Oxide Strontium-Barium Perovskites Ceramics: Examinations of Structural Phase Transitions and Potential Application as Oxygen Carriers
Abstract
1. Introduction
2. Materials and Methods
2.1. Synthesis of (Ba1−xSrx)PbO3 and the Materials Quality Examination
2.2. X-ray Diffraction (XRD) Analysis
2.3. Thermogravimetric Analysis (TGA)
3. Results and Discussion
3.1. SrPbO3 Crystal Structure at Room Temperature (RT)
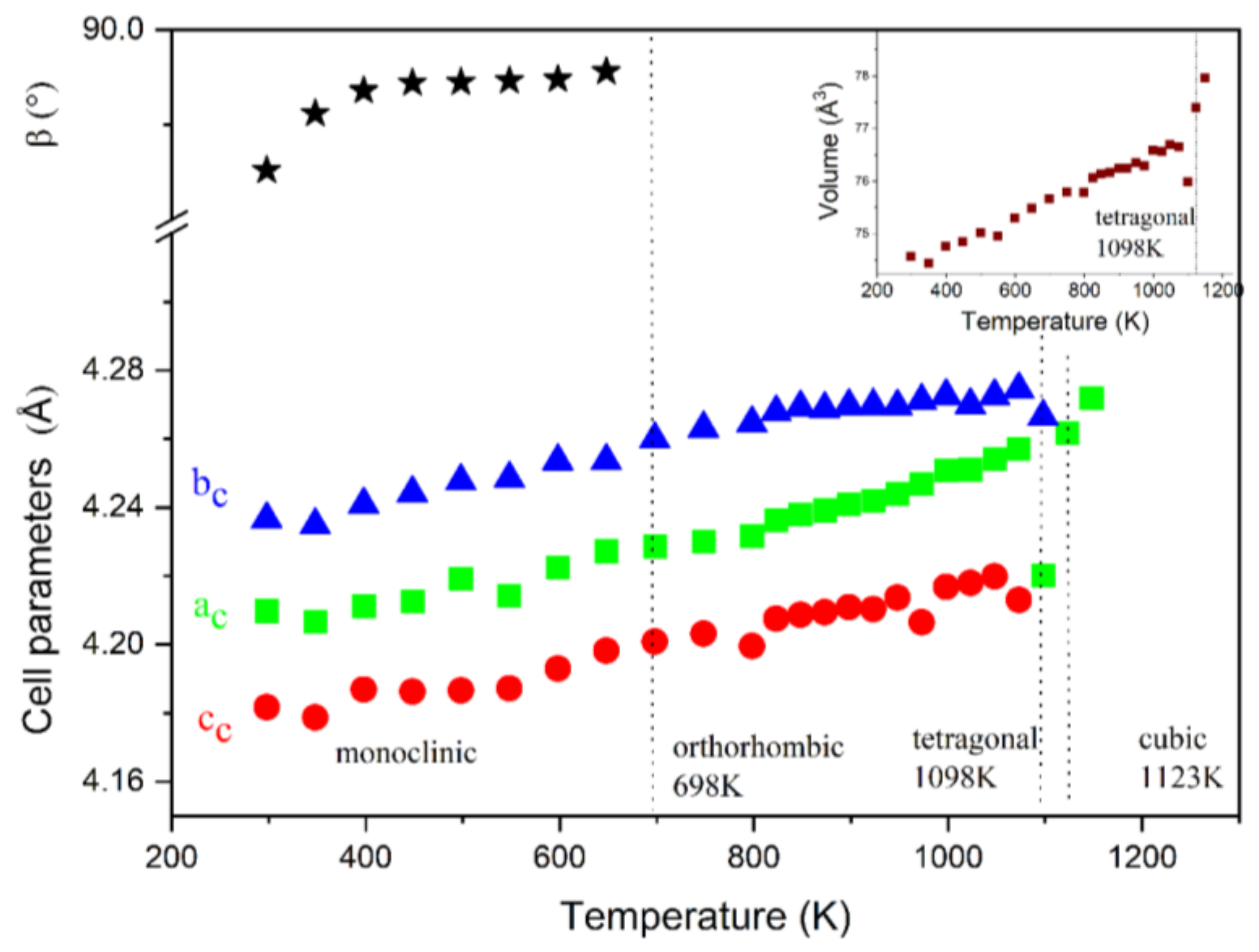
3.2. SrPbO3 Ceramic Structure at High and Low Temperatures
3.3. Doped Samples
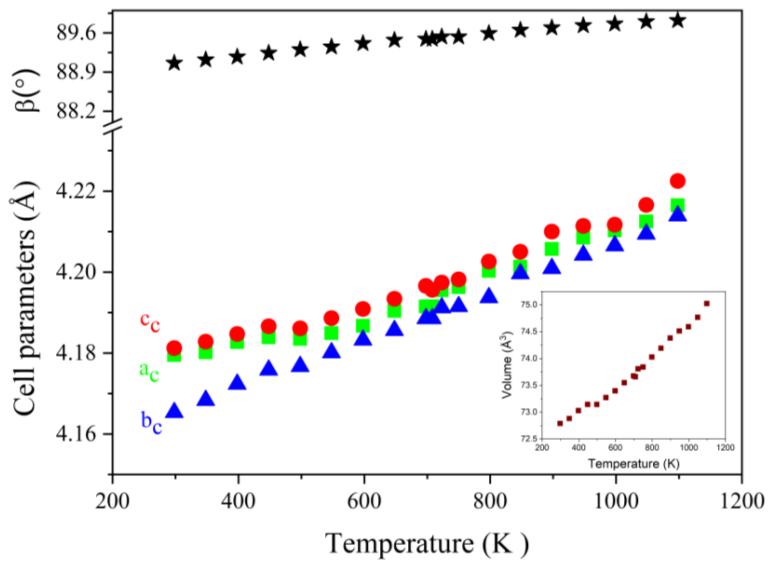
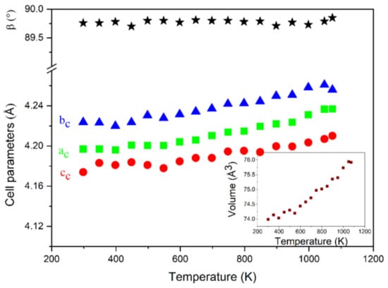
3.3.1. (Ba0.2Sr0.8)PbO3 Ceramic Structure Both at RT and HT
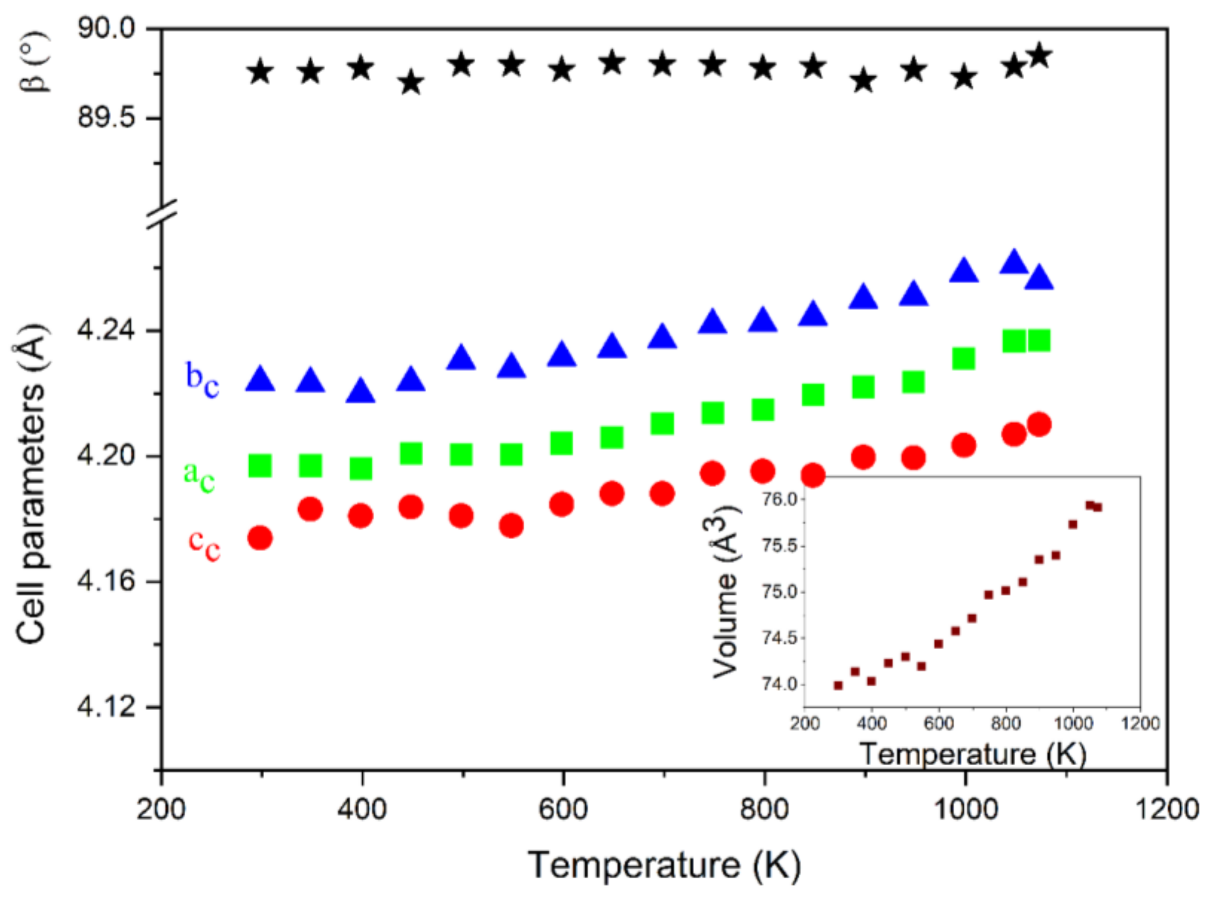
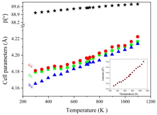
3.3.2. (Ba0.3Sr0.7)PbO3 Ceramic Structure Both at RT and HT
3.4. Discussion on the Crystal Structure of the Oxide Strontium-Barium Perovskites Family
3.5. Potential Application in Different Processes
4. Conclusions
Author Contributions
Funding
Conflicts of Interest
References
- Lee, S.; Cho, J.S.; Kang, D.W. Perovskite/Polyethylene Oxide Composites: Toward Perovskite Solar Cells without Anti-Solvent Treatment. Ceram. Int. 2019, 45, 23399–23405. [Google Scholar] [CrossRef]
- Geffroy, P.M.; Vivet, A.; Guironnet, L.; Richet, N.; Rossignol, F.; Chartier, T. Perovskite Foams Used in Combination with Dense Ceramic Membranes for Oxygen Transport Membrane Applications. Ceram. Int. 2018, 44, 19831–19835. [Google Scholar] [CrossRef]
- Rosa Silva, E.; Nicolini, J.V.; Yamauchi, L.; Machado, T.M.; Curi, M.; Furtado, J.G.; Secchi, A.R.; Ferraz, H.C. Carbon-Based Electrode Loaded with Y-Doped SrTiO3 Perovskite as Support for Enzyme Immobilization in Biosensors. Ceram. Int. 2020, 46, 3592–3599. [Google Scholar] [CrossRef]
- Haye, E.; Capon, F.; Barrat, S.; Boulet, P.; Andre, E.; Carteret, C.; Bruyere, S. Properties of Rare-Earth Orthoferrites Perovskite Driven by Steric Hindrance. J. Alloys Compd. 2016, 657, 631–638. [Google Scholar] [CrossRef]
- Huang, L.; Xu, J.; Sun, X.; Li, C.; Xu, R.; Du, Y.; Ni, J.; Cai, H.; Li, J.; Hu, Z.; et al. Low-Temperature Photochemical Activation of Sol-Gel Titanium Dioxide Films for Efficient Planar Heterojunction Perovskite Solar Cells. J. Alloys Compd. 2018, 735, 224–233. [Google Scholar] [CrossRef]
- Zdorovets, M.; Kozlovskiy, A.; Arbuz, A.; Tishkevich, D.; Zubar, T.; Trukhanov, A. Phase Transformations and Changes in the Dielectric Properties of Nanostructured Perovskite-like LBZ Composites as a Result of Thermal Annealing. Ceram. Int. 2020, 46, 14460–14468. [Google Scholar] [CrossRef]
- Itoh, M.; Sawada, T.; Kim, I.S.; Inaguma, Y.; Nakamura, T. Electrical Properties of the A(Pb1−xBx)O3−δ (A = Ba, Sr, B = Sb, Bi) System. Phys. C Supercond. 1992, 204, 194–202. [Google Scholar] [CrossRef]
- Che, W.; Wei, M.; Sang, Z.; Ou, Y.; Liu, Y.; Liu, J. Perovskite LaNiO3-δ Oxide as an Anion-Intercalated Pseudocapacitor Electrode. J. Alloys Compd. 2018, 731, 381–388. [Google Scholar] [CrossRef]
- Drozd, V.A.; Ekino, T.; Gabovich, A.M.; Pȩkała, M.; Ribeiro, R.A.; Shevchenko, A.D.; Uvarov, V.M. Current Carrier Localization and Coulomb Gap Observed inSrPbO3−δ by Transport Measurements and Tunnel Spectroscopy. J. Phys. Condens. Matter. 2005, 17, 7407. [Google Scholar] [CrossRef]
- Oanh Vu, T.K.; Kim, Y.H.; Ahn, C.W.; Kim, M.H.; Han, I.K.; Kim, E.K. Optimization of Optoelectrical Properties during Synthesizing Methylammonium Lead Iodide Perovskites via a Two-Step Dry Process. J. Mater. Res. Technol. 2021, 14, 1–9. [Google Scholar] [CrossRef]
- Rajeswari, R.; Islavath, N.; Raghavender, M.; Giribabu, L. Recent Progress and Emerging Applications of Rare Earth Doped Phosphor Materials for Dye-Sensitized and Perovskite Solar Cells: A Review. Chem. Rec. 2020, 20, 65–88. [Google Scholar] [CrossRef]
- Zhang, C.; Zeng, K.; Wang, C.; Liu, X.; Wu, G.; Wang, Z.; Wang, D. LaMnO3 Perovskites via a Facile Nickel Substitution Strategy for Boosting Propane Combustion Performance. Ceram. Int. 2020, 46, 6652–6662. [Google Scholar] [CrossRef]
- Qiu, J.; Yang, S. Material and Interface Engineering for High-Performance Perovskite Solar Cells: A Personal Journey and Perspective. Chem. Rec. 2020, 20, 209–229. [Google Scholar] [CrossRef]
- Zhuang, S.; Han, N.; Chen, R.; Yao, Z.; Zou, Q.; Song, F. Perovskite Oxide Based Composite Hollow Fiber Membrane for CO2 Transport. Ceram. Int. 2020, 46, 2538–2544. [Google Scholar] [CrossRef]
- Zhang, H.; Guan, D.; Gao, X.; Yu, J.; Chen, G.; Zhou, W.; Shao, Z. Morphology, Crystal Structure and Electronic State One-Step Co-Tuning Strategy towards Developing Superior Perovskite Electrocatalysts for Water Oxidation. J. Mater. Chem. A 2019, 7, 19228–19233. [Google Scholar] [CrossRef]
- Das, N.; Kumar, S.; Kumar, V.; Jain, N.; Singh, S.; Gupta, L.C.; Ganguli, A.K. LnFe0.5Cr0.5O3 Based Perovskites Showing Multiferroic Properties and Polarization Induced Photoelectrochemical Activity. J. Solid State Chem. 2021, 299, 122200. [Google Scholar] [CrossRef]
- Ksepko, E. Perovskite Sr(Fe1-XCux)O3-δ Materials for Chemical Looping Combustion Applications. Int. J. Hydrogen Energy 2018, 43, 9622–9634. [Google Scholar] [CrossRef]
- Ksepko, E.; Lysowski, R. Effective Direct Chemical Looping Coal Combustion Using Bimetallic Ti-Supported Fe2O3-MnO2 Oxygen Carriers. Greenh. Gases Sci. Technol. 2023. [Google Scholar] [CrossRef]
- Ksepko, E.; Lysowski, R. Extremely Stable and Durable Mixed Fe–Mn Oxides Supported on ZrO2 for Practical Utilization in CLOU and CLC Processes. Catalysts 2021, 11, 1285. [Google Scholar] [CrossRef]
- Ksepko, E.; Ratuszna, A. Crystal Structure and Temperature Dependent Structural Phase Transitions in (Ba1-XSrx)PbO3 (X = 0, 0.2, 0.6) Perovskite Ceramics. Ceram. Int. 2018, 44, 18294–18302. [Google Scholar] [CrossRef]
- Li, C.; Wang, A.; Xie, L.; Deng, X.; Liao, K.; Yang, J.A.; Li, T.; Hao, F. Emerging Alkali Metal Ion (Li+, Na+, K+ and Rb+) Doped Perovskite Films for Efficient Solar Cells: Recent Advances and Prospects. J. Mater. Chem. A 2019, 7, 24150–24163. [Google Scholar] [CrossRef]
- Qin, C.; Matsushima, T.; Klotz, D.; Fujihara, T.; Adachi, C.; Qin, C.; Matsushima, T.; Adachi, C.; Klotz, D.; Fujihara, T. The Relation of Phase-Transition Effects and Thermal Stability of Planar Perovskite Solar Cells. Adv. Sci. 2019, 6, 1801079. [Google Scholar] [CrossRef] [PubMed]
- Soliman, N.K. Factors Affecting CO Oxidation Reaction over Nanosized Materials: A Review. J. Mater. Res. Technol. 2019, 8, 2395–2407. [Google Scholar] [CrossRef]
- Yasukawa, M. High-Temperature Thermoelectric Properties of the Solid Solutions BaBi1−x Pbx O3 (X = 0−1). J. Mater. Sci. Lett. 2001, 20, 1493–1495. [Google Scholar] [CrossRef]
- Shin, W.; Murayama, N.; Ikeda, K.; Sago, S. Thermoelectric Power Generation Using Li-Doped NiO and (Ba, Sr)PbO3 Module. J. Power Sources 2001, 103, 80–85. [Google Scholar] [CrossRef]
- Shin, W.; Murayama, N.; Ikeda, K.; Sago, S.; Terasaki, I. Thermoelectric Device of Na(Co, Cu)2O4 and (Ba, Sr)PbO3. J. Ceram. Soc. Japan 2002, 110, 727–730. [Google Scholar] [CrossRef]
- Kao, W.; Haberichter, S.L.; Bullock, K.R. Corrosion Resistant Coating for a Positive Lead/Acid Battery Electrode. J. Electrochem. Soc. 1992, 139, L105–L107. [Google Scholar] [CrossRef]
- Shannon, R.D. Unit Cell and Space Group of SrPbO3. J. Solid State Chem. 1971, 3, 184–185. [Google Scholar] [CrossRef]
- Keller, H.L.; Meier, K.H.; Müller-Buschbaum, H. Zur Kristallstruktur von SrPbO3. Zeitschrift fur Naturforsch.-Sect. B J. Chem. Sci. 1975, 30, 277–278. [Google Scholar] [CrossRef]
- Ritter, H.; Ihringer, J.; Maichle, J.K.; Prandl, W.; Hoser, A.; Hewat, A.W. The Crystal Structure of the Prototypic Ceramic Superconductor BaPbO3: An X-ray and Neutron Diffraction Study. Z. Für Phys. B Condens. Matter. 1989, 75, 297–302. [Google Scholar] [CrossRef]
- Shuvaeva, E.T.; Fesenko, E. Synthesis And X-ray Investigation of Perovskites BaPbO3 and SrPbO3-Sov. Phys. Crystallogr. 1970, 15, 321. [Google Scholar]
- Hester, J.R.; Howard, C.J.; Kennedy, B.J.; Macquart, R. High-Temperature Structural Studies of SrPbO3 and BaPbO3. Aust. J. Chem. 2002, 55, 543–545. [Google Scholar] [CrossRef]
- Lobanov, M.V.; Kopnin, E.M.; Xenikos, D.; Grippa, A.J.; Antipov, E.V.; Capponi, J.J.; Marezio, M.; Julien, J.P.; Tholence, J.L. Synthesis and Resistivity Properties of Sr1−XLaxPbO3-δ and SrPb1−XBixO3−δ. Mater. Res. Bull. 1997, 32, 983–992. [Google Scholar] [CrossRef]
- Fu, W.T.; Ijdo, D.J.W. A Comparative Study on the Structure of APbO3 (A = Ba,Sr). Solid State Commun. 1995, 95, 581–585. [Google Scholar] [CrossRef]
- Itoh, M.; Sawada, T.; Kim, I.S.; Inaguma, Y.; Nakamura, T. Composition Dependence of Carrier Concentration and Conductivity in (Ba1−xSrx)PbO3−δ System. Solid State Commun. 1992, 83, 33–36. [Google Scholar] [CrossRef]
- Murayama, N.; Yasukawa, M. High Temperature Thermoelectric Properties of Ba1-XSrxPbO3 (0 ≤ x ≤ 1.0). In Proceedings of the Seventeenth International Conference on Thermoelectrics, Proceedings ICT98, Nagoya, Japan, 28 May 1988; IEEE: New York, NY, USA, 1988; pp. 563–566. [Google Scholar]
- Keester, K.L.; White, W.B. Crystal Chemistry and Properties of Phases in the System SrO-PbO-O. J. Solid State Chem. 1970, 2, 68–73. [Google Scholar] [CrossRef]
- Thornton, G.; Jacobson, A.J. A Powder Neutron Diffraction Determination of the Structure of BaPbO3 at 4.2 K. Mater. Res. Bull. 1976, 11, 837–841. [Google Scholar] [CrossRef]
- Moussa, S.M.; Kennedy, B.J.; Vogt, T. Structural Variants in ABO3 Type Perovskite Oxides. On the Structure of BaPbO3. Solid State Commun. 2001, 119, 549–552. [Google Scholar] [CrossRef]
- He, J.; Li, T.; Liu, X.; Su, H.; Ku, Z.; Zhong, J.; Huang, F.; Peng, Y.; Cheng, Y.B. Influence of Phase Transition on Stability of Perovskite Solar Cells under Thermal Cycling Conditions. Sol. Energy 2019, 188, 312–317. [Google Scholar] [CrossRef]
- Tao, S.; Irvine, J.T.S. Discovery and Characterization of Novel Oxide Anodes for Solid Oxide Fuel Cells. Chem. Rec. 2004, 4, 83–95. [Google Scholar] [CrossRef]
- Ksepko, E.; Winiarski, A.; Ratuszna, A. X-ray Powder Diffraction Study of Structural Phase Transitions in (Ba0.5Sr0.5)PbO3 Perovskite. Phase Transit. 2004, 77, 335–344. [Google Scholar] [CrossRef]
- Shao, D.; Hutchinson, E.J.; Heidbrink, J.; Pan, W.P.; Chou, C.L. Behavior of Sulfur during Coal Pyrolysis. J. Anal. Appl. Pyrolysis 1994, 30, 91–100. [Google Scholar] [CrossRef]
- Woodward, P.M. Octahedral Tilting in Perovskites. I. Geometrical Considerations. Acta Crystallogr. Sect. B Struct. Sci. 1997, 53, 32–43. [Google Scholar] [CrossRef]
- Jorda, J.L.; Lebbou, K.; Galez, P.; Abraham, R. Solid State Equilibrium in the Doubly Substituted (TI, Pb)(Sr, Ba)O3 System. J. Alloys Compd. 1997, 256, 34–39. [Google Scholar] [CrossRef]
- Azuma, T.; Sakamoto, Y.; Takahashi, S.; Kuwabara, M. Preparation of Dense BaPbO3 Ceramic Electrode Materials for Ferroelectric Thin Films and Their Electrical and Thermal Properties. J. Ceram. Soc. Japan 1994, 102, 2369–2380. [Google Scholar] [CrossRef]
- Hadjarab, B.; Saadi, S.; Bouguelia, A.; Trari, M. Physical Properties and Photoelectrochemical Characterization of SrPbO3. Phys. Status Solidi 2007, 204, 2369–2380. [Google Scholar] [CrossRef]
















| Composition | Weight (%) |
|---|---|
| Moisture | 10.40 |
| Ash | 9.00 |
| Volatile matter | 39.70 |
| Carbon | 71.86 |
| Hydrogen | 4.93 |
| Nitrogen | 1.67 |
| Sulphur | 3.77 |
| Oxygen | 8.76 |
| Chlorine | 0.02 |
| Indices in Multiplied Cell (hkl) | Cation Displacement/Octahedra Tilting |
|---|---|
| 302, −302, 320, 322, −322, 124, 142, 502 (odd-even-even) | Sr2+ cation displacement from their ideal positions |
| −311, −131, 311 (odd-odd-odd) | PbO6 octahedra tilting of a− type |
| 103, 301, 143, 341, −321, 123, −501, 105 (odd-even-odd) | PbO6 octahedra tilting of b+ type |
| SrPbO3 298 K Pbnm | |||||
|---|---|---|---|---|---|
| a = 5.858 (1) Å b = 5.955 (5) Å c = 8.326 (1) Å V = 290.4 (8) Å3 | |||||
| Ion | X | Y | Z | B (Temp.) | SOF |
| Sr+2 | 0.0054 (0) | 0.4605 (3) | 0.25 | 0.40 (9) | 0.49 (5) |
| Pb+2 | 0.0 | 0.0 | 0.0 | 0.11 (6) | 0.49 (8) |
| O−2I | 0.1435 (2) | 0.0736 (9) | 0.25 | 0.70 (9) | 0.48 (4) |
| O−2II | 0.2136 (4) | 0.3055 (2) | −0.0311 (2) | 0.89 (6) | 0.98 (8) |
| RB = 5.89% Rf = 6.29% χ2 = 0.347 | |||||
| SrPbO3 14 K Pbnm | |||||
| a = 5.836 (2) Å b = 5.952 (3) Å c = 8.294 (5) Å V = 288.1 (4) Å3 | |||||
| Ion | X | Y | Z | B (temp.) | SOF |
| Sr+2 | 0.0057 (9) | 0.4651 (7) | 0.25 | 0.34 (8) | 0.50 (5) |
| Pb+4 | 0.0 | 0.0 | 0.0 | 0.01 (5) | 0.47 (9) |
| O−2I | 0.1582 (9) | 0.0515 (0) | 0.25 | 0.61 (5) | 0.50 |
| O−2II | 0.2253 (0) | 0.2833 (0) | −0.0411 (0) | 0.69 (9) | 0.84 (2) |
| RB = 9.69% Rf = 13.3% χ2 = 0.347 | |||||
| Interatomic Distances (Å)/ Interatomic Angles (°) | BaPbO3 | (Ba0.5Sr0.5)PbO3 | SrPbO3 |
|---|---|---|---|
| Pb-OI | 2.151 (8) | 2.297 (2) | 2.287 (2) |
| Pb-OII | 2.162 (5) 2.165 (4) | 2.203 (8) 2.105 (4) | 2.223 (2) 2.055 (1) |
| Pb-OIII | 2.140 (5) 2.143 (4) | ||
| Ba/Sr-OI | 3.013 (4) 2.645 (6) 3.081 (1) | 2.253 (1) 2.323 (5) | 2.453 (1) 2.160 (5) |
| Ba/Sr-OII | 2.799 (9) 3.260 (8) | 3.026 (3) 2.905 (7) 2.649 (0) | |
| 3.020 (2) 2.958 (3) 2.589 (5) | 2.799 (9) 2.964 (9) | ||
| Ba/Sr-OIII | 2.864 (6) 3.146 (8) | ||
| OI-Pb-OII | 87.1 (7) | 84.9 (9) 85.0 (0) | 85.5 (6) 94.4 (3) |
| OII-Pb-OII | 89.2 (3) | 90.7 (4) | |
| OI-Pb-OIII | 88.1 (2) | ||
| OII-Pb-OIII | 90.4 (0) | ||
| Tilting angles (°) | BaPbO3 a−b0c− | (Ba0.5Sr0.5)PbO3 a−a−c+ | SrPbO3 a−b+a− |
| φ1 | 10.74 | 7.88 | 11.89 |
| φ2 | - | 7.88 | 10.91 |
| φ3 | 11.02 | 10.49 | 11.89 |
Disclaimer/Publisher’s Note: The statements, opinions and data contained in all publications are solely those of the individual author(s) and contributor(s) and not of MDPI and/or the editor(s). MDPI and/or the editor(s) disclaim responsibility for any injury to people or property resulting from any ideas, methods, instructions or products referred to in the content. |
© 2023 by the authors. Licensee MDPI, Basel, Switzerland. This article is an open access article distributed under the terms and conditions of the Creative Commons Attribution (CC BY) license (https://creativecommons.org/licenses/by/4.0/).
Share and Cite
Ksepko, E.; Lysowski, R.; Alifah, M. Oxide Strontium-Barium Perovskites Ceramics: Examinations of Structural Phase Transitions and Potential Application as Oxygen Carriers. Processes 2023, 11, 2144. https://doi.org/10.3390/pr11072144
Ksepko E, Lysowski R, Alifah M. Oxide Strontium-Barium Perovskites Ceramics: Examinations of Structural Phase Transitions and Potential Application as Oxygen Carriers. Processes. 2023; 11(7):2144. https://doi.org/10.3390/pr11072144
Chicago/Turabian StyleKsepko, Ewelina, Rafal Lysowski, and Miratul Alifah. 2023. "Oxide Strontium-Barium Perovskites Ceramics: Examinations of Structural Phase Transitions and Potential Application as Oxygen Carriers" Processes 11, no. 7: 2144. https://doi.org/10.3390/pr11072144
APA StyleKsepko, E., Lysowski, R., & Alifah, M. (2023). Oxide Strontium-Barium Perovskites Ceramics: Examinations of Structural Phase Transitions and Potential Application as Oxygen Carriers. Processes, 11(7), 2144. https://doi.org/10.3390/pr11072144

