A Review of Cooling Technologies in Lithium-Ion Power Battery Thermal Management Systems for New Energy Vehicles
Abstract
:1. Introduction
2. Heat Generation of Lithium-Ion Batteries
2.1. Heat Generation Mechanism
- Joule heat Qj: Batteries are made up of different materials, including electrodes, separators, and so on, each with its own ohmic resistance, and the heat they generate when the current flows is known as Joule heat. The calculation formula is Equation (1).
- 2.
- Polarization heat Qp: When batteries are charged and discharged, polarization phenomena occur, resulting in electrode potentials that differ from equilibrium electrode potentials. The heat produced in the polarization phenomena is called polarization heat, which is irreversible. The calculation formula is Equation (2).
- 3.
- Reaction heat Qr: When positive or negative electrodes are inserted or removed, lithium ions also produce heat known as reaction heat. It is generally believed that reaction heat has a positive value when discharging and a negative value when charging. Reaction heat is reversible. The calculation formula is Equation (3).
- 4.
- Side reaction heat Qs: In instances of thermal abuse, such as overcharging and over discharging, lithium battery electrode materials and electrolytes generate heat, contributing to the side reaction heat. As long as the working conditions are normal, it is possible to ignore this part of the heat.
2.2. Heat Generation Models
2.2.1. Electrochemical-Thermal Models
2.2.2. Electrical-Thermal Models
2.3. The Effect of Temperature on Battery Performance
2.3.1. The Effect of High Temperature on Battery Performance
2.3.2. The Effect of Non-Uniform Temperature on Battery Performance
3. Air Cooling Technology
3.1. Principle of Air Cooling
3.2. Focus Areas of Air-Cooling Systems
3.3. The Development Trends of Air Cooling Systems
- (1)
- Improving cooling efficiency: Future air-cooling systems will further improve cooling efficiency to meet the increasing power density of the battery. By optimizing the design of the cooling system, the air fluidity and heat dissipation area are improved. Combining other cooling methods with air cooling, including PCM structures, liquid cooling, HVAC systems, heat pipes etc., an air-cooling system with these advanced enhancements should provide adequate cooling for new energy vehicles’ high-energy battery packs.
- (2)
- Reducing power consumption: The air-cooling system will consume a certain amount of energy in the process of operation, so one of the future trends is to reduce the power consumption of the cooling system. By improving the fan design, optimizing the structure and flow characteristics of the cooling system, and reducing the air flow resistance and energy loss, more energy is saved in the air-cooling system.
- (3)
- Increasing high-temperature adaptability: The battery is easy to overheat in high-temperature environment, so the future air-cooling system will be better adapted to high-temperature environments. High-temperature-resistant materials and structure designs are adopted to improve the high-temperature resistance performance of the cooling system, ensuring that the battery temperature can be effectively reduced under high-temperature conditions.
4. Liquid-Cooling Technology
4.1. Indirect Liquid Cooling Technology
4.2. Immersion Liquid Cooling Technology
4.3. The Development Trends in Liquid Cooling Systems
- (1)
- Efficient cooling technology: For batteries to remain safe, more efficient cooling systems are required as power increases. Some new cooling technologies, such as microchannel cooling, have been introduced into battery systems to improve cooling efficiency.
- (2)
- Intelligent cooling control: In order to better manage the battery temperature, intelligent cooling control systems are getting more and more attention. These systems can monitor the temperature of the battery in real time and adjust the working state of the cooling system as needed to keep the temperature of the battery in the proper range.
- (3)
- Heat management integration: To improve overall efficiency and save space, some new liquid cooling systems are integrated with other heat management systems. For example, cooling systems can be combined with air conditioning or seat heating systems to better manage battery and interior temperatures.
- (4)
- Lightweight design: For the vehicle to be lightweight, the design of the liquid cooling system also focuses on weight reduction. The use of lightweight materials and structural optimization can reduce the weight of the system and improve the overall performance of the battery system.
5. Phase Change Materials Cooling Technology
5.1. Solid-Liquid Phase Change Cooling Technology
5.2. Gas-Liquid Phase Change Cooling Technology
5.3. The Development Trends of PCM Cooling Systems
- (1)
- Increased cooling efficiency: The cooling system of PCMs will further improve cooling efficiency to cope with the increasing power density of the battery. By increasing the thermal conductivity and thermal capacity of PCMs, a more efficient cooling system is designed to improve the heat dissipation performance of the battery.
- (2)
- Miniaturization and integration: The future PCM cooling system will develop towards miniaturization and integration. In order to simplify the equipment and structure, PCMs cooling systems need to become more compact and lightweight to meet the needs. At the same time, PCM cooling systems may be integrated with other battery management systems or electronic devices to improve overall system performance and efficiency.
- (3)
- Sustainability: Future PCM cooling systems will focus on sustainability and environmental performance. The selection and preparation of phase change materials may be more environmentally friendly and reduce the impact on the environment. At the same time, PCM cooling systems may also be integrated with technologies such as renewable energy to achieve more sustainable energy management.
6. Summary
6.1. Conclusions
6.2. Future Prospects
Author Contributions
Funding
Data Availability Statement
Conflicts of Interest
References
- Conte, F.V. Battery and battery management for hybrid electric vehicles: A review. Elektrotechnik Inf. 2006, 123, 424–431. [Google Scholar] [CrossRef]
- Cusenza, M.A.; Bobba, S.; Ardente, F.; Cellura, M.; Di Persio, F. Energy and environmental assessment of a traction lithium-ion battery pack for plug-in hybrid electric vehicles. J. Clean. Prod. 2019, 215, 634–649. [Google Scholar] [CrossRef] [PubMed]
- Silvestri, L.; De Santis, M.; Falcucci, G.; Serao, P.; Bella, G. Evaluation of Battery Power Losses During the LCA Use Phase of Electric Vehicles: An Experimental Analysis of Different Li-Ion Battery Chemistries; SAE Technical Paper; SAE: Warrendale, PA, USA, 2023. [Google Scholar] [CrossRef]
- Pesaran, A.A. Battery thermal models for hybrid vehicle simulations. J. Power Source 2002, 110, 377–382. [Google Scholar] [CrossRef]
- Sato, N. Thermal behavior analysis of lithium-ion batteries for electric and hybrid vehicles. J. Power Source 2001, 99, 70–77. [Google Scholar] [CrossRef]
- Zhao, R.; Zhang, S.; Liu, J.; Gu, J. A review of thermal performance improving methods of lithium-ion battery: Electrode modi-fication and thermal management system. J. Power Source 2015, 299, 557–577. [Google Scholar] [CrossRef]
- Bernardi, D.; Pawlikowski, E.; Newman, J. A General Energy Balance for Battery Systems. J. Electrochem. Soc. 1985, 132, 5–12. [Google Scholar] [CrossRef]
- Doyle, M.; Fuller, T.F.; Newman, J. Modeling of Galvanostatic Charge and Discharge of the Lithium/Polymer/Insertion Cell. J. Electrochem. Soc. 1993, 140, 1526–1533. [Google Scholar] [CrossRef]
- Kemper, P.; Li, S.E.; Kum, D. Simplification of pseudo two dimensional battery model using dynamic profile of lithium concen-tration. J. Power Source 2015, 286, 510–525. [Google Scholar] [CrossRef]
- Nie, P.; Siwei, Z.; Aihua, R.; Canhui, Y.; Shuxiao, C.; Zhenlong, L.; Xuan, Z.; Weiwei, D.; Ting, L.; Feiyu, K.; et al. Full-cycle electrochemical-thermal coupling analysis for commercial lithium-ion batteries. Appl. Therm. Eng. 2021, 184, 116258. [Google Scholar] [CrossRef]
- Li, H.; Saini, A.; Liu, C.; Yang, J.; Wang, Y.; Yang, T.; Pan, C.; Chen, L.; Jiang, H. Electrochemical and thermal characteristics of prismatic lithium-ion battery based on a three-dimensional electrochemical-thermal coupled model. J. Energy Storage 2021, 42, 102976. [Google Scholar] [CrossRef]
- Chiew, J.; Chin, C.S.; Toh, W.D.; Gao, Z.; Jia, J.; Zhang, C.Z. A pseudo three-dimensional electrochemical-thermal model of a cylindrical LiFePO4/graphite battery. Appl. Therm. Eng. 2019, 147, 450–463. [Google Scholar] [CrossRef]
- Kim, U.S.; Shin, C.B.; Kim, C.S. Modeling for the scale-up of a lithium-ion polymer battery. J. Power Source 2009, 189, 841–846. [Google Scholar] [CrossRef]
- Xie, Y.; Zheng, J.; Hu, X.; Lin, X.; Liu, K.; Sun, J.; Zhang, Y.; Dan, D.; Xi, D.; Feng, F. An improved resistance-based thermal model for prismatic lithium-ion battery charging. Appl. Therm. Eng. 2020, 180, 115794. [Google Scholar] [CrossRef]
- Li, J.; Sun, D.; Jin, X.; Shi, W.; Sun, C. Lithium-ion battery overcharging thermal characteristics analysis and an impedance-based electro-thermal coupled model simulation. Appl. Energy 2019, 254, 113574.1–113574.12. [Google Scholar] [CrossRef]
- Barcellona, S.; Piegari, L. Integrated electro-thermal model for pouch lithium ion batteries. Math. Comput. Simul. 2020, 183, 5–19. [Google Scholar] [CrossRef]
- Chin, C.S.; Gao, Z.; Zhang, C. Comprehensive electro-thermal model of 26650 lithium battery for discharge cycle under parametric and temperature variations. J. Energy Storage 2020, 28, 101222. [Google Scholar] [CrossRef]
- Li, W.; Zhou, Y.; Zhang, H.; Tang, X. A Review on Battery Thermal Management for New Energy Vehicles. Energies 2023, 16, 4845. [Google Scholar] [CrossRef]
- Rao, Z.; Wang, S. A review of power battery thermal energy management. Renew. Sustain. Energy Rev. 2011, 15, 4554–4571. [Google Scholar] [CrossRef]
- Wang, Q.; Jiang, B.; Li, B.; Yan, Y. A critical review of thermal management models and solutions of lithium-ion batteries for the development of pure electric vehicles. Renew. Sustain. Energy Rev. 2016, 64, 106–128. [Google Scholar] [CrossRef]
- An, Z.; Jia, L.; Ding, Y.; Dang, C.; Li, X. A review on lithium-ion power battery thermal management technologies and thermal safety. J. Therm. Sci. 2017, 26, 391–412. [Google Scholar] [CrossRef]
- Xia, G.; Cao, L.; Bi, G. A review on battery thermal management in electric vehicle application. J. Power Source 2017, 367, 90–105. [Google Scholar] [CrossRef]
- Liu, X. Research on Heat Production Model and Thermal Management of High-Rate Soft-Pack Lithium-Ion Battery. Master’s Thesis, Harbin Institute of Technology, Harbin, China, 2021. [Google Scholar]
- Klein, M.; Tong, S.; Park, J. In-plane nonuniform temperature effects on the performance of a large-format lithium-ion pouch cell. Appl. Energy 2016, 165, 639–647. [Google Scholar] [CrossRef]
- Xie, J. Optimization Investigation on the Cooling Structure Of Lithium-Ion Battery Packages in Electric Vehicles. Master’s Thesis, South China University of Technology, Guangzhou, China, 2018. [Google Scholar]
- Ramadass, P.; Haran, B.; White, R.; Popov, B. Capacity fade of Sony 18650 cells cycled at elevated temperatures Part II. Capacity fade analysis. J. Power Source 2002, 112, 614–620. [Google Scholar] [CrossRef]
- Bandhauer, T.M.; Garimella, S.; Fuller, T.F. A Critical Review of Thermal Issues in Lithium-Ion Batteries. J. Electrochem. Soc. 2011, 158, R1. [Google Scholar] [CrossRef]
- Yang, Z.; Patil, D.; Fahimi, B. Online estimation of capacity fade and power fade of lithium-ion batteries based on in-put-output response technique. IEEE Trans. Transp. Electrif. 2017, 4, 147–156. [Google Scholar] [CrossRef]
- Jaguemont, J.; Boulon, L.; Venet, P.; Dubé, Y.; Sari, A. Lithium-ion battery aging experiments at subzero temperatures and model de-velopment for capacity fadeestimation. IEEE Trans. Veh. Technol. 2016, 65, 4328–4343. [Google Scholar] [CrossRef]
- Zheng, Y.; He, Y.; Kun, Q.; Liu, D.; Lu, Q.; Li, B.; Wang, X.; Li, J.; Kang, F. Influence of charge rate on the cycling degradation of LiFePO4/mesocarbon microbead batteries under low temperature. Ionics 2017, 23, 1967–1978. [Google Scholar] [CrossRef]
- Huang, Q.; Li, X.; Zhang, G.; Zhang, J.; He, F.; Li, Y. Experimental investigation of the thermal performance of heat pipe assisted phase change material for battery thermal management system. Appl. Therm. Eng. 2018, 141, 1092–1100. [Google Scholar] [CrossRef]
- Zhao, C.; Sousa, A.C.; Jiang, F. Minimization of thermal non-uniformity in lithium-ion battery pack cooled by channeled liquid flow. Int. J. Heat Mass Transf. 2019, 129, 660–670. [Google Scholar] [CrossRef]
- Huang, Q.; Yan, M.; Jiang, Z. Thermal study on single electrodes in lithium-ion battery. J. Power Source 2006, 156, 541–546. [Google Scholar] [CrossRef]
- Zou, Y.; Hu, X.; Ma, H.; Li, S.E. Combined State of Charge and State of Health estimation over lithium-ion battery cell cycle lifespan for electric vehicles. J. Power Source 2015, 273, 793–803. [Google Scholar] [CrossRef]
- Hu, X.; Xiong, R.; Egardt, B. Model-based dynamic power assessment of lithium-ion batteries considering different operating conditions. IEEE Trans. Ind. Informatics 2013, 10, 1948–1959. [Google Scholar] [CrossRef]
- Araki, T.; Nakayama, M.; Fukuda, K.; Onda, K. Thermal behavior of small nickel/metal hydride battery during rapid charge and dis-charge cycles. J. Electrochem. Soc. 2005, 152, A1128–A1135. [Google Scholar] [CrossRef]
- Belt, J.R.; Ho, C.D.; Miller, T.J.; Habib, M.S.; Duong, T.Q. The effect of temperature on capacity and power in cycled lithium ion batteries. J. Power Source 2005, 142, 354–360. [Google Scholar] [CrossRef]
- Chiu, K.C.; Lin, C.H.; Yeh, S.F.; Lin, Y.H.; Huang, C.S.; Chen, K.C. Cycle life analysis of series connected lithium-ion batteries with temperature difference. J. Power Source 2014, 263, 75–84. [Google Scholar] [CrossRef]
- Song, W.; Chen, M.; Bai, F.; Lin, S.; Chen, Y.; Feng, Z. Non-uniform effect on the thermal/aging performance of Lithium-ion pouch battery. Appl. Therm. Eng. 2018, 128, 1165–1174. [Google Scholar] [CrossRef]
- Liu, H.; Wei, Z.; He, W.; Zhao, J. Thermal issues about Li-ion batteries and recent progress in battery thermal management systems: A review. Energy Convers. Manag. 2017, 150, 304–330. [Google Scholar] [CrossRef]
- Gang, Z.; Wang, X.; Michael, N.; Zhang, H. A Review of Air-Cooling Battery Thermal Management Systems for Electric and Hybrid Electric Vehicles. J. Power Source 2021, 501, 230001. [Google Scholar]
- Kim, G.-H.; Pesaran, A. Battery Thermal Management System Design Modeling, National Renewable Energy Labora-tory; NREL: Golden, CO, USA, 2006. [Google Scholar]
- Yu, X.; Lu, Z.; Zhang, L.; Wei, L.; Cui, X.; Jin, L. Experimental study on transient thermal characteristics of stagger-arranged lithium-ion battery pack with air cooling strategy. Int. J. Heat Mass Transf. 2019, 143, 118576. [Google Scholar] [CrossRef]
- Park, C.-W.; Jaura, A.K. Thermal Analysis of Cooling System in Hybrid Electric Vehicles; SAE Technical Paper Series; SAE: Warrendale, PA, USA, 2002. [Google Scholar]
- Sabbah, R.; Kizilel, R.; Selman, J.; Al-Hallaj, S. Active (Air cooled) vs. Passive (Phase Change Material) Thermal Management of High Power Lithium-Ion Packs: Limitation of Temperature Rise and Uniformity of Temperature Distribution. J. Power Source 2008, 182, 630–638. [Google Scholar] [CrossRef]
- Zhang, G.; Cao, L.; Ge, S.; Wang, C.-Y.; Shaffer, C.E.; Rahn, C.D. In Situ Measurement of Radial Temperature Distributions in Cy-lindrical Li-Ion Cells. J. Electrochem. Soc. 2014, 161, A1499. [Google Scholar] [CrossRef]
- Wang, T.; Tseng, K.; Zhao, J.; Wei, Z. Thermal investigation of lithium-ion battery module with different cell arrangement structures and forced air-cooling strategies. Appl. Energy 2014, 134, 229–238. [Google Scholar] [CrossRef]
- Kang, D.; Lee, P.-Y.; Yoo, K.; Kim, J. Internal thermal network model-based inner temperature distribution of high-power lithium-ion battery packs with different shapes for thermal management. J. Energy Storage 2020, 27, 101017. [Google Scholar] [CrossRef]
- Zhang, Y.; Song, X.; Ma, C.; Hao, D.; Chen, Y. Effects of the structure arrangement and spacing on the thermal characteristics of Li-ion battery pack at various discharge rates. Appl. Therm. Eng. 2019, 165, 114610. [Google Scholar] [CrossRef]
- Yang, N.; Zhang, X.; Li, G.; Hua, D. Assessment of the forced air-cooling performance for cylindrical lithium-ion battery packs: A comparative analysis between aligned and staggered cell arrangements. Appl. Therm. Eng. 2015, 80, 55–65. [Google Scholar] [CrossRef]
- Fan, Y.; Bao, Y.; Ling, C.; Chu, Y.; Tan, X.; Yang, S. Experimental study on the thermal management performance of air cooling for high energy density cylindrical lithium-ion batteries. Appl. Therm. Eng. 2019, 155, 96–109. [Google Scholar] [CrossRef]
- Chen, K.; Wang, S.; Song, M.; Chen, L. Configuration optimization of battery pack in parallel air cooling battery thermal man-agement system using an optimization strategy. Appl. Therm. Eng. 2017, 123, 177–186. [Google Scholar] [CrossRef]
- Yang, T.; Yang, N.; Zhang, X.; Li, G. Investigation of the thermal performance of axial-flow air cooling for the lithium-ion battery pack. Int. J. Therm. Sci. 2016, 108, 132–144. [Google Scholar] [CrossRef]
- Ye, M.; Xu, Y.; Huangfu, Y. The structure optimization of lithium-ion battery pack based on fluid-solid conjugate thermodynamic analysis. Energy Procedia 2018, 152, 643–648. [Google Scholar] [CrossRef]
- Erb, D.C.; Kumar, S.; Sarma, S.E.; Carlson, E. Size matters: Why cell size is vital for minimizing cost of air-cooling in battery packs. In Proceedings of the 2015 IEEE Transportation Electrification Conference and Expo (ITEC), Dearborn, MI, USA, 14–17 June 2015; pp. 1–6. [Google Scholar]
- Severino, B.; Gana, F.; Palma-Behnke, R.; Est´evez, P.A.; Calderón-Muñoz, W.R.; Orchard, M.E.; Reyes, J.; Cort, M. Mul-ti-objective optimal design of lithium-ion battery packs based on evolutionary algorithms. J. Power Source 2014, 267, 288–299. [Google Scholar] [CrossRef]
- Li, W.; Xiao, M.; Peng, X.; Garg, A.; Gao, L. A surrogate thermal modeling and parametric optimization of battery pack with air cooling for EVs. Appl. Therm. Eng. 2018, 147, 90–100. [Google Scholar] [CrossRef]
- Sun, H.; Dixon, R. Development of cooling strategy for an air cooled lithium-ion battery pack. J. Power Source 2014, 272, 404–414. [Google Scholar] [CrossRef]
- Liu, Y.; Zhang, J. Design a J-type air-based battery thermal management system through surrogate-based optimization. Appl. Energy 2019, 252, 113426. [Google Scholar] [CrossRef]
- Lu, Z.; Yu, X.; Wei, L.; Qiu, Y.; Zhang, L.; Meng, X.; Jin, L. Parametric study of forced air cooling strategy for lithium-ion battery pack with staggered arrangement. Appl. Therm. Eng. 2018, 136, 28–40. [Google Scholar] [CrossRef]
- Yu, K.; Yang, X.; Cheng, Y.; Li, C. Thermal analysis and two-directional air flow thermal management for lithium-ion battery pack. J. Power Source 2014, 270, 193–200. [Google Scholar] [CrossRef]
- Na, X.; Kang, H.; Wang, T.; Wang, Y. Reverse layered air flow for Li-ion battery thermal management. Appl. Therm. Eng. 2018, 143, 257–262. [Google Scholar] [CrossRef]
- Fathabadi, H. A novel design including cooling media for Lithium-ion batteries pack used in hybrid and electric vehicles. J. Power Source 2014, 245, 495–500. [Google Scholar] [CrossRef]
- Wang, H.; Ma, L. Thermal management of a large prismatic battery pack based on reciprocating flow and active control. Int. J. Heat Mass Transf. 2017, 115, 296–303. [Google Scholar] [CrossRef]
- Zhao, J.; Rao, Z.; Li, Y. Thermal performance of mini-channel liquid cooled cylinder based battery thermal management for cylindrical lithium-ion power battery. Energy Convers. Manag. 2015, 103, 157–165. [Google Scholar] [CrossRef]
- Chen, K.; Wu, W.; Yuan, F.; Chen, L.; Wang, S. Cooling efficiency improvement of air cooling battery thermal management system through designing the flow pattern. Energy 2018, 167, 781–790. [Google Scholar] [CrossRef]
- Jiaqiang, E.; Yue, M.; Chen, J.; Zhu, H.; Deng, Y.; Zhu, Y.; Zhang, F.; Wen, M.; Zhang, B.; Kang, S. Effects of the different air cooling strategies on cooling performance of a lithium-ion battery module with baffle. Appl. Therm. Eng. 2018, 144, 231–241. [Google Scholar] [CrossRef]
- Chen, K.; Li, Z.; Chen, Y.; Long, S.; Hou, J.; Song, M.; Wang, S. Design of parallel air cooling battery thermal management system through numerical study. Energies 2017, 10, 1677. [Google Scholar] [CrossRef]
- Shahid, S.; Agelin-Chaab, M. Experimental and numerical studies on air cooling and temperature uniformity in a battery pack. Int. J. Energy Res. 2018, 42, 2246–2262. [Google Scholar] [CrossRef]
- Han, T.; Khalighi, B.; Yen, E.C.; Kaushik, S. Li-Ion Battery Pack Thermal Management: Liquid Versus Air Cooling. J. Therm. Sci. Eng. Appl. 2018, 11, 021009. [Google Scholar] [CrossRef]
- Li, W.; Jishnu, A.; Garg, A.; Xiao, M.; Peng, X.; Gao, L. Heat Transfer Efficiency Enhancement of Lithium-Ion Battery Packs by Using Novel Design of Herringbone Fins. J. Electrochem. Energy Convers. Storage 2020, 17, 1–19. [Google Scholar] [CrossRef]
- Wei, Y.; Agelin-Chaab, M. Development and experimental analysis of a hybrid cooling concept for electric vehicle battery packs. J. Energy Storage 2019, 25, 100906. [Google Scholar] [CrossRef]
- Saw, L.H.; Ye, Y.; Yew, M.C.; Chong, W.T.; Ng, T.C. Computational fluid dynamics simulation on open cell aluminium foams for Li-ion battery cooling system. Appl. Energy 2017, 204, 1489–1499. [Google Scholar] [CrossRef]
- Li, X.; He, F.; Zhang, G.; Huang, Q.; Zhou, D. Experiment and simulation for pouch battery with silica cooling plates and copper mesh based air cooling thermal management system. Appl. Therm. Eng. 2018, 146, 866–880. [Google Scholar] [CrossRef]
- Mohammadian, S.K.; Rassoulinejad-Mousavi, S.M.; Zhang, Y. Thermal management improvement of an air-cooled high-power lithium-ion battery by embedding metal foam. J. Power Source 2015, 296, 305–313. [Google Scholar] [CrossRef]
- Jilte, R.D.; Kumar, R.; Ahmadi, M.H.; Chen, L. Battery thermal management system employing phase change material with cell-to-cell air cooling. Appl. Therm. Eng. 2019, 161, 114199. [Google Scholar] [CrossRef]
- Qin, P.; Liao, M.; Zhang, D.; Liu, Y.; Sun, J.; Wang, Q. Experimental and numerical study on a novel hybrid battery thermal management system integrated forced-air convection and phase change material. Energy Convers. Manag. 2019, 195, 1371–1381. [Google Scholar] [CrossRef]
- Qian, Z.; Li, Y.; Rao, Z. Thermal performance of lithium-ion battery thermal management system by using mini-channel cooling. Energy Convers. Manag. 2016, 126, 622–631. [Google Scholar] [CrossRef]
- Wu, W.; Wang, S.; Wu, W.; Chen, K.; Hong, S.; Lai, Y. A critical review of battery thermal performance and liquid based battery thermal management. Energy Convers. Manag. 2019, 182, 262–281. [Google Scholar] [CrossRef]
- Wu, S.Q.; Lao, L.; Wu, L.; Liu, L.; Lin, C.J.; Zhang, Q.C. Effect analysis on integration efficiency and safety performance of a battery thermal management system based on direct contact liquid cooling. Appl. Therm. Eng. 2022, 201, 117788. [Google Scholar] [CrossRef]
- Liu, Z.; Liu, X.; Meng, H.; Guo, L.; Zhang, Z. Numerical analysis of the thermal performance of a liquid cooling battery module based on the gradient ratio of a liquid cooling battery module based on the gradient ratio flow velocity and gradient increment tube diameter. Int. J. Heat Mass Transf. 2021, 175, 121338. [Google Scholar] [CrossRef]
- Xie, L.; Huang, Y.; Lai, H. Coupled prediction model of liquid-cooling based thermal management system for cylindrical lithi-um-ion module. Appl. Therm. Eng. 2020, 178, 115599. [Google Scholar] [CrossRef]
- Wang, H.; Tao, T.; Xu, J.; Mei, X.; Liu, X.; Gou, P. Cooling capacity of a novel modular liquid-cooled battery thermal management system for cylindrical lithium ion batteries. Appl. Therm. Eng. 2020, 178, 115591. [Google Scholar] [CrossRef]
- Yue, Q.L.; He, C.X.; Wu, M.C.; Zhao, T.S. Advances in Thermal Management Systems for Next-Generation Power Batteries. Int. J. Heat Mass Transf. 2021, 181, 121853. [Google Scholar] [CrossRef]
- Ding, Y.; Wei, M.; Liu, R. Channel parameters for the temperature distribution of a battery thermal management system with liquid cooling. Appl. Therm. Eng. 2020, 186, 116494. [Google Scholar] [CrossRef]
- Xu, X.; Tong, G.; Li, R. Numerical study and optimizing on cold plate splitter for lithium battery thermal management system. Appl. Therm. Eng. 2020, 167, 114787. [Google Scholar] [CrossRef]
- Linxiang, F.; Zhendong, Z.; Ziqiang, S.L.Y.; Chen, P.; Yuxuan, P.; Junming, H. Research on heat dissipation performance of large-scale lithium-ion battery by liquid-cooled system. Cryogenics/Refrigeration 2022, 50, 69–76. [Google Scholar]
- Koyama, R.; Arai, Y.; Yamauchi, Y.; Takeya, S.; Endo, F.; Hotta, A.; Ohmura, R. Thermophysical properties of trimethylolethane (TME) hydrate as phase change material for cooling lithium-ion battery in electric vehicle. J. Power Source 2019, 427, 70–76. [Google Scholar] [CrossRef]
- E, J.; Xu, S.J.; Deng, Y.W.; Zhu, H.; Zuo, W.; Wang, H.C.; Chen, J.M.; Peng, Q.G.; Zhang, Z.Q. Investigation on thermal performance and pressure loss of the fluid cold-plate used in thermal management system of the battery pack. Appl. Therm. Eng. 2018, 145, 552–568. [Google Scholar] [CrossRef]
- Wang, X.; Xu, J.; Ding, Y.J.; Ding, F.; Xu, X. Optimal design of liquid cooling pipeline for battery module based on VCALB. Energy Storage Sci. Technol. 2022, 11, 547–552. [Google Scholar]
- An, Z.J.; Jia, L.; Li, X.J.; Ding, Y. Experimental investigation on lithium-ion battery thermal management based on flow boiling in mini-channel. Appl. Therm. Eng. 2017, 117, 534–543. [Google Scholar] [CrossRef]
- Wang, C.; Zhang, G.Q.; Li, X.X.; Huang, J.; Wang, Z.Y.; Lv, Y.F.; Meng, L.K.; Situ, W.F.; Rao, M.M. Experimental examination of large capacity LiFePO4 battery pack at high temperature and rapid discharge using novel liquid cooling strategy. Int. J. Energy Res. 2018, 42, 1172–1182. [Google Scholar] [CrossRef]
- Ding, Y.; Ji, H.; Wei, M.; Liu, R. Effect of liquid cooling system structure on lithium-ion battery pack temperature fields. Int. J. Heat Mass Transf. 2022, 183, 122178. [Google Scholar] [CrossRef]
- Smith, J.; Hinterberger, M.; Hable, P.; Koehler, J. Simulative method for determining the optimal operating conditions for a cooling plate for lithium-ion battery cell modules. J. Power Source 2014, 267, 784–792. [Google Scholar] [CrossRef]
- Luo, M. Analysis and Optimization of Liquid Cooling Heat Dissipation Structure for EV Lithium-ion Battery Pack. Master’s Thesis, Chong-qing University, Chongqing, China, 2014. [Google Scholar]
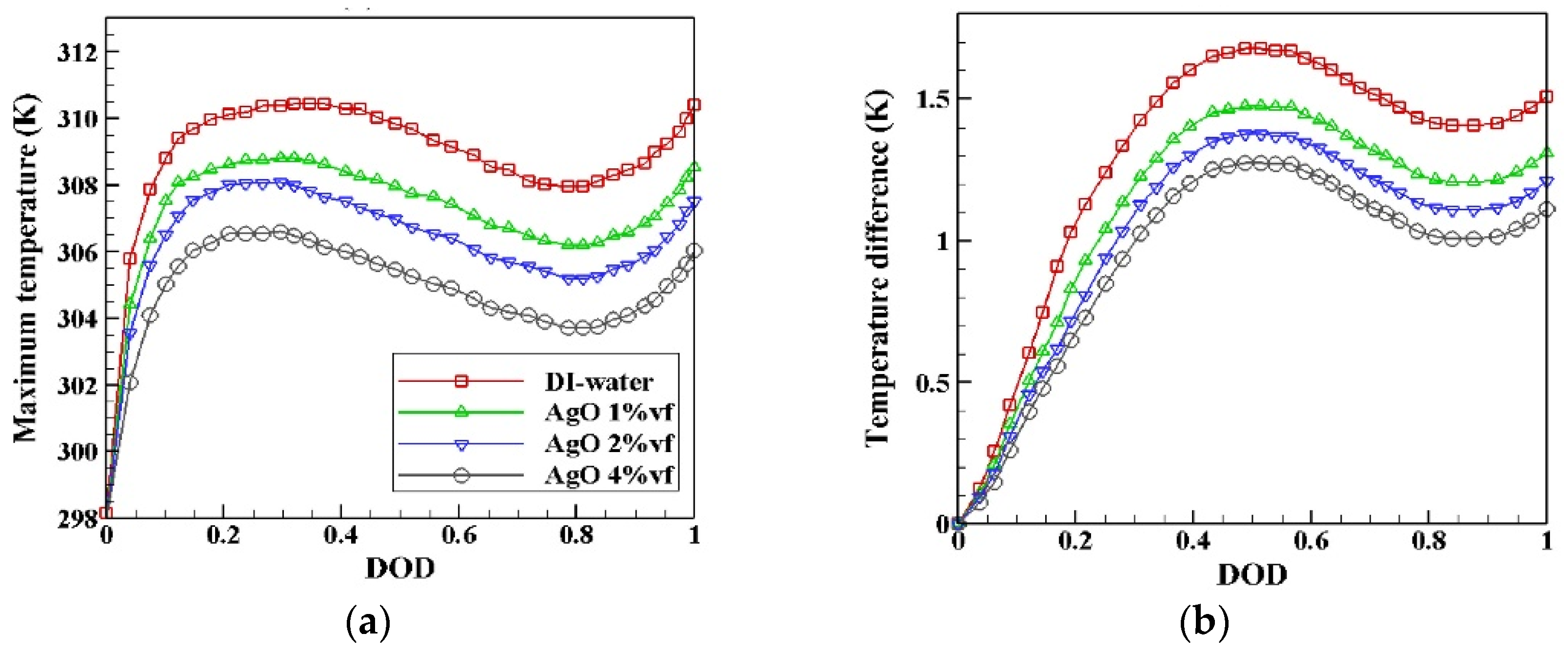
- Tousi, M.; Sarchami, A.; Kiani, M.; Najafi, M.; Houshfar, E. Numerical study of novel liquid-cooled thermal management system for cylindrical Li-ion battery packs under high discharge rate based on AgO nanofluid and copper sheath. J. Energy Storage 2021, 41, 102910. [Google Scholar] [CrossRef]
- Liu, Z.; Wang, H.; Yang, C.; Zhao, J. Simulation study of lithium-ion battery thermal management system based on a variable flow velocity method with liquid metal. Appl. Therm. Eng. 2020, 179, 115578. [Google Scholar] [CrossRef]
- Cao, J.; Ling, Z.; Fang, X.; Zhang, Z. Delayed liquid cooling strategy with phase change material to achieve high temperature uniformity of Li-ion battery under high-rate discharge. J. Power Source 2019, 450, 227673. [Google Scholar] [CrossRef]
- Ping, P.; Zhang, Y.; Kong, D.; Du, J. Investigation on battery thermal management system combining phase changed material and liquid cooling considering non-uniform heat generation of battery. J. Energy Storage 2021, 36, 102448. [Google Scholar] [CrossRef]
- Chen, D.; Jiang, J.; Kim, G.-H.; Yang, C.; Pesaran, A. Comparison of different cooling methods for lithium ion battery cells. Appl. Therm. Eng. 2016, 94, 846–854. [Google Scholar] [CrossRef]
- Azmi, W.; Hamid, K.A.; Usri, N.; Mamat, R.; Sharma, K. Heat transfer augmentation of ethylene glycol: Water nanofluids and applications—A review. Int. Commun. Heat Mass Transf. 2016, 75, 13–23. [Google Scholar] [CrossRef]
- Saw, L.H.; Tay, A.A.O.; Zhang, L.W. Thermal Management of Lithium-Ion Battery Pack with Liquid Cooling. In Proceedings of the 2015 31st Thermal Measurement, Modeling Management Symposium (SEMI-THERM), San Jose, CA, USA, 15–19 March 2015. [Google Scholar]
- Hirano, H.; Tajima, T.; Hasegawa, T.; Sekiguchi, T.; Uchino, M. Boiling Liquid Battery Cooling for Electric Vehicle. In Proceedings of the 2014 IEEE Con-ference and Expo Transportation Electrification Asia-Pacific (ITEC Asia-Pacific), Beijing, China, 31 August–3 September 2014. [Google Scholar]
- Lionello, M.; Rampazzo, M.; Beghi, A.; Varagnolo, D.; Vesterlund, M. Graph-Based Modelling and Simulation of Liquid Immersion Cooling Systems. Energy 2020, 207, 118238. [Google Scholar] [CrossRef]
- Kanbur, B.B.; Wu, C.; Fan, S.; Tong, W.; Duan, F. Two-Phase Liquid-Immersion Data Center Cooling System: Experimental Per-formance and Thermoeconomic Analysis. Int. J. Refrig. 2020, 118, 290–301. [Google Scholar] [CrossRef]
- Nelson, P.; Dees, D.; Amine, K.; Henriksen, G. Modeling thermal management of lithium-ion PNGV batteries. J. Power Source 2002, 110, 349–356. [Google Scholar] [CrossRef]
- Luo, B. Research of Electric Vehicle Liquid Cooling System Which Directly Contact with Battery Pack. Master’s Thesis, South China University of Technology, Guangzhou, China, 2016. [Google Scholar]
- Sundin, D.W.; Sponholtz, S. Thermal Management of Li-Ion Batteries with Single-Phase Liquid Immersion Cooling. IEEE Open J. Veh. Technol. 2020, 1, 82–92. [Google Scholar] [CrossRef]
- Pulugundla, G.; Dubey, P.; Wu, Z.; Wang, Q.; Srouji, A.K. Thermal Management of Lithium Ion Cells at High Discharge Rate Using Submerged-Cell Cooling. In Proceedings of the 2020 IEEE Transportation Electrification Conference Expo (ITEC), Chicago, IL, USA, 23–26 June 2020. [Google Scholar]
- Wang, H.T.; Tao, T.; Xu, J.; Shi, H.; Mei, X.S.; Gou, P. Thermal performance of a liquid immersed battery thermal management system for lithium-ion pouch batteries. J. Energy Storage 2022, 46, 103835. [Google Scholar] [CrossRef]
- Zhang, J.; Wang, H.; Lu, N. Temperature field characteristics of a small NCM811 traction battery module cooled by insulating oil immersion. Energy Storage Sci. Technol. 2022, 11, 2612–2619. [Google Scholar]
- Li, X.; Huang, Q.; Deng, J.; Zhang, G.; Zhong, Z.; He, F. Evaluation of lithium battery thermal management using sealant made of boron nitride and silicone. J. Power Source 2020, 451, 227820. [Google Scholar] [CrossRef]
- Al-Zareer, M.; Dincer, I.; Rosen, M.A. Heat and mass transfer modeling and assessment of a new battery cooling system. Int. J. Heat Mass Transf. 2018, 126, 765–778. [Google Scholar] [CrossRef]
- Al-Zareer, M.; Dincer, I.; Rosen, M.A. Electrochemical modeling and performance evaluation of a new ammonia-based battery thermal management system for electric and hybrid electric vehicles. Electrochim. Acta 2017, 247, 171–182. [Google Scholar] [CrossRef]
- Al-Zareer, M.; Dincer, I.; Rosen, M.A. A novel phase change based cooling system for prismatic lithium ion batteries. Int. J. Refrig. 2017, 86, 203–217. [Google Scholar] [CrossRef]
- Park, S.; Jung, D. Battery cell arrangement and heat transfer fluid effects on the parasitic power consumption and the cell temperature distribution in a hybrid electric vehicle. J. Power Source 2013, 227, 191–198. [Google Scholar] [CrossRef]
- Tan, X.; Lyu, P.; Fan, Y.; Rao, J.; Ouyang, K. Numerical investigation of the direct liquid cooling of a fast-charging lithium-ion battery pack in hydrofluoroether. Appl. Therm. Eng. 2021, 196, 117279. [Google Scholar] [CrossRef]
- Le, Q.; Shi, Q.; Liu, Q.; Yao, X.; Ju, X.; Xu, C. Numerical investigation on manifold immersion cooling scheme for lithium ion battery thermal management application. Int. J. Heat Mass Transf. 2022, 190, 122750. [Google Scholar] [CrossRef]
- Suresh Patil, M.; Seo, J.-H.; Lee, M.-Y. A Novel Dielectric Fluid Immersion Cooling Technology for Li-Ion Battery Thermal Man-agement. Energy Convers. Manag. 2021, 229, 113715. [Google Scholar] [CrossRef]
- Guo, H. Simulation and Experimental Study of Immersed Liquid Cooling Battery Pack for Electric Vehicle. Master’s Thesis, Zhejiang University, Hangzhou, China, 2022. [Google Scholar]
- Wang, Y.-F.; Wu, J.-T. Thermal performance predictions for an HFE-7000 direct flow boiling cooled battery thermal management system for electric vehicles. Energy Convers. Manag. 2020, 207, 112569. [Google Scholar] [CrossRef]
- Hong, S.H.; Jang, D.S.; Park, S.; Yun, S.; Kim, Y. Thermal Performance of Direct Two-Phase Refrigerant Cooling for Lithium-Ion Batteries in Electric Vehicles. Appl. Therm. Eng. 2020, 173, 115213. [Google Scholar] [CrossRef]
- Shen, M.; Gao, Q. System simulation on refrigerant-based battery thermal management technology for electric vehicles. Energy Convers. Manag. 2019, 203, 112176. [Google Scholar] [CrossRef]
- Cen, J.; Li, Z.; Jiang, F. Experimental investigation on using the electric vehicle air conditioning system for lithium-ion battery thermal management. Energy Sustain. Dev. 2018, 45, 88–95. [Google Scholar] [CrossRef]
- Yang, S.; Zhou, S.; Zhang, Y.; Hua, Y. Review on refrigerant for direct-cooling thermal management system of lithium-ion battery for electric vehicles. J. Beijing Univ. Aeronaut. Astronaut. 2019, 45, 2123–2132. [Google Scholar]
- Huang, D.; Zhang, H.; Wang, X.; Huang, X.; Dai, H. Experimental investigations on the performance of mini-channel evaporator refrigeration system for thermal management of power batteries. Int. J. Refrig. 2021, 130, 117–127. [Google Scholar] [CrossRef]
- Guo, J.; Jiang, F. A novel electric vehicle thermal management system based on cooling and heating of batteries by refrigerant. Energy Convers. Manag. 2021, 237, 114145. [Google Scholar] [CrossRef]
- Xu, C.; Guo, Z.; Shi, W.; Ni, H.; Gao, X.; Fang, Y.; Han, X.; Chen, G. Substitution research summary of HFO refrigerants in refrigeration and air-conditioning field. Refrig. Air-Cond. 2019, 19, 1–13. [Google Scholar]
- Fang, Y.; Yang, W.; Xu, D.; Hu, L.; Su, L.; Huang, Y. Experimental investigation on flow boiling characteristics of R1233zd(E) in a parallel mini-channel heat sink for the application in battery thermal management. Int. J. Heat Mass Transf. 2021, 178, 121591. [Google Scholar] [CrossRef]
- Fang, Y.; Ye, F.; Zhu, Y.; Li, K.; Shen, J.; Su, L. Experimental investigation on system performances and transient response of a pumped two-phase battery cooling system using R1233zd. Energy Rep. 2020, 6, 238–247. [Google Scholar] [CrossRef]
- Rao, Z.H.; Wang, S.F.; Zhang, G.Q. Simulation and experiment of thermal energy management with phase change material for ageing LiFePO4 power battery. Energy Convers Manag. 2011, 52, 3408–3414. [Google Scholar] [CrossRef]
- Al-Hallaj, S. Safety and Thermal Management for Li-Ion Batteries in Transportation Applications, Presented at the EV Li-Ion Battery Forum Europe; Springer: Barcelona, Spain, 2012. [Google Scholar]
- Liu, R.; Chen, J.; Xun, J.; Jiao, K.; Du, Q. Numerical investigation of thermal behaviors in lithium-ion battery stack discharge. Appl. Energy 2014, 132, 288–297. [Google Scholar] [CrossRef]
- Jaguemont, J.; Omar, N.; Van den Bossche, P.; Mierlo, J. Phase-change materials (PCM) for automotive applications: A review. Appl. Therm. Eng. 2018, 132, 308–320. [Google Scholar] [CrossRef]
- Ling, Z.; Li, S.; Cai, C.; Lin, S.; Fang, X.; Zhang, Z. Battery thermal management based on multiscale encapsulated inorganic phase change material of high stability. Appl. Therm. Eng. 2021, 193, 117002. [Google Scholar] [CrossRef]
- Ci, E.; Wang, H.; Li, X.; Zhang, Y.; Zhang, Z.; Li, J. Preparation and performance enhancement of magnesium nitrate hexahydrate-lithium nitrate eutectic salt/expanded graphite composite phase change material. Energy Storage Sci. Technol. 2022, 11, 30–37. [Google Scholar]
- El Idi, M.M.; Karkri, M.; Kraiem, M. Preparation and effective thermal conductivity of a Paraffin/ Metal Foam composite. J. Energy Storage 2020, 33, 102077. [Google Scholar] [CrossRef]
- Khateeb, S.A.; Farid, M.M.; Selman, J.; Al-Hallaj, S. Design and simulation of a lithium-ion battery with a phase change material thermal management system for an electric scooter. J. Power Source 2004, 128, 292–307. [Google Scholar] [CrossRef]
- Liu, C.; Song, Y.; Xu, Z.; Zhao, J.; Rao, Z. Highly Efficient Thermal Energy Storage Enabled by a Hierarchical Structured Hyper crosslinked Polymer/Expanded Graphite Composite. Int. J. Heat Mass Transf. 2020, 148, 119068. [Google Scholar] [CrossRef]
- Mhiri, H.; Jemni, A.; Sammouda, H. Numerical and Experimental Investigations of Melting Process of Composite Material (Na-noPCM/Carbon Foam) Used for Thermal Energy Storage. J. Energy Storage 2020, 29, 101167. [Google Scholar] [CrossRef]
- Zhang, J.; Li, X.; Zhang, G.; Wu, H.; Rao, Z.; Guo, J.; Zhou, D. Experimental investigation of the flame retardant and form-stable composite phase change materials for a power battery thermal management system. Power Source 2020, 480, 229116. [Google Scholar] [CrossRef]
- Xiao, X.; Zhang, P.; Li, M. Preparation and thermal characterization of paraffin/metal foam composite phase change material. Appl. Energy 2013, 112, 1357–1366. [Google Scholar] [CrossRef]
- Oya, T.; Nomura, T.; Tsubota, M.; Okinaka, N.; Akiyama, T. Thermal conductivity enhancement of erythritol as PCM by using graphite and nickel particles. Appl. Therm. Eng. 2012, 61, 825–828. [Google Scholar] [CrossRef]
- Mohammed, A.G.; Elfeky, K.E.; Wang, Q. Recent advancement and enhanced battery performance using phase change materials based hybrid battery thermal management for electric vehicles. Renew. Sustain. Energy Rev. 2021, 154, 111759. [Google Scholar] [CrossRef]
- Ling, Z.; Wang, F.; Fang, X.; Gao, X.; Zhang, Z. A hybrid thermal management system for lithium ion batteries combining phase change materials with forced-air cooling. Appl. Energy 2015, 148, 403–409. [Google Scholar] [CrossRef]
- He, J.; Yang, X.; Zhang, G. A phase change material with enhanced thermal conductivity and secondary heat dissipation capability by introducing a binary thermal conductive skeleton for battery thermal management. Appl. Therm. Eng. 2019, 148, 984–991. [Google Scholar] [CrossRef]
- Chen, F.; Huang, R.; Wang, C.; Yu, X.; Liu, H.; Wu, Q.; Qian, K.; Bhagat, R. Air and PCM cooling for battery thermal management considering battery cycle life. Appl. Therm. Eng. 2020, 173, 115154. [Google Scholar] [CrossRef]
- Safdari, M.; Ahmadi, R.; Sadeghzadeh, S. Numerical Investigation on PCM Encapsulation Shape Used in the Passive-Active Battery Thermal Management. Energy 2019, 193, 116840. [Google Scholar] [CrossRef]
- Zhang, H.; Wu, X.; Wu, Q.; Xu, S. Experimental investigation of thermal performance of large-sized battery module using hybrid PCM and bottom liquid cooling configuration. Appl. Therm. Eng. 2019, 159, 113968. [Google Scholar] [CrossRef]
- Song, L.; Zhang, H.; Yang, C. Thermal analysis of conjugated cooling configurations using phase change material and liquid cooling techniques for a battery module. Int. J. Heat Mass Transf. 2019, 133, 827–841. [Google Scholar] [CrossRef]
- Hekmat, S.; Molaeimanesh, G. Hybrid thermal management of a Li-ion battery module with phase change material and cooling water pipes: An experimental investigation. Appl. Therm. Eng. 2019, 166, 114759. [Google Scholar] [CrossRef]
- Kong, D.; Peng, R.; Ping, P.; Du, J.; Chen, G.; Wen, J. A novel battery thermal management system coupling with PCM and opti-mized controllable liquid cooling for different ambient temperatures. Energy Convers. Manag. 2019, 204, 112280. [Google Scholar] [CrossRef]
- Zhang, W.; Qiu, J.; Yin, X.; Wang, D. A novel heat pipe assisted separation type battery thermal management system based on phase change material. Appl. Therm. Eng. 2019, 165, 114571. [Google Scholar] [CrossRef]
- Jiang, Z.; Qu, Z. Lithium-ion battery thermal management using heat pipe and phase change material during discharge-charge cycle: A comprehensive numerical study. Applied Energy 2019, 242, 378–392. [Google Scholar] [CrossRef]
- Wang, Q.; Rao, Z.; Huo, Y.; Wang, S. Thermal performance of phase change material/oscillating heat pipe-based battery thermal management system. Int. J. Therm. Sci. 2016, 102, 9–16. [Google Scholar] [CrossRef]
- Huang, X.; Liu, Y.; Liu, G. Common Characteristics of the Micro Heat Pipe Comparison. J. Chongqing Univ. Sci. Technol. (Nat. Sci. Ed. ) 2008, 5, 81–85. [Google Scholar]
- Zhou, D.; Yang, L.; Liu, D.; Zhang, H.; Hu, H. Research progress of heat pipe enhanced power battery heat dissipation technology. Chem. Eng. 2022, 50, 25–29+56. [Google Scholar]
- Wang, Y.; Diao, Y.; Zhao, Y.; Wang, L. Cooling property of flat micro-heat pipe arrays for lithium battery. Chin. J. Power Source 2014, 38, 1433–1436. [Google Scholar]
- Hong, S.; Zhang, X.; Wang, S.; Zhang, Z. Review on application of heat pipe technology in lithium-ion power battery thermal management system. Chem. Ind. Eng. Prog. 2014, 33, 2923–2927. [Google Scholar]
- Li, G.; He, C.; Xie, Y.; Liu, B.; Deng, S. Thermal management of a 48V pouch lithium-ion battery pack based on high rate discharge condition. Energy Storage Sci. Technol. 2021, 10, 679–688. [Google Scholar]
- Tian, S.; Xiao, J. Temperature Simulation and Analysis of Lithium—Ion Battery Module Based on Heat Pipe—Aluminum Plate Chimeric Cooling Structure. J. Hunan Univ. Sci. Technol. (Nat. Sci. Ed.) 2021, 36, 67–72. [Google Scholar]
- Dan, D.; Yao, C.; Zhang, Y.; Zhang, H.; Zeng, Z.; Xu, X. Dynamic thermal behavior of micro heat pipe array-air cooling battery thermal management system based on thermal network model. Appl. Therm. Eng. 2019, 162, 114183. [Google Scholar] [CrossRef]
- Liu, B.; Hu, Z.; Li, K.; Xie, Y.; Zhang, J. Experimental and simulation on battery thermal management based on a large flat heat pipe. Energy Storage Sci. Technol. 2021, 10, 1364–1373. [Google Scholar]
- Zhang, C.; Yu, M.; Fan, Y.; Zhang, X.; Zhao, Y.; Qiu, L. Numerical study on heat transfer enhancement of PCM using three combined methods based on heat pipe. Energy 2019, 195, 116809. [Google Scholar] [CrossRef]
- Yang, X.; Tan, S.; He, Z.; Liu, J. Finned heat pipe assisted low melting point metal PCM heat sink against ex-tremely high power thermal shock. Energy Convers. Manag. 2018, 160, 467–476. [Google Scholar] [CrossRef]
- Wu, W.; Yang, X.; Zhang, G.; Chen, K.; Wang, S. Experimental investigation on the thermal performance of heat pipe-assited phase change material based battery thermal management system. Energy Convers. Manag. 2017, 138, 486–492. [Google Scholar] [CrossRef]
- Behi, H.; Karimi, D.; Behi, M.; Jaguemont, J.; Ghanbarpour, M.; Behnia, M.; Berecibar, M.; Van Mierlo, J. Thermal management analysis using heat pipe in the high current discharging of lithium-ion battery in electric vehicles. J. Energy Storage 2020, 32, 101893. [Google Scholar] [CrossRef]
- Wang, J.; Gan, Y.; Liang, J.; Tan, M.; Li, Y. Sensitivity analysis of factors influencing a heat pipe-based thermal management system for a battery module with cylindrical cells. Appl. Therm. Eng. 2019, 151, 475–485. [Google Scholar] [CrossRef]
- Qu, J.; Wang, Q. Experimental performance of vertical closed-loop oscillating heat pipes and correlation modeling. Appl. Energy 2013, 112, 1154–1160. [Google Scholar] [CrossRef]
- Putra, N.; Ariantara, B.; Pamungkas, R.A. Experimental investigation on performance of lithium-ion battery thermal management system using flat plate loop heat pipe for electric vehicle application. Appl. Therm. Eng. 2016, 99, 784–789. [Google Scholar] [CrossRef]
- Liang, J.; Gan, Y.; Li, Y. Investigation on the thermal performance of a battery thermal management system using heat pipe under different ambient temperatures. Energy Convers. Manag. 2018, 155, 1–9. [Google Scholar] [CrossRef]
- Smith, J.; Singh, R.; Hinterberger, M.; Mochizuki, M. Battery thermal management system for electric vehicle using heat pipes. Int. J. Therm. Sci. 2018, 134, 517–529. [Google Scholar] [CrossRef]
- Mbulu, H.; Laoonual, Y.; Wongwises, S. Experimental study on the thermal management system musing heat pipes. Case Stud. Therm. Eng. 2021, 26, 101029. [Google Scholar] [CrossRef]
- Putra, N.; Sandi, A.F.; Ariantara, B.; Abdullah, N.; Mahlia, T.M.I. Performance of beeswax phase change material (PCM) and heat pipe as passive battery cooling system for electric vehicles. Case Stud. Therm. Eng. 2020, 21, 100655. [Google Scholar] [CrossRef]
- Behi, H.; Ghanbarpour, M.; Behi, M. Investigation of PCM-assisted heat pipe for electronic cooling. Appl. Therm. Engi-Neering 2017, 127, 1132–1142. [Google Scholar] [CrossRef]
- Zhao, J.; Rao, Z.; Liu, C.; Li, Y. BEHIM. Experimental study of oscillating heat pipe and phase change materials coupled for thermal energy storage and thermal management. Int. J. Heat Mass Transf. 2016, 99, 252–260. [Google Scholar] [CrossRef]



































| Thermal Conductivity | Uniform Temperature Distribution | Cost | Structure Complexity | Compactness | Weight | |
|---|---|---|---|---|---|---|
| Air cooling | Medium | Low | Low | Low | High | Low |
| Liquid cooling | High | Medium | Medium | Medium | Low | High |
| PCMs cooling | Low | High | High | High | Low | High |
| Authors | Methods | Working Medium | Research Focuses | Conclusions |
|---|---|---|---|---|
| Wang et al. [110] | Experiment | No.10 transformer oil Single phase cooling | Different coolant depth, flow rate | When coolant depth and flow rate are increased, both maximum temperature and maximum temperature difference will be reduced. |
| Zhang et al. [111] | Experiment | Mineral oil Single phase cooling | Different oil immersion volume, flow rate, inlet, and outlet methods | With an increase in oil immersion volume and flow rate, and by changing positions of inlet and outlet, the battery thermal effect will be significantly improved. |
| Li et al. [112] | Experiment | SS/BN composite + water Single phase cooling | Different BN material ratios in SS | The composite material with 10wt% BN content should be the best choice for the battery surface coating material. |
| Al-Zareer et al. [113,114,115] | Simulation | R134a, Ammonia and Propane, Two phase cooling | Different liquid level | There is a positive correlation between the heat dissipation ability of the coolant and the liquid level of the coolant. |
| Park et al. [116] | Simulation | Mineral oil Single phase cooling | Different battery pack aspect ratios, battery spacing | A wider battery pack helps to improve temperature uniformity within the battery pack, while a narrower battery pack helps reduce system power consumption. |
| Tan et al. [117] (as show in Figure 24) | Simulation | HFE-6120 Single phase cooling | Different coolant channels, flow speeds, flow directions | With increasing height of the flow channel, maximum temperature, and maximum difference of temperature decrease, while power consumption increases with increasing flow rate. |
| Qin et al. [118] | Simulation | Dielectric fluid Single phase cooling | Different manifold structure in flow channel | Compared with separator thickness and outlet width, manifold channel width and battery spacing are two important factors. |
| Suresh Patil et al. [119] | Experiment + Simulation | Dielectric fluid Single phase cooling | Weather the coolant is flow, weather there is tabs | There is a 46.3% reduction in tab temperature of the battery thanks to the coolant flow and tab cooling aid. |
| Guo [120] | Experiment + Simulation | D-1 type electronic fluorinated fluid Single phase cooling | Different flow rate, battery design arrangements and overheated batteries | A minimum flow rate of 0.5L/min is recommended for the battery pack in order to achieve less than 5 °C temperature non-uniformity. |
| Wang et al. [121] (as show in Figure 25) | Experiment + Simulation | HFE-7000 Two-phase cooling | Different coolant inlet temperature, inlet flow rate | With a faster coolant flow rate, the battery pack maximum temperature will be lower; with a slower coolant flow rate, the temperature difference in the battery will be smaller and the battery will perform better. |
| Types | Advantages | Disadvantages |
|---|---|---|
| CHP | It is capable of fulfilling the heat dissipation needs of different electric fan configurations, while also having less stringent placement angle requirements. | There is a capillary limit. It is not suitable for high heat production conditions, and the cost is high. |
| GHP | According to the battery heat dissipation conditions, it is easy to process into the required structure, and the cost is low. | It is greatly affected by gravity and the placement angle is limited. Designing a heat dissipation system is difficult. |
| PHP | Due to the large equivalent heat transfer coefficient, the battery has a good antigravity performance and can effectively reduce the temperature rise. It also starts quickly. | The operating characteristics are complex. There are many factors affecting performance. Theoretical and application research is in the initial phase. |
| MGFHP | It can reduce the temperature difference between batteries and the weight of the heat dissipation structure, and it has good anti-gravity performance. | Due to insufficient capillary force, it is not suitable for high heat production conditions, and it is difficult to produce. |
| LHP | It is suitable for long-distance heat dissipation, the evaporation section and condensation section can be designed separately and is less affected by gravity. | It is not suitable for compact and distributed high heat flux cooling conditions, and it is difficult to start with low heat load. |
Disclaimer/Publisher’s Note: The statements, opinions and data contained in all publications are solely those of the individual author(s) and contributor(s) and not of MDPI and/or the editor(s). MDPI and/or the editor(s) disclaim responsibility for any injury to people or property resulting from any ideas, methods, instructions or products referred to in the content. |
© 2023 by the authors. Licensee MDPI, Basel, Switzerland. This article is an open access article distributed under the terms and conditions of the Creative Commons Attribution (CC BY) license (https://creativecommons.org/licenses/by/4.0/).
Share and Cite
Fu, P.; Zhao, L.; Wang, X.; Sun, J.; Xin, Z. A Review of Cooling Technologies in Lithium-Ion Power Battery Thermal Management Systems for New Energy Vehicles. Processes 2023, 11, 3450. https://doi.org/10.3390/pr11123450
Fu P, Zhao L, Wang X, Sun J, Xin Z. A Review of Cooling Technologies in Lithium-Ion Power Battery Thermal Management Systems for New Energy Vehicles. Processes. 2023; 11(12):3450. https://doi.org/10.3390/pr11123450
Chicago/Turabian StyleFu, Ping, Lan Zhao, Xuguang Wang, Jian Sun, and Zhicheng Xin. 2023. "A Review of Cooling Technologies in Lithium-Ion Power Battery Thermal Management Systems for New Energy Vehicles" Processes 11, no. 12: 3450. https://doi.org/10.3390/pr11123450
APA StyleFu, P., Zhao, L., Wang, X., Sun, J., & Xin, Z. (2023). A Review of Cooling Technologies in Lithium-Ion Power Battery Thermal Management Systems for New Energy Vehicles. Processes, 11(12), 3450. https://doi.org/10.3390/pr11123450
