Isolation, Characterization, and Breast Cancer Cytotoxic Activity of Gyrophoric Acid from the Lichen Umbilicaria muhlenbergii
Abstract
1. Introduction
2. Materials and Methods
2.1. Collection of Lichen Specimens
2.2. Chemicals
2.3. Cell Culture and Maintenance
2.4. Cell Viability Assay and IC50
2.5. Extraction and Lichenochemical Analysis
2.6. Purification and Characterization of GA
2.7. Statistical Analysis
3. Results and Discussion
3.1. Lichen Identification and Anti-Proliferation Screening
3.2. Lichenochemical Analysis
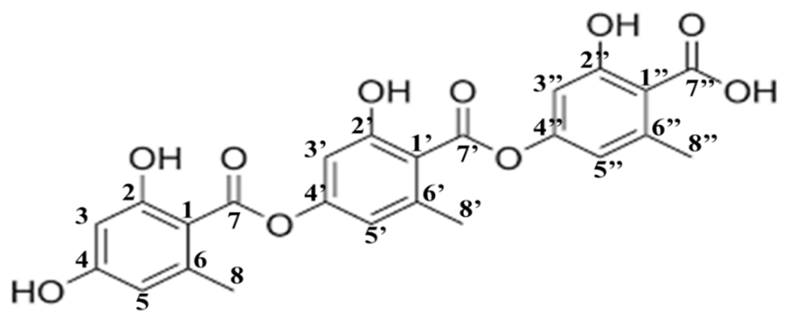
3.3. Purification and Characterization of GA
3.4. Cytotoxicity of GA
4. Conclusions
Supplementary Materials
Author Contributions
Funding
Acknowledgments
Conflicts of Interest
References
- Ouyang, L.; Shi, Z.; Zhao, S.; Wang, F.-T.; Zhou, T.-T.; Liu, B.; Bao, J.-K. Programmed cell death pathways in cancer: A review of apoptosis, autophagy and programmed necrosis. Cell Prolif. 2012, 45, 487–498. [Google Scholar] [CrossRef] [PubMed]
 - Greenwald, P. Cancer chemoprevention. BMJ 2002, 324, 714–718. [Google Scholar] [CrossRef] [PubMed]
 - Nguyen, T.T.; Yoon, S.; Yang, Y.; Lee, H.-B.; Oh, S.; Jeong, M.-H.; Kim, J.-J.; Yee, S.-T.; Crişan, F.; Moon, C.; et al. Lichen secondary metabolites in Flavocetraria cucullata exhibit anti-cancer effects on human cancer cells through the induction of apoptosis and suppression of tumorigenic potentials. PLoS ONE 2014, 9, e111575. [Google Scholar] [CrossRef] [PubMed]
 - Parkin, D.M.; Bray, F.; Ferlay, J.; Pisani, P. Estimating the world cancer burden: Globocan 2000. Int. J. Cancer 2001, 94, 153–156. [Google Scholar] [CrossRef]
 - Ferlay, J.; Soerjomataram, I.; Dikshit, R.; Eser, S.; Mathers, C.; Rebelo, M.; Parkin, D.M.; Forman, D.; Bray, F. Cancer incidence and mortality worldwide: Sources, methods and major patterns in GLOBOCAN 2012. Int. J. Cancer 2015, 136, E359–E386. [Google Scholar] [CrossRef]
 - Sung, H.; Ferlay, J.; Siegel, R.L.; Laversanne, M.; Soerjomataram, I.; Jemal, A.; Bray, F. Global Cancer Statistics 2020: GLOBOCAN Estimates of Incidence and Mortality Worldwide for 36 Cancers in 185 Countries. CA Cancer J. Clin. 2021, 71, 209–249. [Google Scholar] [CrossRef]
 - Siegel, R.L.; Miller, K.D.; Jemal, A. Cancer statistics, 2020. CA Cancer J. Clin. 2020, 70, 7–30. [Google Scholar] [CrossRef]
 - Azamjah, N.; Soltan-Zadeh, Y.; Zayeri, F. Global Trend of Breast Cancer Mortality Rate: A 25-Year Study. Asian Pac. J. Cancer Prev. 2019, 20, 2015–2020. [Google Scholar] [CrossRef]
 - Alkabban, F.M.; Ferguson, T. Breast Cancer; NIH National Library of Medicine, StatPearls Publishing: Treasure Island, FL, USA, 2021; pp. 1–14. Available online: https://www.ncbi.nlm.nih.gov/books/NBK482286/#!po=89.2857 (accessed on 6 June 2022).
 - WHO. Breast Cancer. Available online: https://www.who.int/news-room/fact-sheets/detail/breast-cancer (accessed on 6 June 2022).
 - Sharifi-Rad, J.; Ozleyen, A.; Boyunegmez Tumer, T.; Oluwaseun Adetunji, C.; El Omari, N.; Balahbib, A.; Taheri, Y.; Bouyahya, A.; Martorell, M.; Martins, N.; et al. Natural products and synthetic analogs as a source of antitumor drugs. Biomolecules 2019, 9, 679. [Google Scholar] [CrossRef]
 - Studzińska-Sroka, E.; Majchrzak-Celińska, A.; Zalewski, P.; Szwajgier, D.; Baranowska-Wójcik, E.; Kaproń, B.; Plech, T.; Żarowski, M.; Cielecka-Piontek, J. Lichen-Derived Compounds and Extracts as Biologically Active Substances with Anticancer and Neuroprotective Properties. Pharmaceuticals 2021, 14, 1293. [Google Scholar] [CrossRef]
 - Cardile, V.; Graziano, A.C.E.; Avola, R.; Piovano, M.; Russo, A. Potential anticancer activity of lichen secondary metabolite physodic acid. Chem. Biol. Interact. 2017, 263, 36–45. [Google Scholar] [CrossRef] [PubMed]
 - Azwanida, N. A review on the extraction methods use in medicinalplants, principle, strength and limitation. Med. Aromat. Plants 2015, 4, 16623297. [Google Scholar] [CrossRef]
 - Newman, D.J.; Cragg, G.M. Natural products as sources of new drugs over the nearly four decades from 01/1981 to 09/2019. J. Nat. Prod. 2020, 83, 770–803. [Google Scholar] [CrossRef] [PubMed]
 - Khalifa, S.A.M.; Elias, N.; Farag, M.A.; Chen, L.; Saeed, A.; Hegazy, M.-E.F.; Moustafa, M.S.; Abd El-Wahed, A.; Al-Mousawi, S.M.; Musharraf, S.G.; et al. Marine Natural Products: A Source of Novel Anticancer Drugs. Mar. Drugs 2019, 17, 491. [Google Scholar] [CrossRef]
 - Kosanic, M.; Rankovic, B.; Stanojkovic, T.; Vasiljevic, P.; Manojlovic, N. Biological activities and chemical composition of lichens from Serbia. EXCLI J. 2014, 13, 1226–1238. [Google Scholar] [PubMed]
 - Kumar, J.; Dhar, P.; Tayade, A.B.; Gupta, D.; Chaurasia, O.P.; Upreti, D.K.; Arora, R.; Srivastava, R.B. Antioxidant capacities, phenolic profile and cytotoxic effects of saxicolous lichens from trans-Himalayan cold desert of Ladakh. PLoS ONE 2014, 9, e98696. [Google Scholar] [CrossRef] [PubMed]
 - Goga, M.; Kello, M.; Vilkova, M.; Petrova, K.; Backor, M.; Adlassnig, W.; Lang, I. Oxidative stress mediated by gyrophoric acid from the lichen Umbilicaria hirsuta affected apoptosis and stress/survival pathways in HeLa cells. BMC Complement. Altern. Med. 2019, 19, 221. [Google Scholar] [CrossRef] [PubMed]
 - Zambare, V.P.; Zambare, A.V.; Christopher, L.P. Antioxidant and antibacterial activity of extracts from lichen Xanthoparmelia somloensis, native to the black hills, South Dakota, USA. Int. J. Med. Sci. Technol. 2010, 3, 46–51. [Google Scholar]
 - Müller, K. Pharmaceutically relevant metabolites from lichens. Appl. Microbiol. Biotechnol. 2001, 56, 9–16. [Google Scholar] [CrossRef]
 - Santiago, R.; Martins, M.C.B.; Vilaça, M.D.; de Barros, L.F.B.; Nascimento, T.; da Silva, N.H.; Falcão, E.P.S.; Legaz, M.-E.; Vicente, C.; Pereira, E.C. Phytochemical and biological evaluation of metabolites produced by alginate-immobilized Bionts isolated from the lichen Cladonia substellata vain. Fitoterapia 2018, 131, 23–34. [Google Scholar] [CrossRef]
 - Yeash, E.A.; Letwin, L.; Malek, L.; Suntres, Z.; Knudsen, K.; Christopher, L.P. Biological activities of undescribed North American lichen species. J. Sci. Food Agric. 2017, 97, 4721–4726. [Google Scholar] [CrossRef] [PubMed]
 - Yusuf, M. A Review on Trends and Opportunity in Edible Lichens. In Lichen-Derived Products; Wiley: New York, NY, USA, 2020; pp. 189–201. [Google Scholar]
 - Elkhateeb, W.A.; El-Ghwas, D.E.; Daba, G.M. Lichens Uses Surprising Uses of Lichens that Improve Human Life. J. Biomed. Res. Environ. Sci. 2022, 3, 189–194. [Google Scholar] [CrossRef]
 - Goga, M.; Elečko, J.; Marcinčinová, M.; Ručová, D.; Bačkorová, M.; Bačkor, M. Lichen Metabolites: An Overview of Some Secondary Metabolites and Their Biological Potential; Springer: Cham, Denmark, 2018; pp. 1–36. [Google Scholar] [CrossRef]
 - Nayaka, S.; Haridas, B. Bioactive Secondary Metabolites from Lichens. In Plant Metabolites: Methods, Applications and Prospects; Springer: Singapore, 2020; pp. 255–290. [Google Scholar]
 - Basile, A.; Rigano, D.; Loppi, S.; Di Santi, A.; Nebbioso, A.; Sorbo, S.; Conte, B.; Paoli, L.; De Ruberto, F.; Molinari, A.; et al. Antiproliferative, antibacterial and antifungal activity of the lichen Xanthoria parietina and its secondary metabolite parietin. Int. J. Mol. Sci. 2015, 16, 7861–7875. [Google Scholar] [CrossRef]
 - Ari, F.; Ulukaya, E.; Oran, S.; Celikler, S.; Ozturk, S.; Ozel, M.Z. Promising anticancer activity of a lichen, Parmelia sulcata Taylor, against breast cancer cell lines and genotoxic effect on human lymphocytes. Cytotechnology 2015, 67, 531–543. [Google Scholar] [CrossRef] [PubMed]
 - Yılmaz, M.; Türk, A.Ö.; Tay, T.; Kıvanç, M. The Antimicrobial Activity of Extracts of the Lichen Cladonia foliacea and Its (–)-Usnic Acid, Atranorin, and Fumarprotocetraric Acid Constituents. Z. Für Naturforsch. C 2004, 59, 249–254. [Google Scholar] [CrossRef]
 - Pejin, B.; Iodice, C.; Bogdanović, G.; Kojić, V.; Tešević, V. Stictic acid inhibits cell growth of human colon adenocarcinoma HT-29 cells. Arab. J. Chem. 2017, 10, S1240–S1242. [Google Scholar] [CrossRef]
 - Brisdelli, F.; Perilli, M.; Sellitri, D.; Bellio, P.; Bozzi, A.; Amicosante, G.; Nicoletti, M.; Piovano, M.; Celenza, G. Protolichesterinic acid enhances doxorubicin-induced apoptosis in HeLa cells in vitro. Life Sci. 2016, 158, 89–97. [Google Scholar] [CrossRef]
 - Stojanović, I.Z.; Najman, S.; Jovanović, O.; Petrović, G.; Najdanović, J.; Vasiljević, P.; Smelcerović, A. Effects of depsidones from Hypogymnia physodes on HeLa cell viability and growth. Folia Biol. 2014, 60, 89–94. [Google Scholar]
 - Emsen, B.; Sadi, G.; Bostanci, A.; Gursoy, N.; Emsen, A.; Aslan, A. Evaluation of the biological activities of olivetoric acid, a lichen-derived molecule, in human hepatocellular carcinoma cells. Rend. Lincei. Sci. Fis. Nat. 2021, 32, 135–148. [Google Scholar] [CrossRef]
 - Galanty, A.; Koczurkiewicz, P.; Wnuk, D.; Paw, M.; Karnas, E.; Podolak, I.; Węgrzyn, M.; Borusiewicz, M.; Madeja, Z.; Czyż, J.; et al. Usnic acid and atranorin exert selective cytostatic and anti-invasive effects on human prostate and melanoma cancer cells. Toxicol. Vitr. 2017, 40, 161–169. [Google Scholar] [CrossRef]
 - Galanty, A.; Zagrodzki, P.; Gdula-Argasińska, J.; Grabowska, K.; Koczurkiewicz-Adamczyk, P.; Wróbel-Biedrawa, D.; Podolak, I.; Pękala, E.; Paśko, P. A Comparative Survey of Anti-Melanoma and Anti-Inflammatory Potential of Usnic Acid Enantiomers—A Comprehensive In Vitro Approach. Pharmaceuticals 2021, 14, 945. [Google Scholar] [CrossRef]
 - Solárová, Z.; Liskova, A.; Samec, M.; Kubatka, P.; Büsselberg, D.; Solár, P. Anticancer Potential of Lichens’ Secondary Metabolites. Biomolecules 2020, 10, 87. [Google Scholar] [CrossRef] [PubMed]
 - Mohammadi, M.; Bagheri, L.; Badreldin, A.; Fatehi, P.; Pakzad, L.; Suntres, Z.; van Wijnen, A.J. Biological Effects of Gyrophoric Acid and Other Lichen Derived Metabolites, on Cell Proliferation, Apoptosis and Cell Signaling pathways. Chem. Biol. Interact. 2022, 351, 109768. [Google Scholar] [CrossRef] [PubMed]
 - Ranković, B.; Mišić, M.; Sukdolak, S. Evaluation of antimicrobial activity of the lichens Lasallia pustulata, Parmelia sulcata, Umbilicaria crustulosa, and Umbilicaria cylindrica. Microbiology 2007, 76, 723–727. [Google Scholar] [CrossRef]
 - Kosanić, M.; Ranković, B.; Stanojković, T. Antioxidant, antimicrobial, and anticancer activity of 3 Umbilicaria species. J. Food Sci. 2012, 77, T20–T25. [Google Scholar] [CrossRef]
 - Letwin, L.; Malek, L.; Suntres, Z.; Christopher, L. Cytotoxic and antibiotic potential of secondary metabolites from the lichen Umbilicaria muhlenbergii. Curr. Pharm. Biotechnol. 2020, 21, 1516–1527. [Google Scholar] [CrossRef]
 - de Souza, L.B.; de Aquino, S.G.; de Souza, P.P.C.; Hebling, J.; Costa, C.A. de S. Cytotoxic effects of different concentrations of chlorhexidine. Am. J. Dent. 2007, 20, 400–404. [Google Scholar]
 - Altaf, M.; Casagrande, N.; Mariotto, E.; Baig, N.; Kawde, A.-N.; Corona, G.; Larcher, R.; Borghese, C.; Pavan, C.; Seliman, A.; et al. Potent in vitro and in vivo anticancer activity of new bipyridine and bipyrimidine gold (III) dithiocarbamate derivatives. Cancers 2019, 11, 474. [Google Scholar] [CrossRef]
 - Shiromi, P.S.; Hewawasam, R.P.; Jayalal, R.G.; Rathnayake, H.; Wijayaratne, W.M.; Wanniarachchi, D. Chemical composition and antimicrobial activity of two Sri Lankan lichens, Parmotrema rampoddense, and Parmotrema tinctorum against Methicillin-sensitive and methicillin-resistant Staphylococcus aureus. Evid.-Based Complement. Altern. Med. 2021, 2021, 9985325. [Google Scholar] [CrossRef]
 - Galindo, J.L.G.; García, B.F.; Torres, A.; Galindo, J.C.G.; Romagni, J.G.; Macías, F.A. The joint action in the bioactivity studies of Antarctic lichen Umbilicaria antarctica: Synergic-biodirected isolation in a preliminary holistic ecological study. Phytochem. Lett. 2017, 20, 433–442. [Google Scholar] [CrossRef]
 - Yang, Y.; Bhosle, S.; Yu, Y.; Park, S.-Y.; Zhou, R.; Taş, İ.; Gamage, C.; Kim, K.; Pereira, I.; Hur, J.-S.; et al. Tumidulin, a lichen secondary metabolite, decreases the stemness potential of colorectal cancer cells. Molecules 2018, 23, 2968. [Google Scholar] [CrossRef] [PubMed]
 - Bézivin, C.; Tomasi, S.; Lohézic-Le Dévéhat, F.; Boustie, J. Cytotoxic activity of some lichen extracts on murine and human cancer cell lines. Phytomedicine 2003, 10, 499–503. [Google Scholar] [CrossRef] [PubMed]
 - Zambare, V.P.; Christopher, L.P. Biopharmaceutical potential of lichens. Pharm. Biol. 2012, 50, 778–798. [Google Scholar] [CrossRef] [PubMed]
 - Mohammadi, M.; Zambare, V.; Malek, L.; Gottardo, C.; Suntres, Z.; Christopher, L. Lichenochemicals: Extraction, purification, characterization, and application as potential anticancer agents. Expert Opin. Drug Discov. 2020, 15, 575–601. [Google Scholar] [CrossRef]
 - Alshammari, O.A.O.; Almulgabsagher, G.A.A.; Ryder, K.S.; Abbott, A.P. Effect of solute polarity on extraction efficiency using deep eutectic solvents. Green Chem. 2021, 23, 5097–5105. [Google Scholar] [CrossRef]
 - Edwards, H.G.; Newton, E.M.; Wynn-Williams, D.D.; Coombes, S.R. Molecular spectroscopic studies of lichen substances 1: Parietin and emodin. J. Mol. Struct. 2003, 648, 49–59. [Google Scholar] [CrossRef]
 - Musharraf, S.G.; Kanwal, N.; Thadhani, V.M.; Choudhary, M.I. Rapid identification of lichen compounds based on the structure–fragmentation relationship using ESI-MS/MS analysis. Anal. Methods 2015, 7, 6066–6076. [Google Scholar] [CrossRef]
 - Narui, T.; Sawada, K.; Takatsuki, S.; Okuyama, T.; Culberson, C.F.; Culberson, W.L.; Shibata, S. NMR assignments of depsides and tridepsides of the lichen family umbilicariaceae. Phytochemistry 1998, 48, 815–822. [Google Scholar] [CrossRef]
 - Salgado, F.; Albornoz, L.; Cortéz, C.; Stashenko, E.; Urrea-Vallejo, K.; Nagles, E.; Galicia-Virviescas, C.; Cornejo, A.; Ardiles, A.; Simirgiotis, M.; et al. Secondary metaboliteprofiling of species of the genus usnea by UHPLC-ESI-OT-MS-MS. Molecules 2017, 23, 54. [Google Scholar] [CrossRef]
 - Sharma, P. Heteroatomic jet fuel components: Lichen substances as fuel component and potential additives. arXiv 2018, arXiv:1805.11675. [Google Scholar]
 - Torres-Benítez, A.; Rivera-Montalvo, M.; Sepúlveda, B.; Castro, O.; Nagles, E.; Simirgiotis, M.; García-Beltrán, O.; Areche, C. Metabolomic analysis oftwo Parmotremalichens: P. robustum (Degel.) Hale and P. andinum (Mull. Arg.) Hale using UHPLC-ESI-OT-MS-MS. Molecules 2017, 22, 1861. [Google Scholar] [CrossRef] [PubMed]
 - Yousuf, S.; Choudhary, M.I. Atta-ur-Rahman Lichens: Chemistry and biological activities. In Studies in Natural Products Chemistry; Rahman, A., Ed.; Elsevier: Amsterdam, The Netherlands, 2014; pp. 223–259. [Google Scholar]
 - Rao, P.S.; Sarma, K.G.; Seshadri, T.R. The ultraviolet and infrared spectra of some lichen depsides and depsidones. Proc. Indian Acad. Sci.-Sect. A 1967, 66, 1–14. [Google Scholar] [CrossRef]
 - Huneck, S.; Schmidt, J.; Tabacchi, R. Thermal decomposition of lichen depsides. Z. Für Naturforsch. B 1989, 44, 1283–1289. [Google Scholar] [CrossRef][Green Version]
 - Huneck, S.; Yoshimura, I. Identification of Lichen Substances; Springer: Berlin/Heidelberg, Germany, 1996; ISBN 978-3-642-85245-9. [Google Scholar]
 - Huneck, S. The significance of lichens and their metabolites. Naturwissenschaften 1999, 86, 559–570. [Google Scholar] [CrossRef]
 - Holzmann, G.; Leuckert, C. Applications of negative fast atom bombardment and MS/MS to screening of lichen compounds. Phytochemistry 1990, 29, 2277–2283. [Google Scholar] [CrossRef]
 - Choudhary, M.I.; Ali, M.; Wahab, A.; Khan, A.; Rasheed, S.; Shyaula, S.L.; Rahman, A. New antiglycation and enzyme inhibitors from Parmotrema cooperi. Sci. China Chem. 2011, 54, 1926–1931. [Google Scholar] [CrossRef]
 - Kärnefelt, I.; Mattsson, J.-E.; Thell, A.; Karnefelt, I. The lichen genera Arctocetraria, Cetraria, and Cetrariella (Parmeliaceae) and their presumed evolutionary affinities. Bryologist 1993, 96, 394–404. [Google Scholar] [CrossRef]
 - Lunke, T.; Lumbsch, H.T.; Feige, G.B. Anatomical and ontogenetic studies on the lichen family Schaereriaceae (Agyriineae, Lecanorales). Bryologist 1996, 99, 53–63. [Google Scholar] [CrossRef]
 - Schmull, M.; Miadlikowska, J.; Pelzer, M.; Stocker-Wörgötter, E.; Hofstetter, V.; Fraker, E.; Hodkinson, B.P.; Reeb, V.; Kukwa, M.; Lumbsch, H.T.; et al. Phylogenetic affiliations of members of the heterogeneous lichen-forming fungi of the genus Lecidea sensu Zahlbruckner (Lecanoromycetes, Ascomycota). Mycologia 2011, 103, 983–1003. [Google Scholar] [CrossRef]
 - Posner, B.; Feige, G.B.; Huneck, S. Studies on the Chemistry of the Lichen Genus Umbilicaria Hoffm. Z. Für Naturforsch. C 1992, 47, 1–9. [Google Scholar] [CrossRef]
 - Seriña, E.; Arroyo, R.; Manrique, E.; Sancho, L.G.; Serina, E. Lichen substances and their intraspecifie variability within eleven Umbilicaria species in Spain. Bryologist 1996, 99, 335–342. [Google Scholar] [CrossRef]
 - Candan, M.; Yılmaz, M.; Tay, T.; Kıvança, M.; Türk, H. Antimicrobial activity of extracts of the lichen Xanthoparmelia pokornyi and its gyrophoric and stenosporic acid constituents. Z. Für Naturforsch. C 2006, 61, 319–323. [Google Scholar] [CrossRef] [PubMed]
 - Bačkorová, M.; Bačkor, M.; Mikeš, J.; Jendželovský, R.; Fedoročko, P. Variable responses of different human cancer cells to the lichen compounds parietin, atranorin, usnic acid and gyrophoric acid. Toxicol. Vitr. 2011, 25, 37–44. [Google Scholar] [CrossRef] [PubMed]
 - Zlatanovic, I.; Petrovic, G.; Jovanovic, O.; Zrnzevic, I.; Stojanovic, G. Isolation and identification of secondary metabolites of Umbilicaria crustulosa (Ach.) Frey. Facta Univ.-Ser. Phys. Chem. Technol. 2016, 14, 125–133. [Google Scholar] [CrossRef]
 





| Fractions | Solvents Used | Eluent Yields (%) | 
|---|---|---|
| F1 | Ethyl acetate | 0.14 | 
| F2 | Ethyl acetate: methanol (9:1) | 0.06 | 
| F3 | Ethyl acetate: methanol (8:2) | 0.02 | 
| F4 | Ethyl acetate: methanol (5:5) | 0.02 | 
| Identified Compound | Accurate Mass (m/z) | Exact Mass | Error (ppm) | Formula | 
|---|---|---|---|---|
| Molecular ion [−1] | 467.0 | 468.40 | 1.4 | C20H24O10 | 
| Fragment | 316.9 | 318 | 1.1 | C16H14O7 | 
Publisher’s Note: MDPI stays neutral with regard to jurisdictional claims in published maps and institutional affiliations.  | 
© 2022 by the authors. Licensee MDPI, Basel, Switzerland. This article is an open access article distributed under the terms and conditions of the Creative Commons Attribution (CC BY) license (https://creativecommons.org/licenses/by/4.0/).
Share and Cite
Mohammadi, M.; Zambare, V.; Suntres, Z.; Christopher, L. Isolation, Characterization, and Breast Cancer Cytotoxic Activity of Gyrophoric Acid from the Lichen Umbilicaria muhlenbergii. Processes 2022, 10, 1361. https://doi.org/10.3390/pr10071361
Mohammadi M, Zambare V, Suntres Z, Christopher L. Isolation, Characterization, and Breast Cancer Cytotoxic Activity of Gyrophoric Acid from the Lichen Umbilicaria muhlenbergii. Processes. 2022; 10(7):1361. https://doi.org/10.3390/pr10071361
Chicago/Turabian StyleMohammadi, Mahshid, Vasudeo Zambare, Zacharias Suntres, and Lew Christopher. 2022. "Isolation, Characterization, and Breast Cancer Cytotoxic Activity of Gyrophoric Acid from the Lichen Umbilicaria muhlenbergii" Processes 10, no. 7: 1361. https://doi.org/10.3390/pr10071361
APA StyleMohammadi, M., Zambare, V., Suntres, Z., & Christopher, L. (2022). Isolation, Characterization, and Breast Cancer Cytotoxic Activity of Gyrophoric Acid from the Lichen Umbilicaria muhlenbergii. Processes, 10(7), 1361. https://doi.org/10.3390/pr10071361
        
                                                
