In Vitro Screening of Lactic Acid Bacteria with RAW264.7 Macrophages and the Immunoregulatory Mechanism
Abstract
1. Introduction
2. Materials and Methods
2.1. LAB Strains and Cultivation Conditions
2.2. Cell Culture
2.3. Growth Characteristics
2.4. Cell Viability Assay
2.5. NO Determination
2.6. TNF-α, IL-6, IL-1β and PGE2 Production Detection
2.7. Phagocytosis Assay
2.8. Western Blotting
2.9. Statistical Analysis
3. Results
3.1. Growth Characteristics
3.2. Effect of LAB on Proliferation Activity of RAW264.7 Macrophages—Preliminary Screening
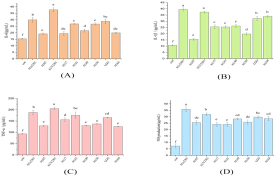
3.3. Effect of LAB on the Release of IL-6, IL-1β, TNF-α and NO in RAW264.7 Macrophages
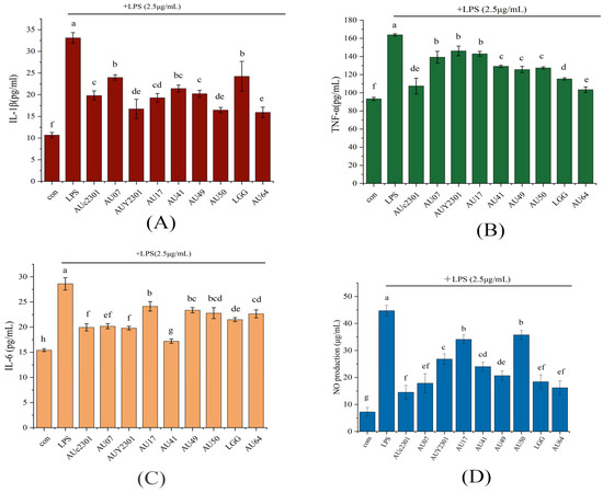
3.4. Effect of LAB on the Release of IL-6, IL-1β, TNF-α and NO in RAW264.7 Macrophages Stimulated by LPS
3.5. Effect of LAB on Phagocytosis Activity of RAW264.7 Macrophages
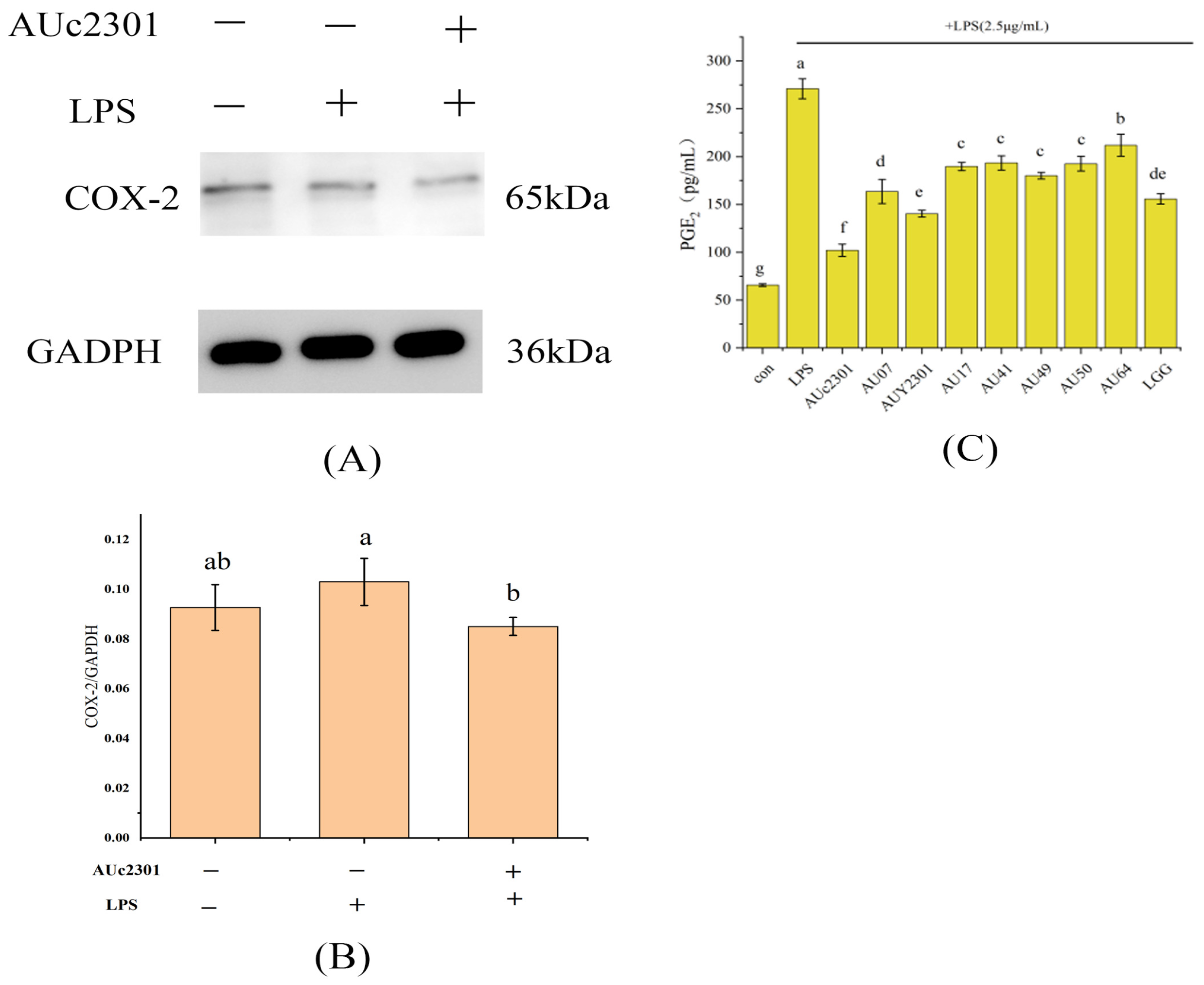
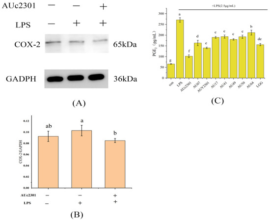
3.6. Effects of LAB on Release of PGE2 and Expression of COX-2 of RAW264.7 Macrophages by LPS
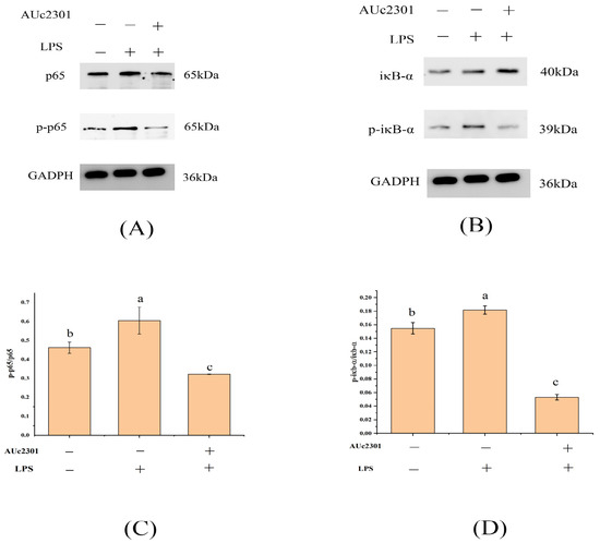
3.7. Effect of LAB on NF-κB Activation of RAW264.7 Macrophages Stimulated by LPS
4. Discussions
5. Conclusions
Supplementary Materials
Author Contributions
Funding
Data Availability Statement
Conflicts of Interest
References
- Kim, D.M.; Kim, Y.; Seo, J.W.; Lee, J.; Park, U.; Ha, N.Y.; Koh, J.; Park, H.; Lee, J.W.; Ro, H.J.; et al. Enhanced eosinophil-mediated inflammation associated with antibody and complement-dependent pneumonic insults in critical COVID-19. Cell Rep. 2021, 37, 109798. [Google Scholar] [CrossRef]
 - Geng, L.H.; Hu, W.C.; Liu, Y.J.; Wang, J.; Zhang, Q.B. A heteropolysaccharide from Saccharina japonica with immunomodulatory effect on RAW 264.7 cells. Carbohydr. Polym. 2018, 201, 557–565. [Google Scholar] [CrossRef] [PubMed]
 - Alnuqaydan, A.M.; Almutary, A.G.; Azam, M.; Manandhar, B.; De Rubis, G.; Madheswaran, T.; Paudel, K.R.; Hansbro, P.M.; Chellappan, D.K.; Dua, K. Phytantriol-Based Berberine-Loaded Liquid Crystalline Nanoparticles Attenuate Inflammation and Oxidative Stress in Lipopolysaccharide-Induced RAW264.7 Macrophages. Nanomaterials 2022, 12, 4312. [Google Scholar] [CrossRef]
 - Fiechtner, J.J.; Brodeur, R.R. Manual and manipulation techniques for rheumatic disease. Med. Clin. N. Am. 2002, 86, 91–103. [Google Scholar] [CrossRef] [PubMed]
 - Wang, M.; Wei, J.L.; Shang, F.T.; Zang, K.; Ji, T. Platelet-derived growth factor B attenuates lethal sepsis through inhibition of inflammatory responses. Int. Immunopharmacol. 2019, 75, 105792. [Google Scholar] [CrossRef] [PubMed]
 - Zhao, Q.; Zheng, W.T.; Yuan, Z.Y.; Wang, X.F.; Huang, A.X. Anti-inflammatory effect of two novel peptides derived from Binglangjiang buffalo whey protein in lipopolysaccharide-stimulated RAW264.7 macrophages. Food Chem. 2023, 429, 136804. [Google Scholar] [CrossRef]
 - Saito-Shida, S.; Kashiwabara, N.; Shiono, K.; Nemoto, S.; Akiyama, H. Development of an analytical method for determination of total ethofumesate residues in foods by gas chromatography-tandem mass spectrometry. Food Chem. 2020, 313, 126132. [Google Scholar] [CrossRef]
 - Chalmers, S.A.; Garcia, S.J.; Reynolds, J.A.; Herlitz, L.; Putterman, C. NF-kB signaling in myeloid cells mediates the pathogenesis of immune-mediated nephritis. J. Autoimmun. 2019, 98, 33–43. [Google Scholar] [CrossRef]
 - Huang, P.; Hong, J.X.; Mi, J.; Sun, B.L.; Zhang, J.J.; Li, C.; Yang, W.E. Polyphenols extracted from Enteromorpha clathrata alleviates inflammation in lipopolysaccharide-induced RAW 264.7 cells by inhibiting the MAPKs/NF-?B signaling pathways. J. Ethnopharmacol. 2022, 286, 114897. [Google Scholar] [CrossRef]
 - Das, D.; Sarkar, S.; Wann, S.B.; Kalita, J.; Manna, P. Current perspectives on the anti-inflammatory potential of fermented soy foods. Food Res. Int. 2022, 152, 110922. [Google Scholar] [CrossRef]
 - Dickson, K.; Lehmann, C. Inflammatory Response to Different Toxins in Experimental Sepsis Models. Int. J. Mol. Sci. 2019, 20, 4341. [Google Scholar] [CrossRef]
 - Tenore, G.C.; Pagano, E.; Lama, S.; Vanacore, D.; Di Maro, S.; Maisto, M.; Capasso, R.; Merlino, F.; Borrelli, F.; Stiuso, P.; et al. Intestinal Anti-Inflammatory Effect of a Peptide Derived from Gastrointestinal Digestion of Buffalo (Bubalus bubalis) Mozzarella Cheese. Nutrients 2019, 11, 610. [Google Scholar] [CrossRef]
 - Huang, N.N.; Wang, M.M.; Peng, J.; Wei, H.K. Role of arachidonic acid-derived eicosanoids in intestinal innate immunity. Crit. Rev. Food Sci. Nutr. 2021, 61, 2399–2410. [Google Scholar] [CrossRef]
 - Yen, Y.C.; Yang, C.Y.; Wang, T.N.; Yen, P.C.; Ho, C.K.; Mena, K.D.; Lee, T.C.; Chen, K.S.; Lin, Y.C.; Chen, P.S. Household airborne endotoxin associated with asthma and allergy in elementary school-age children: A case-control study in Kaohsiung, Taiwan. Environ. Sci. Pollut. Res. 2020, 27, 19502–19509. [Google Scholar] [CrossRef] [PubMed]
 - Akanda, M.R.; Tae, H.J.; Kim, I.S.; Ahn, D.; Tian, W.; Islam, A.; Nam, H.H.; Choo, B.K.; Park, B.Y. Hepatoprotective Role of Hydrangea macrophylla against Sodium Arsenite-Induced Mitochondrial-Dependent Oxidative Stress via the Inhibition of MAPK/Caspase-3 Pathways. Int. J. Mol. Sci. 2017, 18, 1482. [Google Scholar] [CrossRef] [PubMed]
 - Allam, V.; Paudel, K.R.; Gupta, G.; Singh, S.K.; Vishwas, S.; Gulati, M.; Gupta, S.; Chaitanya, M.; Jha, N.K.; Gupta, P.K.; et al. Nutraceuticals and mitochondrial oxidative stress: Bridging the gap in the management of bronchial asthma. Environ. Sci. Pollut. Res. 2022, 29, 62733–62754. [Google Scholar] [CrossRef] [PubMed]
 - Zhang, L.; Wang, C.C. Inflammatory response of macrophages in infection. Hepatobiliary Pancreat. Dis. Int. 2014, 13, 138–152. [Google Scholar] [CrossRef]
 - Ge, H.L.; Zhou, M.; Lv, D.Z.; Wang, M.Y.; Xie, D.F.; Yang, X.F.; Dong, C.Z.; Li, S.H.; Lin, P. Novel Segmented Concentration Addition Method to Predict Mixture Hormesis of Chlortetracycline Hydrochloride and Oxytetracycline Hydrochloride to Aliivibrio fischeri. Int. J. Mol. Sci. 2020, 21, 481. [Google Scholar] [CrossRef]
 - Martin, J.K.; Sheehan, J.P.; Bratton, B.P.; Moore, G.M.; Mateus, A.; Li, S.H.J.; Kim, H.; Rabinowitz, J.D.; Typas, A.; Savitski, M.M.; et al. A Dual-Mechanism Antibiotic Kills Gram-Negative Bacteria and Avoids Drug Resistance. Cell 2020, 181, 1518–1532. [Google Scholar] [CrossRef] [PubMed]
 - Liu, W.B.; Lin, Z.W.; Zhou, Y.; Ye, B.C. Overexpression of Capsular Polysaccharide Biosynthesis Protein in Lactobacillus plantarum P1 to Enhance Capsular Polysaccharide Production for Di-n-butyl Phthalate Adsorption. J. Microbiol. Biotechnol. 2021, 31, 1545–1551. [Google Scholar] [CrossRef]
 - Cizeikiene, D.; Jagelaviciute, J. Investigation of Antibacterial Activity and Probiotic Properties of Strains Belonging to Lactobacillus and Bifidobacterium Genera for Their Potential Application in Functional Food and Feed Products. Probiotics Antimicrob. Proteins 2021, 13, 1387–1403. [Google Scholar] [CrossRef] [PubMed]
 - Jung, J.Y.; Shin, J.S.; Lee, S.G.; Rhee, Y.K.; Cho, C.W.; Hong, H.D.; Lee, K.T. Lactobacillus sakei K040706 evokes immunostimulatory effects on macrophages through TLR 2-mediated activation. Int. Immunopharmacol. 2015, 28, 88–96. [Google Scholar] [CrossRef]
 - Moon, P.D.; Lee, J.S.; Kim, H.Y.; Han, N.R.; Kang, I.; Kim, H.M.; Jeong, H.J. Heat-treated Lactobacillus plantarum increases the immune responses through activation of natural killer cells and macrophages on in vivo and in vitro models. J. Med. Microbiol. 2019, 68, 467–474. [Google Scholar] [CrossRef] [PubMed]
 - Nakamura, K.; Asano, Y.; Taniguchi, T.; Minatsuki, S.; Inaba, T.; Maki, H.; Hatano, M.; Yamashita, T.; Saigusa, R.; Ichimura, Y.; et al. Serum levels of interleukin-18-binding protein isoform a: Clinical association with inflammation and pulmonary hypertension in systemic sclerosis. J. Dermatol. 2016, 43, 912–918. [Google Scholar] [CrossRef] [PubMed]
 - D’Ambrosio, S.; Zaccariello, L.; Sadiq, S.; D’Albore, M.; Battipaglia, G.; D’Agostino, M.; Battaglia, D.; Schiraldi, C.; Cimini, D. Grape Stalk Valorization: An Efficient Re-Use of Lignocellulosic Biomass through Hydrolysis and Fermentation to Produce Lactic Acid from Lactobacillus rhamnosus IMC501. Fermentation 2023, 9, 616. [Google Scholar] [CrossRef]
 - Kumar, M.; Kala, A.; Chaudhary, L.C.; Agarwal, N.; Kochewad, S.A. Microencapsulated and Lyophilized Lactobacillus acidophilus Improved Gut Health and Immune Status of Preruminant Calves. Probiotics Antimicrob. Proteins 2022, 14, 523–534. [Google Scholar] [CrossRef]
 - Wei, J.T.; Li, Z.H.; Fan, Y.; Feng, L.Y.; Zhong, X.L.; Li, W.R.; Guo, T.T.; Ning, X.D.; Li, Z.H.; Ou, C.W. Lactobacillus rhamnosus GG aggravates vascular calcification in chronic kidney disease: A potential role for extracellular vesicles. Life Sci. 2023, 331, 122001. [Google Scholar] [CrossRef]
 - Liu, X.; Xie, J.H.; Jia, S.; Huang, L.X.; Wang, Z.J.; Li, C.; Xie, M.Y. Immunomodulatory effects of an acetylated Cyclocarya paliurus polysaccharide on murine macrophages RAW264.7. Int. J. Biol. Macromol. 2017, 98, 576–581. [Google Scholar] [CrossRef]
 - Liu, Y.W.; Mao, K.M.; Zhang, N.; Chitrakar, B.; Huang, P.M.; Wang, X.H.; Yang, B.; Sang, Y.X. Structural characterization and immunomodulatory effects of extracellular polysaccharide from Lactobacillus paracasei VL8 obtained by gradient ethanol precipitation. J. Food Sci. 2022, 87, 2034–2047. [Google Scholar] [CrossRef] [PubMed]
 - Wang, J.; Fang, X.B.; Wu, T.; Fang, L.; Liu, C.L.; Min, W.H. In vitro immunomodulatory effects of acidic exopolysaccharide produced by Lactobacillus planetarium JLAU103 on RAW264.7 macrophages. Int. J. Biol. Macromol. 2020, 156, 1308–1315. [Google Scholar] [CrossRef] [PubMed]
 - You, X.; Yang, L.; Zhao, X.J.; Ma, K.; Chen, X.H.; Zhang, C.L.; Wang, G.X.; Dong, M.S.; Rui, X.; Zhang, Q.Q.; et al. Isolation, purification, characterization and immunostimulatory activity of an exopolysaccharide produced by Lactobacillus pentosus LZ-R-17 isolated from Tibetan kefir. Int. J. Biol. Macromol. 2020, 158, 408–419. [Google Scholar] [CrossRef] [PubMed]
 - Shi, X.T.; Gu, R.H.; Guo, Y.X.; Xiao, H.N.; Xu, K.F.; Li, Y.; Li, C.C. Capsular polysaccharide-amikacin nanoparticles for improved antibacterial and antibiofilm performance. Int. J. Biol. Macromol. 2023, 244, 125325. [Google Scholar] [CrossRef] [PubMed]
 - Zhao, X.H.; Zou, X.W.; Li, Q.; Cai, X.; Li, L.Y.; Wang, J.R.; Wang, Y.; Fang, C.; Xu, F.; Huang, Y.; et al. Total flavones of fermentation broth by co-culture of Coprinus comatus and Morchella esculenta induces an anti-inflammatory effect on LPS-stimulated RAW264.7 macrophages cells via the MAPK signaling pathway. Microb. Pathog. 2018, 125, 431–437. [Google Scholar] [CrossRef]
 - Emam, S.H.; Sonousi, A.; Osman, E.O.; Hwang, D.; Kim, G.D.; Hassan, R.A. Design and synthesis of methoxyphenyl- and coumarin-based chalcone derivatives as anti-inflammatory agents by inhibition of NO production and down-regulation of NF-κB in LPS-induced RAW264.7 macrophage cells. Bioorganic Chem. 2021, 107, 104630. [Google Scholar] [CrossRef] [PubMed]
 - Zhang, M.Z.; Tian, X.H.; Wang, Y.; Wang, D.D.; Li, W.; Chen, L.; Pan, W.J.; Mehmood, S.; Chen, Y. Immunomodulating activity of the polysaccharide TLH-3 from Tricholomalobayense in RAW264.7 macrophages. Int. J. Biol. Macromol. 2018, 107, 2679–2685. [Google Scholar] [CrossRef] [PubMed]
 - Zhang, S.S.; Nie, S.P.; Huang, D.F.; Huang, J.Q.; Wang, Y.W.; Xie, M.Y. Polysaccharide from Ganoderma atrum Evokes Antitumor Activity via Toll-like Receptor 4-Mediated NF-κB and Mitogen-Activated Protein Kinase Signaling Pathways. J. Agric. Food Chem. 2013, 61, 3676–3682. [Google Scholar] [CrossRef]
 - Strieter, R.M.; Belperio, J.A.; Keane, M.P. Host innate defenses in the lung: The role of cytokines. Curr. Opin. Infect. Dis. 2003, 16, 193–198. [Google Scholar] [CrossRef]
 - Sattler, S. The Role of the Immune System Beyond the Fight Against Infection. In Immunology of Cardiovascular Homeostasis and Pathology; Sattler, S., KennedyLydon, T., Eds.; Springer: Berlin/Heidelberg, Germany, 2017; Volume 1003, pp. 3–14. [Google Scholar]
 - Masotti, A.I.; Buckley, N.; Champagne, C.P.; Green-Johnson, J. Immunomodulatory bioactivity of soy and milk ferments on monocyte and macrophage models. Food Res. Int. 2011, 44, 2475–2481. [Google Scholar] [CrossRef]
 - Ren, C.C.; Zhang, Q.X.; de Haan, B.J.; Zhang, H.; Faas, M.M.; de Vos, P. Identification of TLR2/TLR6 signalling lactic acid bacteria for supporting immune regulation. Sci. Rep. 2016, 6, 34561. [Google Scholar] [CrossRef]
 - Shanahan, F. Molecular mechanisms of probiotic action: It’s all in the strains! Gut 2011, 60, 1026–1027. [Google Scholar] [CrossRef]
 - You, S.Y.; Ma, Y.C.; Yan, B.W.; Pei, W.H.; Wu, Q.M.; Ding, C.; Huang, C.X. The promotion mechanism of prebiotics for probiotics: A review. Front. Nutr. 2022, 9, 1000517. [Google Scholar] [CrossRef]
 - Cruz, N.; Abernathy, G.A.; Dichosa, A.E.K.; Kumar, A. The Age of Next-Generation Therapeutic-Microbe Discovery: Exploiting Microbe-Microbe and Host-Microbe Interactions for Disease Prevention. Infect. Immun. 2022, 90, e00589-21. [Google Scholar] [CrossRef]
 - Nordström, E.A.; Teixeira, C.; Montelius, C.; Jeppsson, B.; Larsson, N. Lactiplantibacillus plantarum 299v (LP299V®): Three decades of research. Benef. Microbes 2021, 12, 441–465. [Google Scholar] [CrossRef]
 - Liu, M.L.; Zhang, X.X.; Hao, Y.P.; Ding, J.H.; Shen, J.; Xue, Z.Y.; Qi, W.; Li, Z.Y.; Song, Y.J.; Zhang, T.C.; et al. Protective effects of a novel probiotic strain, Lactococcus lactis ML2018, in colitis: In vivo and in vitro evidence. Food Funct. 2019, 10, 1132–1145. [Google Scholar] [CrossRef]
 - Wang, J.; Wu, T.; Fang, X.; Min, W.; Yang, Z. Characterization and immunomodulatory activity of an exopolysaccharide produced by Lactobacillus plantarum JLK0142 isolated from fermented dairy tofu. Int. J. Biol. Macromol. 2018, 115, 985–993. [Google Scholar] [CrossRef]
 - Hu, R.J.; Lin, H.; Li, J.; Zhao, Y.Z.; Wang, M.M.; Sun, X.Q.; Min, Y.N.; Gao, Y.P.; Yang, M.M. Probiotic Escherichia coli Nissle 1917-derived outer membrane vesicles enhance immunomodulation and antimicrobial activity in RAW264.7 macrophages. BMC Microbiol. 2020, 20, 268. [Google Scholar] [CrossRef] [PubMed]
 - Liu, L.; Li, H.; Xu, R.H.; Li, P.L. Expolysaccharides from Bifidobacterium animalis RH activates RAW 264.7 macrophages through toll-like receptor 4. Food Agric. Immunol. 2017, 28, 149–161. [Google Scholar] [CrossRef]
 - Kim, D.W.; Cho, S.B.; Lee, H.J.; Chung, W.T.; Kim, K.H.; Hwangbo, J.; Nam, I.S.; Cho, Y.; Yang, M.P.; Chung, I.B. Comparison of cytokine and nitric oxide induction in murine macrophages between whole cell and enzymatically digested Bifidobacterium sp obtained from monogastric animals. J. Microbiol. 2007, 45, 305–310. [Google Scholar] [PubMed]
 - Yamada, H.; Yoshino, M.; Matsumoto, T.; Nagai, T.; Kiyohara, H.; Cyong, J.C.; Nakagawa, A.; Tanaka, H.; Omura, S. Effects of phytosterols on anti-complementary activity. Chem. Pharm. Bull. 1987, 35, 4851–4855. [Google Scholar] [CrossRef] [PubMed]
 - Chon, H.; Choi, B.; Lee, E.; Lee, S.; Jeong, G. Immunomodulatory effects of specific bacterial components of Lactobacillus plantarum KFCC11389P on the murine macrophage cell line RAW 264•7. J. Appl. Microbiol. 2009, 107, 1588–1597. [Google Scholar] [CrossRef]
 - Matsuguchi, T.; Takagi, A.; Matsuzaki, T.; Nagaoka, M.; Ishikawa, K.; Yokokura, T.; Yoshikai, Y. Lipoteichoic acids from Lactobacillus strains elicit strong tumor necrosis factor alpha-inducing activities in macrophages through Toll-like receptor 2. Clin. Vaccine Immunol. 2003, 10, 259–266. [Google Scholar] [CrossRef]
 - Kumar, C.G.; Mongolla, P.; Pombala, S. Lasiosan, a new exopolysaccharide from Lasiodiplodia sp strain B2 (MTCC 6000): Structural characterization and biological evaluation. Process Biochem. 2018, 72, 162–169. [Google Scholar] [CrossRef]
 - Ren, D.Y.; Wang, P.; Liu, C.L.; Wang, J.; Liu, X.Q.; Liu, J.S.; Min, W.H. Hazelnut protein-derived peptide LDAPGHR shows anti-inflammatory activity on LPS-induced RAW264.7 macrophage. J. Funct. Foods 2018, 46, 449–455. [Google Scholar] [CrossRef]
 - Lee, J.M.; Hwang, K.T.; Jun, W.J.; Park, C.S.; Lee, M.Y. Antiinflammatory Effect of Lactic Acid Bacteria: Inhibition of Cyclooxygenase-2 by Suppressing Nuclear Factor-κB in Raw264.7 Macrophage Cells. J. Microbiol. Biotechnol. 2008, 18, 1683–1688. [Google Scholar] [PubMed]
 - Lee, B.; Lee, J.H.; Lee, H.S.; Bae, E.A.; Huh, C.S.; Ahn, Y.T.; Kim, D.H. Glycosaminoglycan Degradation-inhibitory Lactic Acid Bacteria Ameliorate 2,4,6-Trinitrobenzenesulfonic Acid-Induced Colitis in Mice. J. Microbiol. Biotechnol. 2009, 19, 616–621. [Google Scholar] [CrossRef] [PubMed]
 - Chu, H.Q.; Tang, Q.Q.; Huang, H.P.; Hao, W.D.; Wei, X.T. Grape-seed proanthocyanidins inhibit the lipopolysaccharide-induced inflammatory mediator expression in RAW264.7 macrophages by suppressing MAPK and NF-κb signal pathways. Environ. Toxicol. Pharmacol. 2016, 41, 159–166. [Google Scholar] [CrossRef]
 






| Group | Strains | Logarithmic Stage | Culture Time for Cell Experiments | 
|---|---|---|---|
| Group 1 | AU04, AU05, AU06, AU07, AU21, AU78, AU80, AU22, AU26, AU28, AU33, AU51, AU58, AU53, AU68, AU77, AU38, LGG | 2–8 h | 8 h | 
| Group 2 | AU01, AU02, AUc2301, AU10, AU11, AU12, AU13, AU14, AUY2301, AU16, AU17, AU18, AU19, AU20, AU37, AU41, AU42, AU44, AU48, AU49, AU50, AU55, AU62, AU71, AU73 | 1–11 h | 11 h | 
| Group 3 | AU08, AU09, AU27, AU30, AU40, AU47, AU54, AU67, AU74, AU75, AU24, AU72, AU81, AU82, AU83, AU84, AU35 | 6–12 h | 12 h | 
| Group 4 | AU23, AU31, AU32, AU36, AU60, AU61, AU66, AU76, AU29, AU34, AU45, AU56, AU25 | 16–24 h | 24 h | 
| Group 5 | AU39, AU43, AU46, AU52, AU53, AU57, AU59, AU63, AU64, AU65, AU79, AU69 | 8–20 h | 20 h | 
| Strain | Cell Viability (%) | Strain | Cell Viability (%) | Strain | Cell Viability (%) | Strain | Cell Viability (%) | 
|---|---|---|---|---|---|---|---|
| AU04 | 109.36 ± 6.33 | AU12 | 91.07 ± 6.38 | AU09 | 98.05 ± 2.15 | AU34 | 87.36 ± 0.82 | 
| AU05 | 84.81 ± 11.31 | AU13 | 99.50 ± 15.99 | AU27 | 86.10 ± 2.81 | AU36 | 93.06 ± 3.47 | 
| AU06 | 97.91 ± 14.58 | AU14 | 88.20 ± 5.81 | AU30 | 105.72 ± 1.09 | AU56 | 88.57 ± 1.42 | 
| AU07 | 131.10 ± 10.79 | AUY2301 | 132.76 ± 17.11 | AU40 | 89.25 ± 1.13 | AU60 | 97.31 ± 2.95 | 
| AU21 | 83.23 ± 10.89 | AU16 | 97.05 ± 3.44 | AU47 | 97.26 ± 0.24 | AU61 | 108.82 ± 0.42 | 
| AU22 | 73.75 ± 2.28 | AU17 | 146.58 ± 6.45 | AU54 | 83.21 ± 1.47 | AU66 | 74.97 ± 0.98 | 
| AU26 | 102.38 ± 1.73 | AU18 | 90.21 ± 7.61 | AU67 | 73.83 ± 2.57 | AU76 | 108.84 ± 1.47 | 
| AU28 | 75.45 ± 1.26 | AU19 | 90.35 ± 4.63 | AU74 | 102.47 ± 2.64 | AU45 | 84.60 ± 5.43 | 
| AU33 | 81.11 ± 0.38 | AU20 | 95.32 ± 2.07 | AU75 | 99.28 ± 0.44 | AU39 | 120.34 ± 2.09 | 
| AU38 | 104.75 ± 1.64 | AU37 | 104.75 ± 3.84 | AU24 | 82.01 ± 0.95 | AU43 | 89.05 ± 3.76 | 
| AU51 | 128.96 ± 1.91 | AU41 | 152.99 ± 5.29 | AU72 | 77.86 ± 1.63 | AU46 | 73.47 ± 1.63 | 
| AU53 | 91.18 ± 2.12 | AU42 | 98.92 ± 1.76 | AU81 | 92.30 ± 1.51 | AU52 | 115.29 ± 0.42 | 
| AU58 | 109.63 ± 1.63 | AU44 | 89.90 ± 2.38 | AU82 | 104.99 ± 1.43 | AU57 | 117.17 ± 0.76 | 
| AU68 | 111.04 ± 1.96 | AU48 | 103.60 ± 5.17 | AU83 | 105.60 ± 0.68 | AU59 | 127.54 ± 0.50 | 
| AU77 | 101.04 ± 1.96 | AU49 | 133.60 ± 5.17 | AU84 | 98.26 ± 1.55 | AU63 | 119.33 ± 3.76 | 
| AU80 | 77.86 ± 1.85 | AU50 | 142.19 ± 1.68 | AU35 | 93.86 ± 1.33 | AU64 | 145.32 ± 0.97 | 
| AU01 | 88.48 ± 8.84 | AU55 | 111.59 ± 5.86 | AU23 | 102.29 ± 2.19 | AU65 | 71.66 ± 3.35 | 
| AU02 | 96.26 ± 9.93 | AU62 | 96.51 ± 3.52 | AU25 | 96.51 ± 2.87 | AU79 | 113.47 ± 3.03 | 
| AUc2301 | 132.32 ± 8.61 | AU71 | 111.31 ± 1.65 | AU29 | 97.34 ± 2.85 | AU69 | 79.54 ± 24.43 | 
| AU10 | 87.98 ± 5.95 | AU73 | 128.06 ± 1.91 | AU31 | 127.81 ± 0.99 | AU78 | 77.86 ± 1.85 | 
| AU11 | 91.94 ± 6.38 | AU08 | 92.08 ± 2.74 | AU32 | 92.79 ± 0.25 | LGG | 128.96 ± 1.91 | 
| AU53 | 91.18 ± 1.53 | con | 100% | 
| Strain | Species | Source | 
|---|---|---|
| AUc2301 | Limosilactobacillus reuteri | Cat feces | 
| AU07 | Pediococcus acidilactici | Cat feces | 
| AUY2301 | Lactiplantibacillus plantarum | Southern milk source | 
| AU17 | Lactobacillus brevis | Southern milk source | 
| AU41 | Lacticaseibacillus rhamnosus | Southern milk source | 
| AU49 | Pediococcus acidilactici | Dog manure | 
| AU50 | Pediococcus acidilactici | Dog manure | 
| AU64 | Lactiplantibacillus plantarum | Breast milk | 
Disclaimer/Publisher’s Note: The statements, opinions and data contained in all publications are solely those of the individual author(s) and contributor(s) and not of MDPI and/or the editor(s). MDPI and/or the editor(s) disclaim responsibility for any injury to people or property resulting from any ideas, methods, instructions or products referred to in the content.  | 
© 2024 by the authors. Licensee MDPI, Basel, Switzerland. This article is an open access article distributed under the terms and conditions of the Creative Commons Attribution (CC BY) license (https://creativecommons.org/licenses/by/4.0/).
Share and Cite
Lu, Y.; Wu, Y.; Pan, L.; Wang, J.; Tang, R.; Deng, F.; Kang, W.; Zhao, L. In Vitro Screening of Lactic Acid Bacteria with RAW264.7 Macrophages and the Immunoregulatory Mechanism. Processes 2024, 12, 903. https://doi.org/10.3390/pr12050903
Lu Y, Wu Y, Pan L, Wang J, Tang R, Deng F, Kang W, Zhao L. In Vitro Screening of Lactic Acid Bacteria with RAW264.7 Macrophages and the Immunoregulatory Mechanism. Processes. 2024; 12(5):903. https://doi.org/10.3390/pr12050903
Chicago/Turabian StyleLu, Yuemei, Yanyang Wu, Lina Pan, Jiaqi Wang, Rongxue Tang, Fangming Deng, Wenli Kang, and Lingyan Zhao. 2024. "In Vitro Screening of Lactic Acid Bacteria with RAW264.7 Macrophages and the Immunoregulatory Mechanism" Processes 12, no. 5: 903. https://doi.org/10.3390/pr12050903
APA StyleLu, Y., Wu, Y., Pan, L., Wang, J., Tang, R., Deng, F., Kang, W., & Zhao, L. (2024). In Vitro Screening of Lactic Acid Bacteria with RAW264.7 Macrophages and the Immunoregulatory Mechanism. Processes, 12(5), 903. https://doi.org/10.3390/pr12050903
        
                                                
