The Influence of Hydraulic Characteristics on Structural Performance in a Pump-Turbine under No-Load Conditions
Abstract
:1. Introduction
2. Numerical Model and Settings
2.1. Illustration of Numerical Model
2.2. Turbulence Model and Boundary Conditions
2.3. Verification of Numerical Simulation
3. Analysis of Internal Flow Characteristics
4. Analysis of Pressure Pulsation
4.1. Pressure Pulsation in the Vaneless Zone
4.2. Pressure Pulsation in the Runner Channel
4.3. Pressure Pulsation in the Spiral Casing and Draft Tube
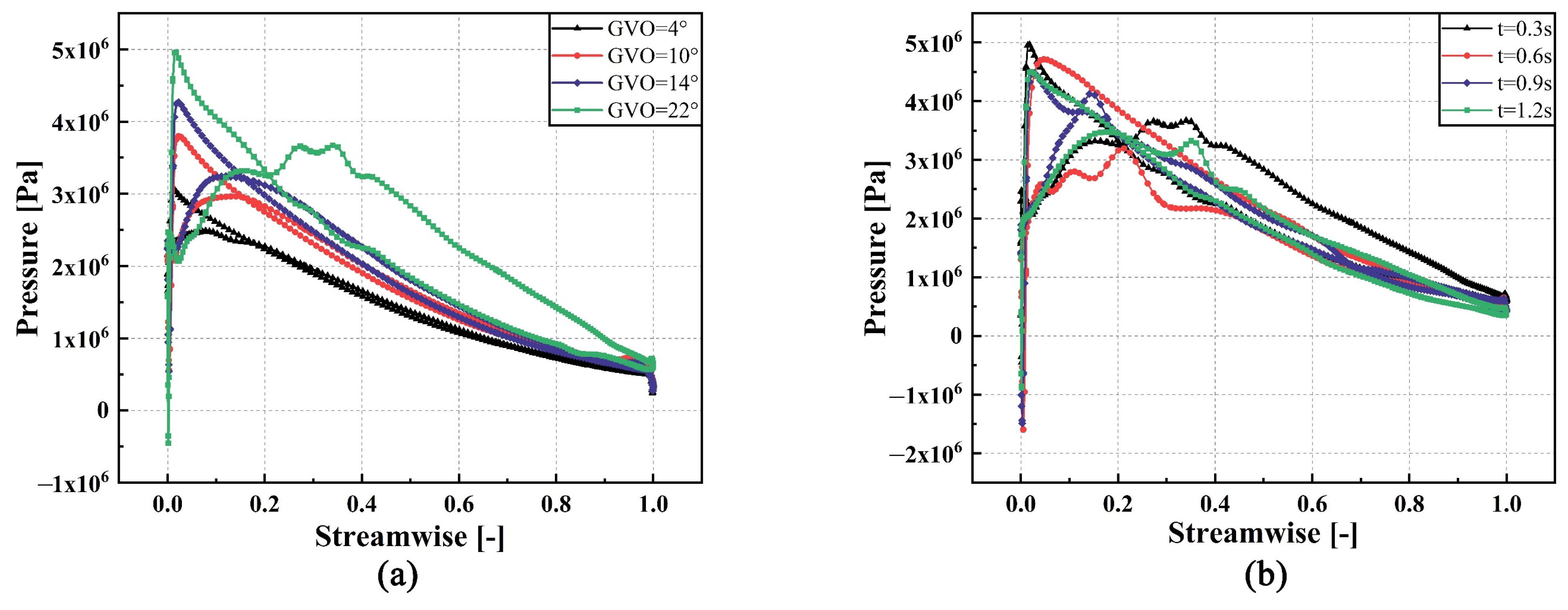
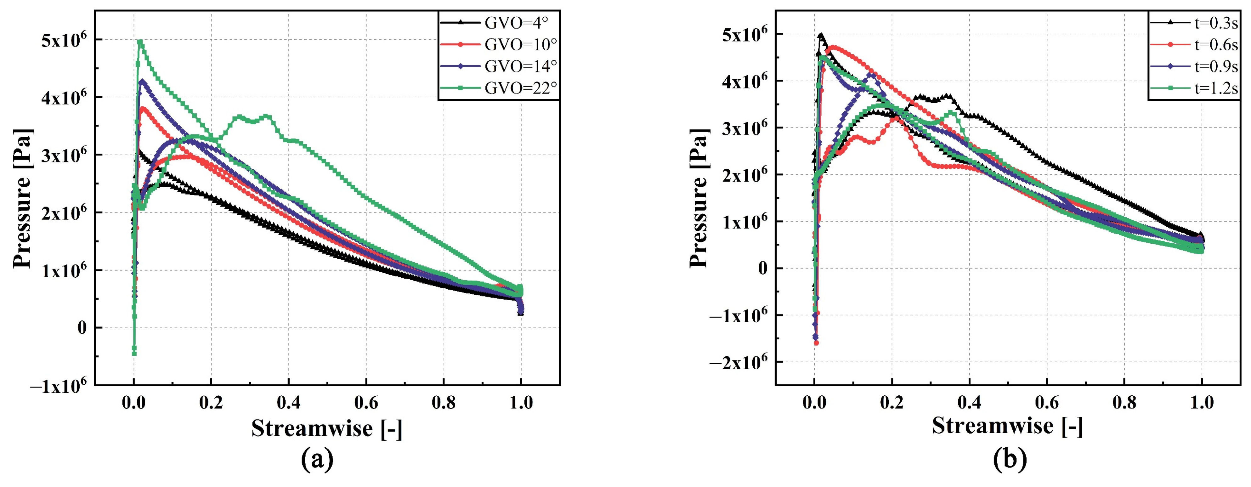
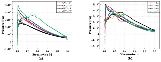
5. Analysis of Structure Stress
6. Conclusions
- Under the no-load conditions, the flow stability of the pump-turbine is closely related to the vortex evolution in the runner. By increasing the GVO, the channel vortices first gather at the suction side of the blades and then spread to the pressure side. Meanwhile, the reverse pressure turning points of the blade start to move downstream, and the circumferential symmetry of the high-speed water ring in the vaneless region is broken. As a result, the rotating stall with frequency 0.7 is more drastic than under low GVO conditions, which also threatens the structural safety of the runner.
- During low GVO conditions, the pressure pulsation in the vaneless zone is dominated by the RSI, namely, the blade-passing frequency 9 and its harmonic 18. The propagation capacity of the RSI frequencies is more powerful than that caused by the rotating stall. With the increase of GVO, the circumferential propagation rate and appearance of low-frequency signals are represented by the rotating stall frequency 0.7 rise, which transmits upstream to the spiral casing and downstream to the elbow section of the draft tube. At the downstream channel, near the runner inlet, the amplitude of these low-frequency signals reaches its maximum. These phenomena align with the results of flow characteristics and have an effect on structural performance.
- Under no-load conditions, the greater the GVO, the more uneven the circumferential distribution of the runner stress and the more significant the stress development of the blade root. That is, the stress concentrates at the weld between the blades and the lower ring, potentially forming and expanding blade cracks. This substantiates the cracks observed in the physical blade. Moreover, the structural stress of the guide vanes is alleviated with the increase of the GVO, whereas its deformation becomes enlarged under the combined effects of frequency and amplitude of the hydraulic excitation.
- To improve the structural performance affected by hydraulic characteristics, the RPT should avoid operating under no-load conditions with large GVO as far as possible. In order to design or optimize the S-characteristics of the RPT, the guide vanes and runner could be considered as a whole to investigate their internal flow and structure characteristics.
Author Contributions
Funding
Data Availability Statement
Acknowledgments
Conflicts of Interest
Nomenclature
| Rated power of the unit, MW | |
| Rated rotational speed of the runner, rpm | |
| Rated head, m | |
| Nominal diameter of the runner, m | |
| Rotational frequency of the runner, Hz | |
| The blade number of runner | |
| The number of guide vanes | |
| The number of stay vanes | |
| Unit speed | |
| Unit discharge | |
| The pressure pulsation coefficient |
Abbreviations
| BEP | Best efficient point |
| CFD | Computational fluid dynamics |
| FSI | Fluid–structure interaction |
| GVO | Guide vanes opening |
| GGI | General grid interface |
| OP | Operation point |
| RSI | Rotor–stator interaction |
| RPT | Reversible pump-turbine |
| SST | Shear stress transport |
References
- Han, X.; Wang, X.; Zheng, H.; Xu, X.; Chen, G. Review of the development of pulsating heat pipe for heat dissipation. Renew. Sustain. Energy Rev. 2016, 59, 692–709. [Google Scholar] [CrossRef]
- Der, O.; Alqahtani, A.A.; Marengo, M.; Bertola, V. Characterization of polypropylene pulsating heat stripes: Effects of orientation, heat transfer fluid, and loop geometry. Appl. Therm. Eng. 2021, 184, 116304. [Google Scholar] [CrossRef]
- Rodríguez-Pérez, Á.M.; Pulido-Calvo, I.; Cáceres-Ramos, P. A computer program to support the selection of turbines to recover unused energy at hydraulic networks. Water 2021, 13, 467. [Google Scholar] [CrossRef]
- Wang, R.; Yang, W.J.; Ji, L.T.; Li, X.D.; Zhang, S.S.; Jing, X.Y. Regulation intensity assessment of pumped storage units in daily scheduling for renewable energy consumption. Sustain. Energy Technol. Assess. 2023, 56, 103027. [Google Scholar] [CrossRef]
- Zhao, X.R.; Xiao, Y.X.; Wang, Z.W.; Luo, H.Y.; Ahn, S.H.; Yao, Y.Y.; Fan, H.G. Numerical analysis of non-axisymmetric flow characteristic for a pump-turbine impeller at pump off-design condition. Renew. Energy 2018, 115, 1075–1085. [Google Scholar]
- Zhang, Y.Q.; Sun, J.; Zheng, Y.; Ge, X.F.; Peng, X.Y.; Hong, Y.L.; Fernandez-Rodriguez, E. Unsteady characteristics of lubricating oil in thrust bearing tank under different rotational speeds in pumped storage power station. Renew. Energy 2022, 201, 904–915. [Google Scholar] [CrossRef]
- Suh, J.W.; Yang, H.M.; Joo, W.G.; Park, J.; Choi, Y.S. Unstable S-shaped characteristics of a pump-turbine unit in a lab-scale model. Renew. Energy 2021, 171, 1395–1417. [Google Scholar] [CrossRef]
- Casartelli, E.; Del Rio, A.; Mangani, L.; Schmid, A. Capturing the S-shape of pump-turbines by computational fluid dynamics simulations using an anisotropic turbulence model. J. Fluids Eng. 2021, 144, 021203. [Google Scholar] [CrossRef]
- Lenarcic, M.; Bauer Ch Giese, M.; Jung, A. Prediction of S-shaped characteristics in reversible pump-turbines using different numerical approaches. IOP Conf. Ser. Earth Environ. Sci. 2016, 49, 042009. [Google Scholar] [CrossRef]
- Zhao, Z.W.; Zhang, H.; Chen, D.Y.; Gao, X. No-load stability analysis of pump turbine at startup-grid integration process. J. Fluids Eng. 2019, 141, 081113. [Google Scholar] [CrossRef]
- Yang, H.X.; He, Q.L.; Huang, X.X.; Yang, M.Q.; Bi, H.L.; Wang, Z.W. Experimental and Numerical Investigation of Rotor–Stator Interaction in a Large Prototype Pump–Turbine in Turbine Mode. Energies 2022, 15, 5523. [Google Scholar] [CrossRef]
- Zhang, Y.L.; Wu, Y.L. A review of rotating stall in reversible pump turbine. J. Mech. Eng. Sci. 2017, 231, 1181–1204. [Google Scholar] [CrossRef]
- Tanaka, H. Vibration behavior and dynamic stress of runners of very high head reversible pump-turbines. Int. J. Fluid Mach. Syst. 2011, 4, 289–306. [Google Scholar] [CrossRef]
- Hu, J.H.; Yang, J.B.; He, X.H.; Zeng, W.; Zhao, Z.G.; Yang, J.D. Transition of amplitude-frequency characteristic in rotor-stator interaction of a pump-turbine with splitter blades. Renew. Energy 2023, 205, 663–677. [Google Scholar] [CrossRef]
- Han, F.; Chen, X.H.; Yang, Y.; Wang, C. Numerical and experimental study on the effect of rotor-stator interaction strength within mixed-flow centrifugal pumps. J. Mar. Sci. Eng. 2022, 10, 1114. [Google Scholar] [CrossRef]
- Deniz, S.; Von Burg, M.; Tiefenthaler, M. Investigation of the flow instabilities of a low specific speed pump turbine part 2: Flow control with fluid injection. J. Fluids Eng. 2022, 144, 071210. [Google Scholar] [CrossRef]
- Chen, Z.M.; Jiang, Z.Y.; Chen, S.; Zhang, W.W.; Zhu, B.S. Experimental and numerical study on flow instability of pump-turbine under runaway conditions. Renew. Energy 2023, 210, 335–345. [Google Scholar] [CrossRef]
- Fu, X.L.; Zuo, Z.G.; Chang, H.; Wang, H.J.; Wei, X.Z. Mechanism of low frequency high amplitude pressure fluctuation in a pump-turbine during the load rejection process. J. Hydraul. Res. 2021, 59, 280–297. [Google Scholar] [CrossRef]
- Hu, D.L.; Cheng, Y.G.; Zhang, P.C.; Wang, X.; Ding, J.H.; Zhang, X.X. Distribution features of flow patterns and pressure pulsations of pump-turbine in five operating modes on the four-quadrant plane. Front. Energy Res. 2022, 10, 880293. [Google Scholar] [CrossRef]
- Fu, X.L.; Li, D.Y.; Song, Y.C.; Wang, H.J.; Yang, J.L.; Wei, X.Z. Dynamic characteristics of a running away pump-turbine with large head variation: 1D+3D coupled simulation. Eng. Appl. Comput. Fluid Mech. 2023, 17, 15. [Google Scholar] [CrossRef]
- Hu, J.H.; Yang, J.D.; He, X.H.; Yang, J.B. Improved S-shaped characteristic curve of pump-turbine based on numerical simulation. J. Huazhong Univ. Sci. Technol. (Nat. Sci. Ed.) 2020, 48, 109–114. [Google Scholar]
- Li, D.Y.; Qin, Y.L.; Wang, J.P.; Zhu, Y.T.; Wang, H.J.; Wei, X.Z. Optimization of blade high-pressure edge to reduce pressure fluctuations in pump-turbine hump region. Renew. Energy 2022, 181, 24–38. [Google Scholar] [CrossRef]
- Qin, Y.L.; Li, D.Y.; Wang, H.J.; Liu, Z.S.; Wei, X.Z.; Wang, X.H.; Yang, W.B. Comprehensive hydraulic performance improvement in a pump-turbine: An experimental investigation. Energy 2023, 284, 10. [Google Scholar] [CrossRef]
- Rodríguez-Pérez, Á.M.; Rodríguez, C.A.; Márquez-Rodríguez, A.; Mancera, J.J.C. Feasibility analysis of installing a tidal turbine using fuzzy logic: Case study and design considerations. Axioms 2023, 12, 778. [Google Scholar] [CrossRef]
- Zhang, Z.; Mom, X.; Liu, M.; Liu, M. Fuzzy comprehensive evaluation of site selection for offshore wind farms based on Delphi method. Renew. Energy 2016, 86, 1152–1159. [Google Scholar]
- Mao, X.L.; Pavesi, G.; Chen, D.Y.; Xu, H.S.; Mao, G.J. Flow induced noise characterization of pump turbine in continuous and intermittent load rejection processes. Renew. Energy 2019, 139, 1029–1039. [Google Scholar] [CrossRef]
- Zhang, C.Y.; Wang, W.J.; Pei, J.; Yuan, S.Q. Numerical simulation of unsteady flow characteristics in a centrifugal pump during runaway process caused by power failure. J. Phys. Conf. Ser. 2022, 2217, 01247. [Google Scholar] [CrossRef]
- Pokharel, N.; Ghimire, A.; Thapa, B.; Singh Thapa, B.; Qian, Z.D.; Guo, Z.W. Numerical and experimental study of pump as turbine for sediment affected micro hydropower project in Nepal. IOP Conf. Ser. Earth Environ. Sci. 2021, 774, 012062. [Google Scholar] [CrossRef]
- Xu, J.H.; Zhang, Y.Q.; Peng, B.; Zheng, Y.; Li, C.Y.; Zang, W.; Fernandez-Rodriguez, E. Study on the dynamics and wake characteristics of a floating tidal stream turbine with pitch motion under free surface. Phys. Fluids 2023, 35, 085101. [Google Scholar] [CrossRef]
- Li, B.; Yang, W.J.; Li, J.; Jing, S.Y.; Chen, Y. Analysis of the spanwise vortex of open channel flows based on the Omega-Liutex vortex identification method. J. Hydrodyn. 2022, 34, 148–155. [Google Scholar] [CrossRef]
- Trieu Tran, C.; Long, X.P.; Ji, B. Vortical structures in the cavitating flow in the Francis-99 draft tube cone under off-design conditions with the new omega vortex identification method. J. Phys. Conf. Ser. 2019, 1296, 012011. [Google Scholar] [CrossRef]
- Li, X.Y.; Cao, J.W.; Zhuang, J.L.; Wu, T.M.; Zheng, H.Y.; Wang, Y.F.; Zheng, W.Q.; Lin, G.Q.; Wang, Z.W. Effect of operating head on dynamic behavior of a pump-turbine runner in turbine mode. Energies 2022, 15, 4004. [Google Scholar] [CrossRef]
- Zhang, Y.Q.; Zang, W.; Zheng, J.H.; Cappietti, L.; Zhang, J.S.; Zheng, Y.; Fernandez-Rodriguez, E. The influence of waves propagating with the current on the wake of a tidal stream turbine. Appl. Energy 2021, 290, 116729. [Google Scholar] [CrossRef]

















| (MW) | (rpm) | (m) | (m) | |||
|---|---|---|---|---|---|---|
| 306 | 428.6 | 430 | 2.238 | 9 | 20 | 20 |
| Operating Points | /(r/min) | /(l/s) | |
|---|---|---|---|
| OP1 | 4 | 40.92 | 51.18 |
| OP2 | 10 | 47.13 | 100.1 |
| OP3 | 14 | 50.17 | 125.43 |
| OP4 | 22 | 55.66 | 222.63 |
| BEP | 28 | 44.15 | 727.47 |
| Scheme | 1 | 2 | 3 | 4 | 5 |
|---|---|---|---|---|---|
| Spiral casing | 0.7 | 0.8 | 1.0 | 1.2 | 1.3 |
| Stay vanes | 0.9 | 1.0 | 1.2 | 1.4 | 1.5 |
| Guide vanes | 1.0 | 1.2 | 1.5 | 1.6 | 1.7 |
| Runner | 1.3 | 1.6 | 2.0 | 2.3 | 2.5 |
| Draft tube | 0.6 | 0.7 | 1.0 | 1.2 | 1.2 |
| Extended pipes | 0.2 | 0.3 | 0.6 | 0.9 | 0.9 |
| Total (×106) | 4.7 | 5.6 | 7.3 | 8.6 | 9.1 |
Disclaimer/Publisher’s Note: The statements, opinions and data contained in all publications are solely those of the individual author(s) and contributor(s) and not of MDPI and/or the editor(s). MDPI and/or the editor(s) disclaim responsibility for any injury to people or property resulting from any ideas, methods, instructions or products referred to in the content. |
© 2023 by the authors. Licensee MDPI, Basel, Switzerland. This article is an open access article distributed under the terms and conditions of the Creative Commons Attribution (CC BY) license (https://creativecommons.org/licenses/by/4.0/).
Share and Cite
Ren, S.; Zheng, Y.; Yuan, C.; Liu, B.; Fernandez-Rodriguez, E.; Zhang, Y. The Influence of Hydraulic Characteristics on Structural Performance in a Pump-Turbine under No-Load Conditions. Processes 2023, 11, 3422. https://doi.org/10.3390/pr11123422
Ren S, Zheng Y, Yuan C, Liu B, Fernandez-Rodriguez E, Zhang Y. The Influence of Hydraulic Characteristics on Structural Performance in a Pump-Turbine under No-Load Conditions. Processes. 2023; 11(12):3422. https://doi.org/10.3390/pr11123422
Chicago/Turabian StyleRen, Shenming, Yuan Zheng, Cong Yuan, Bin Liu, Emmanuel Fernandez-Rodriguez, and Yuquan Zhang. 2023. "The Influence of Hydraulic Characteristics on Structural Performance in a Pump-Turbine under No-Load Conditions" Processes 11, no. 12: 3422. https://doi.org/10.3390/pr11123422
APA StyleRen, S., Zheng, Y., Yuan, C., Liu, B., Fernandez-Rodriguez, E., & Zhang, Y. (2023). The Influence of Hydraulic Characteristics on Structural Performance in a Pump-Turbine under No-Load Conditions. Processes, 11(12), 3422. https://doi.org/10.3390/pr11123422

