Next Article in Journal
Extended Definition of Conversion and Reaction Extent for a Systematic Development of the Design Equations for Reactor Networks
Previous Article in Journal
Research on Inversion Log Evaluation Method of Special Mineral in Alkali Lake Shale Oil Reservoir—A Case Study of the Fengcheng Formation in the Mahu Sag, China
Previous Article in Special Issue
Methods of Partial Differential Equation Discovery: Application to Experimental Data on Heat Transfer Problem
 
 
Font Type:
Arial Georgia Verdana
Font Size:
Aa Aa Aa
Line Spacing:
Column Width:
Background:
Article

Numerical Study and Structural Optimization of Impinging Jet Heat Transfer Performance of Floatation Nozzle

1
College of Mechanical and Electrical Engineering, Central South University, Changsha 410083, China
2
Xinyuren Technology Co., Ltd., Shenzhen 518172, China
3
State Key Laboratory of Powder Metallurgy, Central South University, Changsha 410083, China
*
Author to whom correspondence should be addressed.
Processes 2024, 12(1), 106; https://doi.org/10.3390/pr12010106
Submission received: 5 December 2023 / Revised: 27 December 2023 / Accepted: 28 December 2023 / Published: 1 January 2024
(This article belongs to the Special Issue Advances in Numerical Heat Transfer and Fluid Flow (2023))

Abstract

A floatation nozzle can effectively transfer heat and dry without touching the substrate, and serves as a vital component for heat transfer to the substrate. Enhancing the heat transfer performance, and reducing its heat transfer unevenness to the substrate play an important role in improving product quality and reducing thermal stress. In this work, the effects of key structural parameters of the floatation nozzle on the heat transfer mechanism are systematically investigated by means of a numerical simulation of computational fluid dynamics. The findings demonstrate that the secondary vortex structure induced by the floatation nozzle with effusion holes increases heat transfer performance by 254.3% compared with the nozzle without effusion holes. The turbulent kinetic energy and temperature distribution between the jet and the target surface are affected by the jet angle and slit width respectively, which change the heat transfer performance of the float nozzle in different degrees. Furthermore, to improve the comprehensive heat transfer performance of the floatation nozzle structure, taking into account the average heat transfer capability and heat transfer uniformity, the floatation nozzle’s design is optimized by the application of the response surface method. The comprehensive heat transfer performance is increased by 26.48% with the optimized design parameters. Our work is of practical value for the design of floatation nozzles with high heat transfer performance to improve product quality in industrial systems.

1. Introduction

Due to its higher efficiency in heat transfer and drying without contact with the substrate, the floatation nozzle has gained considerable attention. It has been applied in various industrial fields such as paper drying [1], printed electronics [2], textile drying [3], and the drying of lithium-ion battery electrodes [4], etc. Figure 1 shows a floatation nozzle drying system. Hot air is ejected through two narrow slits in the floatation nozzle to complete the heat transfer to the substrate. This is a typical impinging jet heat transfer process. The nozzle structure can directly affect the heat transfer performance of the impact jet, which in turn determines the drying effect of the substrate. If the hot jet action of the nozzle causes the heat flow to be unevenly distributed on the surface of the substrate, it will lead to the generation of thermal stress, resulting in the negative consequences of substrate deformation. Consequently, having a nozzle structure with improved heat transfer performance is essential for drying the substrate efficiently.
Many researchers have focused on how the nozzle structure affects the performance and uniformity of heat transmission to the substrate. Li H et al. [5] investigate the heat transfer performance and uniformity of six nozzle length-to-diameter ratios (LTD) while keeping the nozzle inlet area unchanged, as shown in Figure 2. When the LTD ratio was reduced from 2.67 to 0.375, the high heat-transfer zone exhibited more substantial attenuation when compared to findings with the LTD ratio in the range of 4.17 to 6. In terms of heat transfer uniformity, the best heat transfer uniformity was achieved when the LTD ratio of the nozzle equals 4.17 since the higher level of Nusselt number (Nu) produced in this case covers a wider area. Attalla M et al. [6] explored the effects of nozzle jet inclination angle on heat transfer to a level surface for a couple of parallel slanted nozzles. In this work, when the nozzle jet inclination angle was adjusted from 10° to 20°, the heat transfer coefficient increased. In the study conducted by Markal B et al. [7], the heat transfer of nozzles with different cone angles was investigated. It was discovered that all evaluated nozzle cone angles had a rising local Nu as the height between the nozzle and the objective surface decreased. The nozzle with a 20° cone angle under close-range impact had the best heat transfer performance. Attalla M et al. [8] discovered that the height from a nozzle to the objective surface had less of an impact on the homogeneity of heat transmission than the distance between the jets. Zhihong et al. [9] considered the heat transfer system affected by slip-free and convective boundary conditions, focusing on the study of dimensionless temperature and Nusselt number. While much study has been conducted on nozzle heat transfer, structural factors and their effects on the heat transfer of a dual-slit floatation nozzle with restricted walls have not been systematically investigated.
To continue enhancing the heat transfer performance of the nozzle structure, a factor that needs to be considered is the weakening of the cross-flow effect induced by effusion holes [10]. It has been proven that for an array jet flow system with the same initial crossflow, the heat transfer efficiency can be enhanced at a small jet-to-plate distance if the system is equipped with effusion holes. Meanwhile, adjusting the arrangement of the impinging jet and effusion holes is also useful to improve the heat transfer performance [11,12,13]. For instance, Singh P et al. [14] established a nozzle structure with effusion holes. They found that at the small spacing of the jet from the target surface, the removal of exhaust air through the effusion holes led to different degrees of increase in heat transfer for different cross-flow configurations compared with the absence of effusion holes, indicating that effusion holes can reduce the impact of exhaust gas accumulation on the decrease in heat transfer efficiency of the jet. Andreini A et al. [15] conducted a study on convective heat transfer with two different configurations of jet and effusion holes. The first configuration involved distances between jet holes in two orthogonal directions, where the ratio of Z (distance between jet holes)/D (hole diameter) was 10.5, and the ratio of H (distance from jet holes to target surface)/D was 6.5. The second configuration had Z/D at 3.0 and H/D at 2.5 in two orthogonal directions. It was observed that, compared to configurations with only jet holes, the presence of effusion holes led to an increase in heat transfer in both cases. Chen G et al. [16], performed a numerical analysis of an impinging heat transfer system with impinging and effusion holes for three different crossflow schemes. The heat transfer performance of the improved system was 28.0% higher than that of the pure impinging jet system. The interactions between the parameters of the nozzle structure and its heat transfer characteristics should be taken into account, and in addition to this, the need to simultaneously ensure heat transfer performance and improve heat transfer uniformity emphasizes the importance of the optimization process. The pattern search method (PSM) is often used to optimize the nozzle jet structure. Bijarchi M A et al. [17], combined PSM to optimize the design parameters of the oscillating slotted jet. They aimed to minimize the difference between the actual and expected Nu distributions on a target surface by adjusting the height from the nozzle to the objective surface and the maximum oscillation angle. Eventually, the oscillating slotted jet presented a more uniform Nu distribution, in one case improving the degree of Nu distribution uniformity by 50%. Sedighi E et al. [18] combined the PSM with fluid flow and heat transfer models to optimize the design parameters of four turbulent impinging jets. The optimal array of jets was eventually obtained. Moreover, the conjugate gradient method (CGM) is also applied to optimize the design parameters [19,20]. Kowsary F. [19], and M. Forouzanmehr [20] achieved a uniform Nu distribution on a target surface for a system consisting of several impinging jets. CGM was applied to the minimization of the squared difference between the numerically calculated local Nu distribution and the desired Nu distribution. The variables involved in the optimization object included jet width, spacing between jets, etc., and finally, they receive an optimal jet configuration. The Response Surface Method (RSM) has also attracted attention because of its simplicity and time efficiency. RSM can not only reduce the number of experiments but also show the interaction between influencing factors. Matheswaran et al. [21] reported a study on improving the performance of jet impaction plates on solar air heaters. They used RSM to investigate the effects of airflow rate, jet diameter, streamwise pitch, and spanwise direction on thermal improvement and obtained the optimal design parameters. Hadad Y et al. [22] suggested a numerical model to investigate the influence of the impinging jet structure on the heat transfer of a cold plate and optimize the impinging jet inlet shape utilizing RSM methodology. The results showed that the optimized design provided important guidance. Tang Z et al. [23] optimized the main structural parameters of a confined slot nozzle using RSM methodology. Compared with the performance of the original structure, the average Nu was increased by 8.23% and the maximum temperature difference was reduced by 28.1% [24,25,26]. The PSM and the CGM require an initially known desired thermal distribution. They do not apply to the case of an unknown thermal distribution. However, the RSM is advantageous in terms of computational efficiency and tolerance for the nature of the objective function. Hence, the RSM is more suitable for this study to obtain the structural parameters of the floatation nozzle for better heat transfer performance.
As mentioned above, there are more related studies on the influence of jet heat transfer performance and heat transfer uniformity of nozzles. However, there is a lack of systematic parameter influence analysis and optimization discussion combined with the structural characteristics of floatation nozzles, which limits the in-depth understanding of the flow dynamics and heat transfer in the floatation nozzle with dual-slit jets. In the current research, the effects of floatation nozzles with effusion holes on heat transfer compared to those without them have been numerically investigated, considering the characteristics of dual-slit jet structures with the floatation nozzle and evaluating their overall heat transfer performance based on heat transfer uniformity and overall average heat transfer performance. In addition, the structural parameters of the floatation nozzle, including jet angle, slit width, and spacing between slits, have been considered comprehensively, and the effects of these parameters on the heat transfer performance of the floatation nozzle have been analyzed. Finally, the response surface method has been used to optimize the floatation nozzle structure. The numerical simulation data of the combination of the structural parameters of the floatation nozzle have been fitted with polynomials for the average heat transfer performance and the heat transfer inhomogeneity coefficient to find the best case of comprehensive heat transfer performance.

2. Numerical Method

2.1. Problem Description and Numerical Scheme

This study focuses on exploring the influence of floatation nozzle structure on the impinging jet heat transfer performance of the substrate and optimizing the structural parameters of the floatation nozzle to achieve higher comprehensive heat transfer performance. This study ignores the airflow behavior inside the suspended nozzle. This is primarily considered, on the one hand, because the air inside the nozzle has a relatively small impact on the heat transfer of the jet. On the other hand, it is intended to ensure that the effects of the studied factors are relatively independent of each other.
Figure 3 illustrates a workflow diagram of the adopted numerical scheme.

2.2. Floatation Nozzle Model

The floatation nozzle model is provided by Xinyuren Technology Co., Ltd. (Shenzhen, China), Shenzhen. Hot air enters from the top of the floatation nozzle and is ejected to the target surface through two slits. A cross-cutting and upward diagram of the floatation nozzle is shown in Figure 4a. The structural parameters are shown in Table 1. The letter L denotes the length of the floatation nozzle, the letter B denotes the width of the floatation nozzle, w denotes the width of the slit, s denotes the spacing between the slits, D denotes the diameter of the effusion holes, Sx denotes the distance in the x-direction of the effusion holes, Sy denotes the distance in the y-direction, and alpha denotes the angle of the jet". half of the distance of the effusion holes in the x-direction, Sy denotes the distance of the effusion holes in the y-direction, and α denotes the jet angle. Compared to traditional floatation nozzles without effusion holes, the effusion hole-equipped floatation nozzle features a distinct structure wherein exhaust gases are discharged after the jet flows back into an independent space separate from the nozzle via the effusion holes. This space is connected to the oven to facilitate exhaust gas discharge.

2.3. Physical Model and Governing Equations

The fluid calculation model was based on the physical model generated after a certain simplification. The calculation model does not consider the airflow inside the floatation nozzle, but considers the flow after ejection from the slits, as shown in Figure 3c. ANSYS FLUENT was utilized in this investigation to calculate the control equations. The velocity and pressure were paired using the SIMPLE technique. The steady-state flow is calculated by the Reynolds-averaged Navier-Stokes equations and the descriptions of each item are as follows [27]:
U i x i = 0
ρ U i U j x i = P x i + x i μ U i x j + U j x i ρ u i u j ¯
ρ U i T x i = x i λ c p T x i ρ u i T ¯
where T , U i and P denote the time-averaged temperature, velocity, and pressure of the fluid, respectively. The temperature and velocity’s changing elements are, respectively, T and u i .
The SST k-ω model [28] has been employed with pretty good accuracy in numerical research and is frequently utilized. The transport equations are as follows [29]:
t ρ k + x i ρ a k u i = x j Γ k k x j + G k Y k + S k
t ρ ω + x i ρ a ω u i = x j Γ ω k x j + G ω Y ω + D ω
where Γ , G , and Y represent the effective spreading rate, production, and dissipation of the counterpart variables, respectively. D ω is the cross-spread term.
The following equation is used to compute the Re depending on the slit width:
R e w = ρ u 0 w μ
where μ denotes fluid viscosity and u 0 represents the jet velocity.
The following equation is used to compute the target surface Nu:
N u w = φ w λ
φ = q T i T w
where λ denotes the thermal conductivity, φ denotes the convective heat transfer coefficient, q represents the convective heat flow density, T i represents jet temperature, and T w represents target surface temperature.
In all calculations, as shown in the physical model in Figure 4c, the slit region of the nozzle (marked in blue in the figure) was considered an inlet with uniform velocity and temperature distribution, and the R e w = 4000, and the T i = 373.15 K. The study used a Reynolds number of 4000 based on Xinyuren Technology Co.’s requirements. The target surface, which is also the bottom surface of the physical model, was set as having a consistent temperature T w of 298.15 K. The surface of the effusion holes in the floatation nozzle (marked in gray in the figure) was considered an adiabatic wall in the fluid calculation domain. The circular holes at the bottom of the floatation nozzle and other locations where air flows to the outside (marked in red in the figure) are set as pressure outlets with ambient pressure.

2.4. Grid Generation

Since the results of numerical simulations are affected by the number of meshes, a mesh sensitivity analysis was performed. Using Fluent Meshing 2022R1, polyhedral meshes were created for fluid simulations. Mesh refinement in some areas can be seen in Figure 5. Moreover, a boundary layer is added at the bottom. The SST k-ω model requires y+ < 1. The definition of y+ is shown in Equation (9).
y + = y 1 u τ v
where y 1 represents the distance from the first node closest to the wall, u τ represents the shear velocity, and v represents the kinematic viscosity of air.
Three different mesh systems were tested, and the number of meshes ranged from 5.67 million to 9.70 million. Nu on the line of the target surface z = 0 was plotted in Figure 6a and the difference in Nu is small when the number of meshes reaches 9.70 million, so this mesh system was chosen for the following simulations. The wall y+ curves when using the 9.70 million grid elements are given in Figure 6b, and it can be seen that the y+ is close to 1 and less than 1 for all regions. As a result, the 9.70 million grid elements are fine enough to provide sufficient calculation accuracy.

2.5. Model Validation

The experimental verification data are taken from the literature [30]. Here the jet validation flow model is an unconstrained single-slit impact jet with the literature experimental conditions of R e w = 4200, α = 90°, and h/d = 4. Figure 7 shows a very similar trend between the numerical results and the experimental data, and the error is less than 3.37%, so the prediction accuracy of the model can meet the requirements.

3. Evaluation Index

More uniform heat transfer reduces thermal stress on the substrate and improves product quality; however, heat transfer in the x-direction is naturally uniform when the substrate moves in the x-direction. Therefore, the heat transfer uniformity in the wide direction should be more concerned. Together with the consideration of the average heat transfer capacity of the nozzle to the substrate, the comprehensive heat transfer performance of the floatation nozzle is determined by the following indexes:
N u a v g x = 1 L z L z 2 L z 2 N u ( x , z ) d z
N u a v g = 1 L x L x 2 L x 2 N u a v g ( x ) d x
ρ σ ( x ) = L z 2 L z 2 N u ( x , z ) N u a v g x 2 d z L z
σ a v g = 1 L x L x 2 L x 2 σ ( x ) d x
k = σ a v g N u a v g
where N u ( x , z ) represents Nu on the surface of the substrate, N u a v g x denotes the average Nu in the x direction, N u a v g denotes the average Nu of the whole substrate surface, σ ( x ) denotes variation of Nu inhomogeneity coefficient in z direction with x, and σ a v g denotes the Nu inhomogeneity coefficient of the whole substrate surface. k denotes the comprehensive heat transfer coefficient.

4. Results and Discussions

4.1. Effect of Effusion Holes on Heat Transfer Performance of the Floatation Nozzle

This section aims to explore the effect on heat transfer from the floatation nozzle with or without effusion holes. This study was conducted under the conditions of R e w as 4000 and T i as 373.15 K. The contour of Nu distribution on the target surface (16.67 ≤ z/w ≤ 16.67) is shown in Figure 8. Whether or not the nozzle is equipped with effusion holes, the stagnation region of the two rectangular slender slit jets exhibits a significantly high heat flux due to the high y-directional flow velocity, as shown in Figure 8, resulting in locally elevated Nu values at this location. As shown in Figure 9, N u a v g x has two spikes.
However, the Nu at the stagnation region and the wall jet region between the two slits significantly differ between the floatation nozzle with and without effusion holes. The Nu values in these two regions are significantly enhanced when effusion holes are present in the floatation nozzle. At position −6 < x/w < 6 between the two slits, an increase of 254.3% in Nu value is obtained over that without the effusion holes. This indicates that heat transfer in this area is greatly enhanced.
Figure 10, Figure 11 and Figure 12 show the velocity vector fields in the z = 0 plane, the contour plots of the vortex structures based on the Ω criterion [31], and the nondimensional temperature distributions, respectively. The temperature field is represented by the following dimensionless temperature equation.
θ = T T w T i T w
After the impingement of the jet on the substrate surface, primary vortices are formed. Although secondary vortices are found in both cases, they exhibit different formation mechanisms and strengths. For the case without effusion holes, after the formation of primary vortices, the airflow due to the suction effect rises to the top and is constrained by the upper wall, resulting in a cross flow. The flow directions of the two crossflows are opposite in the x-direction and collide at the mid-symmetric position, giving rise to secondary vortices. The strength of these vortices is relatively weak. However, when there are effusion holes, the rising fluid velocity is not significantly reduced by the restriction of the top wall. Instead, the air fluids flow out from the effusion holes along the pressure gradient, and the suction effect with the surrounding air medium produces some stronger secondary vortices. To make the relative magnitude of the vortex structure more visible, the contour plot of the Ω criterion is used for characterization.
As can be seen from the vortex structure identified in Figure 11, the intensity of the vortices between the jets is stronger when there are effusion holes, which enhances the heat transfer of the wall jet [32]. This phenomenon is also reflected in the temperature distributions. Figure 12 shows the temperature distribution for two scenarios. The temperature variation in the wall jet area between the two slits only relies on the vortex strength. The stronger vortices generated by the jet action of the nozzle with effusion holes change the temperature field. Compared to the case without effusion holes, the larger temperature difference formed by the wall surface accelerates heat transfer.
Figure 13 illustrates the σ ( x ) on the target surface. When the floatation nozzle is not equipped with effusion holes, the Nu on the target surface exhibits pronounced irregular fluctuations in the vicinity of the jet stagnation region. These fluctuations are induced by turbulent intermittency [33]. When the floatation nozzle is equipped with effusion holes, this turbulent intermittency decreases significantly. However, the complex fluid flows increase the heat transfer inhomogeneity near the region where the evanescent pores are present. Table 2 shows the average heat transfer performance and the heat transfer uniformity in these two cases.
Figure 14 presents the comparison of the overall heat transfer coefficients for both cases. The floatation nozzle with effusion holes exhibits a lower overall heat transfer coefficient, indicating superior overall performance. Therefore, the follow-up study was based on this type of nozzle.

4.2. Effect of Jet Angle on Heat Transfer Performance of the Floatation Nozzle

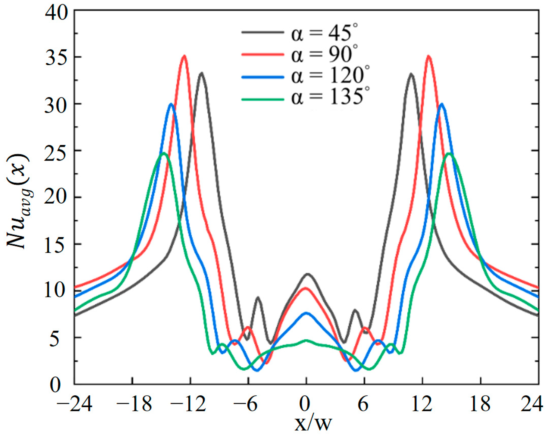
In this section, the effects of the jet angle of the floatation nozzle in the range of 45°–135° on heat transfer were explored. The N u a v g x of the substrate is shown in Figure 15. It shows that as the angle of the jet grows from 45 to 135 degrees, Nu increases first and then decreases in the jet stagnation zone and wall jet zone. Theoretically, higher turbulence levels can increase the near-wall velocity of the jet, thereby affecting its heat transfer capability [34]. Figure 16a shows the turbulent kinetic energy (TKE) distributions at the z = 0 plane. The mixing layer created at the margin of the free jet zone and the wall jet regions on both sides have increasing turbulent kinetic energy intensities as the jet angle increases from 45° to 90°.
However, this higher TKE does not directly impact the target surface. The variation of TKE along the x-direction is given in Figure 16b. For each case, there is no significant difference in the TKE at positions with smaller x/w ratios between the stagnation regions. In both stagnant and wall jet regions, as the jet angle increases, the TKE shows an initial increase followed by a reduction. It can be inferred that the variation in jet angle directly influences TKE, subsequently impacting heat transfer. This is from Erhan Pulat’s research, which examined how inclined walls affected impinging jet flow and heat transmission. This study found that more TKE led to higher heat transfer [35].
The calculation of the σ ( x ) on the target surface was performed. As shown in Figure 17, the two-slit jets exhibited better Nu uniformity when the jet angle equals 120°, despite having a lower Nu at this location compared to the results of α =45° and 90°. The N u a v g and the σ a v g are calculated, as shown in Table 3. Figure 18 shows the change in the comprehensive heat transfer coefficient. The floatation nozzle with a 120° jet angle has the lowest comprehensive heat transfer coefficient, indicating its relatively superior overall heat transfer performance.

4.3. Effect of Slit Width on Heat Transfer Performance of the Floatation Nozzle

In this section, the effects of the slit width of the floatation nozzle in the range of 1.5–4.5 mm on heat transfer were explored. The Nu distributions of the target surface are illustrated in Figure 19. For the same Re, reducing the slit width results in a smaller characteristic length for Reynolds number calculation, leading to an increase in jet velocity at the slit exit. However, the smaller slit widths that induce the higher impact velocity do not improve heat transfer, but the wider slits perform well, as illustrated in Figure 20. The wall jet zone inside the stagnation zone stays hotter when the slit width is larger. Simultaneously, the substrate surface on the outside of the stagnation zone exhibits a wider range of high-temperature areas. Consequently, the overall Nu is higher compared to that of the narrower slit width.
The σ ( x ) on the target surface was calculated. It shows an increasing trend with the increase in slit width as shown in Figure 21. The N u a v g and the σ a v g are calculated, as shown in Table 4. Figure 22 shows the comprehensive heat transfer coefficient of the target surface. Due to the higher σ a v g for the slit width w = 4.5 mm, it has a higher heat transfer than the example with a slit width of w = 3 mm, indicating slightly inferior heat transfer performance despite its superior average heat transfer capability. As the slit width increases from 1.5 mm to 3 mm, the comprehensive heat transfer coefficient decreases. In conclusion, the best comprehensive heat transfer performance is achieved with a slit width of 3 mm.

4.4. Effect of Spacing between the Slits on Heat Transfer Performance of the Floatation Nozzle

In this section, the effects of the spacing between slits of the floatation nozzle in the range of 50–90 mm on heat transfer were explored. The Nu distributions of the target surface along the x-direction are shown in Figure 23. It shows that the s only affects the position of the stagnation region of the jet. However, it has a minimal effect on the magnitude of Nu. As can be seen in Figure 24, the σ ( x ) of the target surface shows a tendency that decreases and then increases as the slit spacing increases. It is minimized when the slit spacing is 80 mm. The N u a v g and the σ a v g are calculated, as shown in Table 5. Figure 25 presents the comprehensive heat transfer coefficient of jet impingement for different s on the floatation nozzle. The optimal k is obtained when the spacing between the slits is 80 mm.

4.5. Optimization of Structural Parameters of the Floatation Nozzle

4.5.1. Response Surface Methodology

The studies in the previous sections provide the basis for the range of parameter variables for the optimization of the floatation nozzle structure, based on which a simulation test design is performed in this section, followed by a response surface analysis to obtain a floatation nozzle structure with the best comprehensive heat transfer performance. The RSM analyses of N u a v g and σ a v g are conducted using the Box-Behnken design. The multiple linear regression method is utilized to fit the quadratic polynomials of N u a v g and σ a v g that are associated with the jet angle, slit width, and spacing between slits on the floatation nozzle. The combined impacts of these structural characteristics on N u a v g and σ a v g are found by applying the fitted quadratic polynomial.
The values of each design variable are shown in Table S1 (in the Supplementary file), and the detailed experimental design and simulation results are shown in Table S2. Based on the results in Table S2 (in Supplementary file), the quadratic polynomial regression models for N u a v g and σ a v g are obtained:
N u a v g = 13.33 + 0.3663 α + 3.39 w 0.6211 s 0.4672 α w 0.5614 α s 0.5141 w s 0.6065 α 2 0.7653 w 2 0.364 s 2
σ a v g = 0.8522 0.0934 α + 0.2223 w 0.1679 s 0.0042 α w + 0.0442 α s 0.0195 w s 0.0984 α 2 0.0312 w 2 + 0.1189 s 2
Tables S3 and S4 (in the Supplementary file) show the results of the analysis of variance for the N u a v g and the σ a v g , respectively, and both confirm that the model has good accuracy and effectiveness.
Figure 26 compares the simulation results to the projected values derived from RSM. The considerable degree of accuracy of the model is demonstrated by the tight match between the anticipated and actual values. This model can be used for the subsequent design of floatation nozzle structures to improve the comprehensive heat transfer capability of impinging jet flows.

4.5.2. Optimization Results

According to the formula for comprehensive heat transfer capability, this can be explained as achieving improved heat transfer uniformity while maintaining average heat transfer performance. When optimizing the structure of the floatation nozzle, both the maximization of the average Nu and the minimization of σ a v g are considered simultaneously. Table 6 shows the optimal values of the jet angle, slit width, and spacing between the slits, along with the achieved maximum N u a v g and minimum σ a v g . When the α = 97.5°, the w = 3.1 mm, and the s = 71.4 mm, it provides the minimum k = 0.0485. The maximum N u a v g and minimum σ a v g are 12.9413 and 0.6277, respectively. Compared with the original floatation nozzle structure, the N u a v g has increased by 2.92%, the σ a v g has decreased by 24.51%, and the comprehensive heat transfer coefficient has decreased by 26.48%.
To validate the optimization results, Computational Fluid Dynamics (CFD) numerical simulations were performed using the optimized conditions. As shown in Table 7, the efficacy of the optimization outcomes is demonstrated by the modest relative errors.

5. Conclusions

In this study, the flow and heat transfer characteristics of the impinging jet of the floatation nozzle were simulated based on its application in substrate drying. Taking the comprehensive heat transfer performance combined with the average heat transfer capability and heat transfer uniformity as the standard, a detailed comparative analysis was conducted to investigate the effects of the presence of effusion holes, jet angle, slit width, and spacing between slits on heat transfer. Based on the three aforementioned design parameters, the structure of the floatation nozzle was optimized using second-order response surface methodology. The optimization objectives included higher average heat transfer and better uniformity. This article draws the following conclusions:
  • Compared with the floatation nozzle without effusion holes, the impinging jet of the floatation nozzle with effusion holes forms a stronger vortex between the two slits, which breaks up the thermal boundary layer and significantly enhances heat transfer. The local area average Nu increased by 254.3%.
  • The jet angle and slit width cause changes in the turbulent kinetic energy and temperature distribution between the jet and the target surface, respectively, and thus affect the heat transfer capability of the floatation nozzle to varying degrees. The effect of the spacing between the slits on heat transfer uniformity is not monotonic.
  • Considering the jet angle, slit width, and spacing between slits as design parameters, the RSM was used for analysis and optimization. The regression models for average Nu and Nu non-uniformity coefficients were obtained, and the regression models had high accuracy and could be used to guide the design.
  • Based on the optimal comprehensive heat transfer capabilities, the optimal values of the design parameters were determined to be a jet angle of 97.5 degrees, a slit width of 3.1 mm, and a spacing of 71.4 mm between the slits. The optimized floatation nozzle showed a 26.48% improvement in comprehensive heat transfer performance.

Supplementary Materials

The following supporting information can be downloaded at: https://www.mdpi.com/article/10.3390/pr12010106/s1, Table S1: Level and range of variables, Table S2: Box-Behnken experimental parameter combination and results, Table S3: ANOVA for N u a v g , Table S4: ANOVA for σ a v g .

Author Contributions

Conceptualization, X.L. and F.J.; methodology, X.L.; software, X.L.; validation, X.Y., Q.L. and S.Y.; formal analysis, X.L. and F.J.; investigation, X.L.; resources, F.J.; data curation, X.L.; writing—original draft preparation, X.L.; writing—review and editing, X.L.; visualization, X.L., X.Y., Q.L. and S.Y.; supervision, F.J.; project administration, Z.Y.; funding acquisition, F.J. All authors have read and agreed to the published version of the manuscript.

Funding

This research is supported by the Shenzhen Xinyuren Technology Co., Ltd. Research Program (Grant No. HKF202300023).

Data Availability Statement

The data presented in this study are available on request from the corresponding author.

Acknowledgments

The authors would like to acknowledge financial support from the State Key Laboratory of Powder Metallurgy of Central South University, Changsha, Hunan, China. The authors also thank technical directors Zhiyuan Cai and Minhui Huang for their support in providing the engineering data required for the study.

Conflicts of Interest

Author Zhiming Yang was employed by the Xinyuren Technology Co., Ltd., Shenzhen. The remaining authors declare that the research was conducted in the absence of any commercial or financial relationships that could be construed as a potential conflict of interest. The funders had no role in the design of this study, in the collection, analysis, or interpretation of data, in the writing of this manuscript, or in the decision to publish these results.

References

  1. Mujumdar, A. Handbook of Industrial Drying: Handbook of Industrial Drying; Marcel Dekker Inc.: New York, NY, USA, 1987. [Google Scholar]
  2. Wu, Q.; Liu, T.; Jiao, X. Analysis of Drying Characteristics of Suspension Oven Substrate Based on Cfd. In Proceedings of the China Academic Conference on Printing and Packaging, Beijing, China, 26–29 November 2022. [Google Scholar]
  3. Dai, J.-A.; Diao, Y.F. Numerical analysis of transient coupled heat and moisture transfer in textile drying with porous relative impact jet. Appl. Therm. Eng. 2022, 212, 118613. [Google Scholar] [CrossRef]
  4. Huang, T.; Yang, Z.; Diao, S.; Huang, Z.; Zhang, Y.; Zhou, H. Flow structure and heat transfer analysis of the floatation nozzle with a moving wall. Eng. Comput. 2020, 38, 36–57. [Google Scholar] [CrossRef]
  5. Li, H.; Gao, Y.; Du, C.; Hong, W. Influences of nozzle aspect ratio and inlet Reynolds number on flow and heat transfer characteristics for middle double swirl cooling. Int. Commun. Heat Mass Transf. 2023, 145, 106811. [Google Scholar] [CrossRef]
  6. Attalla, M.; Maghrabie, H.M.; Specht, E. Effect of inclination angle of a pair of air jets on heat transfer into the flat surface. Exp. Therm. Fluid Sci. 2017, 85, 85–94. [Google Scholar] [CrossRef]
  7. Markal, B.; Avci, M.; Aydin, O. Conical coaxial impinging air jets: Angle effect on the heat transfer performance. Heat Mass Transf. 2020, 56, 3135–3146. [Google Scholar] [CrossRef]
  8. Attalla, M.; Maghrabie, H.M.; Qayyum, A.; Al-Hasnawi, A.G.; Specht, E. Influence of the nozzle shape on heat transfer uniformity for in-line array of impinging air jets. Appl. Therm. Eng. 2017, 120, 160–169. [Google Scholar] [CrossRef]
  9. He, Z.; Arain, M.B.; Usman; Khan, W.; Alzahrani, A.R.R.; Muhammad, T.; Hendy, A.; Ali, M.R. Theoretical exploration of heat transport in a stagnant power-law fluid flow over a stretching spinning porous disk filled with homogeneous-heterogeneous chemical reactions. Case Stud. Therm. Eng. 2023, 50, 103406. [Google Scholar] [CrossRef]
  10. Yoon, P.H.; Rhee, D.H.; Cho, H.H. Effect of Arrays of Impinging Jets with Crossflow on Heat/Mass Transfer. Trans. Korean Soc. Mech. Eng. B 2000, 24, 195–203. [Google Scholar]
  11. Rhee, D.H.; Choi, J.H.; Cho, H.H. Flow and Heat (Mass) Transfer Characteristics in an Impingement/Effusion Cooling System with Crossflow. J. Turbomach. 2003, 125, 74–82. [Google Scholar] [CrossRef]
  12. Rhee, D.-H.; Yoon, P.-H.; Cho, H.H. Local heat/mass transfer and flow characteristics of array impinging jets with effusion holes ejecting spent air. Int. J. Heat Mass Transf. 2003, 46, 1049–1061. [Google Scholar] [CrossRef]
  13. Cho, H.H.; Rhee, D.H.; Goldstein, R.J. Effects of Hole Arrangements on Local Heat/Mass Transfer for Impingement/Effusion Cooling with Small Hole Spacing. J. Turbomach. 2008, 130, 041003. [Google Scholar] [CrossRef]
  14. Singh, P.; Ekkad, S.V. Effects of spent air removal scheme on internal-side heat transfer in an impingement-effusion system at low jet-to-target plate spacing. Int. J. Heat Mass Transf. 2017, 108, 998–1010. [Google Scholar] [CrossRef]
  15. Andreini, A.; Cocchi, L.; Facchini, B.; Mazzei, L.; Picchi, A. Experimental and numerical investigation on the role of holes arrangement on the heat transfer in impingement/effusion cooling schemes. Int. J. Heat Mass Transf. 2018, 127, 645–659. [Google Scholar] [CrossRef]
  16. Chen, G.; Liu, Y.; Rao, Y.; He, J.; Qu, Y. Numerical investigation on conjugate heat transfer of impingement/effusion double-wall cooling with different crossflow schemes. Appl. Therm. Eng. 2019, 155, 515–524. [Google Scholar] [CrossRef]
  17. Bijarchi, M.A.; Eghtesad, A.; Afshin, H.; Shafii, M.B. Obtaining uniform cooling on a hot surface by a novel swinging slot impinging jet. Appl. Therm. Eng. 2019, 150, 781–790. [Google Scholar] [CrossRef]
  18. Sedighi, E.; Mazloom, A.; Hakkaki-Fard, A. Uniform Cooling of a Flat Surface by an Optimized Array of Turbulent Impinging Air Jets. Heat Transf. Eng. 2019, 40, 1750–1761. [Google Scholar] [CrossRef]
  19. Kowsary, F.; Gholamian, H.; Rajaeeian Hoonejani, M. Impinging Jet Cooling Optimization for Obtaining Uniform Heat Flux. In Proceedings of the Engineering Systems Design and Analysis, Istanbul, Turkey, 27 January 2010. [Google Scholar]
  20. Forouzanmehr, M.; Shariatmadar, H.; Kowsary, F.; Ashjaee, M. Achieving Heat Flux Uniformity Using an Optimal Arrangement of Impinging Jet Arrays. J. Heat Transf. 2015, 137, 061002. [Google Scholar] [CrossRef]
  21. Matheswaran, M.M.; Arjunan, T.V.; Muthusamy, S.; Natrayan, L.; Panchal, H.; Subramaniam, S.; Khedkar, N.K.; El-Shafay, A.; Sonawane, C. A case study on thermo-hydraulic performance of jet plate solar air heater using response surface methodology. Case Stud. Therm. Eng. 2022, 34, 101983. [Google Scholar] [CrossRef]
  22. Hadad, Y.; Fallahtafti, N.; Choobineh, L.; Hoang, C.H.; Radmard, V.; Chiarot, P.R.; Sammakia, B. Performance Analysis and Shape Optimization of an Impingement Microchannel Cold Plate. IEEE Trans. Compon. Packag. Manuf. Technol. 2020, 10, 1304–1319. [Google Scholar] [CrossRef]
  23. Tang, Z.; Deng, F.; Ji, Y.; Cheng, J. Structure optimization and cooling performance of a heat sink with discontinuous arc protrusions impacted by nanofluid confined slot jet impingement. Int. J. Numer. Methods Heat Fluid Flow 2022, 33, 1229–1248. [Google Scholar] [CrossRef]
  24. Zhong, G.-Y.; Yang, P.; Liu, Y.-W. Heat transfer and pressure drop correlations by means of response surface methodology. Int. J. Heat Mass Transf. 2018, 119, 312–332. [Google Scholar] [CrossRef]
  25. Lei, X.-S.; Shuang, J.-J.; Yang, P.; Liu, Y.-W. Parametric study and optimization of dimpled tubes based on Response Surface Methodology and desirability approach. Int. J. Heat Mass Transf. 2019, 142, 118453. [Google Scholar] [CrossRef]
  26. Glazar, V.; Trp, A.; Lenic, K. Optimization of air-water microchannel heat exchanger using response surface methodology. Int. J. Heat Mass Transf. 2020, 157, 119887. [Google Scholar] [CrossRef]
  27. Versteeg, H.K.; Weeratunge, M. An Introduction to Computational Fluid Dynamics: The Finite Volume Method; Pearson Education: London, UK, 2007. [Google Scholar]
  28. Menter, F.R. Two-equation eddy-viscosity turbulence models for engineering applications. AIAA J. 1994, 32, 1598–1605. [Google Scholar] [CrossRef]
  29. Zhu, K.; Yu, P.; Yuan, N.; Ding, J. Transient heat transfer characteristics of array-jet impingement on high-temperature flat plate at low jet-to-plate distances. Int. J. Heat Mass Transf. 2018, 127, 413–425. [Google Scholar] [CrossRef]
  30. Nirmalkumar, M.; Katti, V.; Prabhu, S. Local heat transfer distribution on a smooth flat plate impinged by a slot jet. Int. J. Heat Mass Transf. 2011, 54, 727–738. [Google Scholar] [CrossRef]
  31. Pieris, S.; Zhang, X.; Yarusevych, S.; Peterson, S.D. Vortex dynamics in a normally impinging planar jet. Exp. Fluids 2019, 60, 84. [Google Scholar] [CrossRef]
  32. Silva-Llanca, L.; Ortega, A. Vortex dynamics and mechanisms of heat transfer enhancement in synthetic jet impingement. Int. J. Therm. Sci. 2017, 112, 153–164. [Google Scholar] [CrossRef]
  33. Dairay, T.; Fortuné, V.; Lamballais, E.; Brizzi, L.-E. Direct numerical simulation of a turbulent jet impinging on a heated wall. J. Fluid Mech. 2015, 764, 362–394. [Google Scholar] [CrossRef]
  34. Draksler, M.; Končar, B. Analysis of heat transfer and flow characteristics in turbulent impinging jet. Nucl. Eng. Des. 2011, 241, 1248–1254. [Google Scholar] [CrossRef]
  35. Pulat, E.; Beyazoglu, E. Computational investigation of confined wall inclination effects on impinging jet fluid flow and heat transfer. Int. J. Therm. Sci. 2021, 163, 106749. [Google Scholar] [CrossRef]
Figure 1. The floatation nozzle drying system (a) 3D view (b) Cross section.
Figure 1. The floatation nozzle drying system (a) 3D view (b) Cross section.
Processes 12 00106 g001
Figure 2. Schematic view of the geometric details.
Figure 2. Schematic view of the geometric details.
Processes 12 00106 g002
Figure 3. Workflow diagram of the numerical scheme.
Figure 3. Workflow diagram of the numerical scheme.
Processes 12 00106 g003
Figure 4. Floatation nozzle model and physical model (a) floatation nozzle cross-section and elevation view (b) floatation nozzle three-dimensional view (c) floatation nozzle jet impact calculation model and boundary conditions.
Figure 4. Floatation nozzle model and physical model (a) floatation nozzle cross-section and elevation view (b) floatation nozzle three-dimensional view (c) floatation nozzle jet impact calculation model and boundary conditions.
Processes 12 00106 g004
Figure 5. Creation of mesh in the computational domain.
Figure 5. Creation of mesh in the computational domain.
Processes 12 00106 g005
Figure 6. Mesh independence test: (a) Nu distribution at z = 0 location on the target surface; (b) Target surface z = 0 position y + curve.
Figure 6. Mesh independence test: (a) Nu distribution at z = 0 location on the target surface; (b) Target surface z = 0 position y + curve.
Processes 12 00106 g006
Figure 7. Model validation of calculated results.
Figure 7. Model validation of calculated results.
Processes 12 00106 g007
Figure 8. Contour plot of Nu distribution on the substrate surface. (a) Without effusion holes (b) With effusion holes.
Figure 8. Contour plot of Nu distribution on the substrate surface. (a) Without effusion holes (b) With effusion holes.
Processes 12 00106 g008
Figure 9. N u a v g x on the target surface.
Figure 9. N u a v g x on the target surface.
Processes 12 00106 g009
Figure 10. z = 0 plane flow field velocity vector (a) without effusion holes (b) with effusion holes.
Figure 10. z = 0 plane flow field velocity vector (a) without effusion holes (b) with effusion holes.
Processes 12 00106 g010
Figure 11. Contour cloud of z = 0 planar vortex structure (a) without effusion holes (b) with effusion holes.
Figure 11. Contour cloud of z = 0 planar vortex structure (a) without effusion holes (b) with effusion holes.
Processes 12 00106 g011
Figure 12. Dimensionless temperature contour map of z = 0 plane (a) without effusion holes (b) with effusion holes.
Figure 12. Dimensionless temperature contour map of z = 0 plane (a) without effusion holes (b) with effusion holes.
Processes 12 00106 g012
Figure 13. The σ ( x ) of the target surface.
Figure 13. The σ ( x ) of the target surface.
Processes 12 00106 g013
Figure 14. Comparison of comprehensive heat transfer coefficients.
Figure 14. Comparison of comprehensive heat transfer coefficients.
Processes 12 00106 g014
Figure 15. The N u a v g x of the substrate at different jet angles.
Figure 15. The N u a v g x of the substrate at different jet angles.
Processes 12 00106 g015
Figure 16. (a) Turbulent kinetic energy clouds in the z = 0 plane; (b) Variation of turbulent kinetic energy at the z = 0 position on the target surface.
Figure 16. (a) Turbulent kinetic energy clouds in the z = 0 plane; (b) Variation of turbulent kinetic energy at the z = 0 position on the target surface.
Processes 12 00106 g016
Figure 17. Variation of the σ ( x ) on the target surface at different jet angles.
Figure 17. Variation of the σ ( x ) on the target surface at different jet angles.
Processes 12 00106 g017
Figure 18. Comparison of k at different jet angles.
Figure 18. Comparison of k at different jet angles.
Processes 12 00106 g018
Figure 19. The N u a v g x of the substrate has different slit widths.
Figure 19. The N u a v g x of the substrate has different slit widths.
Processes 12 00106 g019
Figure 20. Dimensionless temperature contour map of the z = 0 section with different slit widths.
Figure 20. Dimensionless temperature contour map of the z = 0 section with different slit widths.
Processes 12 00106 g020
Figure 21. Variation of the σ ( x ) on the target surface at different slit widths.
Figure 21. Variation of the σ ( x ) on the target surface at different slit widths.
Processes 12 00106 g021
Figure 22. Comparison of comprehensive heat transfer coefficients at different slit widths.
Figure 22. Comparison of comprehensive heat transfer coefficients at different slit widths.
Processes 12 00106 g022
Figure 23. The N u a v g x of the substrate has different spacing between slits.
Figure 23. The N u a v g x of the substrate has different spacing between slits.
Processes 12 00106 g023
Figure 24. Variation of the σ ( x ) on the target surface with different spacing between slits.
Figure 24. Variation of the σ ( x ) on the target surface with different spacing between slits.
Processes 12 00106 g024
Figure 25. The comprehensive heat transfer performance at the different spacing between slits.
Figure 25. The comprehensive heat transfer performance at the different spacing between slits.
Processes 12 00106 g025
Figure 26. Comparison of simulation and prediction (a) N u a v g (b) σ a v g .
Figure 26. Comparison of simulation and prediction (a) N u a v g (b) σ a v g .
Processes 12 00106 g026
Table 1. Key structural parameters of the floatation nozzle.
Table 1. Key structural parameters of the floatation nozzle.
ParameterValueParameterValue
L1400 mmD5 mm
B144 mm S X 10 mm
w3 mm S z 20 mm
s70 mm α 45°
Table 2. Effect of floatation nozzles on heat transfer through effusion holes.
Table 2. Effect of floatation nozzles on heat transfer through effusion holes.
N u a v g σ a v g k
without effusion holes10.12181.27120.1256
with effusion holes12.57410.83150.0661
Table 3. Comparison of heat transfer at different jet angles in the floatation nozzle.
Table 3. Comparison of heat transfer at different jet angles in the floatation nozzle.
Jet Angle (°) N u a v g σ a v g k
4512.57420.83150.0661
9013.25410.65750.0496
12011.30820.34910.0309
1359.50390.52290.0550
Table 4. Comparison of heat transfer at different slit widths of the floatation nozzle.
Table 4. Comparison of heat transfer at different slit widths of the floatation nozzle.
Slit Width (mm) N u a v g σ a v g k
1.57.24560.58210.0803
29.52840.67120.0704
312.79090.83150.0650
4.515.58341.05230.0675
Table 5. Comparison of heat transfer at the different spacing between slits of the floatation nozzle.
Table 5. Comparison of heat transfer at the different spacing between slits of the floatation nozzle.
Spacing between the Slits (mm) N u a v g σ a v g k
5012.45191.16860.0939
7012.79090.83150.0650
8012.28040.64690.0527
9011.90440.76130.0640
Table 6. Optimal parameter combinations and results.
Table 6. Optimal parameter combinations and results.
Optimal ValueDesirability
α (°)97.51
w (mm)3.11
s (mm)71.41
N u a v g 12.9413
σ a v g 0.6277
Combined-0.670
Table 7. Comparison of optimization results with simulation results.
Table 7. Comparison of optimization results with simulation results.
Optimization ResultsCFD ResultsError
N u a v g 12.941313.00330.48%
σ a v g 0.62770.61232.45%
k0.04850.04712.89%
Disclaimer/Publisher’s Note: The statements, opinions and data contained in all publications are solely those of the individual author(s) and contributor(s) and not of MDPI and/or the editor(s). MDPI and/or the editor(s) disclaim responsibility for any injury to people or property resulting from any ideas, methods, instructions or products referred to in the content.

Share and Cite

MDPI and ACS Style

Liu, X.; Yang, Z.; Ye, X.; Lu, Q.; Yuan, S.; Jiang, F. Numerical Study and Structural Optimization of Impinging Jet Heat Transfer Performance of Floatation Nozzle. Processes 2024, 12, 106. https://doi.org/10.3390/pr12010106

AMA Style

Liu X, Yang Z, Ye X, Lu Q, Yuan S, Jiang F. Numerical Study and Structural Optimization of Impinging Jet Heat Transfer Performance of Floatation Nozzle. Processes. 2024; 12(1):106. https://doi.org/10.3390/pr12010106

Chicago/Turabian Style

Liu, Xijiang, Zhiming Yang, Xin Ye, Qian Lu, Shuai Yuan, and Fengze Jiang. 2024. "Numerical Study and Structural Optimization of Impinging Jet Heat Transfer Performance of Floatation Nozzle" Processes 12, no. 1: 106. https://doi.org/10.3390/pr12010106

APA Style

Liu, X., Yang, Z., Ye, X., Lu, Q., Yuan, S., & Jiang, F. (2024). Numerical Study and Structural Optimization of Impinging Jet Heat Transfer Performance of Floatation Nozzle. Processes, 12(1), 106. https://doi.org/10.3390/pr12010106

Note that from the first issue of 2016, this journal uses article numbers instead of page numbers. See further details here.

Article Metrics

Back to TopTop