Study on the Mechanical and Permeability Evolution of a Composite Rock Mass in an Aquifuge Under Hydraulic Coupling
Abstract
1. Introduction
2. Experimental Setup and Methods
2.1. Specimen Preparation
2.2. Testing Equipment
2.3. Computed Tomography Scanning Test Equipment and Methods
3. Experimental Results and Discussion
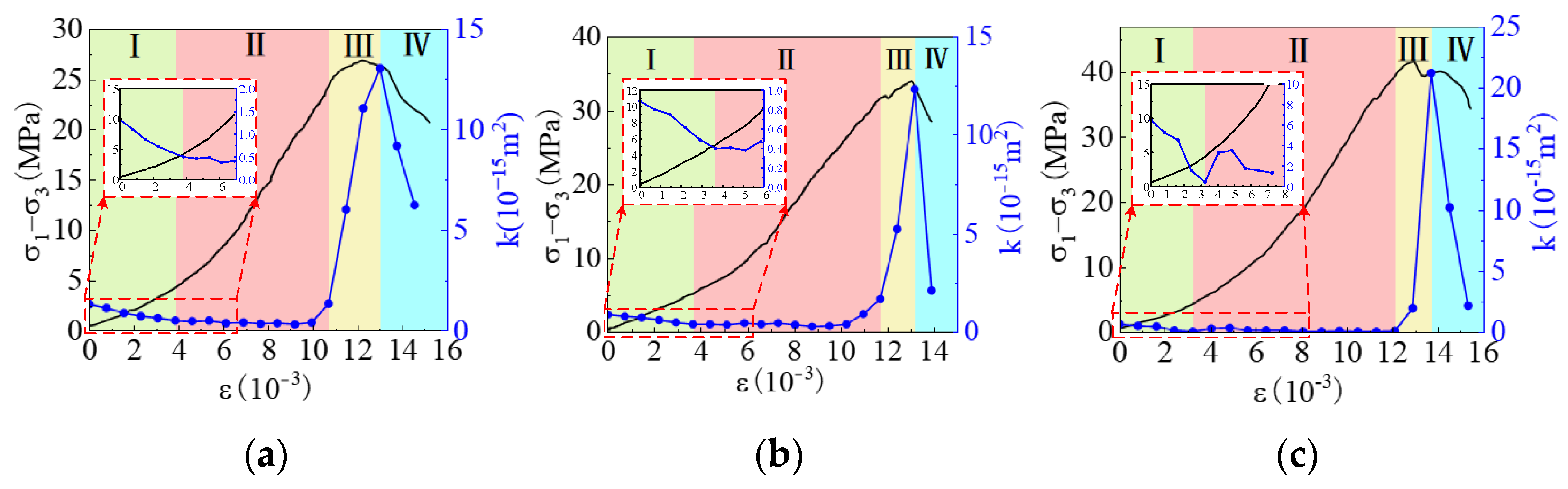
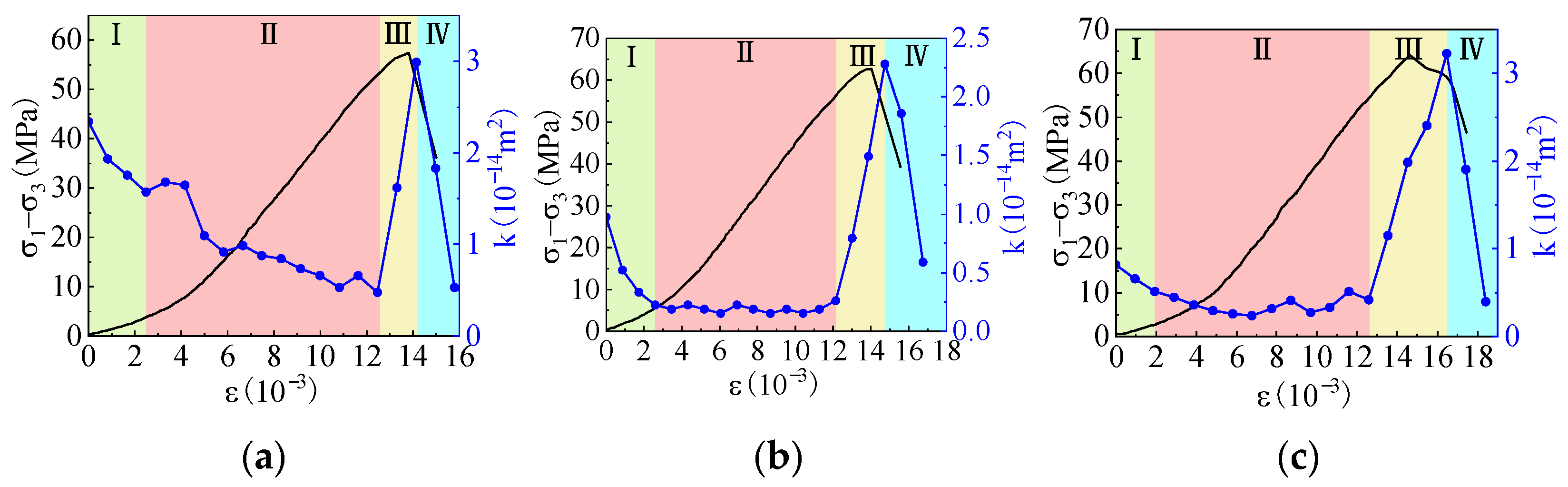
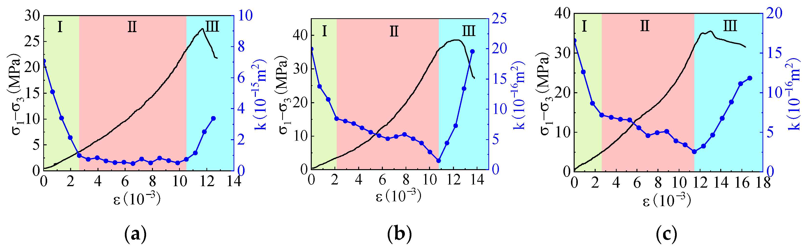
3.1. Changes in Stress and Permeability
3.2. Failure Mode
3.3. Analysis of Mechanics and Permeability Differences
3.4. Computed Tomography Results
3.4.1. Evolution Characteristics of Rock Mass Fractures
3.4.2. Pore Network Characteristics of Rock
3.4.3. Seepage Rock Characteristics
4. Discussion
5. Conclusions
- (1)
- The stress–strain curves of single and combined rock samples exhibited similar trends. The stages were divided into pore compaction, linear elastic, yield deformation, and post-peak deformation. The permeability of single rock samples exhibited an “N”-shaped pattern, passing through four stages: decreasing (I), stable (II), sudden increase (III), and rebound (IV). For the combined rock samples, permeability exhibited a “U”-shaped trend with three stages: decreasing (I), stable stage (II), and increasing (III).
- (2)
- As confining pressure increased, the degree of rock failure decreased. The failure mode shifted from tensile–shear to shear. A macroscopic crack was observed on the entire single rock sample surface. In the combined rock sample, cracks primarily developed in the upper mudstone, while the lower sandstone component remained intact.
- (3)
- The peak strengths of both sample rock types increased with a higher confining pressure. Mudstone exhibited the lowest peak strength, while sandstone exhibited the highest. The strength of the combined samples fell between these two single lithologies. The mechanical properties of the combined rock sample were comprehensively affected by the interaction between rock layers. The permeability of the rock sample decreased with increasing confining pressure. Single rock samples exhibited a lower permeability compared to the combined samples, owing to concentrated deformation in the weaker mudstone component.
- (4)
- The 3D reconstruction indicated that the cracks in the single rock samples extended through the entire rock sample, while cracks in the combined samples stopped at the interface between the two layers. The theoretical permeability calculations indicated a more complex flow velocity distribution in mudstone, with more seepage channels and a higher connectivity compared to the combined samples. These results correlated with the experimental results.
Author Contributions
Funding
Data Availability Statement
Acknowledgments
Conflicts of Interest
References
- Kang, H.P. Temporal scale analysis on coal mining and strata control technologies. J. Min. Strat. Control Eng. 2020, 2, 023538. [Google Scholar]
- Wang, K.; Li, J.Z.; Jin, Z.P. Influence of the primary key stratum on surface subsidenceduring longwall mining. Sustainability 2022, 14, 15027. [Google Scholar] [CrossRef]
- Liu, X.J.; Cheng, Z.B. Changes in subsidence-field surface movement in shallow-seam coal mining. J. S. Afr. Inst. Min. Metall. 2019, 119, 201–206. [Google Scholar] [CrossRef]
- Zhang, N.; Xu, X.L.; Li, G.C. Fissure-evolving laws of surrounding rock mass of roadway and control of seepage disasters. Chin. J. Rock Mech. Eng. 2009, 28, 330–335. [Google Scholar]
- Yin, L.M.; Ma, K.; Chen, J.T.; Xue, Y.C.; Wang, Z.Q.; Cui, B.Q. Mechanical model on water inrush assessment related to deep mining above multiple aquifers. Mine Water Environ. 2019, 38, 827–836. [Google Scholar] [CrossRef]
- Zuo, J.P.; Chen, Y.; Zhang, J.W.; Wang, J.T.; Sun, Y.J.; Jiang, G.H. Failure behavior and strength characteristics of coal- rock combined body under different confining pressures. J. China Coal Soc. 2016, 41, 2706–2713. [Google Scholar]
- Zuo, J.P.; Song, H.Q. Study on energy evolution law and differential energy instability model of coal-rock combined body. J. China Coal Soc. 2022, 47, 3037–3051. [Google Scholar]
- Meng, Z.P.; Yi, W.; Lan, H.; Wang, M. Water inrush characteristics of fangezhuang coalmine filed in Kailuan and its geological condition analysis of water inrush from coal seam floor. Chin. J. Rock Mech. Eng. 2009, 28, 228–237. [Google Scholar]
- Cao, S.G.; Li, G.F.; Yao, Q.L.; Wang, F.H. Prediction of quantity of water inrush from coal seam floor and its reinforcement technique by grounting. Chin. J. Rock Mech. Eng. 2009, 28, 312–318. [Google Scholar]
- Wu, Q.; Li, B.; LI, S.Q.; Zeng, Y.F. Vulnerability assessment of coal floor groundwater bursting based on zoning variable weight model: A case study in the typical mining region of Kailuan. J. China Coal Soc. 2013, 38, 1516–1521. [Google Scholar]
- Xu, C.; Wang, W.H.; Wang, K.; Hu, K.; Cao, Z.G.; Zhang, Y. Influence of coal-rock interface inclination on the damage and failure law of original coal-rock combination. Eng. Fail. Anal. 2024, 161, 108275. [Google Scholar] [CrossRef]
- Du, F.; Zhang, Y.; Dai, L.C.; Cui, W.L.; Wang, B.; Sun, J.Z. Research on multi-physical field characteristics of deep coal seam mining based on the rock-coal-rock model. Processes 2024, 12, 726. [Google Scholar] [CrossRef]
- Yu, X.; Kemeny, J.; Li, J.L.; Song, W.D.; Tan, Y.Y. 3D observations of fracturing in rock-backfill composite specimens under triaxial loading. Rock Mech. Rock Eng. 2021, 54, 6009–6022. [Google Scholar] [CrossRef]
- Zuo, J.P.; Xie, H.P.; Wu, A.M.; Liu, J.F. Investigation on failure mechanisms and mechanical behaviors of deep coal-rock single body and combined body. Chin. J. Rock Mech. Eng. 2011, 30, 84–92. [Google Scholar]
- Zuo, J.P.; Xie, H.P.; Meng, B.B.; Liu, J.F. Experimental research on loading-unloading behavior of coal-rock combination bodies at different stress levels. Rock Soil Mech. 2011, 32, 1287–1296. [Google Scholar]
- Zuo, J.P.; Wang, Z.F.; Zhou, H.W.; Pei, J.L.; Liu, J.F. Failure behavior of a rock-coal-rock combined body with a weak coal interlayer. Int. J. Min. Sci. Technol. 2013, 23, 907–912. [Google Scholar] [CrossRef]
- Chen, G.B.; Li, T.; Yang, L.; Zhang, G.H.; Li, J.W.; Dong, H.J. Mechanical properties and failure mechanism of combined bodies with different coal -rock ratios and combinations. J. Min. Strat. Control Eng. 2020, 41, 2021–2033. [Google Scholar]
- Yang, K.; Liu, W.J.; Ma, Y.K.; Dou, L.T.; Liu, S.; Wei, Z.; Xu, R.J. Experimental research on dynamic characteristics of coal-rock combined specimen. J. China Coal Soc. 2022, 47, 2569–2581. [Google Scholar]
- Yang, K.; Liu, W.J.; Ma, Y.K.; Xu, R.J.; Chi, X.L. Experimental study of impact failure characteristics of coal-rock combination bodies under true triaxial loading and single face unloading. Rock Soil Mech. 2022, 43, 15–27. [Google Scholar]
- Skrzypkowski, K.; Zagorski, K.; Zagorska, A. Determination of the extent of the rock destruction zones around a gasification channel on the basis of strength tests of sandstone and claystone samples heated at high temperatures up to 1200 °C and exposed to water. Energies 2021, 14, 6464. [Google Scholar] [CrossRef]
- Guo, D.M.; Zuo, J.P.; Zhang, Y.; Yang, R.S. Research on strength and failure mechanism of deep coal-rock combination bodies of different inclined angles. Rock Soil Mech. 2011, 32, 1333–1339. [Google Scholar]
- Zhang, Z.T.; Liu, J.F.; Wang, L.; Yang, H.T.; Zuo, J.P. Effects of combination mode on mechanical properties and failure characteristics of the coal- rock combinations. J. China Coal Soc. 2012, 37, 1677–1681. [Google Scholar]
- Bai, J.W.; Feng, G.R.; Wang, Z.H.; Wang, S.Y.; Qi, T.Y.; Wang, P.F. Experimental investigations on the progressive failure characteristics of a sandwiched coal-rock system under uniaxial compression. Appl. Sci. 2019, 9, 1195. [Google Scholar] [CrossRef]
- Huang, B.X.; Liu, J.W. The effect of loading rate on the behavior of samples composed of coal and rock. Int. J. Rock Mech. Min. Sci. 2013, 61, 23–30. [Google Scholar] [CrossRef]
- Gong, F.Q.; Ye, H.; Luo, Y. The effect of high loading rate on the behaviour and mechanical properties of coal-rock combined body. Shock Vib. 2018, 2018, 4374530. [Google Scholar] [CrossRef]
- Liu, J.; Wang, E.Y.; Song, D.Z.; Wang, S.H.; Niu, Y. Effect of rock strength on failure mode and mechanical behavior of composite samples. Arab. J. Geosci. 2015, 8, 4527–4539. [Google Scholar] [CrossRef]
- Yang, L.; Gao, F.Q.; Wang, X.Q. Mechanical response and energy partition evolution of coal-rock combinations with different strength ratios. Chin. J. Rock Mech. Eng. 2020, 39, 3297–3305. [Google Scholar]
- Chen, S.J.; Yin, D.W.; Zhang, B.L.; Ma, H.F.; Liu, X.Q. Mechanical characteristics and progressive failure mechanism of roof-coal pillar structure. Chin. J. Rock Mech. Eng. 2017, 36, 1588–1598. [Google Scholar]
- Pan, B.; Yu, W.J.; Shen, W.B. Experimental study on energy evolution and failure characteristics of rock-coal-rock combination with different height ratios. Geotech. Geol. Eng. 2021, 39, 425–435. [Google Scholar] [CrossRef]
- Hamed, L.R.; Peyman, M.; Ryan, T.A.; Mohammad, S.; Pinczewskia, W.V. Porosity and permeability characterization of coal: A micro-computed tomography study. Int. J. Coal Geol. 2016, 154, 57–68. [Google Scholar]
- Mohammed, A.A. Research note: Permeability control on the relationship between nuclear magnetic resonance (NMR) measured porosity and routine core porosity. Arab. J. Geosci. 2016, 9, 350. [Google Scholar]
- Hiroshi, S.; Toshikazu, T.; Tsuyoshi, K.; Tatsutoshi, K.; Toru, T.; Masaharu, M.; Mitsuru, A. Permeability imaging in granitic rocks based on surface resistivity profiling. Explor. Geophys. 2004, 35, 56–61. [Google Scholar]
- Samuel, W.S.; Thomas, D. Permeability changes resulting from quartz precipitation and dissolution around upper crustal intrusions. Geofluids 2018, 2018, 6957306. [Google Scholar]
- Zhang, J.W.; Song, Z.X.; Fan, W.B.; Huang, D. Experimental study on mechanical behavior and permeability characteristics of sandstone under stress-seepage coupling. Chin. J. Rock Mech. Eng. 2019, 38, 1364–1372. [Google Scholar]
- Cao, Z.Z.; Wang, Y.; Lin, H.X.; Sun, Q.; Wu, X.G.; Yang, X.S. Hydraulic fracturing mechanism of rock mass under stress-damage-seepage coupling effect. Geofluids 2022, 2022, 5241708. [Google Scholar] [CrossRef]
- Ma, J.; Zhang, Y.L.; Lv, J.K.; Yu, K. Experimental study on permeability characteristics of mudstone under high temperature overburden condition. Processes 2023, 11, 2828. [Google Scholar] [CrossRef]
- Liu, Y.B.; Zhao, D.; Li, Y.T.; Zhang, L. Permeability evolution of intact and fractured coal during progressive deformation subjected to true triaxial stresses. Processes 2023, 11, 2826. [Google Scholar] [CrossRef]
- Li, Q.M.; Liang, Y.P.; Zou, Q.L. Seepage and damage evolution characteristics of gas-bearing coal under different cyclic loading-unloading stress paths. Processes 2018, 6, 190. [Google Scholar] [CrossRef]
- Ding, K.; Wang, L.G.; Wang, W.M.; Li, Z.L.; Jiang, C.Y.; Ren, B.; Wang, S. Experimental study on gas seepage characteristics of axially unloaded coal under different confining pressures and gas pressures. Processes 2022, 10, 1055. [Google Scholar] [CrossRef]
- Agheshlui, H. Stress influence on the permeability of a sample heterogeneous rock. Geomech. Geophys. Geo-Energy Geo-Resour. 2019, 5, 159–170. [Google Scholar] [CrossRef]
- Michael, J.H.; Marie, E.S.V. The mechanical behaviour and failure modes of volcanic rocks: A review. Bull. Volcanol. 2021, 83, 33. [Google Scholar]
- Michael, J.H.; Ben, M.K. Exploring the scale-dependent permeability of fractured andesite. Earth Planet. Sci. Lett. 2016, 447, 139–150. [Google Scholar]
- Shan, P.F.; Lai, X.P. Influence of CT scanning parameters on rock and soil images. J. Vis. Commun. Image Represent. 2019, 58, 642–650. [Google Scholar] [CrossRef]
- Wang, C.L.; Gao, A.S.; Shi, F.; Hou, X.; Ni, P.; Ba, D. Three-dimensional Reconstruction and Growth Factor Model for Rock Cracks under Uniaxial Cyclic Loading/Unloading by X-ray CT. Geotechnical. Test. 2018, 42, 117–135. [Google Scholar] [CrossRef]












| Lithology | Confining Pressure | Main Crack Length/mm | Main Crack Width/mm | Average Number of Cracks | Average Breaking Angle | ||
|---|---|---|---|---|---|---|---|
| 3 MPa | 5 MPa | 7 MPa | |||||
| Mudstone | ![]() | ![]() | ![]() | 94.2 | 0.44 | 6 | 22° |
| Sandstone | ![]() | ![]() | ![]() | 102 | 0.72 | 3 | 21.3° |
| Mudstone- sandstone combined rock | ![]() | ![]() | ![]() | 57.6 | 0.68 | 1 | 25.3° |
| Lithology | Confining Pressure/MPa | Peak Strength/MPa | Initial Permeability/10−14 m2 | Peak Permeability/10−14 m2 | Residual Permeability/10−14 m2 |
|---|---|---|---|---|---|
| Mudstone | 3 | 26.8 | 1.31 | 13.05 | 6.24 |
| 5 | 33.9 | 0.89 | 12.34 | 2.11 | |
| 7 | 41.6 | 0.65 | 21.19 | 2.2 | |
| Sandstone | 3 | 57.4 | 2.33 | 2.99 | 0.62 |
| 5 | 62.7 | 0.97 | 2.28 | 0.21 | |
| 7 | 64.1 | 0.81 | 3.22 | 0.22 | |
| Mudstone–sandstone combined rock | 3 | 27.4 | 0.71 | 0.34 | - |
| 5 | 35.7 | 0.19 | 0.19 | - | |
| 7 | 38.5 | 0.16 | 0.12 | - |
Disclaimer/Publisher’s Note: The statements, opinions and data contained in all publications are solely those of the individual author(s) and contributor(s) and not of MDPI and/or the editor(s). MDPI and/or the editor(s) disclaim responsibility for any injury to people or property resulting from any ideas, methods, instructions or products referred to in the content. |
© 2024 by the authors. Licensee MDPI, Basel, Switzerland. This article is an open access article distributed under the terms and conditions of the Creative Commons Attribution (CC BY) license (https://creativecommons.org/licenses/by/4.0/).
Share and Cite
Zhao, C.; Cao, S.; Du, S.; Che, C.; Liu, Y.; Wang, K.; Ma, R. Study on the Mechanical and Permeability Evolution of a Composite Rock Mass in an Aquifuge Under Hydraulic Coupling. Processes 2024, 12, 2391. https://doi.org/10.3390/pr12112391
Zhao C, Cao S, Du S, Che C, Liu Y, Wang K, Ma R. Study on the Mechanical and Permeability Evolution of a Composite Rock Mass in an Aquifuge Under Hydraulic Coupling. Processes. 2024; 12(11):2391. https://doi.org/10.3390/pr12112391
Chicago/Turabian StyleZhao, Changzheng, Shenggen Cao, Shuyu Du, Chiyuan Che, Yang Liu, Kaifei Wang, and Ruiting Ma. 2024. "Study on the Mechanical and Permeability Evolution of a Composite Rock Mass in an Aquifuge Under Hydraulic Coupling" Processes 12, no. 11: 2391. https://doi.org/10.3390/pr12112391
APA StyleZhao, C., Cao, S., Du, S., Che, C., Liu, Y., Wang, K., & Ma, R. (2024). Study on the Mechanical and Permeability Evolution of a Composite Rock Mass in an Aquifuge Under Hydraulic Coupling. Processes, 12(11), 2391. https://doi.org/10.3390/pr12112391










