Improving Microalgae Feasibility Cultivation: Preliminary Results on Exhausted Medium Reuse Strategy
Abstract
1. Introduction
- Reduce operating costs;
- Reduce competition with human use of water;
- Increase process sustainability [15].
2. Materials and Methods
2.1. Strain Selection and Culture Medium
2.2. Growth Test Operating Conditions
2.3. Culture Monitoring
- Solid–liquid methanol extraction in the dark at 36 °C for 24 h;
- Extracted samples were centrifuged;
- Chlorophyll concentration was measured in the liquid phase spectrophotometrically.
2.4. Medium Recycle and Purge Ratio
3. Results and Discussion
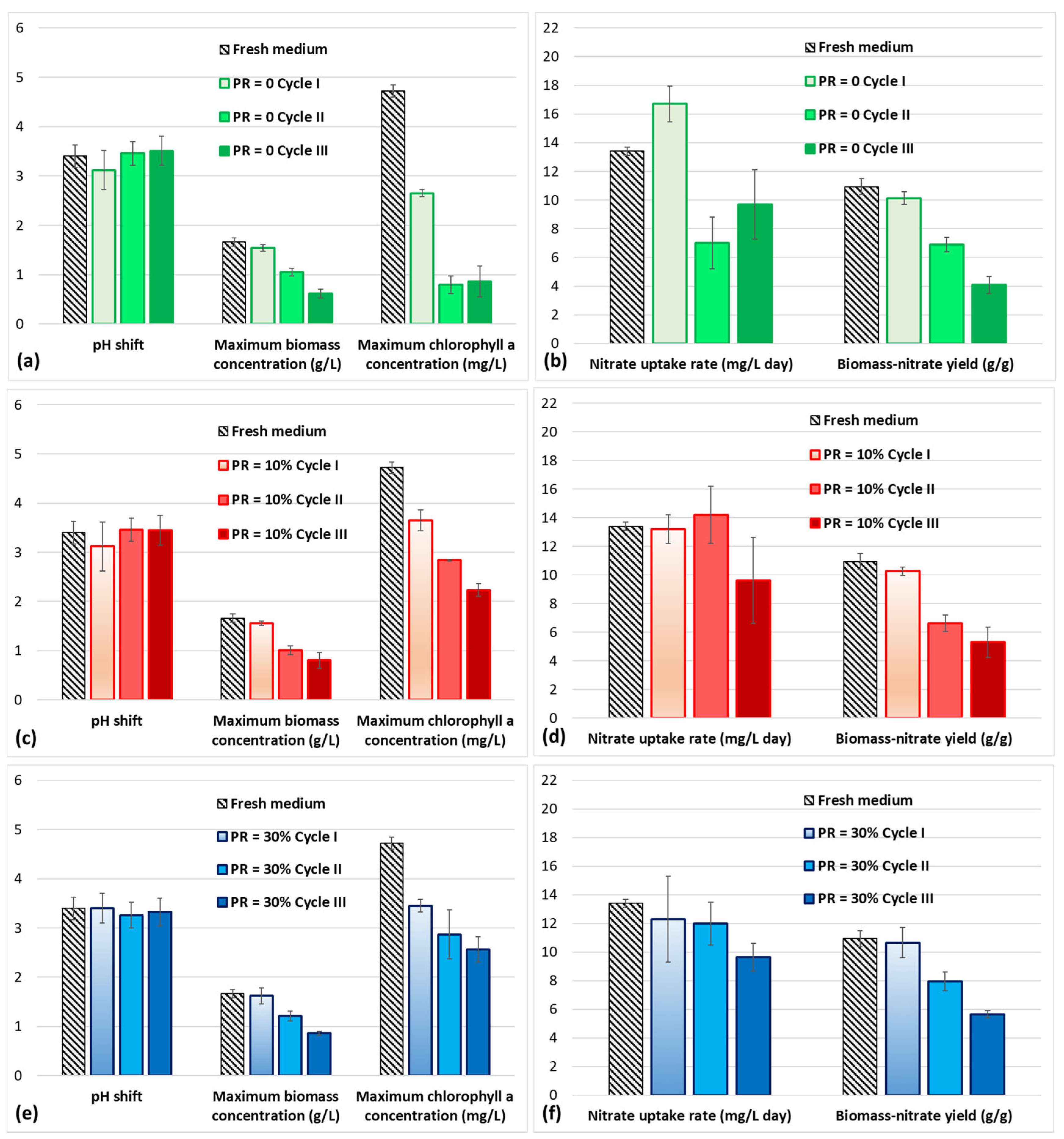
- The maximum biomass concentration decreases slightly in the batch growth cycle, ranging around 1.28 ± 0.27 g/L at PR = 0% and 1.45 ± 0.11 g/L at PR = 20%. Notably, at PR = 20%, maximum biomass concentration is comparable to that measured in the fresh medium test (1.65 ± 0.12 g/L), although it is achieved later, resulting in a lower biomass growth rate, as indicated in Figure 2a;
- Nitrate is fully consumed during each growth cycle and within the same time frame, except for the third batch at PR = 0%, which indicates that cells can still absorb substrates in reused media;
- The biomass–nitrate yield decreases with each successive cycle because the achievable biomass concentration decreases, although the nitrate absorbed remains consistent in each test;
- The maximum chlorophyll concentration significantly declines with each cycle except at PR = 30%, where the chlorophyll levels are similar to those in fresh medium cultivation;
- A negligible pH shift (difference between final and initial pH) occurs at all PRs and growth cycles, indicating no significant changes in the electrochemistry of the liquid phase or impact on CO2 absorption. This consistent pH shift is due to the complete depletion of nitrate and the consistent CO2 supply system used in each test.
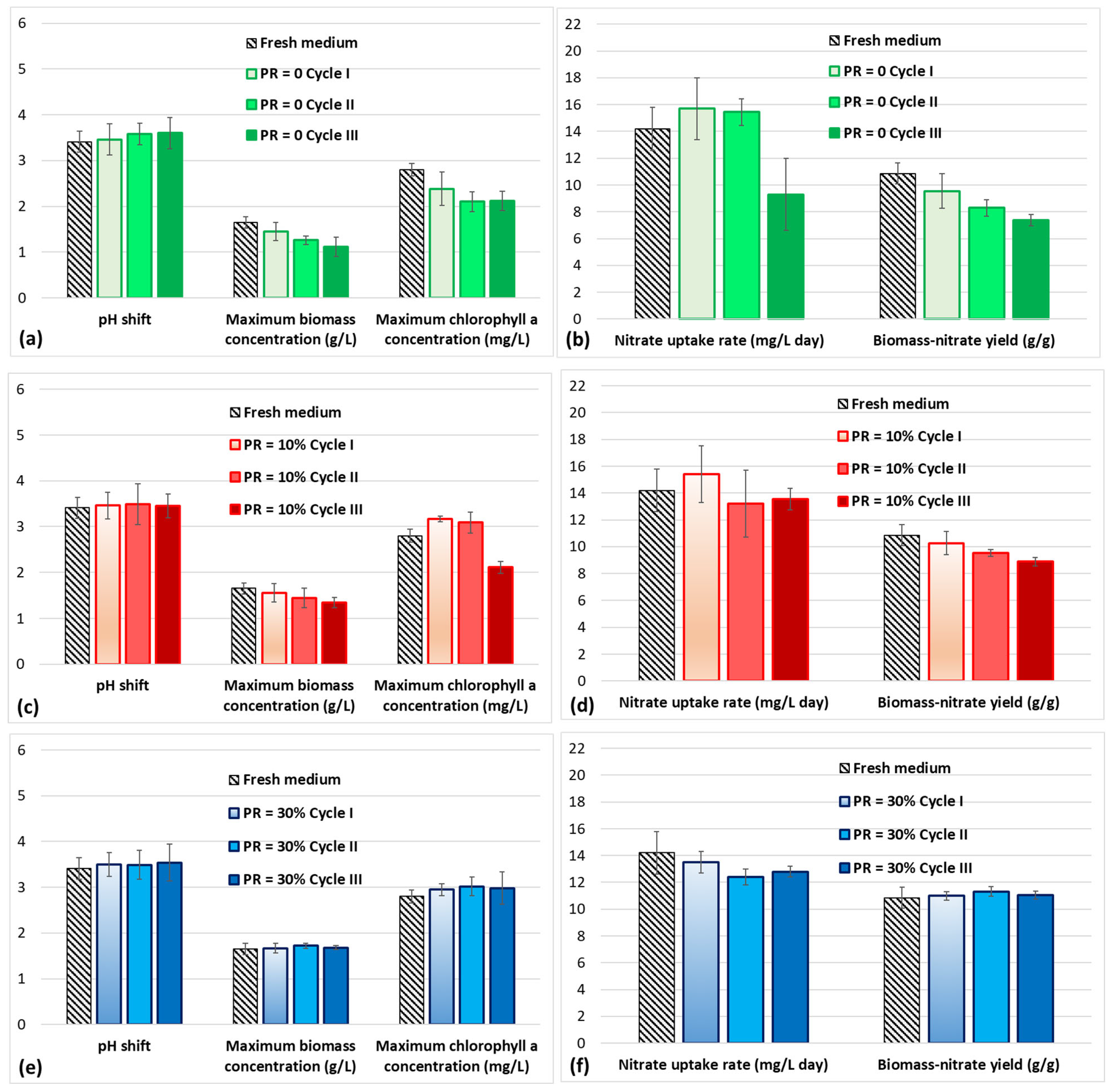
- The decline in chlorophyll content is significantly more pronounced, even at PR = 30%, and the average chlorophyll content of C. vulgaris (4.72 ± 0.12 mg/L) is higher than that of P. simplex (2.8 ± 0.14 mg/L) in fresh medium cultivation, as shown in Figure 3;
- The decrease in the maximum biomass concentration with the cycle number is coupled with a sharp decrease in biomass–nitrate mass yield;
- Similarly to P. simplex, the complete depletion of nitrate results in a consistent pH shift in each test, indicating that the reduction in biomass–nitrate yield is solely due to the lower achievable biomass concentration;
- The nitrate uptake rate is affected by both PR and growth cycle: at PR = 0%, after the second batch, it significantly drops down to 6.2 ± 1.8 mg/L day;
- Even purging 30% of medium before recycling, C. vulgaris can only be cultivated in partly exhausted medium for one additional batch.
Results Comparison and Validation
4. Conclusions
Author Contributions
Funding
Data Availability Statement
Acknowledgments
Conflicts of Interest
References
- Behera, B.; Selvam, M.; Paramasivan, B. Research trends and market opportunities of microalgal biorefinery technologies from circular bioeconomy perspectives. Bioresour. Technol. 2022, 351, 127038. [Google Scholar] [CrossRef]
- Yang, Y.; Ge, S.; Pan, Y.; Qian, W.; Wang, S.; Zhang, J.; Zhuang, L.L. Screening of microalgae species and evaluation of algal-lipid stimulation strategies for biodiesel production. Sci. Total Environ. 2023, 857, 159281. [Google Scholar] [CrossRef]
- Wang, Y.; Tibbetts, S.M.; Mcginn, P.J. Microalgae as Sources of High-Quality Protein for Human Food and Protein Supplements. Foods 2021, 10, 3200. [Google Scholar] [CrossRef]
- Lucakova, S.; Branyikova, I.; Hayes, M. Microalgal Proteins and Bioactives for Food, Feed, and Other Applications. Appl. Sci. 2022, 12, 4402. [Google Scholar] [CrossRef]
- Kumar, R.; Hegde, A.S.; Sharma, K.; Parmar, P.; Srivatsan, V. Microalgae as a sustainable source of edible proteins and bioactive peptides—Current trends and future prospects. Food Res. Int. 2022, 157, 111338. [Google Scholar] [CrossRef]
- Kapoor, S.; Singh, M.; Srivastava, A.; Chavali, M.; Chandrasekhar, K.; Verma, P. Extraction and characterization of microalgae-derived phenolics for pharmaceutical applications: A systematic review. J. Basic Microbiol. 2022, 62, 1044–1063. [Google Scholar] [CrossRef]
- Hachicha, R.; Elleuch, F.; Hlima, H.B.; Dubessay, P.; De Baynast, H.; Delattre, C.; Pierre, G.; Hachicha, R.; Abdelkafi, S.; Michaud, P.; et al. Biomolecules from Microalgae and Cyanobacteria: Applications and Market Survey. Appl. Sci. 2022, 12, 1924. [Google Scholar] [CrossRef]
- Gifuni, I.; Pollio, A.; Safi, C.; Marzocchella, A.; Olivieri, G. Current Bottlenecks and Challenges of the Microalgal Biorefinery. Trends Biotechnol. 2019, 37, 242–252. [Google Scholar] [CrossRef]
- Kratzer, R.; Murkovic, M. Food ingredients and nutraceuticals from microalgae: Main product classes and biotechnological production. Foods 2021, 10, 1626. [Google Scholar] [CrossRef] [PubMed]
- Daneshvar, E.; Sik Ok, Y.; Tavakoli, S.; Sarkar, B.; Shaheen, S.M.; Hong, H.; Luo, Y.; Rinklebe, J.; Song, H.; Bhatnagar, A. Insights into upstream processing of microalgae: A review. Bioresour. Technol. 2021, 329, 124870. [Google Scholar] [CrossRef] [PubMed]
- Wang, Z.; Cheng, J.; Song, W.; Du, X.; Yang, W. CO2 gradient domestication produces gene mutation centered on cellular light response for efficient growth of microalgae in 15% CO2 from flue gas. Chem. Eng. J. 2022, 429, 131968. [Google Scholar] [CrossRef]
- Leong, W.H.; Rawindran, H.; Ameen, F.; Alam, M.M.; Chai, Y.H.; Ho, Y.C.; Lam, M.K.; Lim, J.W.; Tong, W.Y.; Bashir, M.J.K.; et al. Advancements of microalgal upstream technologies: Bioengineering and application aspects in the paradigm of circular bioeconomy. Chemosphere 2023, 339, 139699. [Google Scholar] [CrossRef]
- Abreu, A.P.; Morais, R.C.; Teixeira, J.A.; Nunes, J. A comparison between microalgal autotrophic growth and metabolite accumulation with heterotrophic, mixotrophic and photoheterotrophic cultivation modes. Renew. Sustain. Energy Rev. 2022, 159, 112247. [Google Scholar] [CrossRef]
- Ruiz, J.S.; Olivieri, G.; De Vree, J.; Bosma, R.; Willems, P.; Reith, J.H.; Eppink, M.H.M.; Kleinegris, D.M.M.; Wijffels, R.H.; Barbosa, M.J. Towards industrial products from microalgae. Energy Environ. Sci. 2016, 9, 3036. [Google Scholar] [CrossRef]
- Pugazhendhi, A.; Nagappan, S.; Bhosale, R.R.; Tsai, P.C.; Natarajan, S.; Devendran, S.; Al-Haj, L.; Ponnusamy, V.K.; Kumar, G. Various potential techniques to reduce the water footprint of microalgal biomass production for biofuel—A review. Sci. Total Environ. 2020, 749, 142218. [Google Scholar] [CrossRef]
- Martins, A.A.; Marques, F.; Cameira, M.; Santos, E.; Badenes, S.; Costa, L.; Vieira, V.V.; Caetano, N.S.; Mata, T.M. Water footprint of microalgae cultivation in photobioreactor. Energy Procedia 2018, 153, 426–431. [Google Scholar] [CrossRef]
- Yang, J.; Xu, M.; Zhang, X.; Hu, Q.; Sommerfeld, M.; Chen, Y. Life-cycle analysis on biodiesel production from microalgae: Water footprint and nutrients balance. Bioresour. Technol. 2011, 102, 159–165. [Google Scholar] [CrossRef]
- Yang, F.F.; Xiang, W.Z.; Fan, J.W.; Wu, H.L.; Li, T.; Long, L.J. High pH-induced flocculation of marine Chlorella sp. for biofuel production. J. Appl. Phycol. 2016, 28, 747–756. [Google Scholar] [CrossRef]
- Richter, L.V.; Mansfeldt, C.B.; Kuan, M.M.; Cesare, A.E.; Menefee, S.T.; Richardson, R.E.; Ahner, B.A. Altered Microbiome Leads to Significant Phenotypic and Transcriptomic Differences in a Lipid Accumulating Chlorophyte. Environ. Sci. Technol. 2018, 52, 6854–6863. [Google Scholar] [CrossRef] [PubMed]
- Farooq, W.; Moon, M.; Ryu, B.G.; Suh, W.I.; Shrivastav, A.; Park, M.S.; Mishra, S.K.; Yang, J.W. Effect of harvesting methods on the reusability of water for cultivation of Chlorella vulgaris, its lipid productivity and biodiesel quality. Algal Res. 2015, 8, 1–7. [Google Scholar] [CrossRef]
- Zhu, L.D.; Takala, J.; Hiltunen, E.; Wang, Z.M. Recycling harvest water to cultivate Chlorella zofingiensis under nutrient limitation for biodiesel production. Bioresour. Technol. 2013, 144, 14–20. [Google Scholar] [CrossRef] [PubMed]
- Discart, V.; Bilad, M.R.; Marbelia, L.; Vankelecom, I.F. Impact of changes in broth composition on Chlorella vulgaris cultivation in a membrane photobioreactor (MPBR) with permeate recycle. Bioresour. Technol. 2014, 152, 321–328. [Google Scholar] [CrossRef] [PubMed]
- Boggess, C.D. Optimization of Growth Parameters for Algal Regrowth Potential Experiments, Civil and Environmental Engineering; California Polytechnic State University: San Luis Obispo, CA, USA, 2014; p. 77. [Google Scholar]
- Abdelfattah, A.; Ali, S.S.; Ramadan, H.; El-Aswar, E.I.; Eltawab, R.; Ho, S.H.; Elsamahy, T.; Li, S.; El-Sheekh, M.M.; Schagerl, M.; et al. Microalgae-based wastewater treatment: Mechanisms, challenges, recent advances, and future prospects. Environ. Sci. Ecotechnol. 2023, 13, 100205. [Google Scholar] [CrossRef] [PubMed]
- Aditya, L.; Vu, H.P.; Nguyen, L.N.; Mahlia, T.M.I.; Hoang, N.B.; Nghiem, L.D. Microalgae enrichment for biomass harvesting and water reuse by ceramic microfiltration membranes. J. Membr. Sci. 2023, 669, 121287. [Google Scholar] [CrossRef]
- Malaguti, M.; Craveri, L.; Ricceri, F.; Riggio, V.; Zanetti, M.; Tiraferri, A. Dewatering of Scenedesmus Obliquus Cultivation Substrate with Microfiltration: Potential and Challenges for Water Reuse and Effective Harvesting. Engineering, 2023; in press. [Google Scholar] [CrossRef]
- Lu, Z.; Loftus, S.; Sha, J.; Wang, W.; Park, M.S.; Zhang, X.; Johnson, Z.I.; Hu, Q. Water Reuse for Sustainable Microalgae Cultivation: Current Knowledge and Future Directions. Resour. Conserv. Recycl. 2020, 161, 104975. [Google Scholar] [CrossRef]
- Silva, D.A.; Cardoso, L.G.; de Jesus Silva, J.S.; de Souza, C.O.; Lemos, P.V.F.; de Almeida, P.F.; de Souza Ferreira, E.; Lombardi, A.T.; Druzian, J.I. Strategy for the cultivation of Chlorella vulgaris with high biomass production and biofuel potential in wastewater from the oil industry. Environ. Technol. Innov. 2022, 25, 102204. [Google Scholar] [CrossRef]
- Broady, P.A. The morphology, distribution and ecology of Pseudococcomyxa simplex (Mainx) Fott (Chlorophyta, Chlorellaceae), a widespread terrestrial Antarctic alga. Polar Biol. 1987, 7, 25–30. [Google Scholar] [CrossRef]
- Armstrong, F.A.J. Determination of nitrate in water by ultraviolet spectrophotometry. Analyt. Chem. 1963, 35, 1292–1294. [Google Scholar] [CrossRef]
- Wellburn, A.R. The Spectral Determination of Chlorophylls a and b, as well as Total Carotenoids, Using Various Solvents with Spectrophotometers of Different Resolution. J. Plant Physiol. 1994, 144, 307–313. [Google Scholar] [CrossRef]
- Lee, K.; Lee, S.Y.; Na, J.G.; Jeon, S.G.; Praveenkumar, R.; Kim, D.M.; Chang, W.S.; Oh, Y.K. Magnetophoretic harvesting of oleaginous Chlorella sp. by using biocompatible chitosan/magnetic nanoparticle composites. Bioresour. Technol. 2013, 149, 575–578. [Google Scholar] [CrossRef]
- Wu, Z.C.; Zhu, Y.; Huang, W.Y.; Zhang, C.W.; Li, T.; Zhang, Y.M.; Li, A.F. Evaluation of flocculation induced by pH increase for harvesting microalgae and reuse of flocculated medium. Bioresour. Technol. 2012, 110, 496–502. [Google Scholar] [CrossRef]
- Hadj-Romdhane, F.; Zheng, X.; Jaouen, P.; Pruvost, J.; Grizeau, D.; Croué, J.; Bourseau, P. The culture of Chlorella vulgaris in a recycled supernatant: Effects on biomass production and medium quality. Bioresour. Technol. 2013, 132, 285–292. [Google Scholar] [CrossRef] [PubMed]




| Compounds | Final Concentration (g/L) |
|---|---|
| NaNO3 | 0.25 |
| CaCl2 | 0.0187 |
| MGSO4*7H2O | 0.075 |
| K2HPO4 | 0.175 |
| NaCl | 0.025 |
| KH2PO4 | 0.175 |
| EDTA | 0.05 |
| H3BO3 | 0.01142 |
| FeSO4*7H2O | 0.0075 |
| MnCl2*4H2O | 0.000025 |
| ZnCl2*2H2O | 0.00004 |
| CaCl2*6H2O | 0.000012 |
| Na2MoO4*2H2O | 0.000024 |
Disclaimer/Publisher’s Note: The statements, opinions and data contained in all publications are solely those of the individual author(s) and contributor(s) and not of MDPI and/or the editor(s). MDPI and/or the editor(s) disclaim responsibility for any injury to people or property resulting from any ideas, methods, instructions or products referred to in the content. |
© 2024 by the authors. Licensee MDPI, Basel, Switzerland. This article is an open access article distributed under the terms and conditions of the Creative Commons Attribution (CC BY) license (https://creativecommons.org/licenses/by/4.0/).
Share and Cite
Marra, L.; Aurino, E.; Raganati, F.; Pollio, A.; Marzocchella, A. Improving Microalgae Feasibility Cultivation: Preliminary Results on Exhausted Medium Reuse Strategy. Processes 2024, 12, 1029. https://doi.org/10.3390/pr12051029
Marra L, Aurino E, Raganati F, Pollio A, Marzocchella A. Improving Microalgae Feasibility Cultivation: Preliminary Results on Exhausted Medium Reuse Strategy. Processes. 2024; 12(5):1029. https://doi.org/10.3390/pr12051029
Chicago/Turabian StyleMarra, Luigi, Elena Aurino, Francesca Raganati, Antonino Pollio, and Antonio Marzocchella. 2024. "Improving Microalgae Feasibility Cultivation: Preliminary Results on Exhausted Medium Reuse Strategy" Processes 12, no. 5: 1029. https://doi.org/10.3390/pr12051029
APA StyleMarra, L., Aurino, E., Raganati, F., Pollio, A., & Marzocchella, A. (2024). Improving Microalgae Feasibility Cultivation: Preliminary Results on Exhausted Medium Reuse Strategy. Processes, 12(5), 1029. https://doi.org/10.3390/pr12051029

