The Combustion of Forest Humus Blended with Low-Rank Coal: Effects of Oxygen Ratio and Blending Ratio
Abstract
1. Introduction
2. Materials and Methods
2.1. Experimental Materials
2.2. Experiment
2.3. Combustion Characteristics of the Samples
2.4. Analysis of Mixed Combustion Synergistic Interaction
2.5. Kinetic and Thermodynamic Analyses
2.5.1. The Kissinger–Akahira–Sunose (KAS) Method
2.5.2. The Flynn–Wall–Ozawa (FWO) Method
2.5.3. The Friedman Method
2.6. Computational Method of Thermodynamic Parameters
3. Results and Discussion
3.1. Thermal Behavior of Individual Samples
3.1.1. Comparison of Humus and Original Biomass
3.1.2. Thermal Behavior of PN, PH, and SL under Increased O2/N2 Atmosphere
3.1.3. Co-Combustion Behavior of the PN/SL Blends under Synthetic Air
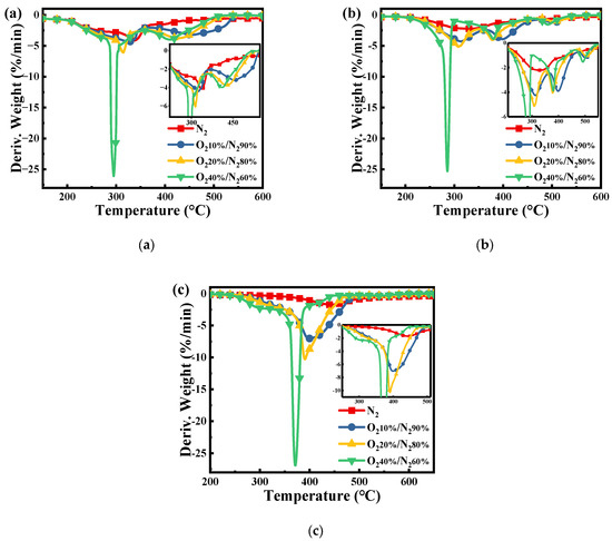
3.2. Co-Combustion Behavior of the PH/SL Blends under Increased O2/N2 Atmosphere
3.3. Synergistic Interaction of PH and SL under Increased O2/N2 Atmosphere
3.4. Discussion on the Kinetics
3.4.1. Calculation of Apparent Activation Energy
3.4.2. Discussion on Thermodynamic Parameters
4. Conclusions
Supplementary Materials
Author Contributions
Funding
Data Availability Statement
Conflicts of Interest
References
- Toptas, A.; Yildirim, Y.; Duman, G.; Yanik, J. Combustion behavior of different kinds of torrefied biomass and their blends with lignite. Bioresour. Technol. 2015, 177, 328–336. [Google Scholar] [CrossRef] [PubMed]
- Wu, Z.Q.; Ma, C.; Jiang, Z.; Luo, Z.Y. Structure evolution and gasification characteristic analysis on co-pyrolysis char from lignocellulosic biomass and two ranks of coal: Effect of wheat straw. Fuel 2019, 239, 180–190. [Google Scholar] [CrossRef]
- Sun, Y.; Chen, J.; Zhang, Z. Distributional and compositional insight into the polluting materials during sludge combustion: Roles of ash. Fuel 2018, 220, 318–329. [Google Scholar] [CrossRef]
- Wei, Y.; Tian, H.; Liu, L.; Cheng, S.; Qing, M.; Chen, Y.; Yang, H.; Yang, Y. The effects of alkali metals and alkaline earth metals on the mechanism of N-containing gases production during glutamic acid pyrolysis. J. Anal. Appl. Pyrolysis 2022, 168, 105787. [Google Scholar] [CrossRef]
- Liu, Y.Q.; Tan, W.Y.; Liang, S.H.; Bi, X.L.; Sun, R.Y.; Pan, X.J. Comparative study on the co-combustion behavior of torrefied biomass blended with different rank coals. Biomass Convers. Biorefinery 2022, 12, 1–13. [Google Scholar] [CrossRef]
- Zhao, K.; Jensen, A.D.; Glarborg, P. NO Formation during Oxy-Fuel Combustion of Coal and Biomass Chars. Energy Fuels 2014, 28, 4684–4693. [Google Scholar] [CrossRef]
- Carvalho, A.; Rabaçal, M.; Costa, M.; Alzueta, M.U.; Abián, M. Effects of potassium and calcium on the early stages of combustion of single biomass particles. Fuel 2017, 209, 787–794. [Google Scholar] [CrossRef]
- Zhang, R.; Lei, K.; Ye, B.Q.; Cao, J.; Liu, D. Effects of alkali and alkaline earth metal species on the combustion characteristics of single particles from pine sawdust and bituminous coal. Bioresour. Technol. 2018, 268, 278–285. [Google Scholar] [CrossRef]
- Qu, X.Y.; Zhou, G.L.; Cao, Y.J.; Li, P.; He, Y.Y.; Zhang, J. Synergetic effect on the combustion of lignite blended with humus: Thermochemical characterization and kinetics. Appl. Therm. Eng. 2019, 152, 137–146. [Google Scholar] [CrossRef]
- Li, H.J.; Chi, H.Y.; Han, H.D.; Hu, S.; Song, G.x.; Wang, Y.k.; He, L.m.; Wang, Y.; Su, S.; Xiang, J. Comprehensive study on co-combustion behavior of pelletized coal-biomass mixtures in a concentrating photothermal reactor. Fuel Process. Technol. 2021, 211, 106596. [Google Scholar] [CrossRef]
- Zhang, Y.Y.; Zhang, Z.Z.; Zhu, M.M.; Cheng, F.Q.; Zhang, D.K. Interactions of coal gangue and pine sawdust during combustion of their blends studied using differential thermogravimetric analysis. Bioresour. Technol. 2016, 214, 396–403. [Google Scholar] [CrossRef]
- Yang, X.D.; Luo, Z.Y.; Liu, X.R.; Yu, C.J.; Li, Y.a.; Ma, Y.C. Experimental and numerical investigation of the combustion characteristics and NO emission behaviour during the co-combustion of biomass and coal. Fuel 2021, 287, 119383. [Google Scholar] [CrossRef]
- Oladejo, J.; Adegbite, S.; Gao, X.; Liu, H.; Wu, T. Catalytic and non-catalytic synergistic effects and their individual contributions to improved combustion performance of coal/biomass blends. ApEn 2018, 211, 334–345. [Google Scholar] [CrossRef]
- Oladejo, J.; Adegbite, S.; Pang, C.H.; Liu, H.; Parvez, A.; Wu, T. A novel index for the study of synergistic effects during the co-processing of coal and biomass. ApEn 2017, 188, 215–225. [Google Scholar] [CrossRef]
- Qin, Y.H.; He, Y.Y.; Ren, W.P.; Gao, M.J.; Wiltowski, T. Catalytic effect of alkali metal in biomass ash on the gasification of coal char in CO2. J. Therm. Anal. Calorim. 2019, 139, 3079–3089. [Google Scholar] [CrossRef]
- Liu, Y.Z.; Wang, Z.Y.; Wan, K.D.; Lv, Y.; Xia, J.; He, Y.; Cen, K.F. In-situ measurements of release characteristics and catalytic effects of different chemical forms of sodium during combustion of Zhundong coal. Energy Fuels 2018, 32, 6595–6602. [Google Scholar] [CrossRef]
- Ni, Z.S.; Song, Z.H.; Bi, H.B.; Jiang, C.L.; Sun, H.; Qiu, Z.C.; He, L.Q.; Lin, Q.Z. The effect of cellulose on the combustion characteristics of coal slime: TG-FTIR, principal component analysis, and 2D-COS. Fuel 2023, 333, 126310. [Google Scholar] [CrossRef]
- Shui, H.F.; Hui, Z.; Jiang, Q.Q.; Zhou, H.; Pan, C.X.; Wang, Z.C.; Lei, Z.P.; Ren, S.B.; Kang, S.G. Co-thermal dissolution of Shenmu–Fugu subbituminous coal and sawdust. Fuel Process. Technol. 2015, 131, 87–92. [Google Scholar] [CrossRef]
- He, Y.Y.; Chang, C.; Li, P.; Han, X.L.; Li, H.L.; Fang, S.Q.; Chen, J.Y.; Ma, X.J. Thermal decomposition and kinetics of coal and fermented cornstalk using thermogravimetric analysis. Bioresour. Technol. 2018, 259, 294–303. [Google Scholar] [CrossRef]
- Ellis, N.; Masnadi, M.S.; Roberts, D.G.; Kochanek, M.A.; Ilyushechkin, A.Y. Mineral matter interactions during co-pyrolysis of coal and biomass and their impact on intrinsic char co-gasification reactivity. Chem. Eng. J. 2015, 279, 402–408. [Google Scholar] [CrossRef]
- Kajitani, S.; Zhang, Y.; Umemoto, S.; Ashizawa, M.; Hara, S. Co-gasification Reactivity of Coal and Woody Biomass in High-Temperature Gasification. Energy Fuels 2010, 24, 145–151. [Google Scholar] [CrossRef]
- Barmina, I.; Valdmanis, R.; Zake, M. The effects of biomass co-gasification and co-firing on the development of combustion dynamics. Energy 2018, 146, 4–12. [Google Scholar] [CrossRef]
- Qian, X.; Lee, S.; Chandrasekaran, R.; Yang, Y.; Caballes, M.; Alamu, C. Electricity Evaluation and Emission Characteristics of Poultry Litter Co-Combustion Process. Appl. Sci. 2019, 9, 4116. [Google Scholar] [CrossRef]
- Zhang, P.; Chen, Z.; Zhang, Q.; Zhang, S.; Ning, X.; Zhou, J. Co-pyrolysis characteristics and kinetics of low metamorphic coal and pine sawdust. RSC Adv. 2022, 12, 21725–21735. [Google Scholar] [CrossRef] [PubMed]
- Satyam Naidu, V.; Aghalayam, P.; Jayanti, S. Synergetic and inhibition effects in carbon dioxide gasification of blends of coals and biomass fuels of Indian origin. Bioresour. Technol. 2016, 209, 157–165. [Google Scholar] [CrossRef]
- Wei, J.; Guo, Q.; Chen, H.; Chen, X.; Yu, G. Study on reactivity characteristics and synergy behaviours of rice straw and bituminous coal co-gasification. Bioresour. Technol. 2016, 220, 509–515. [Google Scholar] [CrossRef]
- Ismail, T.M.; Banks, S.W.; Yang, Y.; Yang, H.; Chen, Y.; Bridgwater, A.V.; Ramzy, K.; Abd El-Salam, M. Coal and biomass co-pyrolysis in a fluidized-bed reactor: Numerical assessment of fuel type and blending conditions. Fuel 2020, 275, 118004. [Google Scholar] [CrossRef]
- Rousset, P.; Macedo, L.; Commandré, J.M.; Moreira, A. Biomass torrefaction under different oxygen concentrations and its effect on the composition of the solid by-product. J. Anal. Appl. Pyrolysis 2012, 96, 86–91. [Google Scholar] [CrossRef]
- Cheng, W.; Shao, J.A.; Zhu, Y.J.; Zhang, W.; Jiang, H.; Hu, J.; Zhang, X.; Yang, H.; Chen, H. Effect of oxidative torrefaction on particulate matter emission from agricultural biomass pellet combustion in comparison with non-oxidative torrefaction. Renew. Energy 2022, 189, 39–51. [Google Scholar] [CrossRef]
- Varol, M.; Atimtay, A.T.; Olgun, H.; Atakül, H. Emission characteristics of co-combustion of a low calorie and high sulfur–lignite coal and woodchips in a circulating fluidized bed combustor: Part 1. Effect of excess air ratio. Fuel 2014, 117, 792–800. [Google Scholar] [CrossRef]
- Yang, G.; Liu, Y.; Gao, L.; Su, Y. Investigation of the synergistic effect and kinetic behavior of anthracite and biochar during co-combustion process in pure oxygen atmosphere. J. Energy Inst. 2022, 101, 1–18. [Google Scholar] [CrossRef]
- Chen, C.; Huang, Y.; Yang, S.; Qin, S.; Chen, F. Effect of oxygen enriched atmospheres on combustion of bagasse, coal and theirs blends by thermogravimetric analysis. J. Environ. Chem. Eng. 2020, 8, 104398. [Google Scholar] [CrossRef]
- Rein, G.; Garcia, J.; Simeoni, A.; Tihay, V.; Ferrat, L. Smouldering natural fires: Comparison of burning dynamics in boreal peat and Mediterranean humus. In Modelling, Monitoring and Management of Forest Fires I; WIT Press: Ashurst Lodge, UK, 2008; pp. 183–192. [Google Scholar]
- Fahmy, T.Y.A.; Fahmy, Y.; Mobarak, F.; El-Sakhawy, M.; Abou-Zeid, R.E. Biomass pyrolysis: Past, present, and future. Environ. Dev. Sustain. 2020, 22, 17–32. [Google Scholar] [CrossRef]
- Patidar, K.; Singathia, A.; Vashishtha, M.; Kumar Sangal, V.; Upadhyaya, S. Investigation of kinetic and thermodynamic parameters approaches to non-isothermal pyrolysis of mustard stalk using model-free and master plots methods. Mater. Sci. Energy Technol. 2022, 5, 6–14. [Google Scholar] [CrossRef]
- Qian, X.; Lee, S.; Soto, A.-m.; Chen, G. Regression Model to Predict the Higher Heating Value of Poultry Waste from Proximate Analysis. Resources 2018, 7, 39. [Google Scholar] [CrossRef]
- DemİRbaŞ, A. Relationships Between Heating Value and Lignin, Fixed Carbon, and Volatile Material Contents of Shells from Biomass Products. Energy Sources 2003, 25, 629–635. [Google Scholar] [CrossRef]
- Xiao, Z.; Wang, S.; Luo, M.; Cai, J. Combustion characteristics and synergistic effects during co-combustion of lignite and lignocellulosic components under oxy-fuel condition. Fuel 2022, 310, 122399. [Google Scholar] [CrossRef]
- Mehmood, M.; Ahmed, M.; Liu, Q.; Liu, C.G.; Tahir, M.; Aloqbi, A.; Tarbiah, N.; Alsufiani, H.; Gull, M. Helianthus tuberosus as a promising feedstock for bioenergy and chemicals appraised through pyrolysis, kinetics, and TG-FTIR-MS based study. Energy Convers. Manag. 2019, 194, 37–45. [Google Scholar] [CrossRef]
- Shahbeig, H.; Nosrati, M. Pyrolysis of municipal sewage sludge for bioenergy production: Thermo-kinetic studies, evolved gas analysis, and techno-socio-economic assessment. Renew. Sustain. Energy Rev. 2020, 119, 109567. [Google Scholar] [CrossRef]
- Kissinger, H.E. Reaction Kinetics in Differential Thermal Analysis. Anal. Chem. 1957, 29, 1702–1706. [Google Scholar] [CrossRef]
- Tong, W.; Liu, Q.; Ren, S.; Zhou, J.; Zhang, T.; Yang, C. Effect of pyrolysis temperature on pine sawdust chars and their gasification reactivity mechanism with CO2. Asia-Pac. J. Chem. Eng. 2018, 13, e2256. [Google Scholar] [CrossRef]
- Barzegar, R.; Yozgatligil, A.; Atimtay, A.T. Co-combustion of high and low ash lignites with raw and torrefied biomass under air and oxy-fuel combustion atmospheres. Energy Sources Part A Recovery Util. Environ. Eff. 2022, 1–15. [Google Scholar] [CrossRef]
- Xu, Y.L.; Chen, B.L. Investigation of thermodynamic parameters in the pyrolysis conversion of biomass and manure to biochars using thermogravimetric analysis. Bioresour. Technol. 2013, 146, 485–493. [Google Scholar] [CrossRef] [PubMed]
- Prabhakar, A.; Sadhukhan, A.K.; Gupta, P. Study of co-pyrolysis kinetics, synergetic effects, and thermodynamics of coal and biomass blends. Energy Sources Part A Recovery Util. Environ. Eff. 2022, 44, 7095–7108. [Google Scholar] [CrossRef]
- Gani, A.; Naruse, I. Effect of cellulose and lignin content on pyrolysis and combustion characteristics for several types of biomass. Renew. Energy 2007, 32, 649–661. [Google Scholar] [CrossRef]
- Dorez, G.; Ferry, L.; Sonnier, R.; Taguet, A.; Lopez-Cuesta, J.M. Effect of cellulose, hemicellulose and lignin contents on pyrolysis and combustion of natural fibers. J. Anal. Appl. Pyrolysis 2014, 107, 323–331. [Google Scholar] [CrossRef]
- Shi, K.Q.; Oladejo, J.M.; Yan, J.F.; Wu, T. Investigation on the interactions among lignocellulosic constituents and minerals of biomass and their influences on co-firing. Energy 2019, 179, 129–137. [Google Scholar] [CrossRef]
- Li, X.W.; Mei, Q.Q.; Dai, X.H.; Ding, G.J. Effect of anaerobic digestion on sequential pyrolysis kinetics of organic solid wastes using thermogravimetric analysis and distributed activation energy model. Bioresour. Technol. 2017, 227, 297–307. [Google Scholar] [CrossRef]
- Esfilar, R.; Mehrpooya, M.; Moosavian, S.M.A. Thermodynamic assessment of an integrated biomass and coal co-gasification, cryogenic air separation unit with power generation cycles based on LNG vaporization. Energy Convers. Manag. 2018, 157, 438–451. [Google Scholar] [CrossRef]
- Zou, H.H.; Evrendilek, F.; Liu, J.; Buyukada, M. Combustion behaviors of pileus and stipe parts of Lentinus edodes using thermogravimetric-mass spectrometry and Fourier transform infrared spectroscopy analyses: Thermal conversion, kinetic, thermodynamic, gas emission and optimization analyses. Bioresour. Technol. 2019, 288, 121481. [Google Scholar] [CrossRef]
- Zhang, J.H.; Liu, J.Y.; Evrendilek, F.; Zhang, X.C.; Buyukada, M. TG-FTIR and Py-GC/MS analyses of pyrolysis behaviors and products of cattle manure in CO2 and N2 atmospheres: Kinetic, thermodynamic, and machine-learning models. Energy Convers. Manag. 2019, 195, 346–359. [Google Scholar] [CrossRef]
- Zhang, J.H.; Liu, J.Y.; Evrendilek, F.; Xie, W.M.; Kuo, J.H.; Zhang, X.C.; Buyukada, M. Kinetics, thermodynamics, gas evolution and empirical optimization of cattle manure combustion in air and oxy-fuel atmospheres. Appl. Therm. Eng. 2019, 149, 119–131. [Google Scholar] [CrossRef]
- Gohar, H.; Khoja, A.H.; Ansari, A.A.; Naqvi, S.R.; Liaquat, R.; Hassan, M.; Hasni, K.; Qazi, U.Y.; Ali, I. Investigating the characterisation, kinetic mechanism, and thermodynamic behaviour of coal-biomass blends in co-pyrolysis process. Process Saf. Environ. Prot. 2022, 163, 645–658. [Google Scholar] [CrossRef]
- Yan, J.C.; Yang, Q.T.; Zhang, L.; Lei, Z.P.; Li, Z.K.; Wang, Z.C.; Ren, S.B.; Kang, S.G.; Shui, H.F. Investigation of kinetic and thermodynamic parameters of coal pyrolysis with model-free fitting methods. Carbon Resour. Convers. 2020, 3, 173–181. [Google Scholar] [CrossRef]
- Aprianti, N.; Faizal, M.; Said, M.; Nasir, S.; Fudholi, A. Gasification kinetic and thermodynamic parameters of fine coal using thermogravimetric analysis. Energy 2023, 268, 126666. [Google Scholar] [CrossRef]
- Ming, X.; Xu, F.F.; Jiang, Y.; Zong, P.J.; Wang, B.; Li, J.; Qiao, Y.Y.; Tian, Y.Y. Thermal degradation of food waste by TG-FTIR and Py-GC/MS: Pyrolysis behaviors, products, kinetic and thermodynamic analysis. J. Clean. Prod. 2020, 244, 118713. [Google Scholar] [CrossRef]







| SL | PH | PN | |
|---|---|---|---|
| Proximate analysis (wt.%, ad) | |||
| Moisture | 10.21 | 12.51 | 16.36 |
| Volatile matter | 33.35 | 49.49 | 51.25 |
| Ash | 17.22 | 13.91 | 12.31 |
| Fixed carbon | 39.23 | 24.09 | 20.08 |
| HHV (higher heating value), MJ/kg | 19.38 | 19.46 | 16.37 |
| Ultimate analysis (wt.%, daf) | |||
| C | 71.11 | 54.73 | 49.84 |
| H | 5.82 | 7.46 | 9.16 |
| O | 20.72 | 36.26 | 38.94 |
| N | 1.21 | 1.54 | 2.02 |
| S | 1.14 | 0.01 | 0.04 |
| Ash composition (wt.%, ad) | |||
| Na | 1.24 | 2.65 | 1.95 |
| K | 0.91 | 12.76 | 9.88 |
| Ca | 6.74 | 39.63 | 34.54 |
| Mg | 0.45 | 5.18 | 3.82 |
| Si | 61.59 | 12.45 | 12.38 |
| Al | 15.86 | 8.95 | 10.69 |
| Fe | 5.86 | 8.83 | 9.97 |
| Sr | 2.10 | 3.16 | 3.81 |
| Zn | 0.03 | 1.13 | 1.95 |
| Mn | 0.04 | 0.33 | 1.65 |
| S | 5.19 | 0.63 | 1.12 |
| Cl | 0.12 | 3.12 | 4.72 |
| P | 0.26 | 1.18 | 3.52 |
| Sample | Ti (°C) | (dw/dt) Max (%/min) | (dw/dt) Mean (%/min) | Tb (°C) | S (10−7 min−2 °C−3) |
|---|---|---|---|---|---|
| PN | 260 | −6.09 | −1.12 | 672 | 1.50 |
| PH | 267.5 | −5.15 | −1.43 | 604 | 1.70 |
| SL | 368.7 | −10.27 | −2.06 | 676.1 | 2.30 |
| Sample | Ti (°C) | (dw/dt) Max (%/min) | (dw/dt) Mean (%/min) | Tb (°C) | S (10−7 min−2 °C−3) |
|---|---|---|---|---|---|
| NBR20% | 282.1 | −8.93 | −2.42 | 627.3 | 4.33 |
| NBR50% | 270.9 | −7.30 | −2.10 | 641.9 | 3.25 |
| NBR80% | 263.6 | −3.87 | −1.85 | 653.6 | 1.57 |
| HBR20% | 316.5 | −11.99 | −2.40 | 582.7 | 4.93 |
| HBR50% | 305.4 | −9.26 | −2.22 | 580.4 | 3.80 |
| HBR80% | 285.5 | −4.79 | −1.84 | 587.7 | 1.84 |
| Sample | Ti (°C) | Tp1 (°C) | Tp2 (°C) | Tp3 (°C) | Tb (°C) | Mf (%) |
|---|---|---|---|---|---|---|
| SL (O220%/N280%) | 368.7 | - | 396.9 | - | 676.1 | 22.85 |
| PH (O220%/N280%) | 267.5 | 306.3 | 359.5 | 491.7 | 604.3 | 15.57 |
| HBR20% (O210%/N290%) | 351.7 | - | 389.6 | - | 618.6 | 18.45 |
| HBR20% (O220%/N280%) | 316.5 | 329.4 | 382.7 | - | 582.7 | 18.23 |
| HBR20% (O240%/N260%) | 269.6 | 288.5 | 365.5 | - | 562.8 | 17.73 |
| HBR50% (O210%/N290%) | 311.7 | 329.4 | 388.5 | 505.4 | 609.5 | 17.91 |
| HBR50% (O220%/N280%) | 305.4 | 321.1 | 378.3 | 498.5 | 580.4 | 17.59 |
| HBR50% (O240%/N260%) | 262.1 | 280.2 | 362.2 | - | 566.2 | 16.73 |
| HBR80% (O210%/N290%) | 292.1 | 319.8 | 396.1 | 502.1 | 598.7 | 17.25 |
| HBR80% (O220%/N280%) | 285.5 | 315.5 | 372.1 | 501.7 | 587.7 | 17.02 |
| HBR80% (O240%/N260%) | 259.6 | 281.7 | 361.9 | - | 559.8 | 16.28 |
| α | N2 | 10%O2/90%N2 | 20%O2/80%N2 | 40%O2/60%N2. | ||||
|---|---|---|---|---|---|---|---|---|
| Eα | R2 | Eα | R2 | Eα | R2 | Eα | R2 | |
| 0.1 | 77.58 | 0.9585 | 69.78 | 0.9754 | 79.68 | 0.9631 | 98.83 | 0.9702 |
| 0.2 | 100.36 | 0.9621 | 83.44 | 0.9798 | 96.12 | 0.9698 | 111.27 | 0.9711 |
| 0.3 | 125.15 | 0.9845 | 124.46 | 0.9896 | 106.67 | 0.9798 | 122.64 | 0.9732 |
| 0.4 | 177.36 | 0.9825 | 162.34 | 0.9842 | 113.12 | 0.9792 | 141.49 | 0.9872 |
| 0.5 | 197.63 | 0.9867 | 178.03 | 0.9861 | 121.43 | 0.9887 | 175.67 | 0.9876 |
| 0.6 | 183.92 | 0.9923 | 175.28 | 0.9846 | 120.36 | 0.9886 | 170.10 | 0.9843 |
| 0.7 | 156.34 | 0.9906 | 155.45 | 0.9888 | 114.49 | 0.9868 | 144.54 | 0.9844 |
| 0.8 | 137.23 | 0.9912 | 132.09 | 0.9944 | 107.20 | 0.9866 | 132.33 | 0.9836 |
| 0.9 | 113.06 | 0.9906 | 120.37 | 0.9927 | 106.55 | 0.9687 | 130.74 | 0.9699 |
| Sample | Eα(kJ/mol) | ΔH (kJ/mol) | ΔS (J/(mol·K)) | ΔG (kJ/mol) |
|---|---|---|---|---|
| SL (O220%/N280%) | 110.94 | 105.35 | 34.85 | 176.09 |
| PH (O220%/N280%) | 141.73 | 136.68 | 109.85 | 156.36 |
| HBR20% (N2) | 154.00 | 148.32 | 98.17 | 177.82 |
| HBR20% (O210%/N290%) | 144.44 | 139.11 | 97.16 | 165.78 |
| HBR20% (O220%/N280%) | 105.20 | 99.57 | 25.79 | 169.82 |
| HBR20% (O240%/N260%) | 142.58 | 137.48 | 106.22 | 157.73 |
| HBR50% (O220%/N280%) | 131.14 | 125.80 | 34.85 | 166.68 |
| HBR80% (O220%/N280%) | 137.19 | 132.01 | 109.85 | 161.03 |
Disclaimer/Publisher’s Note: The statements, opinions and data contained in all publications are solely those of the individual author(s) and contributor(s) and not of MDPI and/or the editor(s). MDPI and/or the editor(s) disclaim responsibility for any injury to people or property resulting from any ideas, methods, instructions or products referred to in the content. |
© 2023 by the authors. Licensee MDPI, Basel, Switzerland. This article is an open access article distributed under the terms and conditions of the Creative Commons Attribution (CC BY) license (https://creativecommons.org/licenses/by/4.0/).
Share and Cite
Zhou, G.; Zhang, T.; Lou, C.; Wang, K.; Yun, Q.; Li, P.; Qu, X.; Li, G. The Combustion of Forest Humus Blended with Low-Rank Coal: Effects of Oxygen Ratio and Blending Ratio. Processes 2023, 11, 1615. https://doi.org/10.3390/pr11061615
Zhou G, Zhang T, Lou C, Wang K, Yun Q, Li P, Qu X, Li G. The Combustion of Forest Humus Blended with Low-Rank Coal: Effects of Oxygen Ratio and Blending Ratio. Processes. 2023; 11(6):1615. https://doi.org/10.3390/pr11061615
Chicago/Turabian StyleZhou, Guoli, Tong Zhang, Chenfei Lou, Kunpeng Wang, Qinghang Yun, Peng Li, Xiaoyang Qu, and Guosheng Li. 2023. "The Combustion of Forest Humus Blended with Low-Rank Coal: Effects of Oxygen Ratio and Blending Ratio" Processes 11, no. 6: 1615. https://doi.org/10.3390/pr11061615
APA StyleZhou, G., Zhang, T., Lou, C., Wang, K., Yun, Q., Li, P., Qu, X., & Li, G. (2023). The Combustion of Forest Humus Blended with Low-Rank Coal: Effects of Oxygen Ratio and Blending Ratio. Processes, 11(6), 1615. https://doi.org/10.3390/pr11061615
