Transient Simulation and Optimization for the Integral Hoisting of Extra-Large Air Separation Cold Box
Abstract
1. Introduction
2. Methodology
2.1. Simulation Model
2.1.1. Geometric Model Generation
2.1.2. Mesh Generation and Coupling
2.1.3. Boundary Conditions
2.1.4. Grid Independence and Validation
2.2. Optimization Model
3. Results and Discussion
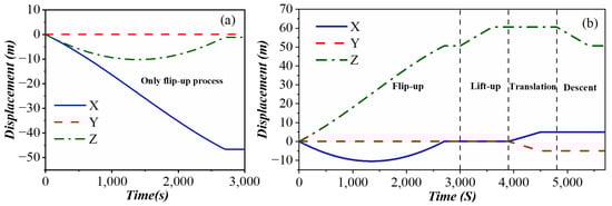
3.1. Hoisting Posture Analysis
3.2. Mechanical Performance Analysis
3.2.1. Analysis of Mechanical Properties of Tower Equipment
3.2.2. Analysis of the Mechanical Properties of Trusses
3.3. Optimal Design of Lifting Points
4. Conclusions
Author Contributions
Funding
Data Availability Statement
Conflicts of Interest
References
- Akashah, M.H.N.; Rozali, N.E.M.; Mahadzir, S.; Liew, P.Y. Utilization of Cold Energy from LNG Regasification Process: A Review of Current Trends. Processes 2023, 11, 22. [Google Scholar] [CrossRef]
- Ail, S.S.; Dasappa, S. Biomass to liquid transportation fuel via Fischer Tropsch synthesis—Technology review and current scenario. Renew. Sustain. Energy Rev. 2016, 58, 267–286. [Google Scholar] [CrossRef]
- Zhang, X.B.; Chen, J.Y.; Yao, L.; Huang, Y.H.; Zhang, X.J.; Qiu, L.M. Research and development of large-scale cryogenic air separation in China. J. Zhejiang Univ. Sci. A 2014, 15, 309–322. [Google Scholar] [CrossRef]
- Smith, A.R.; Klosek, J. A review of air separation technologies and their integration with energy conversion processes. Fuel Process. Technol. 2001, 70, 115–134. [Google Scholar] [CrossRef]
- Wang, J.; Xiang, H.; Zhang, J.; Wu, T.; Xu, R. Geometric state transfer method for construction control of a large-segment steel box girder with hoisting installation. J. Zhejiang Univ. Sci. A 2020, 21, 382–391. [Google Scholar] [CrossRef]
- Zhang, F.; Li, R.; Liu, Y.; Sun, R.; Li, Z. Rapid finite element analysis of hull block lifting based on parameterization method. J. Dalian Univ. Technol. 2020, 60, 22–29. [Google Scholar]
- Yang, W. Research on Mechanical Properties of Multi-point Integral Lifting Process of LNG Storage Tank. Ind. Constr. 2022, 52, 116–121. [Google Scholar]
- Zhang, D.; Ge, S.; Qiang, Y. Research on the fatigue and fracture behavior due to the fretting wear of steel wire in hoisting rope. Wear 2003, 255, 1233–1237. [Google Scholar] [CrossRef]
- Choi, K.-S.; Kim, J.-J.; Lee, J.-H.; Chan, G.-W. Lifting Lug by the Change of form Using Multivariate Functions: An Optimal Design Study. J. Korean Soc. Manuf. Process Eng. 2021, 20, 31–38. [Google Scholar] [CrossRef]
- Chapai, S. Local stress analysis of tailing lugs in a vertical pressure vessel. Int. J. Press. Vessel. Pip. 2023, 203, 104945. [Google Scholar] [CrossRef]
- Park, J.; An, G.; Lee, H. Influence on properties of base metal after elimination of lifting-lug member in a dissimilar welding between steel base and steel lifting lug. Int. J. Nav. Archit. Ocean. Eng. 2019, 11, 858–864. [Google Scholar] [CrossRef]
- Paik, J.K.; Pedersen, P.T. A simplified method for predicting ultimate compressive strength of ship panels. Int. Shipbuild. Prog. 1996, 43, 139–157. [Google Scholar]
- Zhang, J.; Wang, D.; Zhang, D.; Ge, S.R.; Wangb, D. Dynamic torsional characteristics of mine hoisting rope and its internal spiral components. Tribol. Int. 2017, 109, 182–191. [Google Scholar] [CrossRef]
- Min, L.; Hu, X.; Yao, W.; Bui, T.Q.; Zhang, P. On realizing specific failure initiation criteria in the phase field model. Comput. Methods Appl. Mech. Eng. 2022, 394, 114881. [Google Scholar] [CrossRef]
- Hu, X.; Xu, H.; Xi, X.; Zhang, P.; Yang, S. Meso-scale phase field modelling of reinforced concrete structures subjected to corrosion of multiple reinforcements. Constr. Build. Mater. 2022, 321, 126376. [Google Scholar] [CrossRef]
- Zhang, P.; Tan, S.; Hu, X.; Yao, W.; Zhuang, X. A double-phase field model for multiple failures in composites. Compos. Struct. 2022, 293, 115730. [Google Scholar] [CrossRef]
- Wen, Y.; Chen, G.; Wang, Y.; Zhao, D.; Lian, Z.; Sun, Z. The Study on Finite Element Strength Analysis for FPSO Accommodation Lifting. In Proceedings of the 29th International Ocean and Polar Engineering Conference, Honolulu, HI, USA, 16–21 June 2019. [Google Scholar]
- Xiang, S.; Cheng, B.; Kookalani, S. An analytic solution for form finding of GFRP elastic gridshells during lifting construction. Compos. Struct. 2020, 244, 112290. [Google Scholar] [CrossRef]
- Shen, M.; Chang, H.; Zhang, W.; Li, Q.; Wen, C. Anti-deformation Design of Thin-wall Large-span Box Structure during Lifting by Layers. At. Energy Sci. Technol. 2022, 56, 189. [Google Scholar]
- Wang, X.; Chen, B.; Lin, Y.; Gao, S. Hiberarchy optimization of lift points for large-span steel structure based on particle swarm optimization. J. Dalian Univ. Technol. 2012, 52, 664–669. [Google Scholar]
- Tian, L.M.; Hao, J.P.; Wei, J.P.; Zheng, J. Integral lifting simulation of long-span spatial steel structures during construction. Autom. Constr. 2016, 70, 156–166. [Google Scholar] [CrossRef]
- Zheng, J.; Hao, J.; Wang, H.; Yang, X. Multi-suspension-centers integral lifting technology for long-span steel roof and research of form and structure in lifting process. Build. Struct. 2009, 39, 83–87. [Google Scholar]
- Li, S.G.; Li, H. Optimization method of Hoisting Points Schemes Using Strain Energy Criterion. In Proceedings of the International Conference on Computer-Aided Design, Manufacturing, Modeling and Simulation (CDMMS 2011), Hangzhou, China, 13–16 September 2011; p. 583. [Google Scholar]
- Ge, S.; Zeng, J.; Dong, X.; Liu, Z.; Zhu, H.; Zhang, W. Research on Simulation and Control of Pre-deformation of Large Cabin Unit in Viking Cruise Ship. Shipbuild. China 2022, 63, 1–14. [Google Scholar]
- Tian, L.; Hao, J.; Li, C.; Wang, Y. Simulation analysis on integral lifting of large-span steel roof structures during construction process. J. Build. Struct. 2013, 34, 33–39. [Google Scholar]
- An, L.; Jiang, W.; Liu, Y.; Shi, Q.; Wang, Y.; Liu, S. Experimental study of mechanical behavior of angles in transmission towers under freezing temperature. Adv. Steel Constr. 2018, 14, 461–478. [Google Scholar]
- Xu, Q.; Wang, G.D.; Zhang, H.T. Investigation into the microstructure and properties of wire arc additive manufactured 09MnNiDR steel. Adv. Compos. Lett. 2020, 29, 2633366X20945716. [Google Scholar] [CrossRef]
- Ahn, J.S.; Woo, K.S. Analysis of Cantilever Plates with Stepped Section using p-Convergent Transition Element for Solid-to-Shell Connections. Adv. Struct. Eng. 2011, 14, 1167–1183. [Google Scholar] [CrossRef]
- Kitamura, M.; Hamada, K.; Takezawa, A.; Uedera, T. Shape Optimization System of Bottom Structure of Ship Incorporating Individual Mesh Subdivision and Multi-Point Constraint. Int. J. Offshore Polar Eng. 2011, 21, 209–215. [Google Scholar]
- Davila, C.G. Solid-to-shell transition-elements for the computation of interlaminar stresses. Comput. Syst. Eng. 1994, 5, 193–202. [Google Scholar] [CrossRef]
- Liao, X.; Dan, D.H.; Han, F.; Zhao, R. Research on the Dynamic Characteristics of the Double Slings System with Elastic Connection Considering Boundary Conditions. Mathematics 2022, 10, 3129. [Google Scholar] [CrossRef]
- Rajeh, T.; Al-Kbodi, B.H.; Zhang, H.L. Thermal Stress and Deformation of Hollow Paddle-Shaft Components with Internal High Temperature Molten Salt Flow. Processes 2020, 8, 1557. [Google Scholar] [CrossRef]
- Hong, J.; Tian, W. Prediction in Catalytic Cracking Process Based on Swarm Intelligence Algorithm Optimization of LSTM. Processes 2023, 11, 1454. [Google Scholar] [CrossRef]
- Shrivastava, S.; Ghosh, C.; Jonas, J.J. A comparison of the von Mises and Hencky equivalent strains for use in simple shear experiments. Philos. Mag. 2012, 92, 779–786. [Google Scholar] [CrossRef]

















| Part | Size | Weight | Material | Yield Strength Sy |
|---|---|---|---|---|
| Truss | 8.10 m × 7.00 m × 58.70 m | 168,757.0 kg | Q235B | 241.4 MPa |
| Cold box panel | 8.10 m × 7.0 0 m × 57.85 m | 71,562.9 kg | Q235B | 241.4 MPa |
| Tower equipment | 5.22 m × 5.22 m × 51.61 m | 124,955.7 kg | 09MnNiDR | ≥300 MPa |
| Saddle support | / | 12,941.8 kg | Q345B | 377.6 MPa |
| Base ring | 5.22 m × 5.22 m × 0.15 m | 5630.8 kg | Q345B | 377.6 MPa |
| Lug | 1.14 m × 1.14 m × 0.67 m | 15,631.6 kg | Q345B | 345 MPa |
| Element Type | Solid & Solid | Solid & Shell | Solid & Beam | Shell & Shell | Shell & Beam | Beam & Beam |
|---|---|---|---|---|---|---|
| Connection Type | Co-nodes; Contact: Bonded | Contact: MPC | Contact: MPC; Joint: Fixed | Co-nodes; Grid connection; Spot welding | Co-nodes; Joint: Fixed; Spot welding; Mesh: Pinch | Co-nodes; Joint: Fixed; Spot welding; |
| X | Y | Z | Total | |
|---|---|---|---|---|
| Flip-up | 2.368 × 10−4 m | 1.144 × 10−4 m | −1.138 × 10−2 m | 1.138 × 10−2 m |
| Lift-up | 3.955 × 10−4 m | 1.113 × 10−4 m | −1.528 × 10−2 m | 1.528 × 10−2 m |
| Translation | 3.759 × 10−4 m | 2.466 × 10−3 m | −1.670 × 10−2 m | 1.689 × 10−2 m |
| Descent | 3.883 × 10−4 m | 1.229 × 10−4 m | −1.536 × 10−2 m | 1.537 × 10−2 m |
| X1 | X2 | X3 | X4 | |
|---|---|---|---|---|
| Range | 0 m~2.5 m | 0 m~2.5 m | 0 m~2 m | 0 m~2 m |
Disclaimer/Publisher’s Note: The statements, opinions and data contained in all publications are solely those of the individual author(s) and contributor(s) and not of MDPI and/or the editor(s). MDPI and/or the editor(s) disclaim responsibility for any injury to people or property resulting from any ideas, methods, instructions or products referred to in the content. |
© 2023 by the authors. Licensee MDPI, Basel, Switzerland. This article is an open access article distributed under the terms and conditions of the Creative Commons Attribution (CC BY) license (https://creativecommons.org/licenses/by/4.0/).
Share and Cite
Tong, Z.; He, S.; Tong, S.; Han, Y.; Peng, X. Transient Simulation and Optimization for the Integral Hoisting of Extra-Large Air Separation Cold Box. Processes 2023, 11, 2143. https://doi.org/10.3390/pr11072143
Tong Z, He S, Tong S, Han Y, Peng X. Transient Simulation and Optimization for the Integral Hoisting of Extra-Large Air Separation Cold Box. Processes. 2023; 11(7):2143. https://doi.org/10.3390/pr11072143
Chicago/Turabian StyleTong, Zheming, Sheng He, Shuiguang Tong, Yisong Han, and Xudong Peng. 2023. "Transient Simulation and Optimization for the Integral Hoisting of Extra-Large Air Separation Cold Box" Processes 11, no. 7: 2143. https://doi.org/10.3390/pr11072143
APA StyleTong, Z., He, S., Tong, S., Han, Y., & Peng, X. (2023). Transient Simulation and Optimization for the Integral Hoisting of Extra-Large Air Separation Cold Box. Processes, 11(7), 2143. https://doi.org/10.3390/pr11072143
