Research on Multi-Equipment Collaborative Scheduling Algorithm under Composite Constraints
Abstract
:1. Introduction
2. MEC Process
2.1. MEC Collaborative Operation Process Analysis
2.2. Scheduling Requirements
2.3. Scheduling Model
- (1)
- The completion time of the process on the machine is not less than the transportation time from the previous process to this process, the change of tool time, and the processing time of this process on the equipment.
- (2)
- Any process processing time is greater than or equal to zero.
- (3)
- All workpieces can be processed from time 0.
3. Implementation Algorithm of Collaborative MEC Operation under Composite Constraint
3.1. Collaborative Operation Steps of Multiple Equipments under Compound Constraints
3.2. MEC Grouping Algorithm
3.3. Design of the NSGA-II Algorithm in Multi-Equipment Group
- 1.
- Parameter initialization and chromosome encoding.
- 2.
- Initialize the population.
- 3.
- Grade separation and crowding degree calculation.
- 4.
- Binary league choice.
- 5.
- Genetic operator.
- 6.
- Elite retention strategy.
- 7.
- Number of iterations test.
3.4. Process Optimization of NSGA-II Algorithm Design
3.5. Flow Chart for the Hybrid Algorithm
4. Application of MEC Collaborative Operation Scheduling Algorithm under Compound Constraints
4.1. Advantages of MEC Operation
- (1)
- The traditional multi-equipment processing production cycle is longer, as the general product is processed in sequence. Multi-equipment collaborative operation can effectively distribute products over several equipment groups at the same time, and can dynamically adjust equipment groups, product groups, and product processing procedures while processing.
- (2)
- Traditional multi-equipment processing cannot adjust the equipment combination and processing procedure in a timely way, according to the task urgency. In order to guarantee the whole equipment task process, multi-equipment cooperation can adjust the equipment combination in real time, according to the processing requirements.
- (3)
- MEC operation is based on product type, product production planning, and equipment production capacity. Enterprises with multi-equipment cooperation can adjust the supply chain according to the production needs and effectively reduce the inventory cost and transportation cost. In the example in Figure 5, the serial processing time of the production products is 80, and the collaborative operation can be adjusted between multiple products according to the overall needs. As a result, the production time is reduced by 80 − 56/80 × 100% = 40%.
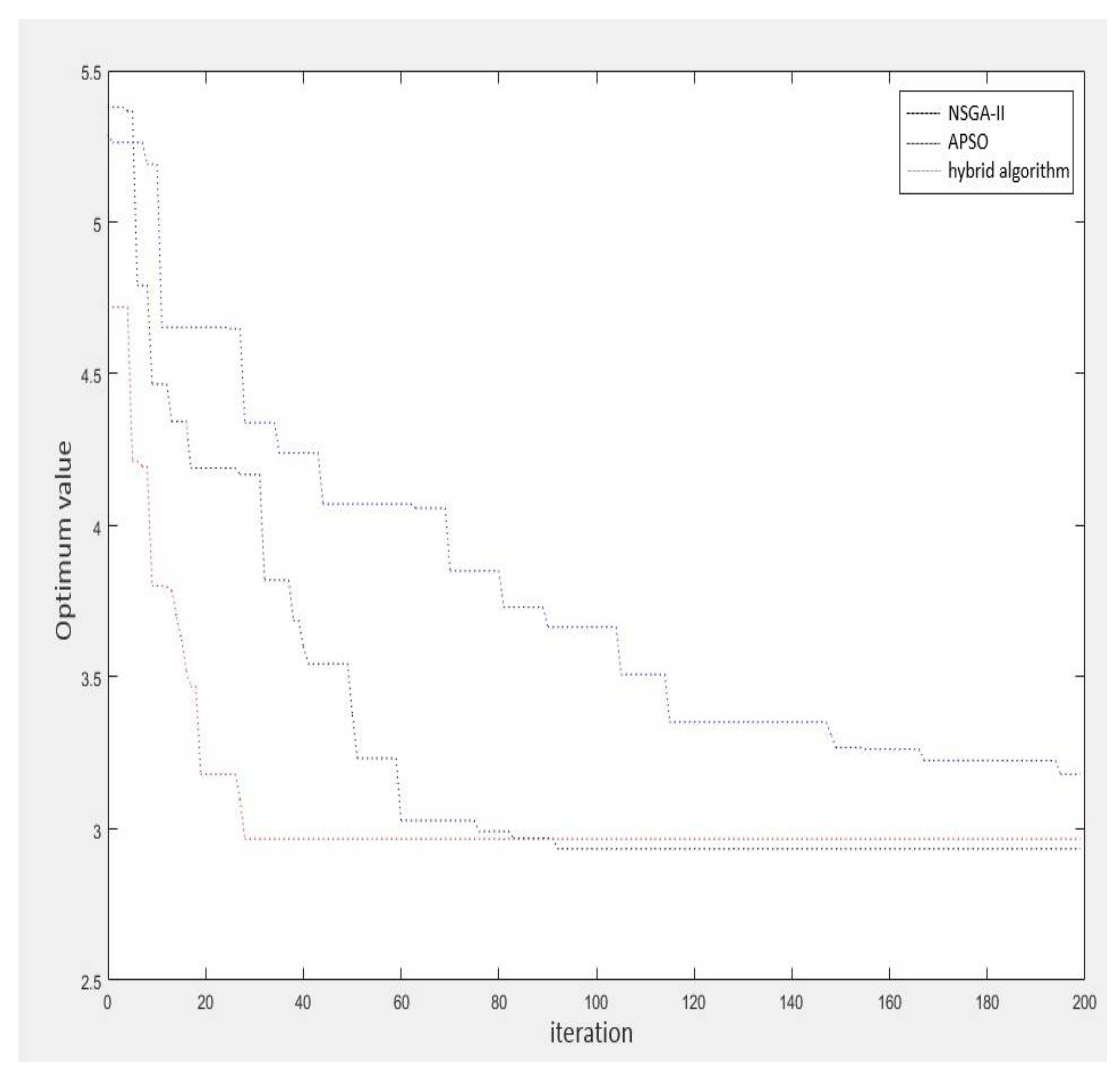
4.2. Advantages of Hybrid Algorithm
- (1)
- Compared with other algorithms, the hybrid algorithm is more targeted, faster, and less crowded, and it converges to the optimal solution quickly.
- (2)
- The algorithm is specially designed for the multi-equipment collaborative optimization process. The hierarchical algorithm can identify production problems quickly and solve them quickly within the hierarchy.
4.3. Case Study
4.4. Results Compared with Related Research
5. Conclusions
- 1.
- The joint operation of multiple types of equipment under compound constraints was proposed, and the collaborative processing process for multiple types of equipment under compound constraints was analyzed. Considering that compound constrains restricted the production process, the collaborative processing operation scheduling model for multiple types of equipment under compound constraints was constructed.
- 2.
- A hybrid algorithm combining a one-dimensional search algorithm and an NSGA-II algorithm was proposed for the collaborative grouping of multiple equipment items and the collaborative operation optimized scheduling of equipment within multiple equipment groups.
- 3.
- The hybrid algorithm was applied to a production scheduling process for electromechanical products in multi-equipment joint production, and the proposed method effectively improved the utilization rate of equipment and resources and reduced the transportation time.
Author Contributions
Funding
Institutional Review Board Statement
Informed Consent Statement
Conflicts of Interest
References
- Giri, B.C.; Sharma, S. Optimizing a closed-loop supply chain with manufacturing defects and quality dependent return rate. J. Manuf. Syst. 2015, 35, 92–111. [Google Scholar] [CrossRef]
- Fleischmann, M.; Bloemhof-Ruwaard, J.M.; Dekker, R.; van der Laan, E.; van Nunen, J.A.E.E.; Van Wassenhove, L.N. Quantitative models for reverse logistics: A review. Eur. J. Oper. Res. 1997, 103, 1–17. [Google Scholar] [CrossRef]
- Hajiaghaei-Keshteli, M.; Fard, A.M.F. Sustainable closed-loop supply chain network design with discount supposition. Neural Comput. Appl. 2019, 31, 5343–5377. [Google Scholar] [CrossRef]
- Khara, B.; Dey, J.K.; Mondal, S.K. Sustainable recycling in an imperfect production system with acceptance quality level dependent development cost and demand. Comput. Ind. Eng. 2020, 142, 106300. [Google Scholar] [CrossRef]
- Taleizadeh, A.A.; Mamaghan, M.K.; Torabi, S.A. A possi-bilistic closed-loop supply chain: Pricing, advertising and remanufacturing optimization. Neural Comput. Appl. 2020, 32, 1195–1215. [Google Scholar] [CrossRef]
- Mirmohseni, S.M.; Javadpour, A.; Tang, C. LBPSGORA: Create Load Balancing with Particle Swarm Genetic Optimization Algorithm to Improve Resource Allocation and Energy Consumption in Clouds Networks. Math. Probl. Eng. 2021, 2021, 1–15. [Google Scholar] [CrossRef]
- Keshavarz-Ghorbani, F.; Pasandideh, S. Optimizing a two-level closed-loop supply chain under the vendor managed inventory contract and learning: Fibonacci, GA, IWO, MFO algorithms. Neural Comput. Appl. 2021, 33, 9425–9450. [Google Scholar] [CrossRef]
- Ali, L.; Wajahat, I.; Golilarz, N.A.; Keshtkar, F.; Bukhari, S.A.C. LDA–GA–SVM: Improved hepatocellular carcinoma prediction through dimensionality reduction and genetically optimized support vector machine. Neural Comput. Appl. 2020, 33, 2783–2792. [Google Scholar] [CrossRef]
- Nce, M. BiLSTM and dynamic fuzzy AHP-GA method for procedural game level generation. Neural Comput. Appl. 2021, 33, 9761–9773. [Google Scholar]
- Chen, N.; Hao, B.; Guo, Y.; Li, L.; Khan, M.A.; He, N. Research on tool wear monitoring in drilling process based on APSO-LS-SVM approach. Int. J. Adv. Manuf. Technol. 2020, 108, 2091–2101. [Google Scholar] [CrossRef]
- Yang, S.; Shao, Y.; Zhang, K. An effective method for solving multiple traveling salesman problem based on NSGA-II. Syst. Sci. Control. Eng. 2019, 7, 108–116. [Google Scholar]
- Zhou, Y.; Liu, J.; Zhang, Y.; Gan, X. A multi-objective evolutionary algorithm for multi-period dynamic emergency resource scheduling problems. Transp. Res. Part E Logist. Transp. Rev. 2017, 99, 77–95. [Google Scholar] [CrossRef]
- Zhu, G.Y.; Ding, C.; Zhang, W.B. Optimal foraging algorithm that incorporates fuzzy relative entropy for solving many-objective permutation flow shop scheduling problems. IEEE Trans. Fuzzy Syst. 2020, 28, 2738–2746. [Google Scholar] [CrossRef]
- Shao, Z.; Shao, W.; Pi, D. Effective constructive heuristic and iterated greedy algorithm for distributed mixed blocking permutation flow-shop scheduling problem. Knowl.-Based Syst. 2021, 221, 106959. [Google Scholar] [CrossRef]
- Li, J.; Liu, Z.M.; Li, C.; Zheng, Z. Improved artificial immune system algorithm for Type-2 fuzzy flexible job shop scheduling problem. IEEE Trans. Fuzzy Syst. 2020, 29, 3234–3248. [Google Scholar] [CrossRef]
- Chen, C.; Ji, Z.; Wang, Y. NSGA-II applied to dynamic flexible job shop scheduling problems with machine breakdown. Mod. Phys. Lett. B 2019, 32, 34–36. [Google Scholar] [CrossRef]
- Rakovitis, N.; Li, D.; Zhang, N.; Li, J.; Zhang, L.; Xiao, X. Novel Approach to Energy-Efficient Flexible Job-Shop Scheduling Problems. Energy 2021, 5, 121773. [Google Scholar] [CrossRef]
- Gong, G.; Deng, Q.; Chiong, R.; Gong, X.; Huang, H. An effective memetic algorithm for multi-objective job-shop scheduling. Knowl.-Based Syst. 2019, 182, 104840. [Google Scholar] [CrossRef]
- Jiang, E.D.; Wang, L. An improved multi-objective evolutionary algorithm based on decomposition for energy-efficient permutation flow shop scheduling problem with sequence-dependent setup time. Int. J. Prod. Res. 2019, 57, 1–16. [Google Scholar] [CrossRef]
- Xin, X.; Jiang, Q.; Li, S.; Gong, S.; Chen, K. Energy-efficient scheduling for a permutation flow shop with variable transportation time using an improved discrete whale swarm optimization. J. Clean. Prod. 2021, 293, 126121. [Google Scholar] [CrossRef]
- Sun, L.; Lin, L.; Gen, M.; Li, H. A Hybrid Collaborative Co-evolution Algorithm for Fuzzy Flexible Job Shop Scheduling. IEEE Trans. Fuzzy Syst. 2019, 27, 1008–1022. [Google Scholar] [CrossRef]
- Zhang, H.K.; Borut, B.; Li, X.Y.; Ojstersek, R. Advanced Metaheuristic Method for Decision-Making in a Dynamic Job Shop Scheduling Environment. Mathematics 2021, 8, 90–99. [Google Scholar] [CrossRef]
- Chen, X.W.; Jiang, G.Z.; Xiao, Y.M.; Li, G.; Xiang, F. A Hyper Heuristic Algorithm Based Genetic Programming for Steel Production Scheduling of Cyber-Physical System-ORIETED. Mathematics 2021, 9, 2256. [Google Scholar] [CrossRef]
- Gao, J.; Gen, M.; Sun, L.; Zhao, X. A hybrid of genetic algorithm and bottleneck shifting for multiobjective flexible job shop scheduling problems. Syst. Eng. 2007, 53, 149–162. [Google Scholar] [CrossRef]
- Moin, N.H.; Sin, O.C.; Omar, M. Hybrid Genetic Algorithm with Multiparents Crossover for Job Shop Scheduling Problems. Math. Probl. Eng. 2015, 2015, 1–12. [Google Scholar] [CrossRef]
- Zhao, D.; Zhang, X.; Zhou, H. Research on collaborative scheduling of multi-production units for concurrent manufacturing. Chin. Manag. Sci. 2020, 8, 188–195. [Google Scholar]
- Peng, B.; Wu, L.; Yi, Y.; Chen, X. Solving the Multi-Depot Green Vehicle Routing Problem by a Hybrid Evolutionary Algorithm. Sustainability 2020, 12, 2127. [Google Scholar] [CrossRef]
- Zheng, C.; Liao, Y.; Xiong, Z.; Zhou, Y.; Han, S.-T. Mimicking the competitive and collaborative behaviors with multi-terminal synaptic memtransistors. J. Mater. Chem. C 2020, 8, 6063–6071. [Google Scholar] [CrossRef]
- Wang, X.; Wang, L.; Feng, H.; Jin, J.; Yin, Q. Design, simulation, and experimental investigation on a novel multi-mode piezoelectric acoustofluidic equipment for ICF target manipulation. Smart Mater. Struct. 2022, 31, 035018. [Google Scholar] [CrossRef]
- Curatolo, A.I.; Zhou, N.; Zhao, Y.; Liu, C.; Daerr, A.; Tailleur, J.; Huang, J. Collaborative pattern formation in multi-component bacterial systems through reciprocal motility regulation. Nat. Phys. 2020, 16, 1152–1157. [Google Scholar] [CrossRef]
- Bidgoli, M.A.; Ahmadian, A. Multi-stage optimal scheduling of multi-microgrids using deep-learning artificial neural network and collaborative game approach. Energy 2022, 239, 122036. [Google Scholar] [CrossRef]
- Ahmmed, K.T.; Chan, H.P.; Li, B. Multi-Function Mode Processing Equipment for Mode Division Multiplexing Optical Networks. IEEE Photonics Technol. Lett. 2020, 33, 101–104. [Google Scholar] [CrossRef]
- Devi, M.M.; Geethanjali, M. Hybrid of Genetic Algorithm and Minimum Spanning Tree method for optimal PMU placements. Measurement 2020, 154, 107476. [Google Scholar] [CrossRef]
- Qu, J.; Qian, Z.; Pei, Y. Day-ahead hourly photovoltaic power forecasting using attention-based CNN-LSTM neural network embedded with multiple relevant and target variables prediction pattern. Energy 2021, 232, 87–107. [Google Scholar] [CrossRef]
- Nurgaliyev, M.; Tukymbekov, D.; Meiirkhanov, A.; Dosymbetova, G.; Svanbayev, Y. Dual-axis schedule tracker with an adaptive algorithm for a strong scattering of sunbeam. Sol. Energy 2021, 224, 285–297. [Google Scholar]
- Eltamaly, A.M. Optimal control parameters for bat algorithm in maximum power point tracker of photovoltaic energy systems. Int. Trans. Electr. Energy Syst. 2021, 31, 1–22. [Google Scholar] [CrossRef]
- Zhou, L.A. Parameter Detection of an On-Chip Embedded Debugging System of Wireless Sensor Internet Based on LEACH Algorithm. Math. Probl. Eng. 2021, 2021, 66–74. [Google Scholar] [CrossRef]
- Singh, A.; Al-Abbasi, A.O.; Garwal, V.A. A Distributed Model-Free Algorithm for Multi-Hop Ride-Sharing Using Deep Reinforcement Learning. IEEE Trans. Intell. Transp. Syst. 2021, 1–11. [Google Scholar] [CrossRef]
- Shahzad, M.; Akram, W.; Arif, M.; Khan, U.; Ullah, B. Optimal Siting and Sizing of Distributed Generators by Strawberry Plant Propagation Algorithm. Energies 2021, 14, 1744. [Google Scholar] [CrossRef]
- Chen, Y.; Sheng, R. Single-Object Tracking Algorithm Based on Two-Step Spatiotemporal Deep Feature Fusion in a Complex Surveillance Scenario. Math. Probl. Eng. 2021, 2021, 53–61. [Google Scholar] [CrossRef]
- Wang, S.; Zhao, D.; Yuan, J.; Li, H.; Gao, Y. Application of NSGA-II Algorithm for fault diagnosis in power system. Electr. Power Syst. Res. 2019, 175, 105893. [Google Scholar] [CrossRef]
- Martínez-Vargas, A.; Domínguez-Guerrero, J.; Andrade, Á.G.; Sepúlveda, R.; Montiel-Ross, O. Application of NSGA-II algorithm to the spectrum assignment problem in spectrum sharing networks. Appl. Soft Comput. 2016, 39, 188–198. [Google Scholar] [CrossRef]
- Peng, S.; Li, T.; Zhao, J.; Lv, S.; Tan, G.Z.; Dong, M.; Zhang, H. Towards energy and material efficient laser cladding process: Modeling and optimization using a hybrid TS-GEP algorithm and the NSGA-II. J. Clean. Prod. 2019, 227, 58–69. [Google Scholar] [CrossRef]










Publisher’s Note: MDPI stays neutral with regard to jurisdictional claims in published maps and institutional affiliations. |
© 2022 by the authors. Licensee MDPI, Basel, Switzerland. This article is an open access article distributed under the terms and conditions of the Creative Commons Attribution (CC BY) license (https://creativecommons.org/licenses/by/4.0/).
Share and Cite
Kang, P.; Deng, H.; Wang, X. Research on Multi-Equipment Collaborative Scheduling Algorithm under Composite Constraints. Processes 2022, 10, 1171. https://doi.org/10.3390/pr10061171
Kang P, Deng H, Wang X. Research on Multi-Equipment Collaborative Scheduling Algorithm under Composite Constraints. Processes. 2022; 10(6):1171. https://doi.org/10.3390/pr10061171
Chicago/Turabian StyleKang, Peibo, Haisheng Deng, and Xiuqin Wang. 2022. "Research on Multi-Equipment Collaborative Scheduling Algorithm under Composite Constraints" Processes 10, no. 6: 1171. https://doi.org/10.3390/pr10061171
APA StyleKang, P., Deng, H., & Wang, X. (2022). Research on Multi-Equipment Collaborative Scheduling Algorithm under Composite Constraints. Processes, 10(6), 1171. https://doi.org/10.3390/pr10061171
