergistic Harmless Treatment Method of Barium Slag and Phosphogypsum. CN202111296494.9, 1 February 2022.
- Fei, M.; Chen, X.; Han, C.; Fan, Y.; Peng, Y.; Zhang, Y.; Liu, W.; Qiu, R. Eco-friendly and cost-effective epoxy binder for polymer mortar utilizing oregano oil-based hardener. Ind. Crops Prod. 2024, 222, 120024. [Google Scholar] [CrossRef]
- Lan, J.; Sun, Y.; Tian, H.; Zhan, W.; Du, Y.; Ye, H.; Du, D.; Zhang, T.; Hou, H. Electrolytic manganese residue-based cement for manganese ore pit backfilling: Performance and mechanism. J. Hazard. Mater. 2021, 411, 124941. [Google Scholar] [CrossRef]
- Liu, F.; Liu, Z.; Gao, Y.; Liu, R.; Wang, D.; Wang, B.; You, Y. Migration pathway and solidification mechanism of heavy metal Pb during the conversion of municipal solid waste incineration fly ash into ettringite and simultaneously purification of chloride salts solution process. Environ. Pollut. 2024, 341, 122859. [Google Scholar] [CrossRef]
- Huang, Y.; Zhao, B.; Liu, G.; Liu, K.; Dang, B.; Lv, H.; Tang, J. Effective reducing the mobility and health risk of mercury in soil under thiol-modified biochar amendment. J. Hazard. Mater. 2024, 462, 132712. [Google Scholar] [CrossRef]
- Geng, J.; Niu, S.; Han, K.; Wang, Y.; Zhu, J.; Yang, Z.; Liu, J.; Zhang, H.; Sun, X.; Liang, B.; et al. Properties of artificial lightweight aggregates prepared from coal and biomass co-fired fly ashes and sewage sludge fly ash. Ceram. Int. 2024, 50, 28609–28618. [Google Scholar] [CrossRef]
- Guoliang, Y.; Fang, D.; Chowdhury, A.; Aixin, Z.; Sajid, M. Persistent organic pollutants in Chinese waterways: Occurrence, remediation, and epidemiological perspectives. Reg. Stud. Mar. Sci. 2022. 56, 102688. [CrossRef]
- Li, H.; Sun, H.; Xiao, X.; Chen, H. Mechanical properties of gangue-containing aluminosilicate based cementitious materials. J. Univ. Sci. Technol. Beijing Miner. Metall. Mater. 2006, 13, 183–189. [Google Scholar] [CrossRef]
- Hua, S.; Wang, K.; Yao, X.; Xu, W.; He, Y. Effects of fibers on mechanical properties and freeze-thaw resistance of phosphogypsum-slag based cementitious materials. Constr. Build. Mater. 2016, 121, 290–299. [Google Scholar] [CrossRef]







| Sample | SiO2 | BaO | SO3 | Fe2O3 | Na2O | Al2O3 | CaO | K2O | MgO | MnO | TiO2 | P2O5 |
|---|---|---|---|---|---|---|---|---|---|---|---|---|
| BS | 32.7 | 27.98 | 19.18 | 7.83 | 3.82 | 3.45 | 2.35 | 0.9 | 0.63 | 0.63 | 0.5 | 0.21 |
| Sample | BS/g | FGD Gypsum/g | Water-to-Binder Ratio |
|---|---|---|---|
| W1 | 1230 | 410 | 0.18 |
| W2 | 1491 | 149 | 0.18 |
| A1 | 406.51 | 406.51 | 0.23 |
| A2 | 482.81 | 325.2 | 0.23 |
| A3 | 569.11 | 243.9 | 0.23 |
| A4 | 650.41 | 162.6 | 0.23 |
| B1 | 390.61 | 390.61 | 0.28 |
| B2 | 487.81 | 312.5 | 0.28 |
| B3 | 569.11 | 234.38 | 0.28 |
| B4 | 650.41 | 156.25 | 0.28 |
| C1 | 378.78 | 378.78 | 0.32 |
| C2 | 454.536 | 303.024 | 0.32 |
| C3 | 530.292 | 227.268 | 0.32 |
| C4 | 606.048 | 151.512 | 0.32 |
| C5 | 681.804 | 75.756 | 0.32 |
| Sample | Compressive Strength/MPa | Average Compressive Strength/MPa |
|---|---|---|
| W1 | 1.26 | 1.23 |
| 1.27 | ||
| 1.16 | ||
| W2 | 0.81 | 0.79 |
| 0.86 | ||
| 0.72 |
| Sample | Ba Concentration (µg/L) |
|---|---|
| BS | 1,870,045 |
| Sample | Ba | Pb | Zn |
|---|---|---|---|
| W1 | 0.27 | <0.12 | <0.04 |
| C4 | 0.32 | <0.12 | <0.04 |
| C5 | 0.40 | <0.12 | <0.04 |
| W2 | 4.67 | <0.12 | <0.04 |
| Sample | SiO2 | BaO | SO3 | CaO | Fe2O3 | Al2O3 | MgO | K2O | Na2O | MnO | TiO2 | P2O5 |
|---|---|---|---|---|---|---|---|---|---|---|---|---|
| W1 | 27.27 | 21.04 | 23.39 | 15.47 | 3.02 | 2.74 | 4.19 | 0.73 | 0.35 | 0.05 | 0.41 | 0.22 |
| W2 | 30.52 | 31.73 | 18.60 | 8.19 | 4.07 | 3.92 | 0.64 | 0.63 | 0.33 | 0.07 | 0.51 | 0.31 |
Disclaimer/Publisher’s Note: The statements, opinions and data contained in all publications are solely those of the individual author(s) and contributor(s) and not of MDPI and/or the editor(s). MDPI and/or the editor(s) disclaim responsibility for any injury to people or property resulting from any ideas, methods, instructions or products referred to in the content. |
© 2024 by the authors. Licensee MDPI, Basel, Switzerland. This article is an open access article distributed under the terms and conditions of the Creative Commons Attribution (CC BY) license (https://creativecommons.org/licenses/by/4.0/).
Share and Cite
Wan, Y.; Chen, Z.; Cao, X.; Song, X.; Zhan, Y.; Ma, C.; Zhang, S.; Ni, W. Research on the Harmless Treatment of Barium Slag Using Flue Gas Desulfurization Gypsum. Processes 2025, 13, 55. https://doi.org/10.3390/pr13010055
Wan Y, Chen Z, Cao X, Song X, Zhan Y, Ma C, Zhang S, Ni W. Research on the Harmless Treatment of Barium Slag Using Flue Gas Desulfurization Gypsum. Processes. 2025; 13(1):55. https://doi.org/10.3390/pr13010055
Chicago/Turabian StyleWan, Yang, Zhou Chen, Xiaohui Cao, Xin Song, Yu Zhan, Chunting Ma, Siqi Zhang, and Wen Ni. 2025. "Research on the Harmless Treatment of Barium Slag Using Flue Gas Desulfurization Gypsum" Processes 13, no. 1: 55. https://doi.org/10.3390/pr13010055
APA StyleWan, Y., Chen, Z., Cao, X., Song, X., Zhan, Y., Ma, C., Zhang, S., & Ni, W. (2025). Research on the Harmless Treatment of Barium Slag Using Flue Gas Desulfurization Gypsum. Processes, 13(1), 55. https://doi.org/10.3390/pr13010055

