Microwave-Assisted Solvent- and Cu(I)-Free Sonogashira C-C Cross-Coupling Catalysed by Pd Ionanofluids
Abstract
1. Introduction
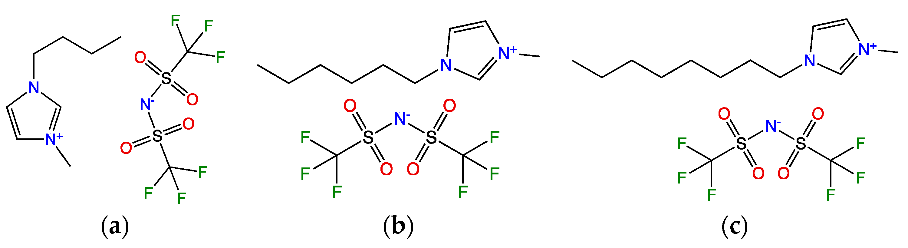
2. Materials and Methods
General Procedure for the MW-Assisted Sonogashira C-C Coupling
3. Results
Mechanistic Insights for the Cu-Free Sonogashira Reaction
Supplementary Materials
Author Contributions
Funding
Data Availability Statement
Conflicts of Interest
References
- Sonogashira, K.; Tohda, Y.; Hagihara, N. A convenient synthesis of acetylenes: Catalytic substitutions of acetylenic hydrogen with bromoalkenes, iodoarenes and bromopyridines. Tetrahedron Lett. 1975, 16, 4467–4470. [Google Scholar] [CrossRef]
- Doucet, H.; Hierso, J.-C. Palladium-based catalytic systems for the synthesis of conjugated enynes by Sonogashira reactions and related alkynylations. Angew. Chem. Int. Ed. 2007, 46, 834–871. [Google Scholar] [CrossRef] [PubMed]
- Martins, L.M.D.R.S.; Phillips, A.M.F.; Pombeiro, A.J.L. C-C bond formation in sustainable synthesis of pharmaceuticals. In Sustainable Synthesis of Pharmaceuticals: Using Transition Metal Complexes as Catalysts; Pereira, M.M., Calvete, M.J.F., Eds.; Green Chemistry Series; RSC Publishers: Cambridge, UK, 2018; pp. 193–229, ISBN-10:1782629343, ISBN-13:978-1782629344. [Google Scholar]
- Chinchilla, R.; Najera, C. The Sonogashira reaction: A booming methodology in synthetic organic chemistry. Chem. Rev. 2007, 107, 874–922. [Google Scholar] [CrossRef] [PubMed]
- Xue, L.; Lin, Z. Theoretical aspects of palladium-catalysed carbon–carbon cross-coupling reactions. Chem. Soc. Rev. 2010, 39, 1692–1705. [Google Scholar] [CrossRef]
- Mino, T.; Suzuki, S.; Hirai, K.; Sakamoto, M.; Fujita, T. Hydrazone-Promoted Sonogashira Coupling Reaction with Aryl Bromides at Low Palladium Loadings Sonogashira Coupling Reaction. Synlett 2011, 9, 1277–1280. [Google Scholar] [CrossRef]
- Liu, M.; Ye, M.; Xue, Y.; Yin, G.; Wang, D.; Huang, J. Sonogashira coupling catalyzed by the Cu(Xantphos)I-Pd(OAc)2 system. Tetrahedron Lett. 2016, 57, 3137–3139. [Google Scholar] [CrossRef]
- Liang, Y.; Xie, Y.-X.; Li, J.-H. Modified Palladium-Catalyzed Sonogashira Cross-Coupling Reactions under Copper-, Amine-, and Solvent-Free Conditions. J. Org. Chem. 2006, 71, 379–381. [Google Scholar] [CrossRef] [PubMed]
- Lima, P.G.; Antunes, O.A.C. Copper-free Sonogashira cross coupling in ionic liquids. Tetrahedron Lett. 2008, 49, 2506–2509. [Google Scholar] [CrossRef]
- Panda, B.; Sarkar, T.K. Gold and Palladium Combined for the Sonogashira Coupling of Aryl and Heteroaryl Halides. Synthesis 2013, 45, 817–829. [Google Scholar]
- Li, J.-H.; Zhang, X.-D.; Xie, Y.-X. Efficient and Copper-Free Sonogashira Cross-Coupling Reaction Catalyzed by Pd(OAc)2/Pyrimidines Catalytic System. Eur. J. Org. Chem. 2005, 2005, 4256–4259. [Google Scholar] [CrossRef]
- Bakherad, M.; Keivanloo, A.; Samangooei, S. Solvent-free Heck and copper-free Sonogashira cross-coupling reactions catalyzed by a polystyrene-anchored Pd (II) phenyldithiocarbazate complex. Tetrahedron Lett. 2012, 53, 5773–5776. [Google Scholar] [CrossRef]
- Pârvulescu, V.I.; Hardacre, C. Catalysis in Ionic Liquids. Chem. Rev. 2007, 107, 2615–2665. [Google Scholar]
- Fukuyama, T.; Shinmen, M.; Nishitani, S.; Sato, M.; Ryu, I. A copper-free Sonogashira coupling reaction in ionic liquids and its application to a microflow system for efficient catalyst recycling. Org. Lett. 2002, 4, 1691–1694. [Google Scholar] [CrossRef] [PubMed]
- Sheldon, R. Catalytic reactions in ionic liquids. Chem. Com. 2001, 23, 2399–2407. [Google Scholar] [CrossRef]
- Wasserscheid, P.; Keim, W. Ionic liquids—New “solutions” for transition metal catalysis. Angew. Chem. Int. Ed. 2000, 39, 3772–3789. [Google Scholar] [CrossRef]
- Ribeiro, A.P.C.; Martins, L.M.; Alegria, E.C.B.A.; Matias, I.A.S.; Duarte, T.A.G.; Pombeiro, A.J.L. Catalytic performance of Fe(II)-scorpionate complexes towards cyclohexane oxidation in organic, ionic liquid and/or supercritical CO2 media: A comparative study. Catalysts 2017, 7, 230. [Google Scholar] [CrossRef]
- Matias, I.A.S.; Ribeiro, A.P.C.; Martins, L.M.D.R.S. New C-scorpionate nickel(II) catalyst for Heck C-C coupling under unconventional conditions. J. Organomet. Chem. 2019, 896, 32–37. [Google Scholar] [CrossRef]
- Ribeiro, A.P.C.; Martins, L.M.D.R.S.; Hazra, S.; Pombeiro, A.J.L. Catalytic oxidation of cyclohexane with hydrogen peroxide and a tetracopper(II) complex in an ionic liquid. Comptes Rendus Chim. 2015, 18, 758–765. [Google Scholar] [CrossRef]
- Ribeiro, A.P.C.; Martins, L.M.D.R.S.; Kuznetsov, M.L.; Pombeiro, A.J.L. Tuning cyclohexane oxidation: Combination of microwave irradiation and ionic liquid with the C-scorpionate [FeCl2(Tpm)] catalyst. Organometallics 2017, 36, 192–198. [Google Scholar] [CrossRef]
- Dupont, J.; Fonseca, G.S.; Umpierre, A.P.; Fichtner, P.F.P.; Teixeira, S.R. Transition-metal nanoparticles in imidazolium ionic liquids: recycable catalysts for biphasic hydrogenation reactions. J. Am. Chem. Soc. 2002, 124, 4228–4229. [Google Scholar] [CrossRef]
- Park, S.B.; Alper, H. Recyclable Sonogashira coupling reactions in an ionic liquid, effected in the absence of both a copper salt and a phosphine. Chem. Commun. 2004, 11, 1306–1307. [Google Scholar] [CrossRef] [PubMed]
- Hamil, N.A.; Hardacre, C.; McMath, S.E.J. In-situ XAFS investigation of palladium species present during the Heck reaction in room temperature ionic liquids. Green Chem. 2002, 4, 139–142. [Google Scholar] [CrossRef]
- Touj, N.; Yaşar, S.; Ozdemir, N.; Hamdi, N.; Ozdemir, I. Sonogashira cross-coupling reaction catalysed by mixed NHC-Pd-PPh3 complexes under copper free conditions. J. Organomet. Chem. 2018, 860, 59–71. [Google Scholar] [CrossRef]
- Mishra, G.S.; Silva, T.F.S.; Martins, L.M.; Pombeiro, A.J.L. Scorpionate V(III–V) complexes as catalyst precursors for solvent-free cyclohexane oxidation with dioxygen. Pure Appl. Chem. 2009, 81, 1217–1227. [Google Scholar] [CrossRef]
- Martins, L.M.D.R.S. C-scorpionate complexes: Ever young catalytic tools. Coord. Chem. Rev. 2019, 396, 89–102. [Google Scholar] [CrossRef]
- Ribeiro, A.P.C.; Martins, L.M.D.R.S.; Pombeiro, A.J.L. Carbon dioxide-to-methanol single-pot conversion using a C-scorpionate iron(II) catalyst. Green Chem. 2017, 19, 4801–4962. [Google Scholar] [CrossRef]
- Montoya, C.A.; Gómez, C.F.; Paninho, A.B.; Nunes, A.V.M.; Mahmudov, K.T.; Najdanovic-Visak, V.; Martins, L.M.; Guedes da Silva, M.F.C.; Nunes da Ponte, M.; Pombeiro, A.J.L. Cyclic carbonate synthesis from CO2 and epoxides using zinc(II) complexes of arylhydrazones of β-diketones. J. Catal. 2016, 335, 135–140. [Google Scholar] [CrossRef]
- Sutradhar, M.; Martins, L.M.; da Silva, M.F.C.G.; Pombeiro, A.J.L. Oxido vanadium complexes with tridentate aroylhydrazone as catalyst precursors for solvent-free microwave-assisted oxidation of alcohols. Appl. Cat. A Gen. 2015, 493, 50–57. [Google Scholar] [CrossRef]
- Kopylovich, M.N.; Mahmudov, K.T.; Silva, M.F.C.G.; Martins, L.M.D.R.S.; Kuznetsov, M.L.; Silva, T.F.S.; Fraústo da Silva, J.J.R.; Pombeiro, A.J.L. Trends in properties of para-substituted 3-(phenylhydrazo)pentane-2,4-diones. J. Phys. Org. Chem. 2011, 4, 764–773. [Google Scholar] [CrossRef]
- Martins, L.M.D.R.S.; Ribeiro, A.P.C.; Carabineiro, S.A.C.; Figueiredo, J.L.; Pombeiro, A.J.L. Highly efficient and reusable CNT supported iron(II) catalyst for microwave assisted alcohol oxidation. Dalton Trans. 2016, 45, 6816–6819. [Google Scholar] [CrossRef]
- Rathi, A.K.; Gawande, M.B.; Zboril, R.; Varma, R.S. Microwave-assisted synthesis -catalytic applications in aqueous media. Coord. Chem. Rev. 2015, 291, 68–94. [Google Scholar] [CrossRef]
- Available online: https://wiki.anton-paar.com/en/microwave-assisted-synthesis/ (accessed on 26 December 2021).
- Blokhin, A.V.; Paulechka, Y.U.; Strechan, A.A.; Kabo, G.J. Physicochemical Properties, Structure, and Conformations of 1-Butyl-3-methylimidazolium Bis(trifluoromethanesulfonyl)imide [C4mim][NTf2] Ionic Liquid. J. Phys. Chem. B 2008, 112, 4357–4364. [Google Scholar] [CrossRef] [PubMed]
- Xu, L.; Chen, W.; Xiao, J. Nickel, Ruthenium, and Rhodium NCN-Pincer Complexes Featuring a Six-Membered N-Heterocyclic Carbene Central Moiety and Pyridyl Pendant Arms. Organometallics 2000, 19, 1123–1127. [Google Scholar] [CrossRef]
- Weingarth, D.; Czekaj, I.; Fei, Z.; Foelske-Schmitz, A.; Dyson, P.J.; Wokaun, A.; Koetz, R. Electrochemical stability of imidazolium based ionic liquids containing cyano groups in the anion: A cyclic voltammetry, XPS and DFT study. J. Electrochem. Soc. 2012, 159, H611–H615. [Google Scholar] [CrossRef]
- Venkatesan, R.; Prechtl, M.H.G.; Scholten, J.; Pezzi, R.P.; Machado, G.; Dupont, J. Palladium nanoparticle catalysts in ionic liquids: Synthesis, characterisation and selective partial hydrogenation of alkynes to Z-alkenes. J. Mater. Chem. 2011, 21, 3030–3036. [Google Scholar] [CrossRef]
- Handy, S.T.; Okello, M. The 2-position of imidazolium ionic liquids: Substitution and exchange. J. Org. Chem. 2005, 70, 1915–1918. [Google Scholar] [CrossRef] [PubMed]
- Astruc, D.; Lu, F.; Aranzaes, J.R. Nanoparticles as recyclable catalysts: The frontier between homogeneous and heterogeneous catalysis. Angew. Chem. Int. Ed. 2005, 44, 7852–7872. [Google Scholar] [CrossRef] [PubMed]
- Cassar, L. Synthesis of aryl- and vinyl-substituted acetylene derivatives by the use of nickel and palladium complexes. J. Organomet. Chem. 1975, 93, 253–257. [Google Scholar] [CrossRef]
- Dieck, H.A.; Heck, F.R. Palladium catalyzed synthesis of aryl, heterocyclic and vinylic acetylene derivatives. J. Organomet. Chem. 1975, 93, 259–263. [Google Scholar] [CrossRef]
- Gazvoda, M.; Virant, M.; Pinter, B.; Kosmrlj, J. Mechanism of copper-free Sonogashira reaction operates through palladium-palladium transmetallation. Nat. Commun. 2018, 9, 4814. [Google Scholar] [CrossRef]









| Entry | IL | Pd Precursor | Temperature (°C) | Time (min) | Yield b (%) | Selectivity c (%) | TOF d (h−1) |
|---|---|---|---|---|---|---|---|
| 1 | [C4mim] [NTf2] | Pd(OAc)2 | 35 | 10 | 85 | 98 | 51 |
| 2 | 50 | 10 | 90 | 99 | 54 | ||
| 3 | [C6mim] [NTf2] | 35 | 10 | 86 | 99 | 53 | |
| 4 | 35 | 30 | 88 | 96 | 19 | ||
| 5 | 50 | 30 | 93 | 98 | 19 | ||
| 6 | [C8mim] [NTf2] | 35 | 10 | 86 | 98 | 52 | |
| 7 | 50 | 10 | 91 | 97 | 56 | ||
| 8 | 50 | 30 | 96 | 98 | 19 | ||
| 9 | [C4mim] [NTf2] | PdCl2 | 35 | 10 | 77 | 99 | 46 |
| 10 | 35 | 30 | 78 | 99 | 16 | ||
| 11 | 50 | 30 | 85 | 98 | 17 | ||
| 12 | [C6mim] [NTf2] | 35 | 10 | 78 | 99 | 47 | |
| 13 | 35 | 30 | 81 | 98 | 16 | ||
| 14 | 50 | 10 | 83 | 98 | 50 | ||
| 15 | 50 | 30 | 87 | 99 | 17 | ||
| 16 | [C8mim] [NTf2] | 35 | 10 | 81 | 98 | 49 | |
| 17 | 50 | 10 | 89 | >99 | 53 | ||
| 18 | 50 | 30 | 92 | 97 | 18 | ||
| 19 | [C4mim] [NTf2] | [PdCl2(PPh3)2] | 35 | 10 | 81 | 98 | 49 |
| 20 | 35 | 30 | 90 | 99 | 18 | ||
| 21 | 50 | 10 | 87 | 98 | 52 | ||
| 22 | [C6mim] [NTf2] | 35 | 10 | 84 | 97 | 50 | |
| 23 | 50 | 10 | 90 | 99 | 54 | ||
| 24 | 50 | 30 | 94 | 98 | 56 | ||
| 25 | [C8mim] [NTf2] | 35 | 10 | 88 | 99 | 53 | |
| 26 | 50 | 10 | 93 | 99 | 56 | ||
| 27 | 50 | 30 | 98 | 96 | 20 |
| Entry | IL | Aryl Halide | Yield b (%) | Selectivity c (%) | TOF d (h−1) |
|---|---|---|---|---|---|
| 1 | [C4mim] [NTf2] | 4-iodoanisole | 61 | 98 | 24 |
| 2 | [C6mim] [NTf2] | 66 | 99 | 26 | |
| 3 | [C8mim] [NTf2] | 68 | 98 | 27 | |
| 4 | [C4mim] [NTf2] | iodobenzene | 78 | 99 | 31 |
| 5 | [C6mim] [NTf2] | 79 | 99 | 32 | |
| 6 | [C8mim] [NTf2] | 81 | 98 | 32 |
| Entry | Catalyst | Amount of Catalyst (mol%) | Solvent | Base | Reaction Atmosphere | Time (h) | Temperature (°C) | Yield (%) | Ref. |
|---|---|---|---|---|---|---|---|---|---|
| 1 | Pd(OAc)2 | 0.5 | DMF | t-BuOK | air | 1 | 80 | traces | [24] |
| 2 | Pd(OAc)2 | 3 | TBAF a | N2 | 14 | 80 | 51 | [8] | |
| 3 | Pd(OAc)2 + Ph3P | 4 | [C4Py]NO3 b | Et3N | Ar | 2 | 75 | 28 | [9] |
| 4 | Pd(OAc)2 + 2-amino pyrimidine-4,6-diol | 3 + 6 | MeCN | Cs2CO3 | N2 | 21 | 60 | 72 | [11] |
| 5 | PdCl2 | 0.5 | DMF | t-BuOK | air | 1 | 80 | traces | [24] |
| 6 | PdCl2 | 3 | - | TBAF a | N2 | 14 | 80 | 25 | [8] |
| 7 | PdCl2/PPh3 | 3 | - | TBAF a | N2 | 3 | 80 | 65 | [8] |
| 8 | [PdCl2(PPh3)] | 0.5 | DMF | t-BuOK | 1 | 80 | traces | [24] | |
| 9 | [PdCl2(PPh3)2] | 3 | - | TBAF a | N2 | 3 | 80 | 86 | [8] |
| 10 | [PdCl2(PPh3)2] | 3 | - | KF | N2 | 3 | 80 | 16 | [8] |
| 11 | [PdCl2(PPh3)2] + [C8mim] [NTf2] c | 2 | - | Et3N | air | 0.5 | 50 | 98 | This work |
| 12 | [PdCl2(PPh3)2] + [AuCl(PPh3)] | 2 + 2 | DMF | Et3N | Ar | 7 | 80 | 94 | [10] |
| 13 | ![]() | 1 | DMF | t-BuOK | air | 1 | 80 | 99 | [24] |
| 14 | ![]() | 0.5 | DMF | Et3N | air | 1 | 80 | traces | [24] |
| 15 | Pd(PPh3)4 | 3 | - | TBAF a | N2 | 3 | 80 | 41 | [8] |
| 16 | Pd(dba)2 d | 3 | - | TBAF a | N2 | 14 | 80 | 42 | [8] |
Disclaimer/Publisher’s Note: The statements, opinions and data contained in all publications are solely those of the individual author(s) and contributor(s) and not of MDPI and/or the editor(s). MDPI and/or the editor(s) disclaim responsibility for any injury to people or property resulting from any ideas, methods, instructions or products referred to in the content. |
© 2024 by the authors. Licensee MDPI, Basel, Switzerland. This article is an open access article distributed under the terms and conditions of the Creative Commons Attribution (CC BY) license (https://creativecommons.org/licenses/by/4.0/).
Share and Cite
Matias, I.A.S.; Ribeiro, A.P.C.; Martins, L.M.D.R.S. Microwave-Assisted Solvent- and Cu(I)-Free Sonogashira C-C Cross-Coupling Catalysed by Pd Ionanofluids. Processes 2024, 12, 1351. https://doi.org/10.3390/pr12071351
Matias IAS, Ribeiro APC, Martins LMDRS. Microwave-Assisted Solvent- and Cu(I)-Free Sonogashira C-C Cross-Coupling Catalysed by Pd Ionanofluids. Processes. 2024; 12(7):1351. https://doi.org/10.3390/pr12071351
Chicago/Turabian StyleMatias, Inês A. S., Ana P. C. Ribeiro, and Luísa M. D. R. S. Martins. 2024. "Microwave-Assisted Solvent- and Cu(I)-Free Sonogashira C-C Cross-Coupling Catalysed by Pd Ionanofluids" Processes 12, no. 7: 1351. https://doi.org/10.3390/pr12071351
APA StyleMatias, I. A. S., Ribeiro, A. P. C., & Martins, L. M. D. R. S. (2024). Microwave-Assisted Solvent- and Cu(I)-Free Sonogashira C-C Cross-Coupling Catalysed by Pd Ionanofluids. Processes, 12(7), 1351. https://doi.org/10.3390/pr12071351



