Next Article in Journal
Sustainable Bioactive Composite of Glehnia littoralis Extracts for Osteoblast Differentiation and Bone Formation
Next Article in Special Issue
Water-Assisted Catalytic VACNT Growth Optimization for Speed and Height
Previous Article in Journal
Wet-Process-Modified Blue-Green Algae Biochar by K2FeO4 for the Efficient Adsorption of Cr(VI) from Water
Previous Article in Special Issue
Study on Mechanical Properties of Composite Foundation with Rigid Pile Based on the Cushion and Strength Adjustor Control
 
 
Font Type:
Arial Georgia Verdana
Font Size:
Aa Aa Aa
Line Spacing:
Column Width:
Background:
Article

Post-Fire Analysis of Thermally Sprayed Coatings: Evaluating Microstructure, Mechanical Integrity, and Corrosion Behavior

1
Department of Civil, Construction, and Environmental Engineering, North Dakota State University, Fargo, ND 58102, USA
2
Department of Mechanical Engineering, University of Nevada, Las Vegas, NV 89154, USA
3
Department of Coatings and Polymeric Materials, North Dakota State University, Fargo, ND 58102, USA
*
Author to whom correspondence should be addressed.
Processes 2023, 11(5), 1490; https://doi.org/10.3390/pr11051490
Submission received: 22 March 2023 / Revised: 2 May 2023 / Accepted: 11 May 2023 / Published: 15 May 2023
(This article belongs to the Special Issue Design, Control, and Evaluation of Advanced Engineered Materials)

Abstract

This paper examines the impact of fire on the microstructural, mechanical, and corrosion behavior of wire-arc-sprayed zinc, aluminum, and Zn-Al pseudo-alloy coatings. Steel plates coated with these materials were subjected to temperatures in increments of 100 °C, starting from 300 °C and progressing until failure. Microstructural characterization, microhardness, abrasion resistance, and electrochemical impedance studies were performed on the post-fire coatings. The findings from this study show that heat had a positive impact on the performance of zinc and Zn-Al pseudo-alloy coatings when they were exposed to temperatures of up to 400 °C, while aluminum coatings maintain their performance up to 600 °C. However, above these temperatures, the effectiveness of coatings was observed to decline, due to increased high-temperature oxidation, and porosity, in addition to decreased microhardness, abrasion resistance, and corrosion protection performance. Based on the findings from this study, appropriately sealed thermal-spray-coated steel components can be reused after exposure to fire up to a specific temperature depending on the coating material.

1. Introduction

The need for engineering steel in the construction of infrastructure has grown and necessitated the application of diverse steel classifications, such as those with lower carbon content, those of higher strength, and those of ultra-high strength To prevent corrosion damage and extend the lifespan of these steel structures especially, in offshore, marine, and industrial settings, metallic protective coatings are applied [1]. Due to their desirable protection performance, metallic coatings of zinc, aluminum, and their respective alloys are commonly applied to protect steel structures from corrosion. Among the various zinc-aluminum alloys, Zn-15Al (85 wt.% zinc and 15 wt.% aluminum) is a commonly used one, which is known to offer excellent corrosion protection through both barrier action and cathodic protection functionalities. For the application of these coatings, thermal spray technology, specifically wire arc, is gaining popularity among a range of coating application methods due to its flexibility to achieve the desired coating thickness and, most importantly, high processing speeds [2]. Several studies have explored the mechanical properties and corrosion performance of these thermally sprayed zinc and aluminum coatings, demonstrating the effective corrosion protection mechanisms offered by these coatings in chloride environments. In addition to Zn-15Al coatings, wire-arc-sprayed Zn-Al pseudo-alloy coatings are also gaining popularity which allows the flexibility to change the composition of zinc and aluminum in the coating microstructure without the need for pre-alloying of the wires. According to recent studies, these pseudo-alloy coatings of zinc and aluminum, with an aluminum content of 30 to 40 wt.% are excellent candidates for corrosion mitigation in steel structures [3,4,5].
For steel structures, in addition to corrosion, fire presents another critical hazard, especially in structures such as offshore platforms, oil and gas pipelines, and bridges, which are particularly susceptible to fire [6,7]. Over the last decade, the oil and gas pipeline industry has experienced around 1200 fire accidents, resulting in an economic loss of USD 5.4 billion, as well as fatalities [8]. In addition, incidents such as tanker truck accidents, wildfires, and bushfires [9,10] can also cause fire-induced damage to transportation assets such as bridges [11]. It has been observed that the mechanical properties of steel sections become compromised following exposure to fire, with the degree of ineffectiveness dependent on the temperature of the fire [12]. However, several published works investigating the behavior of steels following fire exposure have shown that yield strength, modulus of elasticity, and ultimate tensile strength of different grades of steels remain unaffected when subjected to temperatures of up to 600 °C [13,14].
These post-fire studies on steel were conducted on bare/uncoated steel members; however, structural steel members are usually safeguarded by protective coatings to prevent corrosion. These anti-corrosive coatings can be either metallic or polymer-based or a combination of both materials [15,16]. Thus, it is imperative to examine the post-fire properties of coated steels when exposed to fire. While there have been advancements in creating high-temperature resistant polymer coatings, conventional polymer-based anti-corrosive coatings, such as epoxies and polyurethanes, typically degrade above 200 °C and may not survive high fire temperatures. On the other hand, anti-corrosive metallic coatings of zinc and aluminum have much higher melting points (420 °C for zinc and 660 °C for aluminum) and can survive elevated temperatures of fire. However, there are only a few studies available on how these metallic coatings behave when exposed to high fire temperatures. For instance, a study by Graig et al. [17] demonstrated that hot-dip galvanization can offer passive protection to structural steels during fire exposure. The study also showed that heat development was slower in galvanized steel compared to uncoated steel. Similarly, the performance of hot-dip galvanized steel members was examined by McLean et al. [18] during bushfires. The results of the work suggested that at a recorded temperature of 675 °C, the galvanized coatings remained intact.
The aforementioned studies solely focused on galvanized steel, and no information on post-fire microstructural changes, mechanical integrity, and electrochemical corrosion behavior of the coated steel was available. Particularly, no post-fire studies are currently available on the thermally sprayed corrosion-protective coatings of zinc and aluminum. As mentioned previously, because thermally sprayed Zn-15Al coatings are commonly applied for corrosion protection, the authors examined these coatings’ post-fire behavior recently [19]. The results of the study indicated that the protective properties of the wire-arc-sprayed Zn-15Al coatings were unaffected until 600 °C exposure, suggesting their probable reuse. When subjected to temperatures beyond 600 °C, the coatings lost their integrity and failed by cracking. In light of the promising outcomes of the post-fire performance evaluation of Zn-15Al coatings, the present work aims to explore three other popular wire-arc-sprayed coatings, namely zinc, aluminum, and Zn-Al pseudo-alloy coatings. Thus, this paper presents the efficacy of these wire-arc-sprayed coatings on structural steel when subjected to simulated high fire temperatures, by analyzing the changes in coatings through physical observations, microstructural characterization, and mechanical and electrochemical tests. The following sections of the manuscript delve into the specifics of the experimental design and present significant observations and results.

2. Coatings Application Procedure

In this study, a wire-arc-spray gun (Thermion, Poulsbo, WA, USA) with a robotic arm setup was used to apply three different coatings, namely pure zinc (Zn), pure aluminum (Al), and Zn-Al pseudo-alloy coatings, onto ASTM A 36 steel plates of size 50 mm × 50 mm. The wire-arc process employs two consumable feedstock wires (which make up the material to be coated) that are given opposite electric charges and are fed close together. This generates an electric arc, causing the wires to melt. Using compressed air, molten material is sprayed onto the substrate steel to form a coating. This study utilized commercially available 1.6 mm diameter pure zinc and pure aluminum wires as two feedstock wires in the spray gun to produce Zn and Al coatings, respectively. On the other hand, for the production of a Zn-Al pseudo-alloy coating, one pure Zn wire and one pure Al wire were used on opposite sides of the spray gun as feedstock wires. With this setup, both metal wires were melted simultaneously, resulting in the production of a Zn-Al pseudo-alloy coating [4]. The steel plates were grit-blasted prior to the coating deposition using alumina to improve adhesion. The parameters of the wire-arc-spray process are detailed in Table 1. The resulting coatings, including Zn, Al, and Zn-Al pseudo-alloy, had thicknesses of 220 ± 50 µm, 200 ± 50 µm, and 250 ± 50 µm, respectively.

3. High-Temperature Testing of the Coatings

The coated steel specimens were heated using an electrically powered furnace (Thermal Systems Inc., Santa Clara, CA, USA) to simulate fire temperatures. The temperature of the specimens gradually increased from room temperature up to a chosen level, which varied between 300 °C and the point where a noticeable failure was observed in increments of 100 °C. The initial test temperature of 300 °C was chosen considering the melting points of zinc and aluminum, which are 420 °C and 660 °C, respectively. Additionally, based on the Zn-Al binary phase diagram, no major phase changes occur in Zn-Al alloys below 280 °C [20]. Temperatures lower than 300 °C were not investigated in this study, as the electric furnace utilized has a tolerance range of ±20 °C. The heating process was carried out in the furnace at a rate of 10 to 15 °C/min, which has been employed in various previous investigations that aimed to examine the post-fire behavior and properties of engineering metals [21]. To maintain consistency with earlier research conducted on uncoated structural steels, the same heating rate was used in this work. Once the target temperature was reached, the samples were left in the furnace at that temperature for an hour to allow proper heat distribution in the samples. After this duration, the samples were taken out of the furnace and allowed to cool to room temperature outside. Once the cooling process was complete, the coatings were analyzed for alterations in microstructure and porosity. Furthermore, the effect of temperature on mechanical characteristics, such as microhardness and abrasion resistance, was investigated to examine the changes in the coatings’ mechanical stability. Finally, the changes in coatings’ corrosion protection behavior were studied through electrochemical studies.

4. Morphology and Microstructural Characterization

Studies show that exposing engineering metals and metallic coatings to elevated temperatures can alter their microstructural characteristics, including the composition of metallurgical phases, morphology, grain size, etc. These alterations in microstructure can have a considerable impact on the efficiency of the coatings compared to their original, non-exposed/as-deposited state [14]. To understand these changes, a variety of material characterization tests were conducted in this work. The outcomes of various characterization tests are incredibly useful in evaluating coatings’ integrity and comprehending the microstructural changes that impact their mechanical and electrochemical performance.
Scanning electron microscope (SEM) imaging was performed on the surface and cross-sections of Zn, Al, Zn-Al pseudo-alloy coatings in the un-exposed state and after cooling from varying high temperatures to investigate potential changes in microstructural features, high-temperature oxidation, and porosity. SEM imaging was carried out using the JOEL JSM-6490 LV operated at 15 kV. In addition, energy-dispersive X-ray spectroscopy (EDS), which is available in the SEM, was utilized to analyze the changes in the coatings’ chemical composition and to perform elemental mapping. Porosity changes in the coatings were estimated using Image J software. To calculate the porosity of the coatings, a minimum of six micrographs of a particular specimen that had been subjected to a specific temperature were utilized. Moreover, X-ray diffraction analysis (XRD) was utilized to investigate the metallurgical phases that exist on the surface of the coatings in both the as-deposited condition and after being cooled from exposure to different elevated temperatures. XRD analysis was conducted using a Bruker D8 Discover diffractometer. The resulting XRD peaks were identified as per the inorganic crystal structure database (ICSD).

5. Mechanical Properties Evaluation

Microhardness and abrasion resistance tests were performed in this study to assess how an increase in exposure temperature influences the crucial mechanical properties of the coatings, including their hardness and ability to resist abrasion. The Vickers test was employed to measure the microhardness of the coatings.
The test was conducted using an applied load of 100 g force and an indentation time of 15 s. Vickers hardness (HV) was determined by optically measuring the lengths of the imprints left by the indenter and then converting these measurements to HV using the following formula:
H V = 1.854 × ( F / D 2 )
where F represents the applied load in kgf and D 2   corresponds to the projected indentation area measured in square millimeters (mm2).
The abrasion resistance indicates the coatings’ ability to withstand disintegration and cutting by hard abrasives. Despite being a widely used method for measuring wear, the pin-on-disk test was found to be challenging in the present study due to the test requirement of an average surface roughness below 0.8 µm. Obtaining a mean surface roughness below 0.8 µm [22] (which is required as per ASTM G99-17) on the entire coating surface (50 mm × 50 mm) of these thinner coatings (less than 250 µm thick) without exposing the substrate steel was observed to be a difficult task. Therefore, the sandpaper abrasion test was utilized to determine the abrasion resistance of the coatings in their non-exposed state and after cooling from high-temperature exposure. The abrasion resistance of the coatings is assessed in the sandpaper abrasion test by subjecting it to an applied stress of a specific magnitude [23]. In this study, the test specimen was subjected to the normal stress of 3.3 kPa by applying a weight of 600 g on top of it. The coating surface (50 mm × 50 mm) was placed on 220-grit sandpaper of 29.7 cm × 21 cm. To conduct the test, each of the three coating specimens underwent a manual back-and-forth motion over the sandpaper, which was considered as one cycle of abrasion. The weights of the specimens were measured before and after 30 cycles of abrasion to determine the changes in the coatings’ wear/abrasion loss with an increase in the exposed temperature. The percentage of abrasion loss in the coatings was used to evaluate the abrasion resistance.

6. Electrochemical Studies

Thermally sprayed zinc and aluminum coatings are commonly used in harsh and corrosive environments because they provide excellent protection to the underlying steel substrate. Given that corrosion is an electrochemical phenomenon, it is crucial to assess alterations in the coatings’ electrochemical properties following exposure to elevated temperatures. To achieve this objective, the electrochemical impedance spectroscopy (EIS) technique was utilized in this study [24,25]. EIS measures the resistance of the coatings to the flow of electrons, known as impedance in the corrosion system across a range of frequencies. By creating an impedance spectrum of the system over various frequencies, the coatings’ corrosion behavior and kinetics can be examined [26]. The coated steel specimen being investigated was used as the working electrode (WE), a platinum mesh was utilized as the counter electrode (CE), and a saturated calomel electrode functioned as the reference electrode (RE). To eliminate external interferences, the electrochemical cell was placed in a Faraday cage throughout the testing process.
The tests were performed on a working electrode area of 1 cm2 and 3.5 wt.% NaCl solution was used as an electrolyte. The measurements were taken by applying a 3-mV amplitude sinusoidal voltage signal at a range of frequencies from 100 kHz to 0.01 Hz. A minimum of five samples corresponding to each temperature level were tested to ensure the repeatability of the results.

7. Results and Discussion

After cooling each of the three sets of coatings from their respective elevated temperatures, digital images were captured for the Zn, Al, and Zn-Al pseudo-alloy coatings, which are presented in Figure 1, Figure 2 and Figure 3, respectively. As seen in Figure 1, Zn coatings did not exhibit any visible signs of damage or discoloration until they were cooled from 400 °C. However, when they cooled from 500 °C, the coatings turned yellow as a result of the formation of oxidation products of zinc [27]. Furthermore, the coatings also lost their integrity and crumbled upon touch, likely due to the low melting point of Zn (420 °C), causing excessive oxidation beyond this point. Therefore, temperatures higher than 500 °C were not investigated for Zn coatings. On the other hand, Al coatings remained intact and did not display any signs of disintegration or color change up to 600 °C exposure, which can be seen in Figure 2. The Al coatings showed some discoloration upon cooling from 700 °C exposure, but they remained sturdy and did not crumble into powder when touched (see Figure 2f). When cooled from 800 °C exposure, the surface of the Al coatings appeared heavily discolored and turned extremely fragile, collapsing under the slightest touch. Thus, temperatures higher than 800 °C were not taken into consideration for Al coatings.
The Zn-Al pseudo-alloy coatings showed minor discoloration and did not display any significant signs of delamination, heavy oxidation, or surface cracking until they were cooled from an exposed temperature of 500 °C. However, when cooled from 600 °C exposure, the coatings failed in the form of surface cracking. The cracking mode of failure in the Zn-Al pseudo-alloy coatings can be attributed to various factors, such as the thermal incompatibility between Zn and Al, high-temperature oxidation, and other possible microstructural changes [20]. In summary, the visible mode of failure observed for pure Zn and pure Al coatings was the transformation of the coatings into a powdery substance/residue, which can be attributed to high-temperature oxidation. On the other hand, for Zn-Al pseudo-alloy coatings, the visible mode of failure was cracking due to the difference in the coefficient of thermal expansions of Zn and Al, in addition to high-temperature oxidation. It can also be noted that the failure temperatures of the coatings are closely tied to the melting points of the corresponding metals.

8. SEM and EDS Analyses

Figure 4 displays the surface micrographs of the Zn coatings at ×1000 magnification in non-exposed conditions after they were cooled from 300 °C and 400 °C exposures. The micrographs in Figure 4a–c show the pores and splat boundaries, which are an inherent property of thermal spray coatings. It is worth noting that as the exposure temperature increased, the number of pores and splat boundaries reduced. The transformation in the microstructure of zinc caused by melting and restructuring can account for this, which potentially helped fill in the pores and reduce porosity [28]. Therefore, the micrographs taken on the surface of the Zn coatings did not reveal any signs of microstructural deterioration, such as cracks, voids, and other irregularities, that could impact the coatings’ desirable performance. The cross-section micrographs of the Zn coatings that were cooled from various elevated temperatures, along with the corresponding EDS maps of oxygen, are shown in Figure 5 to demonstrate the changes in the extent of oxidation in the coating microstructure with a rise in the temperature of exposure. As seen in Figure 5a–c, the cross-section did not show any signs of delamination or excessive oxidation after exposure to 300 °C and 400 °C temperatures at the considered magnification. The SEM imaging and EDS analysis of the Zn coatings showed no apparent signs of damage. However, it is crucial to consider these results in conjunction with other characterization results to conclude the reusability of Zn coatings after exposure to fire temperatures up to 400 °C.
The SEM images were taken at ×1000 magnification on the surface of the Al coatings after cooling from exposure temperatures of up to 700 °C and are shown in Figure 6. The surface micrographs of the Al coatings did not exhibit any signs of damage in the appearance of the microstructure until cooled from 500 °C, as depicted in Figure 6a–d. However, after being cooled from 600 °C, the coating micrograph showed increased porosity. Moreover, the surface micrograph of the Al coatings taken after cooling from 700 °C showed the presence of light color phases, along with increased porosity, as shown in Figure 6f. The presence of Fe in the EDS mapping of Al at this temperature can be attributed to either the high-temperature oxidation in the coating, possibly resulting in the loss of the coatings’ integrity when exposed to 700 °C, or due to the formation of intermetallics of Fe, which is used as an alloying element in Al wires. However, examining the corresponding cross-section through an optical microscope revealed a significant reduction in the coatings’ thickness. This observation indicates that the presence of Fe on the Al surface was likely due to the removal of Al coating thickness during metallographic preparation, which exposed the substrate steel. This is reflected in the micrograph in Figure 6f and the EDS map in Figure 6g. It should also be noted that no further analysis on the possible formation of Fe intermetallics was carried out. In either case, the Al coatings’ surface micrographs revealed that the deterioration in the microstructure began after exposure to 700 °C, despite no noticeable signs of damage being perceived until 800 °C exposure in the digital images shown in Figure 2.
The SEM micrographs were captured to gain insights into the microstructural changes on the cross-sections of Al coatings after they had been cooled following exposure to temperatures of up to 700 °C. Figure 7 displays the SEM images taken on cross-sections of Al coatings and corresponding EDS maps of oxygen. The changes observed in the cross-sectional micrographs are in agreement with the observations made from surface micrographs. No obvious signs, such as an increase in porosity and through-thickness oxidation, were noticed in these micrographs until cooled from 500 °C exposure. However, the increased presence of pores and oxidation were apparent in the cross-section micrographs of the Al coatings cooled from 600 °C and 700 °C (see Figure 7e,f). Specifically, the micrograph shown in Figure 7f revealed the presence of a thin sheet of the light grey matrix along the boundary of the Al coatings and steel substrate, in addition to the increased oxidation in that region.
To further investigate these changes, micrographs were taken at a higher magnification of ×1000 on Al coatings after cooling from 700 °C, and box EDS was performed. Figure 8 shows the results obtained from box EDS analysis conducted at locations near the interface of the coatings and the substrate. Figure 8b displays the micrograph of the Al coatings at ×1000 magnification and shows the points at which box EDS was performed (points A and B). The elemental composition obtained from EDS analysis is presented in Figure 8c. According to the EDS analysis conducted at point A, the primary components of the coating matrix were found to be 87.48 wt.% Al, 5.74 wt.% O and 1.60 wt.% Fe. Meanwhile, EDS analysis at point B confirmed that this region was composed of only 0.62 wt.% Al, 23.86 wt.% O, and 71.94 wt.% Fe, suggesting the possible formation of iron oxide at the coating and substrate interface when exposed to a temperature of 700 °C. These changes in the Al coating microstructure at 700 °C could have compromised the coatings’ mechanical integrity, leading to excessive removal of the coatings’ thickness during the metallographic preparation process. This in turn led to the exposure of the substrate steel as observed in Figure 6f. This was further substantiated by the thickness measurements performed using optical microscopy, which confirmed the undue removal of the coating.
The surface micrographs of the Zn-Al pseudo-alloy coatings taken at ×1000 magnification after being subjected to different elevated temperatures are shown in Figure 9. As seen in Figure 9a,b, the Zn-Al pseudo-alloy coating microstructure consisted of a light grey matrix corresponding to a Zn-rich area, while the dark grey region corresponds to an Al-rich area. The existence of Zn-rich and Al-rich clusters can be explained by the process employed during the deposition of the Zn-Al pseudo-alloy coating, which involved the concurrent melting and deposition of individual wires of zinc and aluminum via a wire-arc spray gun. Although distinct and more independent clusters of Zn-rich and Al-rich regions were clearly visible until cooled from a temperature of 300 °C, the melting and rearrangement of the constituent metals took place beyond this temperature.
Figure 9c shows the surface micrograph of the Zn-Al pseudo-alloy coatings after cooling from 400 °C, and it did not exhibit a clear distinction between the Zn-rich and Al-rich regions. Specifically, after cooling from 500 °C, the coating microstructure revealed the formation of new metallurgical phases. While visible at ×1000 magnification, micrographs at higher magnification (×2500) were taken to confirm the microstructural arrangement of the new phases, and EDS analysis for elemental composition was performed; the three new phases are clearly visible in the ×2500 magnification image shown in Figure 9d. As shown, the three phases were found to be eutectoid (α + η) (composition: 78 wt.% Zn, and 22 wt.% Al), partially converted eutectic (β + η) (composition: 89 wt.% Zn, and 11 wt.% Al), and η phase (zinc-rich). Because Zn-Al pseudo-alloy coatings were not produced from a pre-alloyed wire, the standard phase diagrams applicable for Zn-Al alloys are not directly applicable in this case; therefore, these phases were confirmed from the existing literature. Interestingly, a similar phase transformation occurred in wire-arc-sprayed Zn-15Al alloy coatings produced from pre-alloyed wires, which were subjected to a temperature of 500 °C [19]. The results obtained from the EDS analysis were also consistent with previous reports in the literature [29,30]. The SEM images taken at ×2500 revealed the microstructural arrangement of these phases where, in a lighter matrix of the η phase, the peanut-shaped lamellar structure of the eutectoid (α + η) phase was present, as well as the coarse lamellar structure of the eutectic (β + η) surrounding it. These microstructural changes observed were comparable to those reported in previous studies that utilized Zn-Al alloys as lead-free high-temperature solders [29].
In Figure 10, the cross-sectional SEM micrographs of the Zn-Al pseudo-alloy coatings following cooling from exposure to high temperatures are presented, accompanied by the elemental maps of oxygen, zinc, and aluminum. Despite the fact that these cross-section micrographs do not readily show phase changes at the magnification used, a rise in porosity was observed as the exposure temperature increased (see Figure 10a–d). The cross-section micrographs displayed alternating lamellar structure of Zn-rich and Al-rich areas until an elevated temperature of 300 °C. However, the microstructure of the cross-section micrographs corresponding to 400 °C and 500 °C exhibited a more uniform distribution of zinc and aluminum compared to its as-deposited conditions, which can also be noticed in the corresponding EDS maps of zinc and aluminum presented in Figure 10. Moreover, the EDS maps of oxygen indicated a substantial rise in oxygen content as the exposure temperature increased. Alterations in the coatings’ microstructure, including the appearance of new phases, restructuring of zinc and aluminum-rich regions, the escalation of porosity, and high-temperature oxidation, which were observed from SEM and EDS analysis of the Zn-Al pseudo-alloy coatings, conceivably resulted in the failure of the coatings beyond an exposure temperature of 500 °C, evidenced by surface cracking shown in Figure 3e.

9. X-ray Diffraction Analysis

The metallurgical phases present in pure Zn, pure Al, and Zn-Al pseudo-alloy coatings were identified by performing XRD characterization after cooling from different elevated temperatures. Figure 11 presents the XRD patterns obtained from the surface of the as-deposited Zn coating, as well as from the Zn coatings after cooling from 300 °C and 400 °C exposures. The XRD pattern was found to be similar for all three exposure conditions, with peaks indicating the presence of pure zinc and fewer weak peaks corresponding to the presence of zincite (ZnO). The presence of ZnO in the as-deposited conditions can be attributed to the oxidation of liquid metal droplets during the coating deposition process, as well as oxidation during the necessary polishing process performed to minimize X-ray pattern noise, as Zn is highly reactive and quickly oxidizes [31]. Additionally, exposure to high temperatures of 300 °C and 400 °C might have resulted in the formation of ZnO in these coating specimens, and hence it was detected by the XRD instrument. Figure 12a shows XRD patterns of Al coatings obtained in their non-exposed conditions and after 300 °C and 400 °C exposures. Pure aluminum was the only distinguishable phase in all three temperature conditions. Figure 12b presents the diffraction peaks generated from Al coatings after cooling from exposure to 500 °C, 600 °C, and 700 °C. The Al coatings cooled from 500 °C revealed peaks of pure aluminum only, similar to the pattern observed in Figure 12a.
In Figure 13a, the XRD patterns of the Zn-Al pseudo-alloy coatings before exposure to high temperatures and after exposure to 300 °C are shown, while Figure 13b shows the diffraction peaks after cooling from 400 °C and 500 °C exposures. The XRD patterns of the pseudo-alloy coatings remained unchanged before and after exposure to 300 °C, comprising peaks of zinc and aluminum only. Similarly, XRD spectra of Zn-Al pseudo-alloy coating cooled from 400 °C and 500 °C showed peaks characteristic of zinc and aluminum, mirroring those observed in the as-deposited condition seen in Figure 13a. However, additional peaks corresponding to silica were observed in these coatings, which may have arisen from the retention of silica in the microstructure of the Zn-Al pseudo-alloy coatings that exhibited a higher degree of porosity after exposure to 400 °C and 500 °C, as noticed in Figure 10c,d. Although the formation of zinc and aluminum oxidation products was expected, no corresponding peaks were detected in the XRD spectra of the coatings after 400 °C and 500 °C exposures. This suggests that the formed oxide films on the surface of the coatings may exist in an amorphous state, rendering them invisible to XRD analysis [32].

10. Microhardness and Porosity Analyses

Figure 14, Figure 15 and Figure 16 present the plots depicting the variation in microhardness and porosity versus the exposed target elevated temperatures for Zn, Al, and Zn-Al pseudo-alloy coatings, respectively. Figure 14 illustrates that the average Vickers microhardness values for the Zn coatings showed a trend in increasing magnitude with higher exposure temperatures. The average microhardness of Zn increased as the temperature increased until reaching 400 °C. Furthermore, Figure 14 reveals a decrease in the average porosity percentage as the exposure temperature increases. The values of microhardness and porosity of the as-deposited Zn coatings are consistent with those previously documented in the literature [33]. The observed increase in microhardness and decrease in porosity as the exposure temperature increased can be attributed to the melting and rearrangement of the Zn coating microstructure at higher temperatures. The surface and cross-section micrographs of Zn coatings presented in Figure 4 and Figure 5 also demonstrated the reduction in the number of pores, irregularities, and splat boundaries in the coating microstructure after cooling from 300 °C and 400 °C compared to its as-deposited counterparts. The microhardness and porosity results for Zn coatings indicate that exposure to higher temperatures led to an improved coating microstructure, likely due to the heat-treatment effect caused by high-temperature exposure. The heat-treatment process is a widely used post-treatment process where metals, alloys, and coatings are exposed to high temperatures for a fixed duration to reduce the interconnected porosity and inter-splat boundaries and to improve the microstructure [34]. These findings are consistent with previous studies that demonstrated the benefits of heat treatment in enhancing the properties of coatings and other materials [35].
Figure 15 displays the changes in average microhardness and porosity values for the Al coatings as they were exposed to different target elevated temperatures. The graph shows that the average microhardness of the Al coatings increased with an increase in exposed temperature up to 400 °C, and then displayed a decreasing trend from 500 °C to 700 °C. Although the average microhardness corresponding to 500 °C was less than the value calculated from 400 °C exposed coating, the value was still higher than the hardness value obtained from the Al coatings in the as-deposited condition. However, the microhardness values for Al coatings cooled from 600 °C and 700 °C exposures were much lower than those obtained for Al coatings at 25 °C and can be considered as an actual decrease in microhardness at these temperatures. The average microhardness values obtained for Al coatings were as follows: 42 HV, 45 HV, 54 HV, 46 HV, 36 HV, and 35 HV at 25 °C and after cooling from 300 °C, 400 °C, 500 °C, 600 °C, and 700 °C, respectively. The microhardness values obtained from as-deposited Al coatings agree with the values documented in the existing literature [36]. The porosity values, on the other hand, showed a slight decrease after 300 °C exposure and stayed consistent up to 500 °C, followed by an increasing trend from 500 °C to 700 °C. The actual porosity percentages were below 10% until 600 °C exposure, which increased to 13% after exposure to 700 °C. The improved microhardness and decreased porosity values up to 500 °C can be attributed to the heat-treatment effect discussed before, which caused positive changes in the Al coatings’ microstructure. However, the decrease in microhardness and increased porosity at 600 °C and 700 °C can be attributed to the escalated oxidation at elevated temperatures, which deteriorated the microstructure around and beyond the melting point (660 °C) of Al. The results of microhardness and porosity are consistent with the observations drawn from the SEM images shown in Figure 6 and Figure 7, where the changes in porosity and oxidation are noticeable.
Figure 16 shows the graph between microhardness and porosity versus temperature for Zn-Al pseudo-alloy coatings. The average microhardness values increased consistently with an increase in temperature from 25 °C to 500 °C, which could be due to the conversion of the coatings into a nanocrystalline form from its amorphous state [35]. Additionally, the formation of brittle intermetallic phases, such as eutectic (η + β), eutectoid (α + η), and η, which can be seen from the SEM images shown in Figure 9, also contributes to the increased hardness of the coating. On the other hand, the porosity values increased from 3% at 25 °C to 20% after exposure to 500 °C. This increase in porosity is contrary to what was observed in pure Zn, and pure Al coatings, which showed decreased porosity values until 400 °C and 500 °C exposures, respectively. The porosity rise observed in Zn-Al pseudo-alloy coatings after cooling from elevated temperatures can be ascribed to both the thermal incompatibility between Zn and Al and escalated thermal oxidation in the coating microstructure. The increased porosity and oxidation are clearly seen in the cross-section micrographs shown in Figure 10, and hence the results of microhardness and porosity agree with the results from SEM and EDS analysis.

11. Abrasion Resistance

The bar plot shown in Figure 17 presents the results of the sandpaper abrasion test performed on Zn, Al, and Zn-Al pseudo-alloy coatings. The abrasion loss for Zn coatings was nominal, staying under 4% in non-exposed conditions, and remained consistent even after exposure to elevated temperatures of 300 °C and 400 °C. These findings align with the outcomes of all the previous tests performed for characterization, including SEM and EDS analyses, microhardness, and porosity tests, which indicated that the Zn coatings’ integrity remained intact following exposure to target high temperatures reaching up to 400 °C. On the other hand, Al coatings displayed varying abrasion losses, ranging from 7% to 9% in their as-deposited conditions and until being cooled from 500 °C exposure. Upon cooling from 600 °C, the abrasion loss in Al coatings increased to 13%, and a significant increase in abrasion/wear loss of approximately 50% was observed after cooling from 700 °C exposure. This increase in abrasion loss can be ascribed to the occurrence of elevated thermal oxidation, which leads to the formation of Al oxidation products that are vulnerable to wear/abrasion and compromise the coatings’ mechanical integrity. The results of the abrasion test of Al coatings align with the surface SEM image of the Al coatings after 700 °C exposure seen in Figure 6f, which indicated that the steel substrate was exposed after cooling from 700 °C. Moreover, the EDS map of oxygen presented in Figure 7f further elucidates the heightened oxidation within the microstructure of the coating. Although the Al coatings cooled from 700 °C did not exhibit fragile-to-touch behavior, the results from the microhardness, porosity, and abrasion tests suggest a deterioration and loss of mechanical integrity in the Al coatings after exposure to 700 °C.
The abrasion test results of Zn-Al pseudo-alloy coatings indicated an abrasion loss of under 5% in their as-deposited conditions and also for coatings subjected to temperatures of up to 400 °C. However, samples that were cooled from 500 °C exhibited a significant increase in abrasion loss of approximately 43%. As seen from the SEM image shown in Figure 9d, the formation of brittle intermetallic phases and the formation of high-temperature oxidation products of Zn and Al could have made the Zn-Al coatings’ microstructure fragile and susceptible to abrasion after exposure to 500 °C.

12. Electrochemical Impedance Spectroscopy

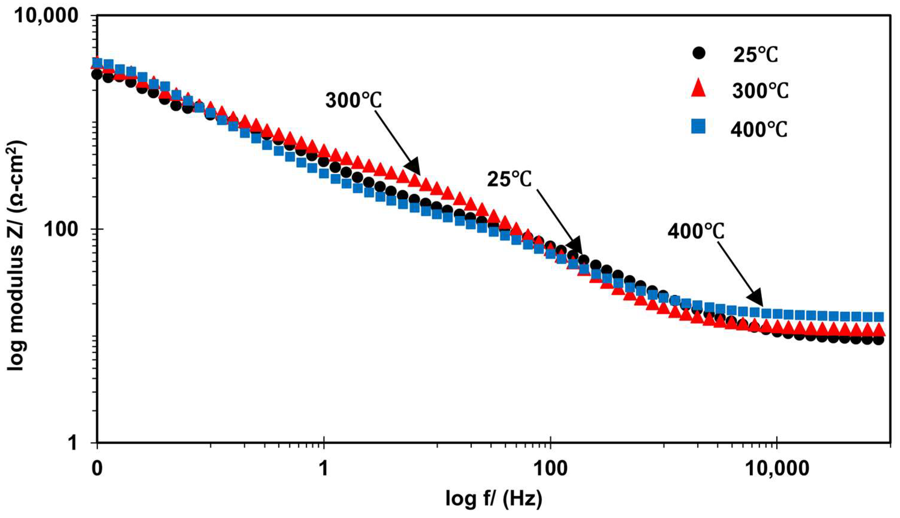
Electrochemical impedance spectroscopy was carried out to determine the variations in the electrochemical corrosion behavior of the Zn, Al, and Zn-Al pseudo-alloy coatings after high-temperature exposures when compared to their as-deposited conditions. EIS data called the Bode plot, a graph between frequency and the modulus of impedance, was used [37] to investigate the changes in corrosion resistance of the coatings. For the Zn coatings, the Bode plots are shown in Figure 18. According to this, the impedance values of the Zn coatings were as follows: 147 Ω-cm2 in non-exposed conditions; 157 Ω-cm2 after cooling from 300 °C; and 253 Ω-cm2 after cooling from 400 °C exposure. This indicates that the Zn coating surface exhibited a slightly improved resistance to corrosive media after exposure to elevated temperatures due to the improved microstructure and the presence of high-temperature oxidation products discussed previously, which restricted the movement of ions [38,39,40,41,42,43].
In addition to the physical interpretation of the data, EIS allows us to represent the data in an equivalent electrical circuit (EEC), which helps us understand the coatings’ corrosion mechanisms. Accordingly, the developed EECs of the three sets of coatings are presented in Figure 19. The EIS data from the non-exposed Zn coatings (25 °C) and the Zn coatings after exposure to 300 °C can be best represented using a Randles circuit with the Warburg element as shown in Figure 19a. This circuit consisted of the following elements: Rs, which pertains to the solution resistance; CPEdl, which denotes the double-layer capacitance; Rct, which represents the charge-transfer resistance; and W, which is the Warburg impedance that accounts for the diffusion processes [44]. On the other hand, the EEC for the Zn coatings after exposure to 400 °C consisted of additional circuit elements, including Rf and CPEf, representing the resistance and constant phase element offered by the corrosion/oxidation product layer formed on the coating’s surface. In addition, the low-frequency Warburg impedance behavior was transformed into an inductance behavior after 400 °C exposure. This behavior was modeled in EEC with two elements RL and L which represent the inductance resistance and inductance, respectively, indicating the adsorbed layer on the coating’s surface [45].
The changes in impedance values for Al coatings after cooling from exposure temperatures of up to 400 °C are shown in the Bode modulus plots presented in Figure 20. For exposure temperatures ranging from 500 °C to 700 °C, the impedance values can be seen in the Bode modulus plots shown in Figure 21. According to the Bode modulus frequency plots, the impedance values of Al coatings at 25 °C, and after cooling from 300 °C, 400 °C, 500 °C, 600 °C, and 700 °C were 2787 Ω-cm2, 3602 Ω-cm2, 3665 Ω-cm2, 2833 Ω-cm2, 2195 Ω-cm2, 1814 Ω-cm2, respectively. The impedance values of Al coatings after cooling from 600 °C, and 700 °C were lower than the impedance values obtained in as-deposited conditions suggesting a decrease in the corrosion protection performance of the coatings after being exposed to these temperatures [45]. Although the impedance values indicate the potential corrosion protection from Al coatings even after being subjected to 700 °C, it is recommended to replace them due to the loss of mechanical integrity of the Al coatings at this temperature as discussed in the previous sections.
The EEC that best represents the behavior of both Al coatings and Zn-Al pseudo-alloy coatings after being subjected to various elevated temperatures is shown in Figure 19c. The EEC consisted of RS (CPEf, and Rf) (CPEdl, and Rct) elements, where CPEf and Rf represent the constant phase element and resistance corresponding to the corrosion product or passivation layer formed on the surface of the coatings and CPEdl and Rct refers to the constant phase element for the double-layer capacitance (between coating and electrolyte) and charge-transfer resistance, respectively. Finally, Rs refers to the solution resistance [46] as mentioned previously.
The Bode modulus plots of the Zn-Al pseudo-alloy coatings are presented in Figure 22. The impedance values obtained from the Bode modulus plot at 25 °C, and after cooling from 300 °C, 400 °C, and 500 °C were 281 Ω-cm2, 645 Ω-cm2, 1620 Ω-cm2, and 1247 Ω-cm2, respectively. This trend indicates an improvement in the coatings’ corrosion resistance with an increase in exposure temperature, and this can be attributed to the formation of intermetallic phases, a rearrangement that occurred in the coatings’ microstructure due to the melting of the constituent metals at high temperatures, and oxidation products formed at high temperatures as discussed earlier. The increased porosity observed in the Zn-Al pseudo-alloy coatings after subjecting them to 500 °C did not affect the EIS results much. This could either be due to the larger surface area of the porous coating, which could have facilitated the deposition of oxidation products on more active sites, effectively obstructing the passage of corrosive medium into the coating or the existence of spherical-shaped pores that were not linked to the coatings’ top surface and hence did not show a negative impact on the coatings’ electrochemical behavior [46,47,48,49]. However, with the observed increase in porosity, reduced hardness, and increased wear loss, it is recommended to replace Zn-Al pseudo-alloy coatings that are subjected to fire temperatures of 500 °C and beyond.

13. Conclusions

The study provides a comprehensive analysis of the performance of Zn, Al, and Zn-Al pseudo-alloy coatings produced through wire-arc spraying, following exposure to high fire temperatures. The primary focus of this investigation was to examine alterations in the coatings’ microstructure, mechanical integrity, and electrochemical behavior based on the temperature of exposure. The study draws the following conclusions:
(1)
Exposing Zn coatings to temperatures of up to 400 °C had a beneficial effect on their overall performance.
(2)
Al coatings showed relatively unchanged performance when exposed to temperatures of up to 500 °C compared to the coating’s original condition. A slight decline in desirable properties was noticed after exposure to 600 °C. However, after being subjected to 700 °C, the coatings exhibited a substantial decrease in protection performance.
(3)
The Zn-Al pseudo-alloy coatings formed brittle intermetallic phases after exposure at 500 °C. The desirable properties of the Zn-Al pseudo-alloy coatings remained intact up to 400 °C exposure. After cooling from 500 °C, although the coating appeared intact electrochemically, a substantial increase in the coatings’ porosity and higher susceptibility to abrasion were noticed.
In summary, the Zn and Zn-Al pseudo-alloy coatings showed an improved or unaffected protection performance up to 400 °C exposure. On the other hand, Al coatings remained unaffected up to 500 °C, and a slightly compromised behavior was observed when exposed to 600 °C, and a high deterioration in the performance was observed when subjected to 700 °C. However, it is recommended to properly seal fire-exposed Zn, Al, and Zn-Al pseudo-alloy coatings prior to their reuse to address the coatings’ porosity and to increase their service life and corrosion protection performance. In the future, full-scale testing of wire-arc-sprayed steel components can be performed to verify the findings of small-scale tests under ISO fire scenario conditions. In addition, the influence of convection in the furnace and radiation from walls and ceiling on the results can also be researched.

Author Contributions

R.D.Y.: Data curation, Methodology, Formal analysis, Investigation, Writing—original draft, Writing—reviewing and editing. N.H.: Formal analysis, Investigation. Y.H.: Project administration, Funding acquisition, Methodology, Supervision, Writing—reviewing and editing. X.Q.: Investigation, Writing—reviewing and editing. All authors have read and agreed to the published version of the manuscript.

Funding

This work was supported by the National Science Foundation under Grant No. CMMI-1750316 and OIA-2119691. The findings and opinions expressed in this article are those of the authors only and do not necessarily reflect the views of the sponsors.

Data Availability Statement

The authors confirm that the data supporting the findings of this study are available within the article. Any raw data supporting the findings are available from the corresponding author upon request.

Conflicts of Interest

The authors declare no conflict of interest.

References

  1. Brito, V.S.; Bastos, I.; Costa, H. Corrosion resistance and characterization of metallic coatings deposited by thermal spray on carbon steel. Mater. Des. 2012, 41, 282–288. [Google Scholar] [CrossRef]
  2. Fauchais, P.; Heberlein, J.; Boulos, M. Thermal Spray Fundamentals: From Powder to Part; Springer Science & Business Media: Berlin/Heidelberg, Germany, 2014. [Google Scholar]
  3. Katayama, H.; Kuroda, S. Long-term atmospheric corrosion properties of thermally sprayed Zn, Al and Zn–Al coatings exposed in a coastal area. Corros. Sci. 2013, 76, 35–41. [Google Scholar] [CrossRef]
  4. Yasoda, R.D.; Huang, Y.; Qi, X. Corrosion Performance of Wire Arc Deposited Zinc Aluminum Pseudo Alloy and Zinc 15 Aluminum Alloy Coatings on Steel in Chloride Environment. J. Therm. Spray Technol. 2022, 31, 1918–1933. [Google Scholar] [CrossRef]
  5. Yung, T.-Y.; Chen, T.-C.; Tsai, K.-C.; Lu, W.-F.; Huang, J.-Y.; Liu, T.-Y. Thermal Spray Coatings of Al, ZnAl and Inconel 625 Alloys on SS304L for Anti-Saline Corrosion. Coatings 2019, 9, 32. [Google Scholar] [CrossRef]
  6. Garlock, M.; Paya-Zaforteza, I.; Kodur, V.; Gu, L. Fire hazard in bridges: Review, assessment and repair strategies. Eng. Struct. 2012, 35, 89–98. [Google Scholar] [CrossRef]
  7. Li, X.; Khan, F.; Yang, M.; Chen, C.; Chen, G. Risk assessment of offshore fire accidents caused by subsea gas release. Appl. Ocean Res. 2021, 115, 102828. [Google Scholar] [CrossRef]
  8. Lam, C.; Zhou, W. Statistical analyses of incidents on onshore gas transmission pipelines based on PHMSA database. Int. J. Press. Vessel. Pip. 2016, 145, 29–40. [Google Scholar] [CrossRef]
  9. Schulze, S.S.; Fischer, E.C.; Hamideh, S.; Mahmoud, H. Wildfire impacts on schools and hospitals following the 2018 California Camp Fire. Nat. Hazards 2020, 104, 901–925. [Google Scholar] [CrossRef]
  10. Camilleri, P.; Healy, C.; Macdonald, E.; Nicholls, S.; Sykes, J.; Winkworth, G.; Woodward, M. Recovery from Bushfires: The Experience of the 2003 Canberra Bushfires three Years After. Australas. J. Paramed. 2010, 8, 1–15. [Google Scholar] [CrossRef]
  11. Quiel, S.E.; Yokoyama, T.; Bregman, L.S.; Mueller, K.A.; Marjanishvili, S.M. A streamlined framework for calculating the response of steel-supported bridges to open-air tanker truck fires. Fire Saf. J. 2015, 73, 63–75. [Google Scholar] [CrossRef]
  12. Kiran, T.; Anand, N.; Mathews, M.; Andrushia, A.; Walls, R.; Kanagaraj, B. Post-fire behaviour and improving the performance of hot rolled open sections subjected to standard fire exposure. Case Stud. Constr. Mater. 2022, 16, e01021. [Google Scholar] [CrossRef]
  13. Sajid, H.U.; Kiran, R. Post-fire mechanical behavior of ASTM A572 steels subjected to high stress triaxialities. Eng. Struct. 2019, 191, 323–342. [Google Scholar] [CrossRef]
  14. Sajid, H.U.; Naik, D.L.; Kiran, R. Microstructure–Mechanical Property Relationships for Post-Fire Structural Steels. J. Mater. Civ. Eng. 2020, 32, 04020133. [Google Scholar] [CrossRef]
  15. Bajpai, M.; Shukla, V.; Habib, F. Development of a heat resistant UV-curable epoxy coating. Prog. Org. Coat. 2005, 53, 239–245. [Google Scholar] [CrossRef]
  16. Fauchais, P.; Vardelle, A. Thermal Sprayed Coatings Used against Corrosion and Corrosive Wear. Adv. Plasma Spray Appl. 2012, 10, 34448. [Google Scholar] [CrossRef]
  17. Gaigl, C.; Mensinger, M. Hot dip galvanized steel constructions under fire exposure. IFireSS 2017, 2017, 557–564. [Google Scholar]
  18. McLean, W.; Golding, P.J.; Sheehan, A.M. Performance of Protective Coatings on Small Steel Bridges Subject to Bushfires. In Proceedings of the 8th Australian Small Bridge Conference, Melbourne, Australia, 27–28 November 2017; pp. 1–25. [Google Scholar]
  19. Yasoda, R.D.; Huang, Y.; Kiran, R.; Qi, X. Post-fire Performance of Wire-arc-Sprayed Zn-15Al Coatings. J. Therm. Spray Technol. 2023, 1577, 1–17. [Google Scholar] [CrossRef]
  20. Yasoda, R.D.; Huang, Y. Post-Fire Mechanical Properties of Thermally Sprayed Anti-Corrosive Coatings in Oil and Gas Pipelines. Pipelines 2022, 2022, 203–210. [Google Scholar] [CrossRef]
  21. Wang, W.; Liu, T.; Liu, J. Experimental study on post-fire mechanical properties of high strength Q460 steel. J. Constr. Steel Res. 2015, 114, 100–109. [Google Scholar] [CrossRef]
  22. ASTM G99; Standard Test Method for Wear Testing with a Pin-on-Disk Apparatus. Annual Book of ASTM Standards: West Conshohocken, PA, USA, 1999.
  23. Li, M.; Li, Y.; Xue, F.; Jing, X. A robust and versatile superhydrophobic coating: Wear-resistance study upon sandpaper abrasion. Appl. Surf. Sci. 2019, 480, 738–748. [Google Scholar] [CrossRef]
  24. Middlemiss, L.A.; Rennie, A.J.; Sayers, R.; West, A.R. Characterisation of batteries by electrochemical impedance spectroscopy. Energy Rep. 2020, 6, 232–241. [Google Scholar] [CrossRef]
  25. Ejbouh, A.; Ech-Chebab, A.; Hassi, S.; Galai, M.; Benqlilou, H.; Touhami, M.E. Durability assessment of LC3-based reinforced concrete under combined chloride-sulfate environment via the EIS technique. Constr. Build. Mater. 2023, 366, 130194. [Google Scholar] [CrossRef]
  26. Koochaki, M.; Neisiany, R.; Khorasani, S.; Ashrafi, A.; Trasatti, S.; Magni, M. The influence of the healing agent charac-teristics on the healing performance of epoxy coatings: Assessment of the repair process by EIS technique. Prog. Org. Coat. 2021, 159, 106431. [Google Scholar] [CrossRef]
  27. Coogan, C.K.; Rees, A.L.G. The Nature of the Thermal Color Change in Zinc Oxide. J. Chem. Phys. 1952, 20, 1650–1651. [Google Scholar] [CrossRef]
  28. Chung, P.; Esfahani, M.; Wang, J.; Cook, P.; Durandet, Y. Effects of heat treatment on microstructure evolution and corrosion performance of mechanically plated zinc coatings. Surf. Coat. Technol. 2019, 377, 124916. [Google Scholar] [CrossRef]
  29. Berent, K.; Pstruś, J.; Gancarz, T. Thermal and Microstructure Characterization of Zn-Al-Si Alloys and Chemical Reaction with Cu Substrate During Spreading. J. Mater. Eng. Perform. 2016, 25, 3375–3383. [Google Scholar] [CrossRef]
  30. Hasan, M.M.; Sharif, A.; Gafur, M.A. Characteristics of eutectic and near-eutectic Zn–Al alloys as high-temperature lead-free solders. J. Mater. Sci. Mater. Electron. 2019, 31, 1691–1702. [Google Scholar] [CrossRef]
  31. Rousseau, C.; Baraud, F.; Leleyter, L.; Gil, O. Cathodic protection by zinc sacrificial anodes: Impact on marine sediment metallic contamination. J. Hazard. Mater. 2009, 167, 953–958. [Google Scholar] [CrossRef] [PubMed]
  32. Polcar, T.; Cavaleiro, A. High temperature properties of CrAlN, CrAlSiN and AlCrSiN coatings–Structure and oxidation. Mater. Chem. Phys. 2011, 129, 195–201. [Google Scholar] [CrossRef]
  33. Galib, R.; Sharif, A. Development of Zn-Mg alloys as a degradable biomaterial. C Int. Publ. Adv. Alloy Compd. 2016, 1, 1–7. [Google Scholar]
  34. Sharma, K.; Chatha, S.; Sidhu, H.; Singh, H. Heat Treatment of Thermal Spray Coatings: A Review. In Proceedings of the National Conference on Advancements and Futuristic Trends in Mechanical and Materials Engineering, Guru Nanak Dev Engineering College, Ludhiana, India, 7–8 October 2011. [Google Scholar]
  35. Liu, S.; Zhu, Y.; Lai, X.; Zheng, X.; Jia, R.; Yuan, X. Influence of Different Heat Treatment Temperatures on the Microstructure, Corrosion, and Mechanical Properties Behavior of Fe-Based Amorphous/Nanocrystalline Coatings. Coatings 2019, 9, 858. [Google Scholar] [CrossRef]
  36. Khandanjou, S.; Ghoranneviss, M.; Saviz, S. The investigation of the microstructure behavior of the spray distances and argon gas flow rates effects on the aluminum coating using self-generated atmospheric plasma spray system. J. Theor. Appl. Phys. 2017, 11, 225–234. [Google Scholar] [CrossRef]
  37. Bhalerao, A.; Bulakhe, R.; Deshmukh, P.; Shim, J.-J.; Nandurkar, K.; Wagh, B.; Vattikuti, S.; Lokhande, C. Chemically synthesized 3D nanostructured polypyrrole electrode for high performance supercapacitor applications. J. Mater. Sci. Mater. Electron. 2018, 29, 15699–15707. [Google Scholar] [CrossRef]
  38. Amirudin, A.; Thieny, D. Application of electrochemical impedance spectroscopy to study the degradation of polymer-coated metals. Prog. Org. Coat. 1995, 26, 1–28. [Google Scholar] [CrossRef]
  39. Radwan, A.B.; Mannah, C.A.; Sliem, M.H.; Al-Qahtani, N.H.S.; Okonkwo, P.C.; Berdimurodov, E.; Mohamed, A.M.; Abdullah, A.M. Electrospun highly corrosion-resistant polystyrene–nickel oxide superhydrophobic nanocomposite coating. J. Appl. Electrochem. 2021, 51, 1605–1618. [Google Scholar] [CrossRef]
  40. Barranco, V.; Feliu, S., Jr. EIS study of the corrosion behaviour of zinc-based coatings on steel in quiescent 3% NaCl solution. Part 1: Directly exposed coatings. Corros. Sci. 2004, 46, 2203–2220. [Google Scholar] [CrossRef]
  41. Djerourou, S.; Lahmar, H.; Bouhellal, N.; Mebdoua, Y. Study of Twin Wire Arc Sprayed Zinc/Aluminum Coating on Low Carbon Steel Substrate: Application to Corrosion Protection. Adv. Mater. Res. 2013, 685, 271–276. Available online: http://www.scientific.net/AMR.685.271 (accessed on 21 March 2023).
  42. Farooq, A.; Hamza, M.; Ahmed, Q.; Deen, K.M. Evaluating the performance of zinc and aluminum sacrificial anodes in artificial seawater. Electrochim. Acta 2019, 314, 135–141. [Google Scholar] [CrossRef]
  43. Lee, H.-S.; Singh, J.K.; Ismail, M.A.; Bhattacharya, C.; Seikh, A.H.; Alharthi, N.; Hussain, R.R. Corrosion mechanism and kinetics of Al-Zn coating deposited by arc thermal spraying process in saline solution at prolong exposure periods. Sci. Rep. 2019, 9, 3399. [Google Scholar] [CrossRef]
  44. Nguyen, T.Q.; Breitkopf, C. Determination of Diffusion Coefficients Using Impedance Spectroscopy Data. J. Electrochem. Soc. 2018, 165, E826–E831. [Google Scholar] [CrossRef]
  45. Kannan, M.B.; Moore, C.; Saptarshi, S.; Somasundaram, S.; Rahuma, M.; Lopata, A.L. Biocompatibility and biodegradation studies of a commercial zinc alloy for temporary mini-implant applications. Sci. Rep. 2017, 7, 15605. [Google Scholar] [CrossRef] [PubMed]
  46. Schneider, O.; Kelly, R. Localized coating failure of epoxy-coated aluminium alloy 2024-T3 in 0.5M NaCl solutions: Correlation between coating degradation, blister formation and local chemistry within blisters. Corros. Sci. 2007, 49, 594–619. [Google Scholar] [CrossRef]
  47. Wang, Z.; Zhang, J.; Liu, X.; Liu, J.; Liu, G. Failure mechanism of plasma sprayed Tb-YSZ coating under NaCl high-low tem-perature cyclic corrosion. Surf. Coat. Technol. 2023, 456, 129244. [Google Scholar] [CrossRef]
  48. Binal, G. Isothermal oxidation and hot corrosion behavior of HVOF sprayed 80Ni-20Cr coatings at 750 °C. Surf. Coat. Technol. 2023, 454, 129141. [Google Scholar] [CrossRef]
  49. Odhiambo, J.G.; Li, W.; Zhao, Y.; Li, C. Porosity and Its Significance in Plasma-Sprayed Coatings. Coatings 2019, 9, 460. [Google Scholar] [CrossRef]
Figure 1. The digital images of Zn coatings (a) at 25 °C and after exposure to (b) 300 °C, (c) 400 °C, and (d) 500 °C.
Figure 1. The digital images of Zn coatings (a) at 25 °C and after exposure to (b) 300 °C, (c) 400 °C, and (d) 500 °C.
Processes 11 01490 g001
Figure 2. The digital images of Al coatings (a) at 25 °C and after exposure to (b) 300 °C, (c) 400 °C, (d) 500 °C, (e) 600 °C, (f) 700 °C, and (g) 800 °C.
Figure 2. The digital images of Al coatings (a) at 25 °C and after exposure to (b) 300 °C, (c) 400 °C, (d) 500 °C, (e) 600 °C, (f) 700 °C, and (g) 800 °C.
Processes 11 01490 g002
Figure 3. The digital images of Zn-Al pseudo-alloy coatings (a) at 25 °C and after exposure to (b) 300 °C, (c) 400 °C, (d) 500 °C, and (e) 600 °C.
Figure 3. The digital images of Zn-Al pseudo-alloy coatings (a) at 25 °C and after exposure to (b) 300 °C, (c) 400 °C, (d) 500 °C, and (e) 600 °C.
Processes 11 01490 g003
Figure 4. Zn coating: surface SEM images (a) at 25 °C and after exposure to (b) 300 °C and (c) 400 °C.
Figure 4. Zn coating: surface SEM images (a) at 25 °C and after exposure to (b) 300 °C and (c) 400 °C.
Processes 11 01490 g004
Figure 5. Zn coating: cross-section SEM images (a) at 25 °C and after exposure to (b) 300 °C and (c) 400 °C, as well as corresponding EDS maps of oxygen.
Figure 5. Zn coating: cross-section SEM images (a) at 25 °C and after exposure to (b) 300 °C and (c) 400 °C, as well as corresponding EDS maps of oxygen.
Processes 11 01490 g005
Figure 6. Al coating: surface SEM images (a) at 25 °C and after exposure to (b) 300 °C, (c) 400 °C, (d) 500 °C, (e) 600 °C, and (f) 700 °C; (g) EDS map of Fe on Al coating surface after being cooled from 700 °C.
Figure 6. Al coating: surface SEM images (a) at 25 °C and after exposure to (b) 300 °C, (c) 400 °C, (d) 500 °C, (e) 600 °C, and (f) 700 °C; (g) EDS map of Fe on Al coating surface after being cooled from 700 °C.
Processes 11 01490 g006
Figure 7. Al coating: cross-section SEM images (a) at 25 °C and after (b) 300 °C, (c) 400 °C, (d) 500 °C, (e) 600 °C, and (f) 700 °C exposure, as well as corresponding EDS maps of oxygen.
Figure 7. Al coating: cross-section SEM images (a) at 25 °C and after (b) 300 °C, (c) 400 °C, (d) 500 °C, (e) 600 °C, and (f) 700 °C exposure, as well as corresponding EDS maps of oxygen.
Processes 11 01490 g007
Figure 8. Cross-section SEM images of Al coatings after being cooled from 700 °C at (a) ×300 magnification; (b) ×1000 magnification showing the location of box EDS points A and B; (c) the elemental composition obtained from EDS performed on points A and B.
Figure 8. Cross-section SEM images of Al coatings after being cooled from 700 °C at (a) ×300 magnification; (b) ×1000 magnification showing the location of box EDS points A and B; (c) the elemental composition obtained from EDS performed on points A and B.
Processes 11 01490 g008
Figure 9. Zn-Al pseudo-alloy coating: Surface SEM images (a) at 25 °C and after exposure to (b) 300 °C, (c) 400 °C, and (d) 500 °C.
Figure 9. Zn-Al pseudo-alloy coating: Surface SEM images (a) at 25 °C and after exposure to (b) 300 °C, (c) 400 °C, and (d) 500 °C.
Processes 11 01490 g009
Figure 10. Zn-Al pseudo-alloy coating: cross-sectional SEM images with corresponding EDS maps of elements oxygen, zinc, and aluminum (a) at 25 °C and after exposure to (b) 300 °C, (c) 400 °C, and (d) 500 °C.
Figure 10. Zn-Al pseudo-alloy coating: cross-sectional SEM images with corresponding EDS maps of elements oxygen, zinc, and aluminum (a) at 25 °C and after exposure to (b) 300 °C, (c) 400 °C, and (d) 500 °C.
Processes 11 01490 g010
Figure 11. XRD patterns from Zn coatings at 25 °C and after exposure to 300 °C and 400 °C.
Figure 11. XRD patterns from Zn coatings at 25 °C and after exposure to 300 °C and 400 °C.
Processes 11 01490 g011
Figure 12. XRD pattern from Al coatings (a) at 25 °C and after exposure to 300 °C and 400 °C; (b) after exposure to 500 °C, 600 °C, and 700 °C.
Figure 12. XRD pattern from Al coatings (a) at 25 °C and after exposure to 300 °C and 400 °C; (b) after exposure to 500 °C, 600 °C, and 700 °C.
Processes 11 01490 g012
Figure 13. XRD pattern from Zn-Al pseudo-alloy coatings (a) at 25 °C and after exposure to 300 °C and (b) after exposure to 400 °C and 500 °C.
Figure 13. XRD pattern from Zn-Al pseudo-alloy coatings (a) at 25 °C and after exposure to 300 °C and (b) after exposure to 400 °C and 500 °C.
Processes 11 01490 g013
Figure 14. Vickers microhardness and porosity vs. temperature plot of pure Zn coatings.
Figure 14. Vickers microhardness and porosity vs. temperature plot of pure Zn coatings.
Processes 11 01490 g014
Figure 15. Vickers microhardness and porosity vs. temperature plot of pure Al coatings.
Figure 15. Vickers microhardness and porosity vs. temperature plot of pure Al coatings.
Processes 11 01490 g015
Figure 16. Vickers microhardness and porosity vs. temperature plot of Zn-Al pseudo-alloy coatings.
Figure 16. Vickers microhardness and porosity vs. temperature plot of Zn-Al pseudo-alloy coatings.
Processes 11 01490 g016
Figure 17. Percentage wear/abrasion loss of the coatings vs. exposure temperature.
Figure 17. Percentage wear/abrasion loss of the coatings vs. exposure temperature.
Processes 11 01490 g017
Figure 18. Bode modulus plots for Zn coatings at 25 °C and after exposure to 300 °C and 400 °C.
Figure 18. Bode modulus plots for Zn coatings at 25 °C and after exposure to 300 °C and 400 °C.
Processes 11 01490 g018
Figure 19. Equivalent circuit model for (a) Zn coatings at 25 °C and after 300 °C exposure, (b) Zn coatings after 400 °C exposure, (c) Al coatings, and Zn-Al pseudo-alloy coatings.
Figure 19. Equivalent circuit model for (a) Zn coatings at 25 °C and after 300 °C exposure, (b) Zn coatings after 400 °C exposure, (c) Al coatings, and Zn-Al pseudo-alloy coatings.
Processes 11 01490 g019
Figure 20. Bode modulus plots for Al coatings at 25 °C and after cooling from 300 °C, 400 °C exposures.
Figure 20. Bode modulus plots for Al coatings at 25 °C and after cooling from 300 °C, 400 °C exposures.
Processes 11 01490 g020
Figure 21. Bode modulus plots for Al coatings after cooling from 500 °C, 600 °C, and 700 °C exposures.
Figure 21. Bode modulus plots for Al coatings after cooling from 500 °C, 600 °C, and 700 °C exposures.
Processes 11 01490 g021
Figure 22. Bode modulus plots for Zn-Al pseudo-alloy coatings at 25 °C and after cooling from 300 °C and 400 °C exposures.
Figure 22. Bode modulus plots for Zn-Al pseudo-alloy coatings at 25 °C and after cooling from 300 °C and 400 °C exposures.
Processes 11 01490 g022
Table 1. Wire-arc process parameters.
Table 1. Wire-arc process parameters.
ParameterValue, Unit
Spray distance180 mm
Arc voltage32 V
Current225 Amps
Spray air pressure0.62 MPa
Substrate temperature82 °C
Number of passes2
Disclaimer/Publisher’s Note: The statements, opinions and data contained in all publications are solely those of the individual author(s) and contributor(s) and not of MDPI and/or the editor(s). MDPI and/or the editor(s) disclaim responsibility for any injury to people or property resulting from any ideas, methods, instructions or products referred to in the content.

Share and Cite

MDPI and ACS Style

Yasoda, R.D.; Hakim, N.; Huang, Y.; Qi, X. Post-Fire Analysis of Thermally Sprayed Coatings: Evaluating Microstructure, Mechanical Integrity, and Corrosion Behavior. Processes 2023, 11, 1490. https://doi.org/10.3390/pr11051490

AMA Style

Yasoda RD, Hakim N, Huang Y, Qi X. Post-Fire Analysis of Thermally Sprayed Coatings: Evaluating Microstructure, Mechanical Integrity, and Corrosion Behavior. Processes. 2023; 11(5):1490. https://doi.org/10.3390/pr11051490

Chicago/Turabian Style

Yasoda, Ratna Divya, Nour Hakim, Ying Huang, and Xiaoning Qi. 2023. "Post-Fire Analysis of Thermally Sprayed Coatings: Evaluating Microstructure, Mechanical Integrity, and Corrosion Behavior" Processes 11, no. 5: 1490. https://doi.org/10.3390/pr11051490

APA Style

Yasoda, R. D., Hakim, N., Huang, Y., & Qi, X. (2023). Post-Fire Analysis of Thermally Sprayed Coatings: Evaluating Microstructure, Mechanical Integrity, and Corrosion Behavior. Processes, 11(5), 1490. https://doi.org/10.3390/pr11051490

Note that from the first issue of 2016, this journal uses article numbers instead of page numbers. See further details here.

Article Metrics

Back to TopTop