Study on Gaseous Chlorobenzene Treatment by a Bio-Trickling Filter: Degradation Mechanism and Microbial Community
Abstract
1. Introduction
2. Materials and Methods
2.1. Materials
2.2. Apparatus
2.3. The Method of Biofilm Formation in the BTF
2.4. Study of Key Factors for Chlorobenzene Removal
2.5. Biological Kinetics and Biological Community Analysis
2.5.1. Analysis of Biological Kinetics
2.5.2. Analysis of Biological Community
2.6. Analytical Methods
3. Results and Discussion
3.1. Biofilm Formation in the BTF
3.2. Optimization of the Operating Parameters of the BTF
3.2.1. Influence of Inlet Concentration of Chlorobenzene
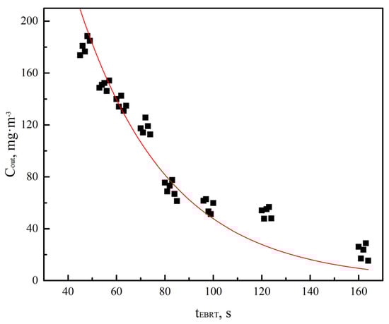
3.2.2. Influence of EBRT
3.2.3. Influence of Xylene Concentration on Chlorobenzene Degradation
3.3. Dynamics Analysis of Biodegradation
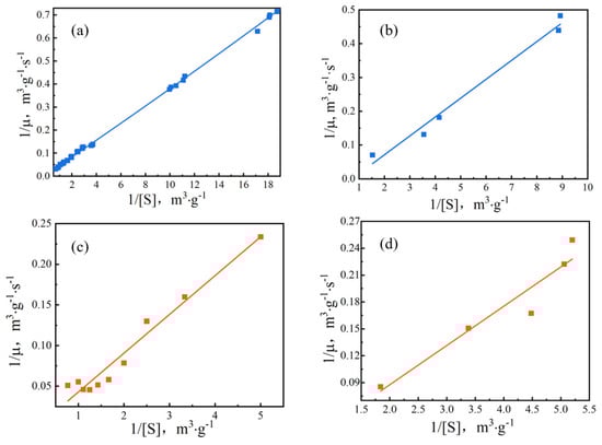
3.3.1. Kinetic Analysis of Enzymatic Reaction
3.3.2. Macro-Dynamics Analysis of Biodegradation
3.4. Evaluation of the Microbial Communities in the BTF
3.4.1. α-Diversification
3.4.2. Analysis of the Microbial Communities
4. Conclusions
Author Contributions
Funding
Institutional Review Board Statement
Informed Consent Statement
Data Availability Statement
Acknowledgments
Conflicts of Interest
Nomenclature
| b | Rate constant of biodegradation |
| Cin | Inlet concentration of VOCs, mg·m−3 |
| Cout | Outlet concentration of VOCs, mg·m−3 |
| Concentration of contaminants in liquid/solid phase, mg·m−3 | |
| Concentration of contaminants in the liquid/solid phase at equilibrium, mg·m−3 | |
| D | Axial diffusion coefficient in gas phase |
| K | Transfer coefficient, h−1 |
| Kh | Ratio of pollutant concentration in liquid/solid phase and that in gas phase |
| Km | Apparent semi-saturation constant, g·m−3 |
| Kw | Ratio of pollutant mass in liquid/solid phase and that in gas phase |
| Henry coefficient of VOCs in liquid phase | |
| n | The order of reaction |
| Q | Flue gas flow, m3·s−1 |
| qe | Removal loading, g·m−3·h−1 |
| r | Radius of BTF, m |
| R | Transfer rate of VOCs, mg·m−3·s−1 |
| [S] | Concentration of the substrate, g·m−3 |
| tEBRT | Empty Bed Retention Time, s |
| tR | Time of run, h |
| ν | Interstitial velocity, g·m−3·s−1 |
| V | Volume of the BTF, m3 |
| Vr | Effective volume of reactor, m3 |
| Z | Effective height of reactor, m |
| βs* | Maximum mass fraction of VOCs from gas to liquid phase |
| η | Removal efficiency with chlorobenzene, % |
| θ | Porosity of raschig-ring fillers |
| μ | Reduction rate, g·m−3·s−1 |
| μmax | Maximum apparent reduction rate, g·m−3·s−1 |
References
- Boltic, Z.; Ruzic, N.; Jovanovic, M.; Savic, M.; Jovanovic, J.; Petrovic, S. Cleaner production aspects of tablet coating process in pharmaceutical industry: Problem of VOCs emission. J. Clean. Prod. 2013, 44, 123–132. [Google Scholar] [CrossRef]
- Li, N.; Xing, X.; Cheng, J.; Zhang, Z.; Hao, Z. Influence of oxygen and water content on the formation of polychlorinated organic by-products from catalytic degradation of 1,2- dichlorobenzene over a Pd/ZSM-5 catalyst. J. Hazard. Mater. 2021, 403, 123952. [Google Scholar] [CrossRef]
- Zhang, Y.; Liu, J.; Xing, H.; Li, J. Effect of liquid supply on the performance of a fungal bio-trickling filter treating hydrophobic VOC. Biochem. Eng. J. 2020, 161, 107658. [Google Scholar] [CrossRef]
- Liu, D.; Andreasen, R.R.; Poulsem, T.G.; Feilberg, A. A comparative study of mass transfer coefficients of reduced volatile sulfur compounds for biotrickling filter packing materials. Chem. Eng. J. 2015, 260, 209–221. [Google Scholar] [CrossRef]
- Coutu, C.; Martineau, G.; Guy, C.; Samson, R. Characterization of an organic filter medium for the bilofiltration treatment of air contaminated with 1, 2-dichlorobenzene. J. Chem. Technol. Biotechnol. 2003, 78, 907–917. [Google Scholar] [CrossRef]
- Mathur, A.K.; Balomajumder, C. Performance evaluation and model analysis of BTEX contaminated air in corn-cob biofilter system. Bioresour. Technol. 2013, 133, 166–174. [Google Scholar] [CrossRef]
- Caicedo, F.; Estrada, J.M.; Silva, J.P.; Muńoz, R.; Lebrero, R. Effect of packing material configuration and liquid recirculation rate on the performance of a biotrickling filter treating VOCs. J. Chem. Technol. Biotechnol. 2018, 93, 2299–2306. [Google Scholar] [CrossRef]
- Zhang, Y.; Liu, J.; Xing, H.; Li, J. Performance and fungal diversity of bio-trickling filters packed with composite media of polydimethylsiloxane and foam ceramics for hydrophobic VOC removal. Chemosphere 2020, 256, 127093. [Google Scholar] [CrossRef]
- Trellu, C.; Mousset, E.; Pechaud, Y.; Huguenot, D.; Hullebusch, E.D.; Esposito, G.; Oturan, M.A. Removal of hydrophobic organic pollutants from soil washing/flushing solutions: A critical review. J. Hazard. Mater. 2016, 306, 149–174. [Google Scholar] [CrossRef]
- Guo, J.; Gao, Q. Enhancement of ethylbenzene removal from contaminated gas and corresponding mechanisms in biotrickling filters by a biosurfactant from piggery wastewater. Environ. Manag. 2021, 277, 111411. [Google Scholar] [CrossRef] [PubMed]
- Rene, E.R.; Mohammad, B.T.; Veiga, M.C.; Kennes, C. Biodegradation of BTEX in a fungal biofilter: Influence of operational parameters, effect of shock-loads and substrate stratification. Bioresour. Technol. 2012, 116, 204–213. [Google Scholar] [CrossRef]
- Zhang, L.; Zhang, C.; Cheng, Z.; Yao, Y.; Chen, J. Biodegradation of benzene, toluene, ethylbenzene, and o-xylene by the bacterium Mycobacterium cosmeticum byf-4. Chemosphere 2013, 90, 1340–1347. [Google Scholar] [CrossRef] [PubMed]
- Li, K.; Zhou, J.; Wang, L.; Mao, Z.; Xu, R. The styrene purification performance of biotrickling filter with toluene-styrene acclimatization under acidic conditions. J. Air Waste Manag. Assoc. 2019, 69, 944–955. [Google Scholar] [CrossRef] [PubMed]
- Blasi, B.; Poyntner, C.; Rudavsky, T.; Prenafeta-Boldú, F.X.; Hoog, S.D.; Tafer, H. Pathogenic yet environmentally friendly? black fungal candidates for bioremediation of pollutants. Geomicrobiol. J. 2015, 33, 308–317. [Google Scholar] [CrossRef] [PubMed]
- Gallastegui, G.; Ramirez, A.Á.; Elías, A.; Jones, J.P.; Heitz, M. Performance and macrokinetic analysis of biofiltration of toluene and p-xylene mixtures in a conventional biofilter packed with inert material. Bioresour. Technol. 2011, 102, 7657–7665. [Google Scholar] [CrossRef]
- Wang, X.; Wang, Q.; Li, S.; Li, W. Degradation pathway and kinetic analysis for p-xylene removal by a novel Pandoraea sp. strain WL1 and its application in a biotrickling filter. J. Hazard. Mater. 2015, 288, 17–24. [Google Scholar] [CrossRef] [PubMed]
- Estrada, J.M.; Dudek, A.; Raul, M.; Guillermo, Q. Fundamental study on gas-liquid mass transfer in a biotrickling filter packed with polyurethane foam. J. Chem. Technol. Biotechnol. 2014, 89, 1419–1424. [Google Scholar] [CrossRef]
- Yang, B.; Sun, Z.; Wang, L.; Li, Z.; Ding, C. Kinetic analysis and degradation pathway for m-dichlorobenzene removal by Brevibacillus agri DH-1 and its performance in a biotrickling filter. Bioresour. Technol. 2017, 231, 19–25. [Google Scholar] [CrossRef] [PubMed]
- Liao, D.; Li, J.; Sun, D.; Xu, M.; An, T.; Sun, G. Treatment of volatile organic compounds from a typical waste printed circuit board dismantling workshop by a pilot-scale biotrickling filter. Biotechnol. Bioprocess Eng. 2015, 20, 766–774. [Google Scholar] [CrossRef]
- Zhou, Q.; Zhang, L.; Chen, J.; Xu, B.; Chu, G.; Chen, J. Performance and microbial analysis of two different inocula for the removal of chlorobenzene in biotrickling filters. Chem. Eng. J. 2016, 284, 174–181. [Google Scholar] [CrossRef]
- Kiernicka, J.; Seignez, C.; Peringer, P. Escherichia hermanii—A new bacterial strain for chlorobenzene degradation. Lett. Appl. Microbiol. 1999, 28, 27–30. [Google Scholar] [CrossRef]
- Patel, T.A.; Vyas, K. Chlorobenzene degradation via Ortho-Cleavage Pathway by newly isolated Microbacterium sp. strain TAS1CB from a petrochemical-contaminated site. Soil Sediment Contam. 2015, 24, 786–795. [Google Scholar] [CrossRef]
- Wang, X.; Lu, B.; Zhou, X.; Li, W. Evaluation of o-Xylene and other volatile organic compounds removal using a xylene-acclimated biotrickling filter. Environ. Technol. 2013, 34, 2691–2699. [Google Scholar] [CrossRef] [PubMed]
- Bailón, L.; Nikolausz, M.; Kästner, M.; Veiga, M.C.; Kennes, C. Removal of dichloromethane from waste gases in one- and two-liquid-phase stirred tank bioreactors and biotrickling filters. Water Res. 2009, 43, 11–20. [Google Scholar] [CrossRef] [PubMed]
- Wu, C.; Xu, P.; Li, W.; Li, S.; Wang, X.Q. o-Xylene removal using one- and two-phase partitioning biotrickling filters: Steady/transient-state performance and microbial community. Environ. Technol. 2017, 27, 6052–6065. [Google Scholar] [CrossRef] [PubMed]
- Li, J.; Cai, W.; Zhu, L. The characteristics and enzyme activities of 4-chlorophenol biodegradation by Fusarium sp. Bioresour. Technol. 2011, 102, 2985–2989. [Google Scholar] [CrossRef] [PubMed]
- Bordel, S.; Hernandez, M.; Villaverde, S.; Munoz, R. Modelling gas-liquid VOCs transport in two-liquid phase partitioning bioreactors. Int. J. Heat Mass Transf. 2010, 53, 1139–1145. [Google Scholar] [CrossRef]
- Hernández, M.; Quijano, G.; Munoz, R.; Bordel, S. Modeling of VOC mass transfer in two-liquid phase stirred tank, biotrickling filter and airlift reactors. Chem. Eng. J. 2011, 172, 961–969. [Google Scholar] [CrossRef]
- Drancourt, M.; Bollet, C.; Carlioz, A.; Martelin, R.; Gayral, J.P.; Raoult, D. 16S ribosomal DNA sequence analysis of a large collection of environmental and clinical unidentifiable bacterial isolates. J. Clin. Microbiol. 2000, 38, 3623–3630. [Google Scholar] [CrossRef]
- Truelsen, D.; Pereira, V.; Phillips, C.; Morling, N.; Børsting, C. Evaluation of a custom GeneReadTM massively parallel sequencing assay with 210 ancestry informative SNPs using the Ion S5TM and MiSeq platforms. Forensic Sci. Int. Genet. 2021, 50, 102411. [Google Scholar] [CrossRef] [PubMed]
- Wang, B.; Lu, L.; Zhang, Y.; Fang, K.; An, D.; Li, H. Removal of bisphenol A by waste zero-valent iron regulating microbial community in sequencing batch biofilm reactor. Sci. Total Environ. 2021, 753, 142073. [Google Scholar] [CrossRef]
- Padhi, S.K.; Gokhale, S. Treatment of gaseo Yeah, we hope we can keep itus volatile organic compounds using a rotating biological filter. Bioresour. Technol. 2017, 244, 270–280. [Google Scholar] [CrossRef] [PubMed]
- Wei, Z.; Li, H.; He, J.; Ye, Q.; Huang, Q.; Luo, Y. Removal of dimethyl sulfide by the combination of non-thermal plasma and biological process. Bioresour. Technol. 2013, 146, 451–456. [Google Scholar] [CrossRef] [PubMed]
- Lebrero, R.; Rodriguez, E.; Estrada, J.M.; Garcia-Encina, P.A.; Munoz, R. Odor abatement in biotrickling filters: Effect of the EBRT on methyl mercaptan and hydrophobic VOCs removal. Bioresour. Technol. 2012, 109, 38–45. [Google Scholar] [CrossRef]
- Popat, S.C.; Zhao, K.; Deshusses, M.A. Bioaugmentation of an anaerobic biotrickling filter for enhanced conversion of trichloroethene to ethene. Chem. Eng. J. 2012, 183, 98–103. [Google Scholar] [CrossRef]
- Li, Z.X.; Yang, B.R.; Jin, J.X.; Pu, Y.C.; Ding, C. The operating performance of a biotrickling filter with Lysinibacillus fusiformis for the removal of high-loading gaseous chlorobenzene. Biotechnol. Lett. 2014, 36, 1971–1979. [Google Scholar] [CrossRef][Green Version]
- Yang, B.; Li, Y.; Shang, Q.; Ding, C.; Xu, Q. Biodegradation of o-dichlorobenzene by Bacillus cereus DL-1: Kinetics, degradation pathway, biodegradability and performance in biotrickling filter. Environ. Pollut. Bioavailab. 2020, 32, 79–86. [Google Scholar] [CrossRef]
- Xu, P.; Wei, Y.; Ma, C.; Li, S.; Guo, T.; Wang, X.; Li, W. Multi-factorial analysis of the removal of dichloromethane and toluene in an airlift packing bioreactor. J. Environ. Manag. 2020, 261, 109665. [Google Scholar] [CrossRef]
- Dobslaw, D.; Schöller, J.; Krivak, D.; Helbich, S.; Engesser, K.H. Performance of different biological waste air purification processes in treatment of a waste gas mix containing tert-butyl alcohol and acetone: A comparative study. Chem. Eng. J. 2019, 355, 572–585. [Google Scholar] [CrossRef]
- Jiang, X.; Yan, R.; Tay, J.H. Simultaneous autotrophic biodegradation of H2S and NH3 in a biotrickling filter. Chemosphere 2009, 75, 1350–1355. [Google Scholar] [CrossRef]
- Chen, Y.; Fan, Z.; Ma, L.; Yin, J.; Luo, M.; Cai, W. Performance of three pilot-scale immobilized-cell biotrickling filters for removal of hydrogen sulfide from a contaminated air steam. Audi J. Biol. Sci. 2014, 21, 450–456. [Google Scholar] [CrossRef] [PubMed][Green Version]
- Xie, L.; Zhu, J.; Hu, J.; Jiang, C. Study of the mass transfer-biodegradation kinetics in a pilot-scale biotrickling filter for the removal of H2S. Ind. Eng. Chem. Res. 2020, 59, 8383–8392. [Google Scholar] [CrossRef]
- Grabowski, A.; Tindall, B.J.; Bardin, V.; Blanchet, D.; Jeanthon, C. Petrimonas sulfuriphila gen. nov., sp. nov., a mesophilic fermentative bacterium isolated from a biodegraded oil reservoir. Int. J. Syst. Evol. Microbiol. 2005, 55, 1113–1121. [Google Scholar] [CrossRef]
- Zhu, Y.; Wang, W.; Ni, J.; Hu, B. Cultivation of granules containing anaerobic decolorization and aerobic degradation cultures for the complete mineralization of azo dyes in wastewater. Chemosphere 2020, 246, 125753. [Google Scholar] [CrossRef]
- Dafale, N.; Agrawal, L.; Kapley, A.; Meshram, S.; Purohit, H.; Wate, S. Selection of indicator bacteria based on screening of 16S rDNA metagenomic library from a two-stage anoxic-oxic bioreactor system degrading azo dyes. Bioresour. Technol. 2010, 101, 476–484. [Google Scholar] [CrossRef]
- Wang, H.; Chen, N.; Feng, C.; Deng, Y.; Gao, Y. Research on efficient denitrification system based on banana peel waste in sequencing batch reactors: Performance, microbial behavior and dissolved organic matter evolution. Chemosphere 2020, 253, 126693. [Google Scholar] [CrossRef] [PubMed]










| Seq. | Sample | Substrate |
|---|---|---|
| 1 | C-1 | chlorobenzene as sole carbon source with the BTF operated stably |
| 2 | X-1 | xylene as sole carbon source |
| 3 | C+X | chlorobenzene and xylene as mixed carbon source |
| 4 | C-2 | chlorobenzene as sole carbon source maintained under acidic conditions |
| Sample | ACE | Chao | Shannon | Simpson | Good’s Coverage |
|---|---|---|---|---|---|
| C-1 | 159 | 159 | 6.275 | 0.981 | 1 |
| X-1 | 35 | 34 | 3.518 | 0.831 | 1 |
| C+X | 174 | 174 | 5.890 | 0.971 | 1 |
| C-2 | 48 | 48 | 4.564 | 0.906 | 1 |
| Sample | Phyla | Outline | Section | Family | Genera | Species |
|---|---|---|---|---|---|---|
| C-1 | 12 | 18 | 34 | 53 | 60 | 6 |
| X-1 | 9 | 13 | 15 | 17 | 17 | 1 |
| C+X | 17 | 22 | 45 | 71 | 84 | 43 |
| C-2 | 9 | 12 | 20 | 25 | 29 | 17 |
Publisher’s Note: MDPI stays neutral with regard to jurisdictional claims in published maps and institutional affiliations. |
© 2022 by the authors. Licensee MDPI, Basel, Switzerland. This article is an open access article distributed under the terms and conditions of the Creative Commons Attribution (CC BY) license (https://creativecommons.org/licenses/by/4.0/).
Share and Cite
Liu, N.; Lv, J.-L.; Cai, Y.-L.; Yao, Y.-Y.; Zhang, K.; Ma, C.; Li, J.-X.; Ren, X.-Y.; Hu, J.-J.; Zhao, J.-H. Study on Gaseous Chlorobenzene Treatment by a Bio-Trickling Filter: Degradation Mechanism and Microbial Community. Processes 2022, 10, 1483. https://doi.org/10.3390/pr10081483
Liu N, Lv J-L, Cai Y-L, Yao Y-Y, Zhang K, Ma C, Li J-X, Ren X-Y, Hu J-J, Zhao J-H. Study on Gaseous Chlorobenzene Treatment by a Bio-Trickling Filter: Degradation Mechanism and Microbial Community. Processes. 2022; 10(8):1483. https://doi.org/10.3390/pr10081483
Chicago/Turabian StyleLiu, Nan, Jia-Lin Lv, Ya-Lan Cai, Yan-Yan Yao, Ke Zhang, Chuang Ma, Ji-Xiang Li, Xiang-Yu Ren, Jia-Jun Hu, and Ji-Hong Zhao. 2022. "Study on Gaseous Chlorobenzene Treatment by a Bio-Trickling Filter: Degradation Mechanism and Microbial Community" Processes 10, no. 8: 1483. https://doi.org/10.3390/pr10081483
APA StyleLiu, N., Lv, J.-L., Cai, Y.-L., Yao, Y.-Y., Zhang, K., Ma, C., Li, J.-X., Ren, X.-Y., Hu, J.-J., & Zhao, J.-H. (2022). Study on Gaseous Chlorobenzene Treatment by a Bio-Trickling Filter: Degradation Mechanism and Microbial Community. Processes, 10(8), 1483. https://doi.org/10.3390/pr10081483
