Abstract
Eighty percent of grape production is destined for the wine industry, which generates various types of waste, of which grape pomace is the main one, accounting for 50–60% of waste created during processing. This waste could be a promising source of bioactive compounds (e.g., flavonoids and tannin), which are known for their antioxidant properties. Although these byproducts pose disposal challenges, they can be utilized as a substrate for solid-state fermentation bioprocess using co-cultures, where different microorganisms can interact and complement each other, improving the efficiency of metabolite production or substrate degradation. This study investigates the extraction of phenolic compounds and the antioxidant activity of the compounds from grape pomace in the solid-state fermentation bioprocess, comparing fungal and yeast monocultures, and then exploring the use of two co-cultures (P. stipites/A. niger GH1 and S. cerevisiae/A. niger) on the flavonoid extractive process. Fermentation kinetics were evaluated over 120 h, with sampling done every 12 h. Initially, yeasts were used to reduce the content of simple sugars in the medium, and fungus was added at 24 h into the process due to its ability to produce a broad spectrum of extracellular enzymes, allowing a higher efficiency in substrate degradation. Competition or antagonism during co-culture leads to significantly higher production of compounds, which are recovered using different solvents. The evaluation included phenolic compounds (total polyphenols, condensed tannins, and total flavonoids), antioxidant activity (DPPH●/FRAP), molecular characterization (HPLC-MS), and structural microscopy during the bioprocess. The highest titers obtained were 62.46 g/L for total flavonoids and 32.04 g/L for condensed tannins, using acetone as the solvent in co-culture with P. stipitis after 120 h of fermentation. Characterization identified 38 compounds, highlighting families of flavonols, hydroxybenzoic acids, and hydroxycinnamic acids. The co-culture of P. stipitis and A. niger GH1 significantly improved the extraction yield of bioactive compounds through solid-state fermentation.
1. Introduction
According to the International Organization of Vine and Wine, in recent years, wine production worldwide has remained at around 26 million hectoliters per year [1]. In 2023, The production of grape in Mexico reached 481 million tons [2], allocated to three main branches: fresh consumption (79.8% of total production), raisin production (3.8%), and industrial use (16.36%). Industrial grapes are used to produce a variety of products such as wine, juice, concentrates, must, and vinegar. The winemaking process, known as vinification, encompasses various techniques depending on the wine type (e.g., red, white, sparkling). Regardless of the final product, vinification generates significant waste and poses environmental challenges. The application of methods to valorize this waste is crucial. Current uses of this waste range from composting [3], livestock [4], and flour production [5], with a significant focus on the extraction of bioactive compounds found in the plant cell walls of grape residues. Among these bioactive compounds, flavonoids stand out. They are a group of secondary metabolites that include anthocyanins, flavonols, and flavanones. The most abundant flavonoids in grape pomace are anthocyanins (particularly found in red grape varieties), resveratrol, and catechin. Structurally, flavonoids are characterized by a 15-carbon skeleton (C6-C3-C6) consisting of two aromatic rings (A and B) connected by a three-carbon bridge forming a heterocyclic ring (C). This basic framework allows for a diversity of substitution and modification, which determine the antioxidant and biological properties of each flavonoid. These compounds exhibit potent antioxidant properties, enabling them to neutralize free radicals and prevent cellular damage. These compounds offer numerous health benefits, including reducing the incidence of degenerative diseases such as cancer and diabetes, minimizing cardiovascular risk factors, and providing anti-inflammatory effects [6]. Efficient extraction of these compounds is a primary goal in recovery studies, typically achieved through liquid-solid extraction using chemical solvents or water. To enhance extraction efficiency, various technologies have been explored, including ultrasound [7,8], microwaves [9,10], electric pulses [11], pressurized liquids [12], supercritical fluids [13], enzymes [14], and solid-state fermentation (SSF) [6,15,16,17]. This study initially focuses on the SSF process using monocultures to provide a clear baseline before exploring the mixed cultivation approach. SSF is a microbial process that occurs primarily on the surface of solid materials and is characterized as an easy-to-implement and economical bioprocess [15]. The efficiency of SSF is influenced by extrinsic factors such as particle size, moisture content, airflow, and temperature, which can affect microbial growth [16]. The choice of solid support is also crucial; agro-industrial waste such as bagasse and pomace can serve as viable substrates [17]. When used as a solid support, these materials provide nutrients and conditions resembling the natural environment of the microorganism [18]. However, monocultures in laboratory conditions often limit the chemical diversity of the compounds produced [19]. The selection of microorganisms plays a fundamental role in the SSF process, as it can dictate the spectrum and yield of bioactive compounds produced. In this study, three microorganisms were chosen for their distinct metabolic capabilities and potential contributions to the SSF process: Saccharomyces cerevisiae, a well-known yeast commonly used in the fermentation process, is prized for its robust ethanol production and its ability to thrive in environments with high sugar concentration [20]; Pichia stipitis, another yeast, is recognized for its unique ability to ferment pentose sugars such as xylose [21], which is abundant in lignocellulosic material such as grape pomace. This ability allows it to utilize these materials as a carbon source for this development; Aspergillus niger, a filamentous fungus, is noted for its solid enzymatic profile, particularly its ability to produce cellulases and pectinases, which break down complex polysaccharides into simpler sugars, facilitating further microbial action and enhancing the release of phenolic compounds [22]. These microorganisms were selected not only for their individual metabolic properties but also for their potential synergistic interactions in a co-culture, which could further enhance the efficiency of the SSF process and increase the diversity of bioactive compounds produced.
Co-cultivation (mixed fermentation of two or more microorganisms) has been shown to mimic ecological conditions more effectively. Competition or antagonism in a co-culture can lead to significantly higher production of compounds and the accumulation of cryptic compounds not detected in monocultures. However, there is limited information on the production and extraction of antioxidant compounds by SSF using co-cultures. This study investigates the influence of SSF of grape pomace, with and without the use of yeast and fungal co-culture, on the release of phenolic compounds, their antioxidant potential, and the profile of released compounds through fermentation.
2. Materials and Methods
2.1. Chemical Reagents
Potato dextrose agar (PDA) (BDBioxon), yeast potato dextrose broth (YPD) (BD Difco™), tween 80%, distilled water, glucose, anthrone, reagent, Folin Ciocalteu reagent (Sigma-Aldrich (St. Louis, MO, USA)), DPPH reagent (Sigma-Aldrich), vanillin (Sigma-Aldrich), Trolox reagent (Sigma-Aldrich), sodium hydroxide, sodium nitrate, aluminum chloride, catechin, formic acid, acetonitrile, methanol, ethanol, and acetone (99 wt.%) were purchased from J.T.Baker® (Avantor, Inc., Radnor, PA, USA).
2.2. Raw Material
Grace pomace was obtained from the local wine company “Bodegas del Viento” in Sierra de Arteaga, Coahuila, México in November 2021. The pomace was dried in an oven at 50 ± 0.5 °C for 24 h. Once dried, it was milled using a blade mill (Retsch SM100 Industrial Mill, Haan, Germany) to achieve a particle size of 150–75 µm. The processed pomace was then stored in black plastic bags at room temperature until further use.
2.3. Characterization of the Raw Material
Characterizations were performed in triplicate, including tests for moisture, lipids, proteins, ash (elemental composition), and crude fiber following AOAC methods [23]. Additionally, tests for SSF support included water activity (aw), critical humidity point (CHP), and water absorption index (WAI). A thermobalance (Ohaus MB23, NJ, USA) was used to measure moisture content. Lipids were extracted using a Soxhlet extraction system with hexane as the solvent. Protein content was determined using the Kjeldahl method with a conversion factor of 6.25. Ash content was determined by dry weight difference using a muffle furnace, and the resulting solid was analyzed for mineral composition by X-ray fluorescence (Panalytical, Epsilon, Almelo, The Netherlands) with Omnian software. Crude fiber was determined using acid and alkaline solutions. For the SSF support tests (aw, CHP, and WAI), the methodology described by Torres-Leon [24] was followed.
2.4. Solid State Fermentation
2.4.1. Microorganisms
In this study, the strains Aspergillus niger GH1, Saccharomyces cerevisiae, and Pichia stipitis from the Food Research Department collection at the School of Chemistry, Autonomous University of Coahuila (México) were evaluated.
2.4.2. Preparation of Inoculum
For the preparation of the filamentous fungus, A. niger GH1 was inoculated in 250 mL Erlenmeyer flasks containing PDA (BDBioxon) and incubated at 30 °C for 5 days. Spores were harvested using 30 mL of a sterilized tween 80 solution (0.01% v/v). The resulting spore suspension was counted using a Neubauer chamber to ensure a known concentration for inoculation into the fermentation media. For yeast preparation, S. cerevisiae and P. stipitis were inoculated into 10 mL screw-capped test tubes containing YPD broth (BDBioxon) at 30 °C for three days. The yeast cell was then centrifuged to remove the medium and washed with saline solution. The resulting cell suspension was counted using the McFarland scale to provide a known concentration for inoculation into the fermentation media.
2.4.3. Condition for SSF
In this study, the fermentation conditions reported by Amaya-Chantaca [6] were employed: temperature of 30 °C, pH of 5, humidity of 70%, and an inoculum concentration of 1 × 107 spores/mL, using grape pomace as the support/substrate in an unsupplemented medium. A fermenter without inoculum served as the control during the fermentation process.
2.4.4. SSF in Monoculture with Fungus
Fermentation was conducted in a 250 mL flask with the microorganism A. niger GH1 under the conditions specified in Section 2.4.3, with a kinetic period of 120 h and sampling every 12 h in triplicate. The extraction of bioactive compounds from the fermented grape pomace followed the methodology of Wong-Paz [25] with some modifications: ultrasound extractions were performed using two solvents, ethanol and acetone (60% v/v). The solvent-to-solid ratio for the extraction was 1:20, with an extraction time of 30 min at room temperature. Unfermented pomace served as the control for the extraction. The liquid phase was separated by centrifugation (Hermle Labortechnik Z326 K, DEU, Germany) at 6000 rpm, at 10 °C, for 15 min.
2.4.5. SSF in Monoculture with Yeasts
To reduce the total sugar content in the medium (see Section 2.5.4) and analyze moisture loss along kinetics (see Section 2.3), fermentations were performed using S. cerevisiae and P. stipitis in a 250 mL flask under the conditions specified in Section 2.4.3. The fermentation process lasted 48 h, with sampling every 12 h by mechanical extraction conducted in triplicate.
For the co-culture experiment, kinetics studies were conducted by separately inoculating S. cerevisiae and P. stipitis yeasts in 250 mL flasks under the conditions specified in Section 2.4.3. After 24 h of fermentation, the humidity was adjusted to 70%, and A. niger GH1 was inoculated. The fermentation was then carried out for 120 h with sampling every 12 h. All experiments were performed in triplicate.
2.5. Assessments
2.5.1. Hydrolysable Tannins
The content was determined using the methodology reported by Georgé [26]. Following biomass separation, a 20 µL aliquot of the fermented extract was placed in a microplate. This aliquot was mixed with 20 µL of Folin-Ciocalteu reagent, followed by adding 20 µL of sodium carbonate, and finally diluted with 125 µL of water, with 5-min intervals between each step. The absorbance was read using a microplate reader at 700 nm (EpochTM Microplate UV-Visible Spectrophotometer) (Bio-Tek Instruments, Winooski, VT, USA). Hydrolyzable tannins were quantified by comparison with a gallic acid standard curve and reported as grams of gallic acid equivalents per liter of solution. All tests were performed in triplicate.
2.5.2. Condensed Tannins
The content was determined using the HCl-vanillin method described by Herald [27]. The reagent was prepared by mixing equal parts 8% HCl methanol and 1% vanillin solutions immediately before the reaction. An aliquot of 60 µL of the fermented extract and 120 µL of the reagent was placed in a microplate. The plate was then incubated at 30 °C for 20 min. The absorbance was measured using a microplate reader at 500 nm (EpochTM Microplate UV-Visible Spectrophotometer). Condensed tannins were quantified by comparison with a catechin standard curve and reported as grams of catechin equivalents per liter of solution. All tests were performed in triplicate.
2.5.3. Total Flavonoids
The content was determined using the methodology of De la Rosa [28] with some modifications. After biomass separation, a 31 µL aliquot of the fermented extract was placed in a microplate and mixed with 93 µL of 5% NaNO3 and 93 µL of distilled water. The mixture was shaken and incubated for 5 min. Finally, 125 µL of NaOH was added, and the solution was incubated for 30 min at room temperature, protected from light. The absorbance was measured using a microplate reader at 510 nm (EpochTM Microplate UV-Visible Spectrophotometer); total flavonoids were quantified by comparison with a catechin standard curve and reported as a gram of catechin equivalents per liter of solution. All tests were performed in triplicate.
2.5.4. Total Sugars
The content was determined using Leyva’s methodology [29]. A 250 µL aliquot of the fermented extract was cooled in an ice bath for 5 min and then mixed with 500 µL of anthrone reagent. The samples were heated at 80 °C for 15 min and cooled in an ice bath for 5 min, and their absorbance was measured at 530 nm (EpochTM Microplate UV-Visible Spectrophotometer). The content was quantified by comparison with a glucose standard curve and reported as grams of glucose equivalents per liter of solution. All tests were performed in triplicate.
2.5.5. DPPH Radical Inhibition Test
The methodology followed was based on the method proposed by Molyneux [30], with modifications according to Bautista-Hernández [14]. The electron-donating capacity of the samples was evaluated by preparing the DPPH (1,1-diphenyl-2-picrylhydrazyl) reagent using ethanol as the solvent (60 mM). Subsequently, 290 µL of DPPH radical solution was in the microplate for every 10 µL of the sample or standard curve (Trolox reagent) (Sigma-Aldrich, St. Louis, MO, USA). The reaction solution was incubated in the dark for 30 min, after which the absorbance of the samples was recorded at a wavelength of 517 nm (EpochTM Microplate UV-Visible Spectrophotometer), and the results were expressed as grams of Trolox equivalents per liter of solution. All tests were performed in triplicate.
2.5.6. Iron Ion Reduction Test FRAP
The ferric ion-reducing capacity was determined following the methodology of Delgado-Andrade [31] with some modifications. The FRAP reagent was prepared by mixing 2.5 mL of a 10 mM TPTZ solution in 40 mM HCl, 2.5 mL of 20 mM FeCl3·H2O, and 2.5 mL of 0.3 M acetate buffer (pH 3.6). Then, 290 µL of the FRAP reagent was combined with 10 µL of the fermented extract. The reaction mixture was incubated in the dark for 15 min, and the absorbance was measured at 593 nm (EpochTM Microplate UV-Visible Spectrophotometer). The results were expressed as grams of Trolox equivalents per liter of solution. All tests were performed in triplicate.
2.6. High-Performance Liquid Chromatography and Mass Spectroscopy (HPLC-MS)
HPLC analysis (reversed-phase liquid chromatography) was performed according to the methodology of Ascacio-Valdés [32] using a Varian HPLC system to characterize the fractions obtained during the fermentation-assisted extraction process. The system included an autosampler (Varian ProStar 410, Varian, Palo Alto, CA, USA), a ternary pump (Varian ProStar 230I, Varian, Palo Alto, CA, USA), and a PDA detector (Varian ProStar 330, Varian, Atlanta, GA, USA). A liquid chromatography ion trap mass spectrometer (Varian 500-MS IT Mass Spectrometer, Palo Alto, CA, USA) was also utilized with an electrospray ion source. Samples (5 µL) were injected into a Denali C18 column (150 mm × 2.1 mm, 3 µm, Grace, Albany, OR, USA). The column oven temperature was maintained at 30 °C. The eluents used were formic acid (0.2%, v/v; solvent A) and acetonitrile (solvent B). The following gradient was applied: initial, 3% B; 0–5 min, 9% linear B; 5–15 min, 16% linear B; 15–45 min, 50% linear B. After the gradient, the column was washed and reconditioned. The flow rate was maintained at 0.2 mL/min, and elution was monitored at 245, 280, 320, and 550 nm. The entire flow rate (0.2 mL/min) was injected into the mass spectrometer source without splitting. All MS experiments were performed in the negative ion mode [M − H]−1. Nitrogen was used as the nebulizer gas, and helium as the buffer gas. The ion source parameters were set to a nebulization voltage of 5.0 kV, a capillary voltage of 90.0 V, and a capillary temperature of 350 °C. Data were collected and processed using MS Workstation software (version 6.9); samples were initially analyzed in full scan mode within the m/z 50–2000 range.
2.7. Scanning Electron Microscopy (SEM)
The samples were coated with a thin layer (60 nm) of gold. Structural observations were conducted using a Philips XL30 environmental scanning detector (Philips, XL30 ESEM-FEG, FEI Company, Eindhoven, The Netherlands). The spot size was set to 3.5 and the working distance ranged from 7.5 to 10 mm. The resolution was 3.5 nm at 30 kV, with operations conducted at low voltage (>500 V). These observations were performed to analyze the growth of the microorganism during fermentation at different fermentation times.
2.8. Statistical Analysis
The determination of compounds and their antioxidant activity were statistically analyzed using variance (ANOVA) with a significance level of α = 0.05. Mean comparison analyses followed this were performed with 95% confidence and p-value ≤ 0.05. The software used for these analyses was developed by Dr. Emilio Olivares-Sáenz of the School of Agronomy, Autonomous University of Nuevo León (UANL, San Nicolás de los Garza, México).
3. Results
3.1. Characterization of Raw Material
Physicochemical Characterization
The characterization of grape pomace was evaluated because it directly impacts the fermentation process. The substrate provides the necessary carbon and nitrogen sources for fungal growth, subsequently consumed and modified by the microorganism [24]. Table 1 shows the results obtained. Amaya-Chantaca [6] used pomace from the same grape variety and winery, collected in different seasons, and reported similar results, except for the ash and protein values. Compared to Tavares [33], who used pomace from a different grape variety, only the moisture content was similar. Differences in composition may be due to the grape variety used and the winemaking process’s geographic location [34]. The carbohydrates in the pomace (48.97 ± 0.34%) provide the necessary carbon source for fungal growth and enzyme production consisting of single sugars and lignocellulosic material. Over time, microorganisms can degrade the complex substrate matrix, releasing both nutrients for fungal maintenance and molecules such as phenolic compounds [35].
Table 1.
Characterization of grape pomace.
The protein content (10.12 ± 0.38) represents the nitrogen source, and its excess or deficiency in any substrate can be a limiting factor for fungal growth but not for enzyme production [16]. Moisture plays an important role in microbial growth, and fungal growth has been reported at moisture levels ranging from 9.4 to 80% [36]. Moisture levels are crucial in the SSF process, as they can affect nutrient diffusion and enzyme stability and limit the microbial growth rate [37]. Due to the importance of having materials with low water content, before using them as supports in the SSF process, it is necessary to assess the properties of agro-industrial by-products, such as water activity (aw), critical humidity point (CHP), and water absorption index (WAI). The aw describes the free water available in the system for chemical reactions and microbial growth. Although a material with low water content (0.472 aw) can benefit SSF by reducing the risk of contamination and improving substrate stability, it is crucial to manage aw properly. This involves ensuring enough free water for effective microbial growth by adjusting moisture conditions. The WAI is the amount of water that the support can absorb, and the WAI value (3.45 ± 0.09 g/g) of the grape pomace by-product can be attributed to their fiber content. Materials commonly used for SSF are those with high WAI index values, as moisture content can be easily adjusted. Similar results were reported in the SSF process for obtaining bioactive compounds from grape pomace [6], tomato [15], fig [16], and avocado [17] residues. The CHP represents the water bound to the support, which microorganisms cannot utilize for metabolic reactions. A high CHP value indicates less water bound to the material, which may affect microbial development. The CHP value obtained for this study was 71.96%. This value is similar to those reported by Amaya-Chantaca [6] and Mendez-Carmona [15], who used grape pomace and tomato waste in SSF, respectively, but is higher than reported for other agro-industrial by-product, such as avocado (14.33%) [17] and fig residues (4.63%) [16]. Another critical factor in the fermentation process is the presence of minerals, which influence the growth and metabolic activity of the microorganisms involved. The mineral content identified in grape pomace (Table 2) is derived from the total ash content. Potassium was the mineral with the highest concentration in grape residue, followed by calcium, magnesium, and phosphorus. Other minerals, such as sulfur and iron, were present in smaller amounts. Minerals can help maintain osmotic balance [38] and facilitate nutrient transport. In the case of potassium, they can also act as enzyme cofactors [39]. Identifying these micronutrients aligns with what has been previously reported in the literature, albeit in different proportions [40,41]. This variation could be attributed to the grape variety, cultivated location, and each company’s winemaking process [42]. Based on the results obtained from the physicochemical characterization and these criteria, grape pomace is suitable as a substrate support for SSF.
Table 2.
Minerals present in the grape pomace.
3.2. SSF
3.2.1. SSF with Fungus
The SSF process was monitored using SEM micrographs taken at different fermentation times (Figure 1), allowing for the observation of morphological changes on the sample surfaces and the progressive invasion of spores throughout the process. Filamentous fungi have great potential for releasing bioactive compounds through SSF, which is why they are commonly used [43]. Figure 2a,c shows the effect of cultivation time on the release of compounds. An increase in the concentration of the analyzed compounds families was observed compared to the control (time zero with no growth), reaching maximum release for ethanol extraction (Figure 2a) at 36 h for total flavonoids (36.46 ± 0.54 g EC/L) and 108 h for hydrolyzable (7.1 ± 0.03 g EGA/L) and condensed tannins (31.95 ± 3.46 g CE/L). For acetone extraction (Figure 2c), the maximum release was reached at 36 h for hydrolyzable tannins (3.38 ± 0.6 g EAG/L) and 120 h for condensed tannins (18.35 ± 2.54 g CE/L), while no significant increase was observed for total flavonoids. However, Figure 2b,d shows antioxidant capacity over time, with no increase in concentration throughout the process compared to the initial values. This lack of increase indicates that the process is unfavorable for enhancing antioxidant capacity. This could be due to the amount of sugars in the medium (see Section Physicochemical Characterization), which the microorganism uses only as a carbon source.
Figure 1.
Microscopy images throughout the fermentation kinetics with A. niger GH1. (a) 0 h, (b) 60 h, (c) 120 h.
Figure 2.
Fermentation kinetics for total flavonoids, hydrolyzable tannins, condensed tannins, and FRAP and DPPH activity with A. niger GH1. (a) Bioactive compounds using ethanol as a solvent. (b) Antioxidant potential using ethanol as a solvent. (c) Bioactive compounds using acetone as a solvent. (d) Antioxidant potential using acetone as a solvent.
3.2.2. HPLC-MS for SSF with Fungus
The recovery of phenolic compounds through SSF has been demonstrated since the 1970s when Betts [44] sought the application of microorganisms to increase the concentration of phenolic compounds. This is due to the ability of microorganisms to break down the cell wall through enzymatic action, allowing the release of compounds found within. The released compounds can be utilized as a carbon source by the microorganism, or they may undergo biotransformation through exogenous enzymatic action. Table 3 shows the compounds identified throughout the SSF, where 18 different compounds were identified, including those from the families of hydroxycinnamic acids, hydroxybenzoic acids, and flavonols. Among these compounds, quercetin stands out, as it was identified throughout the entire kinetic process. This compound belongs to the flavonol family, and reports mention its therapeutic potential for preventing and treating various diseases, such as cardiovascular diseases, cancer, and neurodegenerative diseases. Throughout the kinetic process, compounds can be observed and identified at specific stages, which may affect the microorganism’s ability to biotransform molecules through the enzymes it produces. One of the molecules identified from 24 to 72 h into the process is esculin. This natural glucoside belongs to the hydroxycoumarin family, with a structure that includes a coumarin ring (scopoletin) linked to a glucose residue. The glucose linkage occurs through an ether bond at the hydroxyl group in position seven of the coumarin ring, which could be hydrolyzed to release the scopoletin compound, which was identified starting from 96 h, possibly demonstrating biotransformation, although further studies are needed to confirm this phenomenon.
Table 3.
Compounds detected in the fermentation kinetics extracted with acetone by HPLC-MS.
3.2.3. SSF with Yeast
During the SSF process using A. niger GH1, we observed that the fungus was highly adaptative, exhibiting selectivity in its utilization of carbon sources. In the context of SSF, it is commonly expected to observe that certain fungi prefer to use available sugars instead of investing resources in degrading the cell wall to access more complex carbon sources. This limited the release of the desired compounds (bioactive compounds). To address this issue, yeast was introduced into the system (Figure 3) due to its capacity and speed to consume sugar, which could aid in the extraction of compounds [20,21]. The ability to reduce total sugars was evaluated; after 24 h, a reduction of 55% compared to the start was reported for P. stifitis and a 51% reduction was reported for S. cerevisiae. Therefore, this point was selected to add the A. niger GH1 strain in co-cultivation. Additionally, the moisture was analyzed to readjust this factor before adding the second microorganism.
Figure 3.
Total sugar content throughout the fermentation kinetics of grape pomace with yeast.
3.3. SSF with Co-Culture
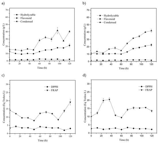
The quantitative analysis of the co-cultivation process revealed significant results in the release of bioactive compounds throughout the SSF process. In this co-cultivation process, the release of bioactive compounds was meticulously analyzed throughout the SSF process. The P. stipitis-A. niger GH1 co-culture demonstrated the highest efficacy in compound releases across both solvents. The total flavonoid content with acetone reached 62.46 g/L, and the condensed tannin content reached 32.04 g/L after 120 h of fermentation (Figure 4f). The antioxidant activity also increased, reaching 24.77 EqTrolox/L for FRAP activity and 12.99 EqTrolox/L for DPPH activity after 120 h of fermentation (Figure 4h). Micrographs taken at different stages (Figure 5) provided further insight: at time 0, the morphology of the grape pomace is shown; after 24 h, substantial yeast growth on the grape pomace was evident; and at 76 h, the pomace was predominantly colonized by spores. The correlation between these quantitative results and the micrographs highlights the dynamic nature of the observed antioxidant activity, closely linked to the microbial growth and colonization patterns observed in the micrographs, underscoring the importance of monitoring both the physical and chemical aspects of the fermentation process to optimize the release of target compounds.

Figure 4.
Fermentation kinetics for total flavonoids, hydrolyzable tannins, condensed tannins, FRAP activity, and DPPH activity with co-culture. (a) Co-culture S. cerevisae-A. niger solvent for extraction ethanol. (b) Co-culture P. stipitis-A. niger solvent for extraction ethanol. (c) Co-culture S. cerevisae-A. niger solvent for extraction ethanol. (d) Co-culture P. stipitis-A. niger solvent for extraction ethanol. (e) Co-culture S. cerevisae-A. niger solvent for extraction acetone. (f) Co-culture P. stipitis-A. niger solvent for extraction acetone. (g) Co-culture S. cerevisae-A. niger solvent for extraction acetone. (h) Co-culture P. stipitis-A. niger solvent for extraction acetone.
Figure 5.
Microscopy images throughout the fermentation kinetics of the Aspergillus-Pichia co-culture. (a) 0 h, (b) 24 h, (c) 72 h.
HPLC-MS for Co-Culture
HPLC-MS analysis of the extract from the co-cultivation of P. stipitis and A. niger GH1 allowed the identification of various phenolic compounds. Two separate extractions were performed, one using acetone (Table 4) and the other using ethanol (Table 5), to compare the efficiency of each solvent in extracting different families of compounds. Compounds such as gallic acid 3-O-gallate, catechin, quercetin, pinosylvin, and myricetin were identified in the ethanol extraction. These compounds mainly belong to the flavonoid and stilbene families, known for their potent antioxidant, anti-inflammatory, and antimicrobial activities. For instance, catechin and quercetin are flavonoids with potent antioxidant capacity and cardiovascular protective effects [45], while pinosylvin is a stilbene with notable antimicrobial properties [46]. On the other hand, the acetone extraction recovered additional compounds such as 4-vinylguaiacol, rosmarinic acid, and apigenin 7-O-(6″-malonyl-apiosyl-glucoside), which belong to families including phenolic acids and flavones. Rosmarinic acid is known for its anti-inflammatory and neuroprotective properties [47], while apigenin is a flavone with anticancer and antioxidant effects [48]. Moreover, changes over time during the kinetics can be observed, which may represent significant enzymatic biotransformation in the compounds extracted with ethanol, such as the conversion of caffeic acid to caffeoyl tartaric acid (possibly by the action of a transferase enzyme) and lariciresinol to medioresinol (potentially by the action of a reductase enzyme). This biotransformation suggests that co-cultivation can modify the structure of certain phenolic compounds, potentially enhancing their bioactive properties, such as solubility or bioavailability. The comparison between both solvents highlights that ethanol is more effective in extracting flavonoids and stilbenes, while acetone favors the recovery of phenolic acids and other specific compounds. This suggests that the choice of solvents directly impacts the profile of bioactive compounds that can be obtained from grape pomace, which is crucial for designing an extraction process aimed at obtaining products with specific functional properties.
Table 4.
Detected compounds in the SSF kinetics by HPLC-MS using the Aspergillus-Pichia co-culture with acetone for extraction.
Table 5.
Detected compounds in the SSF kinetics by HPLC-MS using the Aspergillus-Pichia co-culture with ethanol for extraction.
4. Conclusions
SSF, using co-cultures, proved to be an effective method for extracting flavonoids and other phenolic compounds from grape pomace. By employing the co-culture of P. stipitis, S. cerevisiae, and the fungus A. niger GH1, the production and recovery of these bioactive compounds, known for their antioxidant properties, were significantly enhanced. The SSF process allowed for synergistic interactions between the microorganisms, improving substrate degradation and promoting the release of phenolic compounds not detected in monocultures. Co-fermentation increased the extraction yield and enhanced the diversity of the compounds obtained, demonstrating the potential of this strategy to valorize agro-industrial by-products such as grape pomace. Additionally, molecular characterization and antioxidant activity studies confirmed the efficacy of SSF in producing high-value compounds, highlighting the importance of microbial interaction in improving the extraction process of bioactive compounds.
Author Contributions
Conceptualization, A.S.-S. and M.L.C.-G.; methodology, A.S.-S., J.A.A.-V. and M.A.-G.; software, A.S.-S.; validation, A.S.-S., M.L.C.-G., J.A.A.-V. and M.A.-G.; investigation, A.S.-S.; resources, M.L.C.-G. and C.N.A.; data curation, A.S.-S.; writing—original draft preparation, A.S.-S.; writing—review and editing, D.K.V., M.L.C.-G. and C.N.A.; supervision, M.L.C.-G. and C.N.A. All authors have read and agreed to the published version of the manuscript.
Funding
This research received no external funding.
Data Availability Statement
Data are contained within the article.
Acknowledgments
The author, Arturo Siller-Sánchez, thanks the National Council of Humanities, Sciences and Technologies (CONAHCYT, Mexico) for their PhD Fellowship support (grant number 713987).
Conflicts of Interest
The authors declare no conflicts of interest.
References
- International Organization of Vine and Wine, OIV. Available online: https://www.oiv.int/what-we-do/global-report?oiv (accessed on 15 August 2024).
- Servicio de Información Agroalimentaria y Pesquera, SIAP Cierre Agrícola. Available online: https://nube.siap.gob.mx/cierreagricola/ (accessed on 15 August 2024).
- Perra, M.; Cuena-Lombraña, A.; Bacchetta, G.; Manca, M.L.; Manconi, M.; Maroun, R.G.; Muntoni, A.; Tuberoso, C.I.G.; Gil, K.A.; De Gioannis, G. Combining Different Approaches for Grape Pomace Valorization: Polyphenols Extraction and Composting of the Exhausted Biomass. Sustainability 2022, 14, 10690. [Google Scholar] [CrossRef]
- Ianni, A.; Martino, G. Dietary grape pomace supplementation in dairy cows: Effect on nutritional quality of milk and its derived dairy products. Foods 2020, 9, 168. [Google Scholar] [CrossRef]
- Fontana, M.; Murowaniecki Otero, D.; Pereira, A.M.; Santos, R.B.; Gularte, M.A. Grape pomace flour for incorporation into cookies: Evaluation of nutritional, sensory and technological characteristics. J. Culin. Sci. Technol. 2022, 22, 850–869. [Google Scholar] [CrossRef]
- Amaya-Chantaca, D.; Flores-Gallegos, A.C.; Iliná, A.; Aguilar, C.N.; Sepúlveda-Torre, L.; Ascacio-Vadlés, J.A.; Chávez-González, M.L. Comparative extraction study of grape pomace bioactive compounds by submerged and solid-state fermentation. J. Chem. Technol. Biotechnol. 2022, 97, 1494–1505. [Google Scholar] [CrossRef]
- González, M.; Barrios, S.; Budelli, E.; Pérez, N.; Lema, P.; Heinzen, H. Ultrasound assisted extraction of bioactive compounds in fresh and freeze-dried Vitis vinifera cv Tannat grape pomace. Food Bioprod. Process. 2020, 124, 378–386. [Google Scholar] [CrossRef]
- Vakilian, K.; Nateghi, L.; Javadi, A.; Anarjan, N. Optimization of conventional and ultrasound-assisted extraction of pectin from unripe grape pomace: Extraction yield, degree of esterification, and galacturonic acid content. J. Food Meas. Charact. 2023, 17, 5777–5793. [Google Scholar] [CrossRef]
- Neto, R.T.; Santos, S.A.; Oliveira, J.; Silvestre, A.J. Impact of eutectic solvents utilization in the microwave assisted extraction of proanthocyanidins from grape pomace. Molecules 2021, 27, 246. [Google Scholar] [CrossRef]
- Drevelegka, I.; Goula, A.M. Recovery of grape pomace phenolic compounds through optimized extraction and adsorption processes. Chem. Eng. Process. 2020, 149, 107845. [Google Scholar] [CrossRef]
- Carpentieri, S.; Ferrari, G.; Pataro, G. Pulsed electric fields-assisted extraction of valuable compounds from red grape pomace: Process optimization using response surface methodology. Front. Nutr. 2023, 10, 1158019. [Google Scholar] [CrossRef]
- Silva, J.T.D.P.; Borges, M.H.; de Souza, C.A.C.; Fávaro-Trindade, C.S.; Sobral, P.J.D.A.; de Oliveira, A.L.; Martelli-Tosi, M. Grape Pomace Rich-Phenolics and Anthocyanins Extract: Production by Pressurized Liquid Extraction in Intermittent Process and Encapsulation by Spray-Drying. Foods 2024, 13, 279. [Google Scholar] [CrossRef]
- Aresta, A.; Cotugno, P.; De Vietro, N.; Massari, F.; Zambonin, C. Determination of polyphenols and vitamins in wine-making by-products by supercritical fluid extraction (SFE). Anal. Lett. 2020, 53, 2585–2595. [Google Scholar] [CrossRef]
- Xavier Machado, T.D.O.; Portugal, I.B.M.; Padilha, C.V.D.S.; Ferreira Padilha, F.; dos Santos Lima, M. New trends in the use of enzymes for the recovery of polyphenols in grape byproducts. J. Food Biochem. 2021, 45, e13712. [Google Scholar] [CrossRef] [PubMed]
- Mendez-Carmona, J.Y.; Ramírez-Guzman, K.N.; Ascacio-Valdes, J.A.; Sepulveda, L.; Aguilar, C.N. Solid-state fermentation for recovery of carotenoids from tomato waste. Innov. Food Sci. Emerg. Technol. 2022, 80, 103108. [Google Scholar] [CrossRef]
- Buenrostro-Figueroa, J.J.; Velázquez, M.; Flores-Ortega, O.; Ascacio-Valdés, J.A.; Huerta-Ochoa, S.; Aguilar, C.N.; Prado-Barragán, L.A. Solid state fermentation of fig (Ficus carica L.) by-products using fungi to obtain phenolic compounds with antioxidant activity and qualitative evaluation of phenolics obtained. Process Biochem. 2017, 62, 16–23. [Google Scholar] [CrossRef]
- Yepes-Betancur, D.P.; Márquez-Cardozo, C.J.; Cadena-Chamorro, E.M.; Martinez-Saldarriaga, J.; Torres-León, C.; Ascacio-Valdes, A.; Aguilar, C.N. Solid-state fermentation–assisted extraction of bioactive compounds from hass avocado seeds. Food Bioprod. Process. 2021, 126, 155–163. [Google Scholar] [CrossRef]
- Rodríguez, A.; Gea, T.; Sánchez, A.; Font, X. Agro-wastes and inert materials as supports for the production of biosurfactants by solid-state fermentation. Waste Biomass Valorization 2021, 12, 1963–1976. [Google Scholar] [CrossRef]
- Arora, D.; Gupta, P.; Jaglan, S.; Roullier, C.; Grovel, O.; Bertrand, S. Expanding the chemical diversity through microorganisms co-culture: Current status and outlook. Biotechnol. Adv. 2020, 40, 107521. [Google Scholar] [CrossRef]
- Parapouli, M.; Vasileiadis, A.; Afendra, A.S.; Hatziloukas, E. Saccharomyces cerevisiae and its industrial applications. AIMS Microbiol. 2020, 6, 1. [Google Scholar] [CrossRef]
- Phaiboonsilpa, N.; Chysirichote, T.; Champreda, V.; Laosiripojana, N. Fermentation of xylose, arabinose, glucose, their mixtures and sugarcane bagasse hydrolyzate by yeast Pichia stipitis for ethanol production. Energy Rep. 2020, 6, 710–713. [Google Scholar] [CrossRef]
- Yu, R.; Liu, J.; Wang, Y.; Wang, H.; Zhang, H. Aspergillus niger as a secondary metabolite factory. Front. Chem. 2021, 9, 701022. [Google Scholar] [CrossRef]
- AOAC. Official Methods of Analysis of AOAC International; AOAC International: Gaithersburg, MD, USA, 2012. [Google Scholar]
- Torres-León, C.; Ramírez-Guzmán, N.; Ascacio-Valdes, J.; Serna-Cock, L.; dos Santos Correia, M.T.; Contreras-Esquivel, J.C.; Aguilar, C.N. Solid-state fermentation with Aspergillus niger to enhance the phenolic contents and antioxidative activity of Mexican mango seed: A promising source of natural antioxidants. LWT 2019, 112, 108236. [Google Scholar] [CrossRef]
- Wong-Paz, J.E.; Muñiz-Márquez, D.B.; Aguilar-Zárate, P.; Rodríguez-Herrera, R.; Aguilar, C.N. Microplate quantification of total phenolic content from plant extracts obtained by conventional and ultrasound methods. Phytochem Anal. 2014, 5, 439–444. [Google Scholar] [CrossRef] [PubMed]
- Georgé, S.; Brat, P.; Alter, P.; Amiot, M.J. Rapid determination of polyphenols and vitamin C in plant-derived products. J. Agric. Food Chem. 2005, 53, 1370–1373. [Google Scholar] [CrossRef]
- Herald, T.J.; Gadgil, P.; Perumal, R.; Bean, S.R.; Wilson, J.D. High-throughput micro-plate HCl–vanillin assay for screening tannin content in sorghum grain. J. Sci. Food Agric. 2014, 94, 2133–2136. [Google Scholar] [CrossRef]
- de la Rosa, L.A.; Vazquez-Flores, A.A.; Alvarez-Parrilla, E.; Rodrigo-García, J.; Medina-Campos, O.N.; Ávila-Nava, A.; Pedraza-Chaverri, J. Content of major classes of polyphenolic compounds, antioxidant, antiproliferative, and cell protective activity of pecan crude extracts and their fractions. J. Funct. Foods 2014, 7, 219–228. [Google Scholar] [CrossRef]
- Leyva, A.; Quintana, A.; Sánchez, M.; Rodríguez, E.N.; Cremata, J.; Sánchez, J.C. Rapid and sensitive anthrone–sulfuric acid assay in microplate format to quantify carbohydrate in biopharmaceutical products: Method development and validation. Biologicals 2008, 36, 134–141. [Google Scholar] [CrossRef] [PubMed]
- Molyneux, P. The use of the stable free radical diphenylpicrylhydrazyl (DPPH) for estimating antioxidant activity. Songklanakarin J. Sci. Technol. 2004, 26, 211–219. [Google Scholar]
- Delgado-Andrade, C.; Rufián-Henares, J.A.; Morales, F.J. Assessing the antioxidant activity of melanoidins from coffee brews by different antioxidant methods. J. Agric. Food Chem. 2005, 53, 7832–7836. [Google Scholar] [CrossRef]
- Ascacio-Valdés, J.A.; Aguilera-Carbó, A.F.; Buenrostro, J.J.; Prado-Barragán, A.; Rodríguez-Herrera, R.; Aguilar, C.N. The complete biodegradation pathway of ellagitannins by Aspergillus niger in solid-state fermentation. J. Basic Microbiol. 2016, 56, 329–336. [Google Scholar] [CrossRef]
- Tavares, P.; Nascimento, R.; Andrade, R.; Biasoto, A.; Druzian, J.; Souza, C.D. Physicochemical Characterization of Agro-Industrial Waste from BRS Magna Grape Cultivar. 2020. Available online: https://www.alice.cnptia.embrapa.br/alice/handle/doc/1127018 (accessed on 15 August 2024).
- Granato, D.; de Magalhães Carrapeiro, M.; Fogliano, V.; van Ruth, S.M. Effects of geographical origin, varietal and farming system on the chemical composition and functional properties of purple grape juices: A review. Trends Food Sci. Technol. 2016, 52, 31–48. [Google Scholar] [CrossRef]
- Priyadarshini, A.; Sahoo, M.M.; Raut, P.R.; Mahanty, B.; Sahoo, N.K. Kinetic modelling and process engineering of phenolics microbial and enzymatic biodegradation: A current outlook and challenges. J. Water Process Eng. 2021, 44, 102421. [Google Scholar] [CrossRef]
- Fadel, M.; Hamed, A.A.; Abd-Elaziz, A.M.; Ghanem, M.M.; Roshdy, A.M. Cellulases and animal feed production by solid-state fermentation by Aspergillus fumigatus NRCF-122 mutant. Egypt J. Chem. 2021, 64, 3511–3520. [Google Scholar] [CrossRef]
- Manan, M.A.; Webb, C. Design aspects of solid-state fermentation as applied to microbial bioprocessing. J. Appl. Biotechnol. Bioeng. 2017, 4, 511–532. [Google Scholar]
- Chawla, P.; Kumar, V.; Bains, A.; Singh, R.; Sadh, P.K.; Kaushik, R.; Kumar, N. Improvement of mineral absorption and nutritional properties of Citrullus vulgaris seeds using solid-state fermentation. J. Am. Coll. Nutr. 2020, 39, 628–635. [Google Scholar] [CrossRef]
- Moran-Aguilar, M.G.; Costa-Trigo, I.; Calderón-Santoyo, M.; Domínguez, J.M.; Aguilar-Uscanga, M.G. Production of cellulases and xylanases in solid-state fermentation by different strains of Aspergillus niger using sugarcane bagasse and brewery spent grain. Biochem. Eng. J. 2021, 172, 108060. [Google Scholar] [CrossRef]
- Mohamed Ahmed, I.A.; Özcan, M.M.; Al Juhaimi, F.; Babiker, E.F.E.; Ghafoor, K.; Banjanin, T.; Alqah, H.A. Chemical composition, bioactive compounds, mineral contents, and fatty acid composition of pomace powder of different grape varieties. J. Food Process. Preserv. 2020, 44, e14539. [Google Scholar] [CrossRef]
- Sousa, E.C.; Uchôa-Thomaz, A.M.A.; Carioca, J.O.B.; Morais, S.M.D.; Lima, A.D.; Martins, C.G.; Rodrigues, L.L. Chemical composition and bioactive compounds of grape pomace (Vitis vinifera L.), Benitaka variety, grown in the semiarid region of Northeast Brazil. Food Sci. Technol. 2014, 34, 135–142. [Google Scholar] [CrossRef]
- Tanabe, C.K.; Nelson, J.; Boulton, R.B.; Ebeler, S.E.; Hopfer, H. The use of macro, micro, and trace elemental profiles to differentiate commercial single vineyard pinot noir wines at a sub-regional level. Molecules 2020, 25, 2552. [Google Scholar] [CrossRef]
- Chan, L.G.; Cohen, J.L.; de Moura Bell, J.M.L.N. Conversion of agricultural streams and food-processing by-products to value-added compounds using filamentous fungi. Annu. Rev. Food Sci. Technol. 2018, 9, 503–523. [Google Scholar] [CrossRef]
- Betts, R.E.; Walters, D.E.; Rosazza, J.P. Microbial transformations of antitumor compounds. 1. Conversion of acronycine to 9-hydroxyacronycine by Cunninghamella echinulata. J. Med. Chem. 1974, 17, 599–602. [Google Scholar] [CrossRef]
- Veiko, A.G.; Lapshina, E.A.; Zavodnik, I.B. Comparative analysis of molecular properties and reactions with oxidants for quercetin, catechin, and naringenin. Mol. Cell. Biochem. 2021, 476, 4287–4299. [Google Scholar] [CrossRef] [PubMed]
- Bakrim, S.; Machate, H.; Benali, T.; Sahib, N.; Jaouadi, I.; Omari, N.E.; Bouyahya, A. Natural sources and pharmacological properties of pinosylvin. Plants 2022, 11, 1541. [Google Scholar] [CrossRef] [PubMed]
- Luo, C.; Zou, L.; Sun, H.; Peng, J.; Gao, C.; Bao, L.; Sun, S. A review of the anti-inflammatory effects of rosmarinic acid on inflammatory diseases. Front. Pharmacol. 2020, 11, 153. [Google Scholar] [CrossRef] [PubMed]
- Madunić, J.; Madunić, I.V.; Gajski, G.; Popić, J.; Garaj-Vrhovac, V. Apigenin: A dietary flavonoid with diverse anticancer properties. Cancer Lett. 2018, 413, 11–22. [Google Scholar] [CrossRef]
Disclaimer/Publisher’s Note: The statements, opinions and data contained in all publications are solely those of the individual author(s) and contributor(s) and not of MDPI and/or the editor(s). MDPI and/or the editor(s) disclaim responsibility for any injury to people or property resulting from any ideas, methods, instructions or products referred to in the content. |
© 2024 by the authors. Licensee MDPI, Basel, Switzerland. This article is an open access article distributed under the terms and conditions of the Creative Commons Attribution (CC BY) license (https://creativecommons.org/licenses/by/4.0/).