Improved Time-Varying BLF-Based Tracking Control of a Position-Constrained Robot
Abstract
:1. Introduction
- (1)
- On the basis of the existing logarithmic barrier function, we multiply the original barrier function with the constraint boundary to obtain an improved barrier function for dealing with the symmetric time-varying constraint requirements of robot systems for the first time. The proposed barrier function can be used for controller design of systems subject to partial state constraints.
- (2)
- Different from the existing logarithmic BLFs [35,36,37,38,43,44,45,46], the improved BLF-based control scheme is a universal one that can be used simultaneously in systems with constraint requirements and without constraint requirements, without altering the designed controller. In addition, the inequality condition for the proposed barrier function is also given to provide a basis for the subsequent proof of system stability. At the same time, it has been theoretically proven that the proposed barrier function can directly design the controller for unconstrained systems.
- (3)
- It can be proven that the system’s error signals can trend to zero asymptotically, and the position constraint boundary is never violated under the proposed controller. In the end, the effectiveness of the presented scheme is indicated by performing three simulation cases.
2. Problem Statements and Preliminaries
2.1. Improved Time-Varying Barrier Function
2.2. System Formulation
2.3. Basic Assumptions and System Transformation
3. Design Process of Controller and Stability Analysis
4. Simulation and Discussion
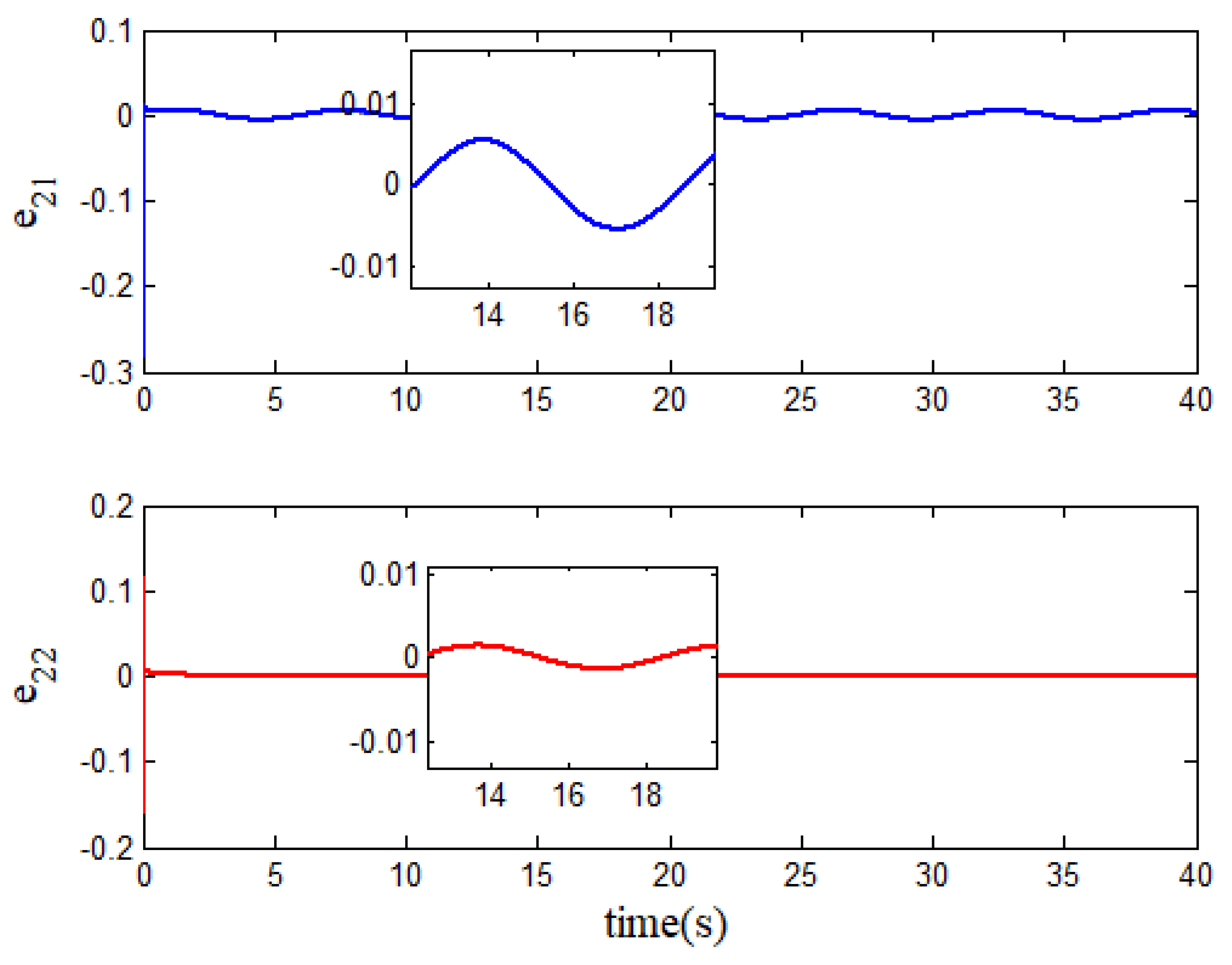
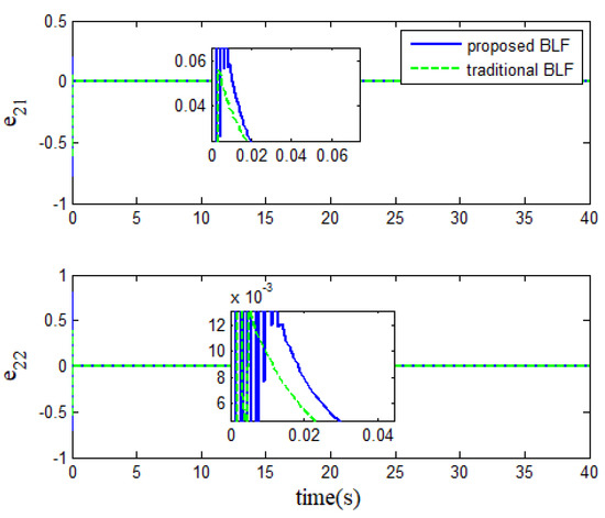
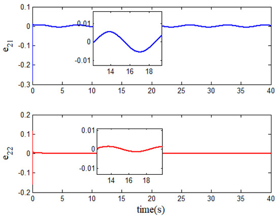
4.1. Control in Case 1
4.2. Control in Case 2
4.3. Control in Case 3
5. Conclusions and Future Research
Author Contributions
Funding
Institutional Review Board Statement
Informed Consent Statement
Data Availability Statement
Conflicts of Interest
References
- Wang, L.; Chen, G.; Wang, X.; Tang, W.K.S. Controllability of networked mimo systems. Automatica 2016, 69, 405–409. [Google Scholar] [CrossRef]
- Liu, L.; Tian, S.; Xue, D.; Zhang, T.; Chen, Y.; Zhang, S. A Review of Industrial MIMO Decoupling Control. Int. J. Control Autom. Syst. 2019, 17, 1246–1254. [Google Scholar] [CrossRef]
- Ji, R.; Li, D.; Ma, J.; Ge, S.S. Saturation-Tolerant Prescribed Control of MIMO Systems With Unknown Control Directions. IEEE Trans. Fuzzy Syst. 2022, 30, 5116–5127. [Google Scholar] [CrossRef]
- Tang, F.; Niu, B.; Wang, H.; Zhang, L.; Zhao, X. Adaptive Fuzzy Tracking Control of Switched MIMO Nonlinear Systems With Full State Constraints and Unknown Control Directions. IEEE Trans. Circuit Syst. II Express Briefs 2022, 69, 2912–2916. [Google Scholar] [CrossRef]
- Yang, T.; Sun, N.; Fang, Y. Adaptive Fuzzy Control for a Class of MIMO Underactuated Systems With Plant Uncertainties and Actuator Deadzones: Design and Experiments. IEEE Trans. Cybern. 2022, 52, 8213–8226. [Google Scholar] [CrossRef]
- Homaeinezhad, M.R.; Yaqubi, S.; Gholyan, H.M. Control of MIMO mechanical systems interacting with actuators through viscoelastic linkages. Mech. Mach. Theory 2020, 147, 103763. [Google Scholar] [CrossRef]
- Hou, Q.; Ding, S. GPIO Based Super-Twisting Sliding Mode Control for PMSM. IEEE Trans. Circuit Syst. II Express Briefs 2021, 68, 747–751. [Google Scholar] [CrossRef]
- Cao, J.; Xie, S.Q.; Das, R. MIMO Sliding Mode Controller for Gait Exoskeleton Driven by Pneumatic Muscles. IEEE Trans. Control Syst. Technol. 2018, 26, 274–281. [Google Scholar] [CrossRef]
- Hu, X.; Hu, C.; Si, X.; Zhao, Y. Robust Sliding Mode-Based Learning Control for MIMO Nonlinear Nonminimum Phase System in General Form. IEEE Trans. Cybern. 2019, 49, 3793–3805. [Google Scholar] [CrossRef]
- Bagheri, F.; Komurcugil, H.; Kukrer, O.; Guler, N.; Bayhan, S. Multi-Input Multi-Output-Based Sliding-Mode Controller for Single-Phase Quasi-Z-Source Inverters. IEEE Trans. Ind. Electron. 2020, 67, 6439–6449. [Google Scholar] [CrossRef]
- Sui, S.; Tong, S. Finite-Time Fuzzy Adaptive PPC for Nonstrict-Feedback Nonlinear MIMO Systems. IEEE Trans. Cybern. 2023, 53, 732–742. [Google Scholar] [CrossRef]
- He, W.; Kong, L.; Dong, Y.; Yu, Y.; Yang, C.; Sun, C. Fuzzy Tracking Control for a Class of Uncertain MIMO Nonlinear Systems With State Constraints. IEEE Trans. Syst. Man Cybern. Syst. 2019, 49, 543–554. [Google Scholar] [CrossRef]
- Kadri, M.B. Model-Free Fuzzy Adaptive Control for MIMO Systems. Arab. J. Sci. Eng. 2017, 42, 2799–2808. [Google Scholar] [CrossRef]
- Zeng, Z.G.; Zheng, W.X. Multistability of neural networks with time-varying delays and concave-convex characteristics. IEEE Trans. Neural Netw. Learn. Syst. 2012, 23, 293–305. [Google Scholar] [CrossRef] [PubMed]
- Zeng, Z.G.; Zheng, W.X. Multistability of two kinds of recurrent neural networks with activation functions symmetrical about the origin on the phase plane. IEEE Trans. Neural Netw. Learn. Syst. 2013, 24, 1749–1762. [Google Scholar] [CrossRef] [PubMed]
- Jin, Q.; Wang, H.; Su, Q.; Jiang, B.; Liu, Q. A novel optimization algorithm for MIMO Hammerstein model identification under heavy-tailed noise. Isa Trans. 2018, 72, 77–91. [Google Scholar] [CrossRef]
- Wallam, F.; Tan, C.P. Output feedback Cross-Coupled Nonlinear PID based MIMO control scheme for Pressurized Heavy Water Reactor. J. Frankl. Inst. 2019, 356, 8012–8048. [Google Scholar] [CrossRef]
- Lee, H.; Snyder, S.; Hovakimyan, N. Adaptive Output Feedback Augmentation for Missile Systems. IEEE Trans. Aerosp. Electron. Syst. 2018, 54, 680–692. [Google Scholar] [CrossRef]
- Tong, S.; Li, Y. Adaptive Fuzzy Output Feedback Control of MIMO Nonlinear Systems With Unknown Dead-Zone Inputs. IEEE Trans. Fuzzy Syst. 2013, 21, 134–146. [Google Scholar] [CrossRef]
- Nguyen, C.H.; Leonessa, A. Adaptive Predictor-Based Output Feedback Control for a Class of Unknown MIMO Linear Systems. J. Nonlinear Sci. 2017, 27, 1257–1290. [Google Scholar] [CrossRef]
- Li, Y.; Li, K.; Tong, S. Finite-Time Adaptive Fuzzy Output Feedback Dynamic Surface Control for MIMO Non-strict Feedback Systems. IEEE Trans. Fuzzy Syst. 2019, 27, 96–110. [Google Scholar] [CrossRef]
- Shi, W. Adaptive Fuzzy Output-Feedback Control for Nonaffine MIMO Nonlinear Systems With Prescribed Performance. IEEE Trans. Fuzzy Syst. 2021, 29, 1107–1120. [Google Scholar] [CrossRef]
- Dimanidis, I.S.; Bechlioulis, C.P.; Rovithakis, G.A. Output Feedback Approximation-Free Prescribed Performance Tracking Control for Uncertain MIMO Nonlinear Systems. IEEE Trans. Autom. Control 2020, 65, 5058–5069. [Google Scholar] [CrossRef]
- Sui, S.; Xu, H.; Tong, S.; Chen, C.L.P. Prescribed Performance Fuzzy Adaptive Output Feedback Control for Nonlinear MIMO Systems in a Finite Time. IEEE Trans. Fuzzy Syst. 2022, 30, 3633–3644. [Google Scholar] [CrossRef]
- Bikas, L.N.; Rovithakis, G.A. Prescribed Performance Tracking of Uncertain MIMO Nonlinear Systems in the Presence of Delays. IEEE Trans. Autom. Control 2023, 68, 96–107. [Google Scholar] [CrossRef]
- Wang, J.; Li, R.; Zhang, G.; Wang, P.; Guo, S. Continuous sliding mode iterative learning control for output constrained MIMO nonlinear systems. Inf. Sci. 2021, 556, 288–304. [Google Scholar] [CrossRef]
- Jin, X. Adaptive Fixed-Time Control for MIMO Nonlinear Systems With Asymmetric Output Constraints Using Universal Barrier Functions. IEEE Trans. Autom. Control 2019, 64, 3046–3053. [Google Scholar] [CrossRef]
- Liu, Y.-J.; Gong, M.; Liu, L.; Tong, S.; Chen, C.L.P. Fuzzy Observer Constraint Based on Adaptive Control for Uncertain Nonlinear MIMO Systems With Time-Varying State Constraints. IEEE Trans. Cybern. 2021, 51, 1380–1389. [Google Scholar] [CrossRef]
- Qiu, J.; Sun, K.; Rudas, I.J.; Gao, H. Command Filter-Based Adaptive NN Control for MIMO Nonlinear Systems With Full-State Constraints and Actuator Hysteresis. IEEE Trans. Cybern. 2020, 50, 2905–2915. [Google Scholar] [CrossRef]
- Wu, L.-B.; Park, J.H.; Xie, X.-P.; Liu, Y.-J. Neural Network Adaptive Tracking Control of Uncertain MIMO Nonlinear Systems With Output Constraints and Event-Triggered Inputs. IEEE Trans. Neural Netw. Learn. Syst. 2021, 32, 695–707. [Google Scholar] [CrossRef]
- Li, M.; Li, Y.; Ge, S.S.; Lee, T.H. Adaptive Control of Robotic Manipulators With Unified Motion Constraints. IEEE Trans. Syst. Man Cybern. Syst. 2017, 47, 184–194. [Google Scholar] [CrossRef]
- Ouyang, Y.; Dong, L.; Sun, C. Critic Learning-Based Control for Robotic Manipulators With Prescribed Constraints. IEEE Trans. Cybern. 2022, 52, 2274–2283. [Google Scholar] [CrossRef] [PubMed]
- Zhao, K.; Song, Y. Neuroadaptive Robotic Control Under Time-Varying Asymmetric Motion Constraints: A Feasibility-Condition-Free Approach. IEEE Trans. Cybern. 2020, 50, 15–24. [Google Scholar] [CrossRef] [PubMed]
- Tang, Z.-L.; Ge, S.S.; Tee, K.P.; He, W. Adaptive neural control for an uncertain robotic manipulator with joint space constraints. Int. J. Control 2016, 89, 1428–1446. [Google Scholar] [CrossRef]
- Zhang, S.; Dong, Y.; Ouyang, Y.; Yin, Z.; Peng, K. Adaptive Neural Control for Robotic Manipulators With Output Constraints and Uncertainties. IEEE Trans. Neural Netw. Learn. Syst. 2018, 29, 5554–5564. [Google Scholar] [CrossRef]
- He, W.; David, A.O.; Yin, Z.; Sun, C. Neural Network Control of a Robotic Manipulator With Input Deadzone and Output Constraint. IEEE Trans. Syst. Man Cybern. Syst. 2016, 46, 759–770. [Google Scholar] [CrossRef]
- He, W.; Chen, Y.; Yin, Z. Adaptive Neural Network Control of an Uncertain Robot With Full-State Constraints. IEEE Trans. Cybern. 2016, 46, 620–629. [Google Scholar] [CrossRef]
- Li, D.-P.; Li, D.-J. Adaptive Neural Tracking Control for an Uncertain State Constrained Robotic Manipulator With Unknown Time-Varying Delays. IEEE Trans. Syst. Man Cybern. Syst. 2018, 48, 2219–2228. [Google Scholar] [CrossRef]
- Sun, W.; Su, S.-F.; Xia, J.; Nguyen, V.-T. Adaptive Fuzzy Tracking Control of Flexible-Joint Robots With Full-State Constraints. IEEE Trans. Syst. Man Cybern. Syst. 2019, 49, 2201–2209. [Google Scholar] [CrossRef]
- Yang, C.; Huang, D.; He, W.; Cheng, L. Neural Control of Robot Manipulators With Trajectory Tracking Constraints and Input Saturation. IEEE Trans. Neural Netw. Learn. Syst. 2021, 32, 4231–4242. [Google Scholar] [CrossRef]
- Yu, X.; He, W.; Li, H.; Sun, J. Adaptive Fuzzy Full-State and Output-Feedback Control for Uncertain Robots With Output Constraint. IEEE Trans. Syst. Man Cybern. Syst. 2021, 51, 6994–7007. [Google Scholar] [CrossRef]
- Sun, W.; Wu, Y.; Lv, X. Adaptive Neural Network Control for Full-State Constrained Robotic Manipulator With Actuator Saturation and Time-Varying Delays. IEEE Trans. Neural Netw. Learn. Syst. 2022, 33, 3331–3342. [Google Scholar] [CrossRef]
- Lu, S.-M.; Li, D.-P.; Liu, Y.-J. Adaptive Neural Network Control for Uncertain Time-Varying State Constrained Robotics Systems. IEEE Trans. Syst. Man Cybern. Syst. 2019, 49, 2511–2518. [Google Scholar] [CrossRef]
- Liu, Y.-J.; Lu, S.; Tong, S. Neural Network Controller Design for an Uncertain Robot With Time-Varying Output Constraint. IEEE Trans. Syst. Man Cybern. Syst. 2017, 47, 2060–2068. [Google Scholar] [CrossRef]
- Wu, Y.; Huang, R.; Wang, Y.; Wang, J. Adaptive tracking control of robot manipulators with input saturation and time-varying output constraints. Asian J. Control 2020, 23, 1476–1489. [Google Scholar] [CrossRef]
- He, W.; Huang, H.; Ge, S.S. Adaptive Neural Network Control of a Robotic Manipulator With Time-Varying Output Constraints. IEEE Trans. Cybern. 2017, 47, 3136–3147. [Google Scholar] [CrossRef]
- Liu, K.; Gao, H.; Ji, H.; Hao, Z. Adaptive Sliding Mode Based Disturbance Attenuation Tracking Control for Wheeled Mobile Robots. Int. J. Control Autom. Syst. 2020, 18, 1288–1298. [Google Scholar] [CrossRef]
- Wang, Y.; Liu, K.; Ji, H. Adaptive robust fault-tolerant control scheme for spacecraft proximity operations under external disturbances and input saturation. Nonlinear Dyn 2022, 108, 207–222. [Google Scholar] [CrossRef]
- Liu, K.; Wang, R.; Wang, X.; Wang, X. Anti-saturation adaptive finite-time neural network based fault-tolerant tracking control for a quadrotor UAV with external disturbances. Aerosp. Sci. Technol. 2021, 115, 106790. [Google Scholar] [CrossRef]
- Yu, J.; Shi, P.; Dong, W.; Lin, C. Command Filtering-Based Fuzzy Control for Nonlinear Systems With Saturation Input. IEEE Trans. Cybern. 2017, 47, 2472–2479. [Google Scholar] [CrossRef]
- Tee, K.P.; Ge, S.S.; Tay, E.H. Barrier Lyapunov Functions for the control of output-constrained nonlinear systems. Automatica 2009, 45, 918–927. [Google Scholar] [CrossRef]
- Liang, X.; Wang, H.; Zhang, Y. Adaptive nonsingular terminal sliding mode control for rehabilitation robots. Comput. Electr. Eng. 2022, 99, 107718. [Google Scholar] [CrossRef]
- Ames, A.D.; Xu, X.; Grizzle, J.W.; Tabuada, P. Control Barrier Function Based Quadratic Programs for Safety Critical Systems. IEEE Trans. Autom. Control 2017, 62, 3861–3876. [Google Scholar] [CrossRef]
- Clark, A. Control barrier functions for stochastic systems. Automatica 2021, 130, 109688. [Google Scholar] [CrossRef]
- Alan, A.; Molnar, T.G.; Das, E.; Ames, A.D.; Orosz, G. Disturbance Observers for Robust Safety-Critical Control With Control Barrier Functions. IEEE Control Syst. Lett. 2023, 7, 1123–1128. [Google Scholar] [CrossRef]













Disclaimer/Publisher’s Note: The statements, opinions and data contained in all publications are solely those of the individual author(s) and contributor(s) and not of MDPI and/or the editor(s). MDPI and/or the editor(s) disclaim responsibility for any injury to people or property resulting from any ideas, methods, instructions or products referred to in the content. |
© 2023 by the authors. Licensee MDPI, Basel, Switzerland. This article is an open access article distributed under the terms and conditions of the Creative Commons Attribution (CC BY) license (https://creativecommons.org/licenses/by/4.0/).
Share and Cite
Zhang, T.; Zhang, J. Improved Time-Varying BLF-Based Tracking Control of a Position-Constrained Robot. Processes 2023, 11, 2785. https://doi.org/10.3390/pr11092785
Zhang T, Zhang J. Improved Time-Varying BLF-Based Tracking Control of a Position-Constrained Robot. Processes. 2023; 11(9):2785. https://doi.org/10.3390/pr11092785
Chicago/Turabian StyleZhang, Tan, and Jinzhong Zhang. 2023. "Improved Time-Varying BLF-Based Tracking Control of a Position-Constrained Robot" Processes 11, no. 9: 2785. https://doi.org/10.3390/pr11092785
APA StyleZhang, T., & Zhang, J. (2023). Improved Time-Varying BLF-Based Tracking Control of a Position-Constrained Robot. Processes, 11(9), 2785. https://doi.org/10.3390/pr11092785
