Next Article in Journal
A Fuzzy Robust Programming Model for Sustainable Closed-Loop Supply Chain Network Design with Efficiency-Oriented Multi-Objective Optimization
Next Article in Special Issue
The Effect of Medical Device Regulations on Deploying a Lean Six Sigma Project
Previous Article in Journal
Three-Dimensional Dynamic Formation of Second-Order Multi-Agent System Based on Rigid Graphs
Previous Article in Special Issue
Managing Engineering Change within the Paradigm of Product Lifecycle Management
 
 
Font Type:
Arial Georgia Verdana
Font Size:
Aa Aa Aa
Line Spacing:
Column Width:
Background:
Article

“Song of Life”: A Comprehensive Evaluation of Biographical Music Therapy in Palliative Care by the EMW-TOPSIS Method

1
College of Music, Hunan International Economics University, Changsha 410205, China
2
Department of Mechanical, Aerospace and Civil Engineering School of Engineering, University of Manchester, Manchester M13 9PL, UK
3
College of Engineering and Design, Hunan Normal University, Changsha 410016, China
4
Xiangya School of Medicine, Central South University, Changsha 410013, China
*
Authors to whom correspondence should be addressed.
Processes 2022, 10(10), 1962; https://doi.org/10.3390/pr10101962
Submission received: 22 August 2022 / Revised: 23 September 2022 / Accepted: 25 September 2022 / Published: 29 September 2022
(This article belongs to the Special Issue Big Data in Manufacturing, Biology, Healthcare and Life Sciences)

Abstract

The “Song of Life (SOL)” is a kind of music therapy in palliative care for addressing emotional and existential needs in terminally ill patients nearing the end of life. Few previous studies focus on objective data analysis methods to validate the effectiveness of psychotherapy therapy for patients’ overall state. This article combines the entropy weighting method (EWM) and the technique for order preference by similarity to the ideal solution (TOPSIS) method to evaluate the effectiveness of SOL music therapy and the treatment satisfaction of the patients and family members. Firstly, the collaborative filtering algorithm (CFA) machine learning algorithm is used to predict the missing ratings a patient might have given to a variable. Secondly, the EWM determines the weights of quality of life, spiritual well-being, ego-integrity, overall quality of life, and momentary distress. Thirdly, the EWM method is applied for the TOPSIS evaluation model to evaluate the patient’s state pre- and post-intervention. Finally, we obtain the state change in patients and recognition based on the feedback questionnaire. The multiple criteria decision making (MCDM) comprehensive evaluation method objectively validated the overall effectiveness of SOL music therapy. Based on MCDM method, we provide a new approach for judging the overall effect of psychological intervention and accurately recommend psychotherapy that fits the symptoms of psychological disorders.

1. Introduction

In 2022, there will be approximately 4,820,000 and 2,370,000 new cancer cases, and 3,210,000 and 640,000 cancer deaths, in China and the USA, respectively [1].Cancer has become a leading cause of death in China with an increasing burden of cancer incidence and mortality observed over the past half century [2].
Patients with advanced cancer often encounter considerable physical, psychological, and social pressures and the need to adapt to changes in physical, psychological, and social functions resulting from the disease [3]. For example, a patient’s psychological stress increases with the diagnosis and course of cancer [4]. Psychological stress can also affect disease development, such as tumor growth, progression, and metastasis [5]. Psychological stress can suppress immune activity and worsen the disease, especially in chronic diseases such as cancer [6]. In addition, the literature [7] demonstrates that effective psychological interventions can improve human immune function. Therefore, how to preserve the psychosocial, spiritual, and existential integrity of people facing an incurable disease is considered one of the main challenges of palliative care [8].
Palliative care aims to support terminally ill patients and their relatives on a physical, psychological, and spiritual level [9]. It prevents and relieves suffering through the early identification, correct assessment, and treatment of pain and other problems, whether physical, psychosocial, or spiritual [10]. However, psychological distress and mental worry are widespread in the end stages of life-threatening illnesses [11,12]. Therefore, it is essential to find an effective form of palliative therapy to relieve the psychological pressure and mental worry in the advanced stage of cancer. The most common approach is psychosocial therapy in palliative care, which is categorized into cognitive behavioral therapy (CBT) [13], mindfulness-based interventions [14], dignity therapy [15,16], life review [17], meaning-centered interventions (MCIs) [18], and creative arts-based therapy [19].
Music in creative arts-based therapy effectively promotes the psycho-spiritual integration of meaning and life experiences in terminally ill patients [20,21]. The application of music therapy in multidisciplinary palliative care is in relatively early stages [22,23]. In the clinic, music therapy aims to improve quality of life by providing comfort, and promoting communication and spiritual experiences to relieve physical symptoms and psychological difficulties [24]. Music therapy has a variety of technical categories such as receptive, creative, and entertaining [25]. There is a clinical emphasis on the benefits of music therapy in end-of-life care [4]. Most palliative care for music therapy focuses on pain and quality of life [26], pain relief [27,28], physical comfort [29,30], psychophysiological health [31], subjective well-being [32], emotional distress [33], and anxiety and mood [34,35].
Music therapy also plays a vital role in the treatment of some cancers. For example, it is an alternative therapy that cervical cancer patients can undergo to help reduce the feelings felt by the patient and provide emotional and spiritual support, thereby reducing fatigue caused by treatment [36]. It offers breast cancer patients a valuable opportunity to reduce negative emotional states and improve their quality of life, and appears to be a promising nonpharmacological treatment option in breast cancer oncology [37]. For breast or gynecologic malignancies, this therapy may reduce the effects of fatigue due to radiation therapy and effectively reduce symptoms of cancer-related fatigue and depression. It improves the quality of life of women undergoing radiation therapy with breast or gynecologic cancer [38]. The therapy enhances nausea and vomiting symptoms in patients with gastrointestinal cancer during chemotherapy [39]. It can be used as an adjuvant drug alongside other treatments to relieve patients’ symptoms [40]. Music therapy reduces depression and salivary cortisol levels and improves the quality of life in AYA patients undergoing HSCT [41]. Reference [42] recommends that music therapy for patients with hematological cancers be considered an intervention that can be used in conjunction with other treatments to reduce fatigue.
However, there are few reports on music therapy’s effect on a patient’s overall state. The above studies on music therapy are all based on meta-analysis or statistical analysis, employed to investigate the working mechanism of music therapy and lay the foundations for developing new music intervention therapy. However, the findings are only provide the statistical validity of some indicators. According to the total experimental sample results, it has a certain validity. Music therapy is similar to other medical methods. Different music can only be applied to different groups of people. The wrong choice of music may make the patient’s symptoms worse. In addition, existing research methods do not reflect the sensitivity of different indicators to their treatment, which also varies from person to person. Moreover, the effect of the same music therapy on patients cannot be shown accurately. Thus, it is difficult for researchers to quickly know whether psychotherapy is effective or not, and it is not helpful to recommend psychotherapy that fits the symptoms of psychological disorders. Here, we use the multiple criteria decision making (MCDM) comprehensive evaluation method to further discuss the result of [43,44] by comprehensively evaluating the experimental results of the “Song of Life” (SOL) and quantitatively analyzing its impact based on the overall state of the patients. This method facilitates the selection of the best music therapy among many different types of music therapies.
MCDM methods have been used for diagnosing many cancer cases and the optimal selection of anticancer drugs and treatments. Fahmi et al. proposed the triangular cubic hesitant fuzzy TOPSIS method and defined a new type of cancer patient according to this method [45]. Hatice et al. proposed an AHP-EMW-TOPSIS model to select the better treatment technique for HER2+ breast cancer from two different treatments and to screen the considered factors and their significance levels when choosing treatment. This model can be used to identify the most effective targeted drug combinations [46]. A TOPSIS case-based reasoning approach was used to determine the optimal combination of radiotherapy doses for prostate cancer, which will help oncologists make better trade-offs between success and treatment side effects [47,48,49].
The TOPSIS and VIKOR methods were used to choose the best surgical option between mastectomy (complete removal of the breast) and breast-conserving surgery (removal of for breast cancer tumor and some normal surgery). The model considered 19 sub-criteria related to tumor-related, patient-related, and postoperative course [50]. The ordinal relationship analysis method and TOPSIS were combined to rank four drug regimens and determine the best drug regimen for patients with chronic cancer to avoid possible side effects from increased doses or potent drug use [51]. When selecting anticancer drugs, applying the AHP-TOPSIS approach has dramatically improved clinical outcomes and reduced financial costs associated with chemotherapy treatment [52,53]. Li et al. proposed a novel selection model of surgical treatments for early gastric cancer based on heterogeneous multiple-criteria group decision making (MCGDM), which helps to select the most appropriate surgery in the case of asymmetric information between doctors and patients [54]. In addition, an ordinary differential equation (ODE) can also be used to evaluate the therapeutic effect of cancer [55,56,57,58].
This paper will further expand the research of [43,44] to evaluate two palliative care methods by the EMW-TOPSIS method. To illustrate the effectiveness of SOL, we will calculate the patient’s overall state changes between pre- and post-intervention. In the Section 2, we preprocess part of the data and use the collaborative filtering algorithm (CFA) approach to complete some missing data. In the Section 3, we establish the entropy weight method and the TOPSIS model. Finally, we obtain the state changes before and after the application of data and the recognition of the two methods by patients and their families. It was found that SOL therapy has apparent advantages over traditional methods; however, we also found that not all patients are suitable for our two palliative treatments. The MCDM method provides a new approach to assessing the validity of psychological interventions. This method would be applied in predictive diagnostics and precision medicine by combining machine learning and deep learning methods in our future work.

2. Materials and Data Preprocessing

2.1. Data Collection

The open research data from the Institute of Medical Psychology of the Heidelberg University Hospital can be obtained on 12 April 2021, https://doi.org/10.11588/data/Z4XZQ7 [59]. These data were collected in a research project that started in December 2018 and ended in August 2020. In this study, with two parallel arms, 104 patients at two palliative care units were randomly assigned to three sessions of either “Song of Life” (SOL, experimental group) or relaxation exercises (control group). The indicators examined in the research project were quality of life, spiritual well-being, ego-integrity, overall quality of life, and distress. Additionally, some incomplete data on the feedback questionnaire were used to supplement the evaluation of post-intervention treatment effects. Eight items on a 5-point scale covered aspects of the patient’s subjective perception of treatment effects. The definitions and symbols of the indicators are shown in Table 1.

2.2. Data Processing Based on a Collaborative Filtering Algorithm (CFA)

Due to the lack of actual data, data preprocessing is critical [60]. If it is not processed effectively, data resources will be wasted, or inaccurate data analysis models and wrong decisions will occur, which further results in more significant losses [61]. Currently, there are three commonly used processing methods for missing value data: delete tuples, data filling, and no processing [62]. The deletion of tuple method will delete samples with missing values to obtain a complete information table. This method is simple and easy to implement. It is more effective when the proportion of missing value samples is very small, and the deleted samples have many missing values. For example, hdeg005 has only three valid indicators, which is not suitable for the study, and so patient hdeg005 is deleted. There are many data filling methods, such as average value [63], the constant filling method [64], the k nearest neighbor method [65], and the collaborative filtering algorithm [66,67]. Here, the collaborative filtering algorithm based on samples and attributes will be applied to predict missing values [68]. The indicators that need to complete the data and the corresponding patients are shown in Table 2.
According to different centers, groups, and interventions, the Pearson correlation coefficient of the patients u and v is given by s ( u , v ) defined as
s ( u , v ) = i I u I ν x u , i x ¯ u x v , i x ¯ v i I u I v x u , i x ¯ u 2 i I u I v x v , i x ¯ v 2 .
Estimation of the value of the ith indicator for the uth patient as p u , i and p u , i is expressed by
p u , i = x ¯ u + u N s u , u x u , i x ¯ u u N s u , u .

2.3. Reliability Analysis

After data processing, the reliability of data must be analyzed to ensure the obtained data are reliable. In this study, Cronbach’s α is used to test the scale’s reliability [69]. The value of α is proportional to the degree of reliability between variables. The larger the α value, the higher the reliability between the measured variables. A generally accepted rule is that an α of 0.6–0.7 indicates an acceptable level of reliability [70]. The reliability analysis results of the preprocessed data are shown in Table 3.

2.4. Selection of Indicators

This multicenter study was conducted in parallel at the University Palliative care unit at the St. Vincentius Hospital in Heidelberg, Germany, and the Interdisciplinary Palliative Care Unit at the University Medical Center in Mainz, Germany. This paper studies the effect of different palliative care methods on patients. The effect of sites on palliative care was explored by an independent sample t-test method.
Based on the results in Table 4, Levene’s test for equality of variances shows a statistical significance of p > 0.05 , except ego.0 p = 0.014 > 0.01 , which means the variance of indicators is homogeneous. The p-values for the independent sample T-test for the Equality of Means are much larger than the p-value significance threshold of 0.05, except facit.0 p = 0.014 > 0.01 and pqol.0 p = 0.037 > 0.01 . This tells us that there is no statistically significant difference in the mean scores for the two sites. Hence, the site is not used as an indicator to discuss the effect of medical treatment.

3. Methods

The above five indicators were used for modeling the comprehensive evaluation system of biographical music therapy in palliative care. The feedback questionnaire is used as a supplementary evaluation index for evaluating the intervention effect on patients. In this section, we determine the weights of the indicators and establish the EMW-TOPSIS evaluation model for the state of a patient [71,72,73,74]. The difference of the overall state score of one person between pre- and post- intervention will then be deduced to judge the state change in the patient.

3.1. Weighting for Indicators

For the patient’s measurement table, a state matrix is constructed for the pre- and post- intervention state and given by
X = S 0 S 1
where,
S 0 = v p q o l . 0 v f a c i t . 0 v e g o . 0 v d i s . 0 v g q o l . 0
represents the state matrix of pre-intervention and
S 1 = v p q o l . 1 v f a c i t . 1 v e g o . 1 v d i s . 1 v g q o l . 1 .
represents the state matrix of post-intervention. v * represents the state vector of indicator ∗. There are 103 patients with valid data at pre-intervention and 80 with valid data at post-intervention. Therefore, the dimension of the state matrix X is 183 × 5 .
Step 1: 
Compute the normalized decision matrix. The data matrix X can be described as
X = x 11 x 1 m x n 1 x n m ,
where n = 183 and m = 5 . Firstly, classify all indicators as positive-type, and the normalized matrix is
R = ( r i j ) n × m
where
r i j = x i j x ̲ j x ¯ j x ̲ j if the indicator j is a positive one , x ¯ j x i j x ¯ j x ̲ j if the indicator j is a negative one ,
x ̲ j and x ¯ j are the lower and upper values of indicator j.
Step 2: 
Normalize the normalized matrix to P = ( p i j ) n × m . The standardization is as follows:
p i j = r i j i = 1 n r i j
Step 3: 
Calculate the information entropy of each indicator to obtain a vector E, where the value of each element is
E ( j ) = 1 ln n i = 1 n p i j ln p i j , p i j > 0
and define e i j = 0 when p i j = 0 .
Step 4: 
Use the information entropy to calculate the weight of an indicator ω j , j = 1 , , m :
ω j = 1 E ( j ) j = 1 m ( 1 E ( j ) )
where 0 ω j < 1 , j = 1 m ω j = 1 . Table 5 shows the weight values of each indicator.

3.2. The Entropy Weighted TOPSIS Method

TOPSIS is based on the idea that the best solution should have the shortest distance from the ideal optimal solution and the farthest distance from the ideal worst solution. Based on the weight ω j of indicator j obtained by the above method, we use the TOPSIS method to calculate the overall state score.
Step 1: 
Normalize the matrix R and record the normalized matrix of R as Z
Z = z 11 z 1 m z n 1 z n m ,
where
z i j = r i j i = 1 n r i j 2 .
Step 2: 
Determine positive ideal solutions and negative ideal solutions. The ideal optimal solution takes the optimal value of the evaluation index in the system, denoted as Z + :
Z + = max ( z i 1 ) max ( z i 2 ) max ( z i 3 ) max ( z i 4 ) max ( z i 5 ) .
On the contrary, the ideal worst solution is defined as Z .
Z = min ( z i 1 ) min ( z i 2 ) min ( z i 3 ) min ( z i 4 ) min ( z i 5 )
where 1 i n .
Step 3: 
Calculate the distance using dimensional Euclidean distance, with the weight of each indicator ω j , j = 1 , , m determined by the entropy weighted method, the ideal optimal solution D i + for the distance of the indicator vector of the patient i ( i = 1 , 2 , , n ) and the opposite ideal worst solution D i are given by
D i + = j = 1 m ω j Z j + z i j 2
D i = j = 1 m ω j Z j z i j 2
Step 4: 
Calculate the patient’s overall state score. The score is given by
C i = D i D i + + D i , i = 1 , 2 , , n ,
where the value of C i is between 0 and 1. When the C i value is closer to 1, the overall state of the patient is closer to the optimal level.
Step 5: 
The difference in the patient’s overall state score between the pre- and post- intervention is
Δ C i = C i 1 C i 0 ,
where C i 0 and C i 1 denote the overall state score of patient i at the pre- and post-intervention, respectively. The Δ C i represents the state change after intervention by palliative care. The patient’s state has been improved when Δ C i > 0 and has deteriorated when Δ C i < 0 .

4. Results

4.1. EWM-TOPSIS Evaluation of Biographical Music Therapy

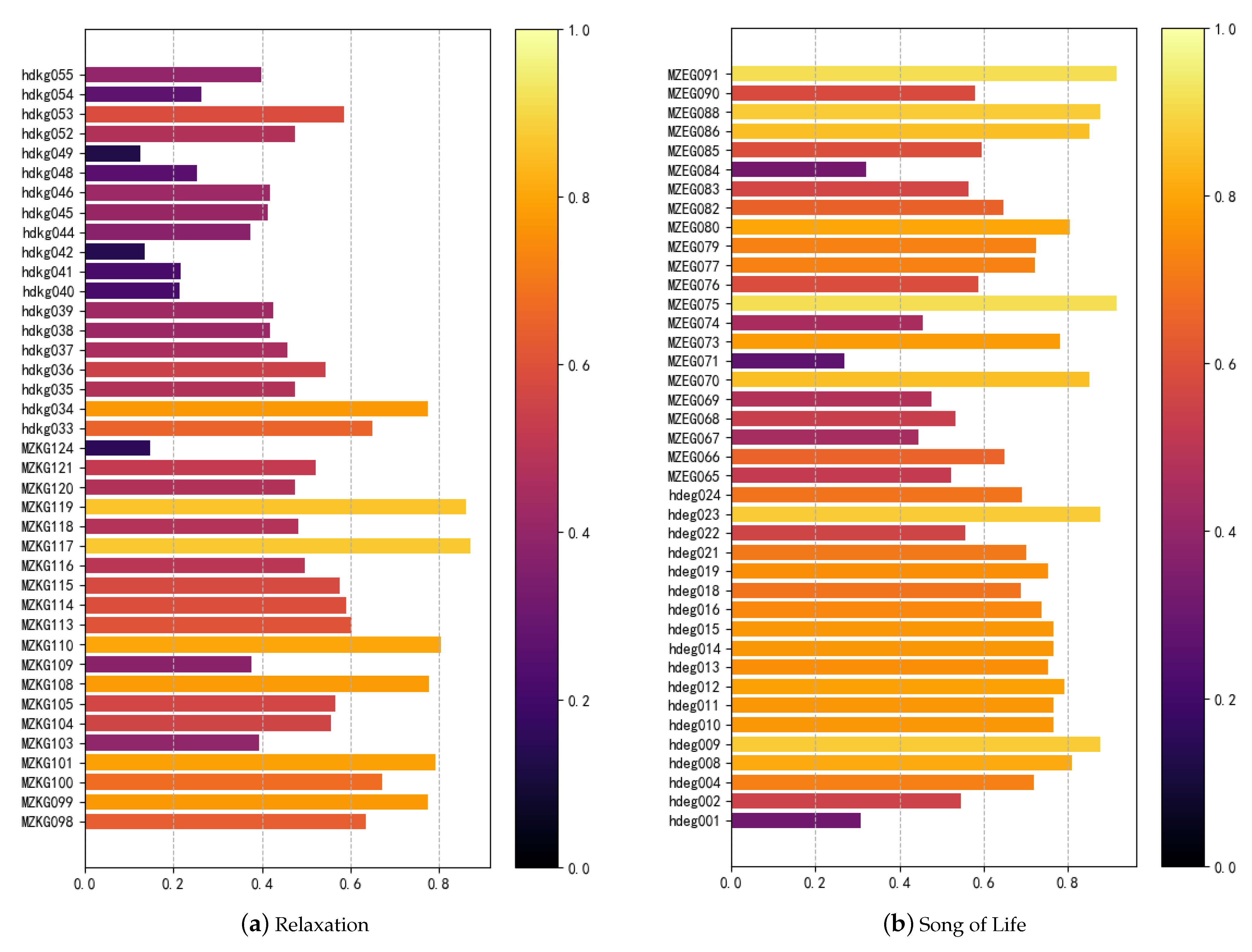
The differences in patients’ overall state score calculated based on TOPSIS are shown in Figure 1. Most patients had positive changes in both the experimental group and control group. In the experimental group, the proportions of Δ C i > 0.2 and Δ C i > 0.1 are 27 % and 48.8 % , respectively. In the control group, the proportions of Δ C i > 0.2 and Δ C i > 0.1 are 5 % and 25 % , respectively. In the results of these two groups, the proportions of Δ C i < 0 are 32.5 % and 22 % in the control and experimental groups, respectively. We performed a variance analysis and independent samples t-test to quantitatively analyze these two therapy methods, and the results are given in Table 6 and Table 7.
In Table 7, Levene’s test for equality of variances showed a statistical significance of p = 0.018 < 0.05 , which means there are statistically significant differences between the mean values. This means that the patients’ overall state change in the experimental group was higher than that in the control group, as shown in Table 6.

4.2. EWM-TOPSIS Evaluation of Satisfaction

To evaluate the satisfaction of the SOL treatment by patients and their families, we also used the EWM-TOPSIS method on eight indicators from fq.1 to fq. 8. By applying the data and the EWM-TOPSIS method, we obtained the evaluation score S i based on the feedback shown in Figure 2.
In the experimental group, the proportion of the score larger than 0.6 was 65 % . In the control group, the proportion of the score larger than 0.6 was 25 % . We performed a variance analysis and independent samples t-test, for which the results are given in Table 8 and Table 9. In Table 9, Levene’s test for equality of variances shows a statistical significance of p = 0.033 < 0.05 , which means there are statistically significant differences between the feedback of these two groups.
The average satisfaction of the experimental group is 20 % higher than that of the control group, as shown in Table 8.

5. Discussion

We used EWM-TOPSIS to evaluate the overall state of patients pre- and post-intervention. The results showed that the improvement of the individual’s overall state in the experimental group was better than that of the control group. The questionnaire feedback was used to assist in the accurate evaluation of the efficacy of SOL in changing a patient’s overall state. Based on the analysis of the feedback questionnaire, the effectiveness of SOL was significantly higher than that of relaxation.
In the weight of the index obtained by the entropy weight method, the weight of distress is the largest, with similar results found in psychoneuroendocrinological [75] and psychosocial [44] effects research on SOL, indicating that SOL therapy shows a more significant dispersion of the index and that the patient’s response is more sensitive. SOL can be used to recommend therapy to improve distress. The weights of ego-integrity and facit are 0.132 and 0.116, respectively. In the results, SOL therapy showed low sensitivities. If the patient needs to focus on improving these two indicators, this method is not applicable. The follow two comprehensive evaluation results were combined for evaluations. The proportions of Δ C i > 0 and S i > 0.5 were 30% for the control group and 67.5% for the experiment group. The proportions of Δ C i > 0.1 and S i > 0.5 were 17.5% for the control group and 45% for the experiment group. The proportions of Δ C i > 0.1 and S i > 0.6 were 5% for the control group and 40% for the experiment group. The results showed that the proportion of the experimental group showed little fluctuation. In contrast, the control group fluctuated greatly, showing the consistency of the direct and indirect assessment of the treatment effect of SOL.This article provides a data analysis foundation for applying machine learning methods in the field of precision medicine.
Previous studies [75] have found that one particular limitation was the high attrition rate in both salivary and photoplethysmographic sampling by challenges in data collection in palliative care. Therefore, despite analyzing data with an intention-to-treat approach using the available data (AAD) and multiply imputed data (MID) in the sensitivity analysis, the study might still have been statistically underpowered in detecting small differential effects due to missing data. Applying EWM-TOPSIS, the collaborative filtering algorithm (CFA) machine learning algorithm based on samples and attributes will be applied to predict some missing ratings that a patient provides. The merits of this method and the existing method of SOL are demonstrated in Table 10.
The application ranges of the proposed technique and the existing methodologies are different. The EWM-TOPSIS is a psychological intervention therapy that can be recommended quickly and accurately. The statistical analysis shows the significant effect of factors with group assignments for psychological therapies; therefore, the potential working mechanisms of new psychosocial interventions can be investigated.

6. Conclusions

Through weighting, our method shows that the SOL can be used to focus on the corresponding indicator. Second, we can more accurately obtain the treatment effect of each individual.The EWM-TOPSIS provides a new objective data analysis method for evaluating the overall effect of psychological treatment and for accurately and quickly recommending psychological therapy appropriate to the patient. The present study therefore marks an important step towards an evidence-based rationale for the use of psychological therapy, such as music therapy, in palliative care. However, we found that SOL and relaxation have adverse effects, even worsening the condition. Therefore, our future research work needs to accurately evaluate the treatment methods suitable for different patients through pre-interference evaluations and the application of machine learning or deep learning methods. More psychological therapy methods can be evaluated using EWM-TOPSIS for an objective characteristic range of improvement and the less sensitive features of these therapies, and they might provide medical evidence for the efficacy of all psychological therapies.

Author Contributions

Methodology, Z.Z., Z.C. and B.Y.; software, X.P.; validation, Z.C., X.P. and B.Y.; formal analysis, Z.Z.; investigation, Z.Z.; resources, X.P.; data curation, Z.Z.; writing—original draft preparation, Z.Z. and B.Y.; writing—review and editing, Z.C. and Z.J.; visualization, X.P.; supervision, Z.Z.; project administration, Z.Z.; funding acquisition, Z.Z. All authors have read and agreed to the published version of the manuscript.

Funding

This research received no external funding.

Institutional Review Board Statement

Not applicable.

Informed Consent Statement

Not applicable.

Data Availability Statement

https://doi.org/10.11588/data/Z4XZQ7 (accessed on 12 April 2021).

Conflicts of Interest

The authors declare that they have no conflict of interest.

References

  1. Xia, C.; Dong, X.; Li, H.; Cao, M.; Sun, D.; He, S.; Yang, F.; Yan, X.; Zhang, S.; Li, N.; et al. Cancer statistics in China and United States, 2022: Profiles, trends, and determinants. Chin. Med. J. 2022, 135, 584–590. [Google Scholar] [CrossRef] [PubMed]
  2. Wei, W.; Zeng, H.; Zheng, R.; Zhang, S.; An, L.; Chen, R.; Wang, S.; Sun, K.; Matsuda, T.; Bray, F.; et al. Cancer registration in China and its role in cancer prevention and control. Lancet Oncol. 2020, 21, e342–e349. [Google Scholar] [CrossRef]
  3. Kristensen, M.B.; Mikkelsen, T.B.; Beck, A.M.; Zwisler, A.D.; Wessel, I.; Dieperink, K.B. To eat is to practice—managing eating problems after head and neck cancer. J. Cancer Surviv. 2019, 13, 792–803. [Google Scholar] [CrossRef] [PubMed]
  4. Straub, R.H.; Cutolo, M. Psychoneuroimmunology—developments in stress research. Wien. Med. Wochenschr. 2018, 168, 76–84. [Google Scholar] [CrossRef] [PubMed]
  5. Abate, M.; Citro, M.; Caputo, M.; Pisanti, S.; Martinelli, R. Psychological stress and cancer: New evidence of an increasingly strong link. Transl. Med. Unisa 2020, 23, 53. [Google Scholar]
  6. Dhabhar, F.S. Effects of stress on immune function: The good, the bad, and the beautiful. Immunol. Res. 2014, 58, 193–210. [Google Scholar] [CrossRef]
  7. Shields, G.S.; Spahr, C.M.; Slavich, G.M. Psychosocial interventions and immune system function: A systematic review and meta-analysis of randomized clinical trials. JAMA Psychiatry 2020, 77, 1031–1043. [Google Scholar] [CrossRef]
  8. Chochinov, H.M.; Cann, B.; Cullihall, K.; Kristjanson, L.; Harlos, M.; McClement, S.E.; Hack, T.F.; Hassard, T. Dignity therapy: A feasibility study of elders in long-term care. Palliat. Support. Care 2012, 10, 3–15. [Google Scholar] [CrossRef]
  9. Vanbutsele, G.; Pardon, K.; Van Belle, S.; Surmont, V.; De Laat, M.; Colman, R.; Eecloo, K.; Cocquyt, V.; Geboes, K.; Deliens, L. Effect of early and systematic integration of palliative care in patients with advanced cancer: A randomised controlled trial. Lancet Oncol. 2018, 19, 394–404. [Google Scholar] [CrossRef]
  10. Organizationr, W.H. WHO Definition of Palliative Care 2020. Available online: https://www.who.int/news-room/fact-sheets/detail/palliative-care (accessed on 5 August 2020).
  11. Rodin, G. Research on psychological and social factors in palliative care: An invited commentary. Palliat. Med. 2013, 27, 925–931. [Google Scholar] [CrossRef]
  12. Zabora, J.; BrintzenhofeSzoc, K.; Curbow, B.; Hooker, C.; Piantadosi, S. The prevalence of psychological distress by cancer site. Psycho-Oncol. J. Psychol. Soc. Behav. Dimens. Cancer 2001, 10, 19–28. [Google Scholar] [CrossRef]
  13. Uitterhoeve, R.; Vernooy, M.; Litjens, M.; Potting, K.; Bensing, J.; De Mulder, P.; van Achterberg, T. Psychosocial interventions for patients with advanced cancer–a systematic review of the literature. Br. J. Cancer 2004, 91, 1050–1062. [Google Scholar] [CrossRef]
  14. Carlson, L.E. Mindfulness-based interventions for physical conditions: A narrative review evaluating levels of evidence. Int. Sch. Res. Not. 2012, 2012, 651583. [Google Scholar] [CrossRef]
  15. Chochinov, H.M.; Kristjanson, L.J.; Breitbart, W.; McClement, S.; Hack, T.F.; Hassard, T.; Harlos, M. Effect of dignity therapy on distress and end-of-life experience in terminally ill patients: A randomised controlled trial. FOCUS 2013, 11, 576–587. [Google Scholar] [CrossRef]
  16. Mai, S.S.; Goebel, S.; Jentschke, E.; van Oorschot, B.; Renner, K.H.; Weber, M. Feasibility, acceptability and adaption of dignity therapy: A mixed methods study achieving 360 feedback. BMC Palliat. Care 2018, 17, 73. [Google Scholar] [CrossRef]
  17. Ando, M.; Morita, T.; Akechi, T.; Okamoto, T.; Japanese Task Force for Spiritual Care. Efficacy of short-term life-review interviews on the spiritual well-being of terminally ill cancer patients. J. Pain Symptom Manag. 2010, 39, 993–1002. [Google Scholar] [CrossRef]
  18. Breitbart, W.; Rosenfeld, B.; Gibson, C.; Pessin, H.; Poppito, S.; Nelson, C.; Tomarken, A.; Timm, A.K.; Berg, A.; Jacobson, C.; et al. Meaning-centered group psychotherapy for patients with advanced cancer: A pilot randomized controlled trial. Psycho-Oncology 2010, 19, 21–28. [Google Scholar] [CrossRef]
  19. Kumar, S.; Morse, M.; Zemenides, P.; Jenkins, R. Psychotherapies for psychological distress in the palliative care setting. Psychiatr. Ann. 2012, 42, 133–137. [Google Scholar] [CrossRef]
  20. Shan, G.; Ma, C. A Comment on sample size calculation for analysis of covariance in parallel arm studies. J. Biom. Biostat. 2014, 5, 1. [Google Scholar]
  21. Salmon, D. Music therapy as psychospiritual process in palliative care. J. Palliat. Care 2001, 17, 142. [Google Scholar]
  22. Munro, S.; Mount, B. Music therapy in palliative care. Can. Med. Assoc. J. 1978, 119, 1029. [Google Scholar]
  23. O’Kelly, J. Music therapy in palliative care: Current perspectives. Int. J. Palliat. Nurs. 2002, 8, 130–136. [Google Scholar] [CrossRef]
  24. McConnell, T.; Porter, S. Music therapy for palliative care: A realist review. Palliat. Support. Care 2017, 15, 454–464. [Google Scholar] [CrossRef]
  25. Clements-Cortés, A. Development and efficacy of music therapy techniques within palliative care. Complement. Ther. Clin. Pract. 2016, 23, 125–129. [Google Scholar]
  26. Sato, Y. Musical life review in hospice. Music Ther. Perspect. 2011, 29, 31–38. [Google Scholar] [CrossRef]
  27. Gutgsell, K.J.; Schluchter, M.; Margevicius, S.; DeGolia, P.A.; McLaughlin, B.; Harris, M.; Mecklenburg, J.; Wiencek, C. Music therapy reduces pain in palliative care patients: A randomized controlled trial. J. Pain Symptom Manag. 2013, 45, 822–831. [Google Scholar] [CrossRef]
  28. Horne-Thompson, A.; Grocke, D. The effect of music therapy on anxiety in patients who are terminally ill. J. Palliat. Med. 2008, 11, 582–590. [Google Scholar] [CrossRef]
  29. Clements-Cortes, A. The effect of live music vs. taped music on pain and comfort in palliative care. Korean J. Music Ther. 2011, 13, 105–121. [Google Scholar] [CrossRef]
  30. Krout, R.E. The effects of single-session music therapy interventions on the observed and self-reported levels of pain control, physical comfort, and relaxation of hospice patients. Am. J. Hosp. Palliat. Med. 2001, 18, 383–390. [Google Scholar] [CrossRef]
  31. Hilliard, R.E. The effects of music therapy on the quality and length of life of people diagnosed with terminal cancer. J. Music Ther. 2003, 40, 113–137. [Google Scholar] [CrossRef]
  32. Warth, M.; Keßler, J.; Hillecke, T.K.; Bardenheuer, H.J. Music therapy in palliative care: A randomized controlled trial to evaluate effects on relaxation. Dtsch. Ärzteblatt Int. 2015, 112, 788. [Google Scholar]
  33. Domingo, J.P.; Matamoros, N.E.; Danés, C.F.; Abelló, H.V.; Carranza, J.M.; Ripoll, A.I.R.; Garcia, S.M.; Rossetti, A. Effectiveness of music therapy in advanced cancer patients admitted to a palliative care unit: A non-randomized controlled, clinical trial. Music Med. 2015, 7, 23–31. [Google Scholar]
  34. Gallagher, L.M.; Lagman, R.; Walsh, D.; Davis, M.P.; LeGrand, S.B. The clinical effects of music therapy in palliative medicine. Support. Care Cancer 2006, 14, 859–866. [Google Scholar] [CrossRef] [PubMed]
  35. Nakayama, H.; Kikuta, F.; Takeda, H. A pilot study on effectiveness of music therapy in hospice in Japan. J. Music Ther. 2009, 46, 160–172. [Google Scholar] [CrossRef]
  36. Rachmawati, F.E.; Satiadarma, M.P.; Chris, A. Penggunaan terapi musik untuk menurunkan kelelahan akibat pengobatan pada pasien kanker serviks: Studi Kasus. J. Muara Ilmu Sos. Hum. Dan Seni 2021, 5, 311–316. [Google Scholar] [CrossRef]
  37. Kievisiene, J.; Jautakyte, R.; Rauckiene-Michaelsson, A.; Fatkulina, N.; Agostinis-Sobrinho, C. The effect of art therapy and music therapy on breast cancer patients: What we know and what we need to find out—A systematic review. Evid.-Based Complement. Altern. Med. 2020, 2020, 7390321. [Google Scholar] [CrossRef]
  38. Alcântara-Silva, T.R.; de Freitas-Junior, R.; Freitas, N.M.A.; de Paula Junior, W.; da Silva, D.J.; Machado, G.D.P.; Ribeiro, M.K.A.; Carneiro, J.P.; Soares, L.R. Music therapy reduces radiotherapy-induced fatigue in patients with breast or gynecological cancer: A randomized trial. Integr. Cancer Ther. 2018, 17, 628–635. [Google Scholar] [CrossRef]
  39. Dadkhah, B.; Anisi, E.; Mozaffari, N.; Amani, F.; Pourghasemian, M. Effect of music therapy with periorbital massage on chemotherapy-induced nausea and vomiting in gastrointestinal cancer: A randomized controlled trail. J. Caring Sci. 2019, 8, 165. [Google Scholar] [CrossRef]
  40. Geyik, G.İ.; Doğan, S.; Ozbek, H.; Atayoglu, A.T. The effect of music therapy on the physical and mental parameters of cancer patients during hematopoietic stem cell transplantation. Perspect. Psychiatr. Care 2021, 57, 558–564. [Google Scholar] [CrossRef]
  41. Xie, J.; Wan, Z.; Duan, Y.; Wang, M.; Luo, Y.; Xiao, P.; Kang, Y.; Zhou, Y.; Luo, X.; Sun, Q.; et al. The efficacy of live music for adolescent and young adult patients during hematopoietic stem cell transplantation. Support. Care Cancer 2022, 30, 5789–5799. [Google Scholar] [CrossRef]
  42. Sezgin, M.G.; Bektas, H. The effect of music therapy interventions on fatigue in patients with hematological cancers: A systematic review and meta-analysis of randomized controlled trials. Support. Care Cancer 2022, 192, 1–12. [Google Scholar] [CrossRef]
  43. Warth, M.; Koehler, F.; Brehmen, M.; Weber, M.; Bardenheuer, H.J.; Ditzen, B.; Kessler, J. “Song of Life”: Results of a multicenter randomized trial on the effects of biographical music therapy in palliative care. Palliat. Med. 2021, 35, 1126–1136. [Google Scholar] [CrossRef]
  44. Warth, M.; Koehler, F.; Weber, M.; Bardenheuer, H.J.; Ditzen, B.; Kessler, J. “Song of Life (SOL)” study protocol: A multicenter, randomized trial on the emotional, spiritual, and psychobiological effects of music therapy in palliative care. BMC Palliat. Care 2019, 18, 14. [Google Scholar] [CrossRef]
  45. Fahmi, A.; Aslam, M.; Ahmed Almahdi, F.A.; Amin, F. New type of cancer patients based on triangular cubic hesitant fuzzy TOPSIS method. Int. J. Biomath. 2020, 13, 2050002. [Google Scholar] [CrossRef]
  46. Akdag, H.C.; Alemdar, C.; Aydin, E. A MCDM model design for HER2+ breast cancer treatment technique using AHP method. PONTE Int. J. Sci. Res. 2019, 75. [Google Scholar] [CrossRef]
  47. Malekpoor, H.; Mishra, N.; Sumalya, S.; Kumari, S. An efficient approach to radiotherapy dose planning problem: A TOPSIS case-based reasoning approach. Int. J. Syst. Sci. Oper. Logist. 2017, 4, 4–12. [Google Scholar] [CrossRef]
  48. Malekpoor, H. A Novel Combination of Cased-Based Reasoning and Multi Criteria Decision Making Approach to Radiotherapy Dose Planning. Ph.D. Thesis, University of East Anglia, Norwich, UK, 2018. [Google Scholar]
  49. Malekpoor, H.; Mishra, N.; Kumar, S. A novel TOPSIS–CBR goal programming approach to sustainable healthcare treatment. Ann. Oper. Res. 2018, 312, 1403–1425. [Google Scholar] [CrossRef]
  50. Koksalmis, G.H.; Cetinguc, B.; Durucu, M.; Camgoz Akdag, H.; Gulluoglu, B.M.; Karanlik, H.; Sezer, A.; Calisir, F. The relative importance of factors influencing the surgeons’ choice between mastectomy and breast-conserving surgery for women with breast cancer. Health Care Women Int. 2021, 1–10. [Google Scholar] [CrossRef]
  51. Batur Sir, G.D. Evaluating treatment modalities in chronic pain treatment by the multi-criteria decision making procedure. BMC Med. Inform. Decis. Mak. 2019, 19, 191. [Google Scholar]
  52. Özcan, E.; Ökten, S.; Eren, T. Decision making for promising quinoline-based anticancer agents through combined methodology. J. Biochem. Mol. Toxicol. 2020, 34, e22522. [Google Scholar] [CrossRef]
  53. Daoud, S.; Mdhaffar, A.; Freisleben, B.; Jmaiel, M. A multi-criteria decision making approach for predicting cancer cell sensitivity to drugs. In Proceedings of the 33rd Annual ACM Symposium on Applied Computing, Pau, France, 9–13 April 2018; pp. 47–53. [Google Scholar]
  54. Li, D.P.; He, J.Q.; Cheng, P.F.; Wang, J.Q.; Zhang, H.Y. A novel selection model of surgical treatments for early gastric cancer patients based on heterogeneous multicriteria group decision-making. Symmetry 2018, 10, 223. [Google Scholar] [CrossRef]
  55. Murphy, H.; Jaafari, H.; Dobrovolny, H.M. Differences in predictions of ODE models of tumor growth: A cautionary example. BMC Cancer 2016, 16, 163. [Google Scholar] [CrossRef]
  56. Koziol, J.A.; Falls, T.J.; Schnitzer, J.E. Different ODE models of tumor growth can deliver similar results. BMC Cancer 2020, 20, 226. [Google Scholar] [CrossRef]
  57. Ilea, M.; Turnea, M.; Rotariu, M. Differential equations with applications in cancer diseases. Rev. Med.-Chir. A Soc. Medici Si Nat. Din Iasi 2013, 117, 572–577. [Google Scholar]
  58. Li, B.; Liang, H.; He, Q. Multiple and generic bifurcation analysis of a discrete Hindmarsh-Rose model. Chaos Solitons Fractals 2021, 146, 110856. [Google Scholar] [CrossRef]
  59. Warth, M. Biographical Music Therapy in Palliative Care [Dataset]. UNF:6:Nt/CiJX5oFRkCInlnHZ+Xw== 2021, V1. Available online: https://doi.org/10.11588/data/Z4XZQ7 (accessed on 12 April 2021).
  60. Zhang, S.; Zhang, C.; Yang, Q. Data preparation for data mining. Appl. Artif. Intell. 2003, 17, 375–381. [Google Scholar] [CrossRef]
  61. Mao, H.; Schwarzkopf, M.; Venkatakrishnan, S.B.; Meng, Z.; Alizadeh, M. Learning scheduling algorithms for data processing clusters. In Proceedings of the ACM Special Interest Group on Data Communication, Beijing, China, 19–23 August 2019; pp. 270–288. [Google Scholar]
  62. Xu, X.; Chong, W.; Li, S.; Arabo, A.; Xiao, J. MIAEC: Missing data imputation based on the evidence chain. IEEE Access 2018, 6, 12983–12992. [Google Scholar] [CrossRef]
  63. Palatinus, L.; Brázda, P.; Jelínek, M.; Hrdá, J.; Steciuk, G.; Klementová, M. Specifics of the data processing of precession electron diffraction tomography data and their implementation in the program PETS2. 0. Acta Crystallogr. Sect. B Struct. Sci. Cryst. Eng. Mater. 2019, 75, 512–522. [Google Scholar] [CrossRef]
  64. Jayalakshmi, T.; Santhakumaran, A. Statistical normalization and back propagation for classification. Int. J. Comput. Theory Eng. 2011, 3, 1793–8201. [Google Scholar]
  65. Lubis, A.R.; Lubis, M. Optimization of distance formula in K-Nearest Neighbor method. Bull. Electr. Eng. Inform. 2020, 9, 326–338. [Google Scholar] [CrossRef]
  66. Han, K. Personalized news recommendation and simulation based on improved collaborative filtering algorithm. Complexity 2020, 2020, 8834908. [Google Scholar] [CrossRef]
  67. Ni, J.; Cai, Y.; Tang, G.; Xie, Y. Collaborative Filtering Recommendation Algorithm Based on TF-IDF and User Characteristics. Appl. Sci. 2021, 11, 9554. [Google Scholar] [CrossRef]
  68. Sarwar, B.; Karypis, G.; Konstan, J.; Riedl, J. Item-based collaborative filtering recommendation algorithms. In Proceedings of the 10th International Conference on World Wide Web, Hong Kong, China, 1–5 May 2001; pp. 285–295. [Google Scholar]
  69. Bland, J.M.; Altman, D.G. Statistics notes: Cronbach’s alpha. BMJ 1997, 314, 572. [Google Scholar] [CrossRef]
  70. Ursachi, G.; Horodnic, I.A.; Zait, A. How reliable are measurement scales? External factors with indirect influence on reliability estimators. Procedia Econ. Financ. 2015, 20, 679–686. [Google Scholar] [CrossRef]
  71. Fernandes-Silva, A.; Ferreira-Martins, A.; da Rocha, R. Extended quantum portrait of MGD black holes and information entropy. Phys. Lett. B 2019, 791, 323–330. [Google Scholar] [CrossRef]
  72. Muhuri, A.; Manickam, S.; Bhattacharya, A. Snow cover mapping using polarization fraction variation with temporal RADARSAT-2 C-band full-polarimetric SAR data over the Indian Himalayas. IEEE J. Sel. Top. Appl. Earth Obs. Remote Sens. 2018, 11, 2192–2209. [Google Scholar] [CrossRef]
  73. Pele, D.T.; Lazar, E.; Dufour, A. Information entropy and measures of market risk. Entropy 2017, 19, 226. [Google Scholar] [CrossRef]
  74. Valencia-Torres, R.; Sun, G.H.; Dong, S.H. Quantum information entropy for a hyperbolical potential function. Phys. Scr. 2015, 90, 035205. [Google Scholar] [CrossRef]
  75. Koehler, F.; Kessler, J.; Stoffel, M.; Weber, M.; Bardenheuer, H.J.; Ditzen, B.; Warth, M. Psychoneuroendocrinological effects of music therapy versus mindfulness in palliative care: Results from the ‘Song of Life’randomized controlled trial. Support. Care Cancer 2022, 30, 625–634. [Google Scholar] [CrossRef]
Figure 1. The differences in patients’ overall state score between pre- and post-intervention.
Figure 1. The differences in patients’ overall state score between pre- and post-intervention.
Processes 10 01962 g001
Figure 2. The evaluation score of satisfaction.
Figure 2. The evaluation score of satisfaction.
Processes 10 01962 g002
Table 1. The definitions and symbols of the indicators.
Table 1. The definitions and symbols of the indicators.
VariableDescriptionValues/Range
siteSite0 = MZ, 1 = HD
treatTreatment0 = RELAX, 1 = SOL
pqol.0Psychological quality of life (baseline)0-10
pqol.1Psychological quality of life (post-intervention)0–10
facit.0Spiritual well-being (baseline)0–32
facit.1Spiritual well-being (post-intervention)0–32
ego.0Ego-integrity (baseline)1–5
ego.1Ego-integrity (post-intervention)1–5
dis.0Distress (baseline)0–10
dis.1Distress (post-intervention)0–10
gqol.0Global quality of life (baseline)0–10
gqol.1Global quality of life (post-intervention)0–10
fq.1Feedback Questionnaire: helpful1–5
fq.2Feedback Questionnaire: satisfactory1–5
fq.3Feedback Questionnaire: met expectations1–5
fq.4Feedback Questionnaire: meaning in life1–5
fq.5Feedback Questionnaire: helpful to family1–5
fq.6Feedback Questionnaire: acceptance1-5
fq.7Feedback Questionnaire: important1–5
fq.8Feedback Questionnaire: recommend to others1–5
Table 2. Variables with a missing value to be filled by CFA.
Table 2. Variables with a missing value to be filled by CFA.
VariablePatient ID
facit.0hdkg049, MZKG100, MZEG078
dis.0hdkg043, hdkg050, hdeg020
fq.3MZKG113, MZEG065, MZEG067, MZEG068, MZEG074
Fq.5MZKG116
fq.8MZKG103
Table 3. Results of reliability analysis.
Table 3. Results of reliability analysis.
VariableCronbach’s α VariableCronbach’s α VariableCronbach’s α
pqol.00.621pqol.10.625fq.10.666
facit.00.625facit.10.676fq.20.664
dis.00.767dis.10.756fq.30.666
ego.00.673ego.10.666fq.40.660
gqol.00.660gqol.10.637fq.50.663
fq.60.654fq.70.665fq.80.671
Table 4. Independent sample t-test results of the site.
Table 4. Independent sample t-test results of the site.
VariableFSig.tSig. (2-Tailed)
pqol.00.0590.8082.1180.037
facit.00.8050.0141.9410.055
ego.00.210.6482.7790.013
dis.00.2510.618−1.3370.184
gqol.00.5540.4581.2860.201
pqol.11.550.2170.6950.489
facit.13.8940.0520.7840.435
ego.10.2220.6390.2990.766
dis.10.7390.393−0.8960.373
gqol.10.0060.09411.0700.288
Table 5. Weight value of each indicator.
Table 5. Weight value of each indicator.
IndicatorEntropy ( E i )Redundancy ( 1 E i )Weight ( ω i )
pqol0.9800.0200.228
ego0.9880.0120.132
gqol0.9790.0210.230
facit0.9900.0100.116
dis0.9740.0260.295
Table 6. Variance analysis result for both groups.
Table 6. Variance analysis result for both groups.
GroupNMeanStd. DeviationStd. Error Mean
Relaxation400.0350.1120.018
Song of life410.1100.1610.025
Table 7. Independent samples t-test result for both groups.
Table 7. Independent samples t-test result for both groups.
FSig.tdfSig. (2-Tailed)Mean DifferenceStd. Error Difference
4.7600.032−2.409790.018−0.07440.0309
Table 8. Variance analysis result of satisfaction for both groups.
Table 8. Variance analysis result of satisfaction for both groups.
GroupNMeanStd. DeviationStd. Error Mean
Relaxation400.49740.20150.0319
Song of life400.67430.16770.0265
Table 9. Independent samples t-test result of satisfaction for both groups.
Table 9. Independent samples t-test result of satisfaction for both groups.
FptdefSig. (2-Tailed)Mean DifferenceStd. Error Difference
0.9460.033−4.266780.000−0.17680.0414
Table 10. A comparative analysis table for the study on SOL music therapy.
Table 10. A comparative analysis table for the study on SOL music therapy.
StudyMethodRangeComments
Marco W. et al. [43]ANCOVAlocalBy assessing improvement in five indicators and analyzing the mechanism of action of music therapy, this study will help to build the evidence and contribute to the development of psychosocial interventions in palliative care.
Marco W. et al. [44]ANCOVA, MI, AADlocalNo significant differences were found regarding the psychological and global quality of life, but “Song of Life” participants reported significantly higher spiritual well-being, ego-integrity, and lower distress than patients in the control group.
Friederike K. et al. [75]Multilevel Modeling, AADlocalFindings suggest a beneficial effect of music therapy on distress, while no differential psychobiological treatment effects were found.
This paperEMW-TOPSISglobalThis paper focuses on the overall state change in the patients between pre and post-intervention, and 67.5% of the patients experienced some benefit in the SOL music therapy by comprehensive evaluation. According to the evaluation results, patients who are unwell with SOL and suitable for SOL can be accurately identified. The EWM method provides the sensitivity of each indicator to the SOL music therapy. The methods in this paper facilitate the development of precision medicine methods, the accurate assessment of a patient’s initial diagnosis, and the selection of appropriate music therapy.
Publisher’s Note: MDPI stays neutral with regard to jurisdictional claims in published maps and institutional affiliations.

Share and Cite

MDPI and ACS Style

Zhang, Z.; Jiang, Z.; Yin, B.; Chen, Z.; Peng, X. “Song of Life”: A Comprehensive Evaluation of Biographical Music Therapy in Palliative Care by the EMW-TOPSIS Method. Processes 2022, 10, 1962. https://doi.org/10.3390/pr10101962

AMA Style

Zhang Z, Jiang Z, Yin B, Chen Z, Peng X. “Song of Life”: A Comprehensive Evaluation of Biographical Music Therapy in Palliative Care by the EMW-TOPSIS Method. Processes. 2022; 10(10):1962. https://doi.org/10.3390/pr10101962

Chicago/Turabian Style

Zhang, Zhiyuan, Zhihao Jiang, Biju Yin, Zhongxiang Chen, and Xiaoyang Peng. 2022. "“Song of Life”: A Comprehensive Evaluation of Biographical Music Therapy in Palliative Care by the EMW-TOPSIS Method" Processes 10, no. 10: 1962. https://doi.org/10.3390/pr10101962

APA Style

Zhang, Z., Jiang, Z., Yin, B., Chen, Z., & Peng, X. (2022). “Song of Life”: A Comprehensive Evaluation of Biographical Music Therapy in Palliative Care by the EMW-TOPSIS Method. Processes, 10(10), 1962. https://doi.org/10.3390/pr10101962

Note that from the first issue of 2016, this journal uses article numbers instead of page numbers. See further details here.

Article Metrics

Back to TopTop